Dose-Response of the Mitomycin C Genotoxic Effect on the ApoE Knockout Mice
- Authors: Asanov M.A.1, Shishkova D.K.1, Poddubnyak A.O.1, Sinitsky M.Y.1, Sinitskaya A.V.1, Khutornaya M.V.1, Ponasenko A.V.1
-
Affiliations:
- Research Institute for Complex Issues of Cardiovascular Diseases
- Issue: Vol 109, No 9 (2023)
- Pages: 1273-1281
- Section: EXPERIMENTAL ARTICLES
- URL: https://bakhtiniada.ru/0869-8139/article/view/229424
- DOI: https://doi.org/10.31857/S0869813923090029
- EDN: https://elibrary.ru/OSJMIA
- ID: 229424
Cite item
Full Text
Abstract
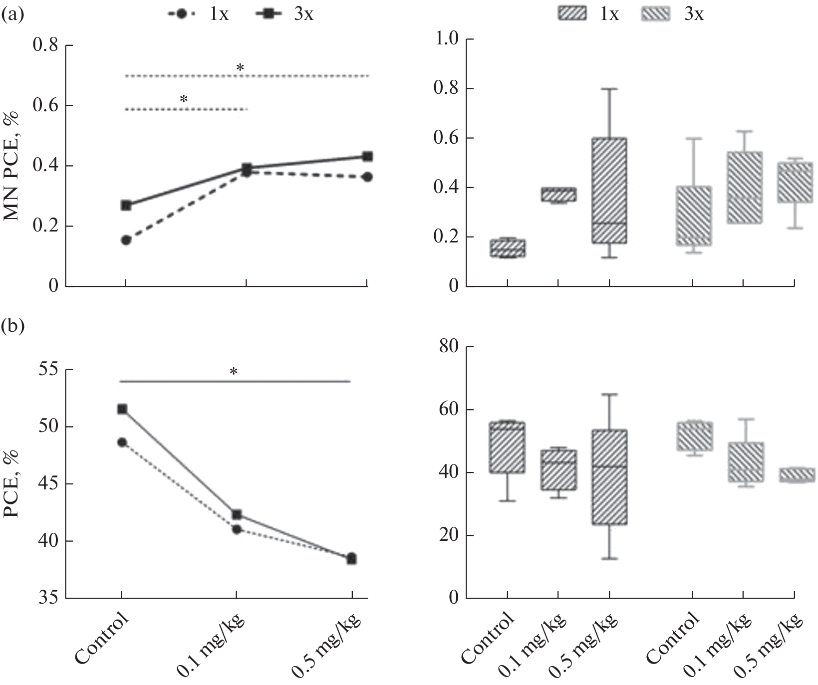
Polychromic erythrocytes have been accepted as a suitable target for micronucleus (MN) evaluation in both acute and cumulative injury. Mitomycin C (MMC) also has a wide range of genotoxicity, including inhibition of DNA synthesis, clastogenesis and mutagenesis. As an immediate clastogen requiring exclusively intracellular reductive activation, MMS initiates efficient DNA crosslinking. The in vivo micronucleus assay has established itself as a standard assay for evaluating chromosomal genotoxicity in mouse erythrocytes. Most of the studies are focused on the study of acute acute effects, which is caused by high doses of the mutagen. In turn, there are no or very few studies aimed at studying the chronic effects of MMS. The aim of the study is to create a chronic genotoxic effect of MMS without lethal outcome in ApoE–/– mice when selecting the optimal dose of MMS. The design of the study included 6 groups of ApoE–/– mice, two doses of MMC at a concentration of 0.1 and 0.5 mg/kg, single and three doses. Each group consisted of four females and one male. To assess genotoxicity, 1000 polychromic erythrocytes (PChE) extracted from the femoral bone marrow were counted on each sample, PChE with micronuclei were detected, and the proportion of reticulocytes was counted. A dose of 0.5 mg/kg showed a clear cytotoxic effect, expressed in a violation of erythropoiesis, and more precisely in a decrease in the proportion of reticulocytes. In our study, the concentration of the mutagen, namely 0.1 mg/kg, was shown to cause a clear genotoxic effect without reaching the threshold of cytotoxicity. Dose-response studies in rodents can provide useful information on the mechanisms of toxicity and dose selection for long-term toxicity studies.
Keywords
About the authors
M. A. Asanov
Research Institute for Complex Issues of Cardiovascular Diseases
Author for correspondence.
Email: asmaks988@gmail.com
Russia, Kemerovo
D. K. Shishkova
Research Institute for Complex Issues of Cardiovascular Diseases
Email: asmaks988@gmail.com
Russia, Kemerovo
A. O. Poddubnyak
Research Institute for Complex Issues of Cardiovascular Diseases
Email: asmaks988@gmail.com
Russia, Kemerovo
M. Y. Sinitsky
Research Institute for Complex Issues of Cardiovascular Diseases
Email: asmaks988@gmail.com
Russia, Kemerovo
A. V. Sinitskaya
Research Institute for Complex Issues of Cardiovascular Diseases
Email: asmaks988@gmail.com
Russia, Kemerovo
M. V. Khutornaya
Research Institute for Complex Issues of Cardiovascular Diseases
Email: asmaks988@gmail.com
Russia, Kemerovo
A. V. Ponasenko
Research Institute for Complex Issues of Cardiovascular Diseases
Email: asmaks988@gmail.com
Russia, Kemerovo
References
- Sassi A, Boubaker J, Loussaief A, Jomaa K, Ghedira K, Chekir-Ghedira L (2021) Protective effect of chrysin, a dietary flavone against genotoxic and oxidative damage induced by Mitomycin C in Balb/C mice. Nutr Cancer 73(2): 329–338. https://doi.org/10.1080/01635581.2020.1749289
- Mokdad Bzeouich I, Mustapha N, Maatouk M, Ghedira K, Ghoul M, Chekir-Ghedira L (2016) Genotoxic and anti-genotoxic effects of esculin and its oligomer fractions against mitomycin C-induced DNA damages in mice. Regul Toxicol Pharm 82: 48–52. https://doi.org/10. 1016/j.yrtph.2016.11.002
- Timocin T, Arslan M, Basri Ila H (2021) Evaluation of in vitro and in vivo genotoxic and antigenotoxic effects of Rhus coriaria. Drug Chem Toxicol 44(4): 409–417. https://doi.org/10.1080/01480545.2019.1593433
- Yuzbasioglu D, Mamur S, Avuloglu-Yilmaz E, Erikel E, Celebi-Keskin A, Unal F (2021) Evaluation of the genotoxic and antigenotoxic effects of exopolysaccharide pullulan in human lymphocytes in vitro. Mutat Res Genet Toxicol Environ Mutagen 870–871: 503391. https://doi.org/10.1016/j.mrgentox.2021.503391
- Lin LT, Chen JT, Lu DW, Tai MC, Liang CM, Chen CL, Pao SI, Hsu CK, Chen YH (2020) Antifibrotic role of low-dose mitomycin-c-induced cellular senescence in trabeculectomy models. PLoS One 15(6): e0234706. https://doi.org/10.1371/journal.pone.0234706
- Itoh K, Masumori S, Mukai D, Sakakibara H, Yasuda M, Shimoi K (2019) Dosage time affects alkylating agents induced micronuclei in mouse peripheral blood reticulocytes through the function of erythropoietin. J Toxicol Sci 44(4): 273–282. https://doi.org/10.2131/jts.44.273
- Digkas EN, Chrisafi S, Passadaki T, Tsalkidis A, Hatzimichail A, Vargemezis V, Lialiaris TS (2010) In vitro and in vivo cytogenetic effects of recombinant human erythropoietin on the frequency of sister chromatid exchanges alone or in combination with mitomycin C. Chemotherapy 56(3): 239–247. https://doi.org/10.1159/000316849
- Díez-Quijada L, Llana-Ruiz-Cabello M, Cătunescu GM, Puerto M, Moyano R, Jos A, Cameán AM (2019) In vivo genotoxicity evaluation of cylindrospermopsin in rats using a combined micronucleus and comet assay. Food Chem Toxicol 132: 110664. https://doi.org/10.1016/j.fct.2019.110664
- Jain AK, Pandey AK (2019) In Vivo Micronucleus Assay in Mouse Bone Marrow. Methods Mol Biol 2031: 135–146. https://doi.org/10.1007/978-1-4939-9646-9_7
- Roque CR, Sampaio LR, Ito MN, Pinto DV, Caminha JSR, Nunes PIG, Raposo RS, Santos FA, Windmöller CC, Crespo-Lopez ME, Alvarez-Leite JI, Oriá RB, Pinheiro RF (2021) Methylmercury chronic exposure affects the expression of DNA single-strand break repair genes, induces oxidative stress, and chromosomal abnormalities in young dyslipidemic ApoE knockout mice. Toxicology 464: 152992. https://doi.org/10.1016/j.tox.2021.152992
- Jacobsen NR, Møller P, Jensen KA, Vogel U, Ladefoged O, Loft S, Wallin H (2009) Lung inflammation and genotoxicity following pulmonary exposure to nanoparticles in ApoE-/- mice. Part Fibre Toxicol 6: 2. https://doi.org/10.1186/1743-8977-6-2
- Кутихин АГ, Синицкий МЮ, Понасенко АВ (2017) Роль мутагенеза в развитии атеросклероза. Комплексные проблемы сердечно-сосудистых заболеваний 1: 92–101. [Kutikhin AG, Sinitsky MY, Ponasenko AV (2017) The role of mutagenesis in atherosclerosis. Complex Issues Cardiovasc Diseases 1: 92–101. (In Russ)]. https://doi.org/10.17802/2306-1278-2017-1-92-101
- Sinitsky MY, Tsepokina AV, Kutikhin AG, Shishkova DK, Ponasenko AV (2021) The gene expression profile in endothelial cells exposed to mitomycin C. Biochemistry (Moscow) Series B: Biomed Chem 15(3): 255–261. https://doi.org/10.1134/S1990750821030100
- Adikesavan AK, Barrios R, Jaiswal AK (2007) In vivo role of NAD(P)H:quinone oxidoreductase 1 in metabolic activation of mitomycin C and bone marrow cytotoxicity. Cancer Res 67(17): 7966–7971. https://doi.org/10.1158/0008-5472
- Cammerer Z, Elhajouji A, Suter W (2007) In vivo micronucleus test with flow cytometry after acute and chronic exposures of rats to chemicals. Mutat Res 626(1–2): 26–33. https://doi.org/10.1016/j.mrgentox.2006.08.004
- Chen Q, Riviere JE, Lin Z (2022) Toxicokinetics, dose-response, and risk assessment of nanomaterials: Methodology, challenges, and future perspectives. Wiley Interdiscip Rev Nanomed Nanobiotechnol 14(6): e1808.https://doi.org/10.1002/wnan.1808
- ГОСТ 34660-2020. Микроядерный анализ на эритроцитах млекопитающих.
- Quezada-Vidal J, Ortíz-Muñiz R, Cervantes-Ríos E, Cruz-Vallejo V, Morales-Ramírez P (2020) In vivo kinetics of the genotoxic and cytotoxic activities of cladribine and clofarabine. Environ Mol Mutagen 61(9): 922–927. https://doi.org/10.1002/em.22394
- Cammerer Z, Elhajouji A, Suter W (2006) In vivo micronucleus test with flow cytometry after acute and chronic exposures of rats to chemicals. Mutat Res 626(1–2): 26–33. https://doi.org/10.1016/j.mrgentox.2006.08.004
- Morales-Ramírez P, Vallarino-Kelly T, Cruz-Vallejo V (2014) Kinetics of micronucleus induction and cytotoxicity caused by distinct antineoplastics and alkylating agents in vivo. Toxicol Lett 224(3): 319–325. https://doi.org/10.1016/j.toxlet.2013.11.012
- Adikesavan AK, Barrios R, Jaiswal AK (2007) In vivo role of NAD(P)H:quinone oxidoreductase 1 in metabolic activation of mitomycin C and bone marrow cytotoxicity. Cancer Res 67(17): 7966–7971. https://doi.org/10.1158/0008-5472.CAN-06-4480
- Anbumani S, Mohankumar MN (2015) Nucleoplasmic bridges and tailed nuclei are signatures of radiation exposure in Oreochromis mossambicus using erythrocyte micronucleus cytome assay (EMNCA). Environ Sci Pollut Res 22: 18425–18436. https://doi.org/10.1007/s11356-015-5107-1
- Mendez SE, Quero AAM, Gorla NBM (2022) Erythrocyte micronucleus cytome assay in Passer domesticus and environmental remote sensing for inferring the quality of wild, rural, and urban areas. Environ Monit Assess 194: 852. https://doi.org/10.1007/s10661-022-10488-9
- El-Alfy NZ, Alqosaibi AI, Mahmoud MF, El-Ashry SR (2016) An analysis of micronuclei and DNA damage induced by metotrexate treatment of male albino mice. Egypt J Hospit Med 65: 504–514.
- Labash C, Avlasevichм SL, Carlson K, Berg A, Torous DK (2016) Mouse Pig-a and micronucleus assays respond to N-ethyl- N-nitrosourea, benzo[a]pyrene, and ethyl carbamate, but not pyrene or methyl carbamate. Environment Mol Mutagen 57(1): 28–40. https://doi.org/10.1002/em.21965




