Study of the Mechanism of Biological Activity Enhancement of Benzylpenicillin Sodium Salt after Treatment with Pulsed Magnetic Field of High Intensity
- Authors: Rodenko N.A.1,2, Vasilyeva T.I.2,3, Bogdanov A.V.4, Gluschenkov V.A.1,2
-
Affiliations:
- Samara Federal Research Center, Russian Academy of Sciences
- Samara National Research University named by Academician S.P. Korolyev
- Samara State Medical University
- Institute of Organic and Physical Chemistry named by A.E. Arbuzov
- Issue: Vol 64, No 5 (2024)
- Pages: 519–528
- Section: НЕИОНИЗИРУЮЩИЕ ИЗЛУЧЕНИЯ
- URL: https://bakhtiniada.ru/0869-8031/article/view/273914
- DOI: https://doi.org/10.31857/S0869803124050074
- EDN: https://elibrary.ru/LNNJSG
- ID: 273914
Cite item
Full Text
Abstract
Magnetic field is able to change the biological activity of drugs, which can be used in medicine. Literature data on the increase in biological activity of prepared drugs under the influence of pulsed magnetic fields immediately before their administration have not been found. This article presents data on the increase in antibacterial activity of benzylpenicillin sodium salt after its treatment with pulsed magnetic field. The aim of the work is to investigate the reasons for the increase in biological activity of benzylpenicillin, to show the changes that occur in the molecule under the influence of a pulsed magnetic field. Exposure to magnetic field was carried out on powdered antibiotic on magnetic-pulse unit with magnetic field strength H = (0.09÷0.82) × 106 A/m. The pulse shape was a damped sinusoid with frequency response f = 40 kHz and f = 51 kHz. Experimental methods of NMR-spectroscopy and IR-Fourier-spectroscopy were used in the studies. The shift in the value of chemical shifts (δH) and spin-spin interaction constants (2JHH) of the signals of methylene protons of the benzyl substituent as a result of the magnetic field was found. The changes in the absorption bands of the N–H and C=O bonds of the amide grouping and the carbonyl group of the lactam cycle were detected by FTIR spectroscopy. The obtained spectral data allow us to conclude that the geometry of the benzylpenicillin sodium salt molecule in the amide fragment has changed under the influence of a pulsed magnetic field, which is probably the reason for the increase in antibacterial activity of the antibiotic.
Full Text
Воздействие разнообразных магнитных полей на химические вещества, в частности лекарственные препараты, могут открыть новые возможности для применения в медицине, пищевой промышленности, сельском хозяйстве. Любое вещество состоит из атомов и их составных частей – электронов и ядра и, следовательно, обладает магнитным моментом, т.е. в той или иной мере является магнетиком [1]. Но магнитная восприимчивость различных веществ зависит от вида магнитного поля, его параметров воздействия.
В литературе содержатся данные о применении магнитных полей, которые могут модифицировать биологические свойства лекарственных препаратов (противоопухолевых, противовоспалительных, гипотензивных, нейротропных и др.) [2]. Работы [3, 4] зарубежных ученых показывают, что магнитное поле способно изменять биологическую активность различных лекарственных препаратов (митоксантрон, даунорубицин, актиномицин D, блеомицин и зиностатин, цисплатин, митомицин С и доксорубицин). Имеются данные, свидетельствующие о том, что электромагнитное поле крайне высокой частоты f = 53 ГГц увеличивает антибактериальные свойства антибиотиков: тетрациклина, канамицина, хлорамфеникола, цефтриаксона в отношении бактерий Escherichia coli [5].
Таблица 1. Изменение интенсивности некоторых полос поглощения в ИК-спектрах после воздействия ИМП на бензилпенициллина натриевую соль
Table 1. Changes in the intensity of some adsorption bands in IR-spectra after PMF action on benzylpenicillin sodium salt
Полоса, см⁻¹ | Контроль | Обработка при напряженности H = 0.09 × 106 А/м | Обработка при напряженности Н = 0.50 × 106 А/м | Обработка п ри напряженности Н = 0.82 × 106А/м |
1672 | 32.7 | 40.0 | 37.0 | 37.4 |
1699 | 63.7 | 71.7 | 71.2 | 66.3 |
1773 | 98.5 | 98.5 | 99.8 | 99.8 |
3320 | 42.6 | 33.5 | 29.6 | 27.0 |
3355 | 100.0 | 96.7 | 96.7 | 100.0 |
3369 | 85.6 | 80.6 | 73.8 | 70.4 |
Для изучения вопроса о возможности применения магнитно-импульсной установки в качестве укупорки антибиотиков, нами были проведены исследования по безопасности применения этой технологии и возможности изменения активности препарата бензилпенициллина натриевой соли, находящегося внутри стеклянного флакона. Результаты исследования показали, что обработка бензилпенициллина натриевой соли ИМП (импульсным магнитным полем) высокой напряженности приводит к увеличению ее антибактериальной активности до 24% в отношении бактерий Escherichia coli M 17 (E.coli M 17) и Micrococcus luteus [6]. После некоторого времени хранения обработанного ИМП бензилпенициллина натриевой соли (через 3, 24 и 42 ч) была показана тенденция к релаксации антибактериального эффекта антибиотика. Необходимо подчеркнуть, что ИМП при обработке антибиотика не обладало тепловым или акустическим эффектами, способными оказать воздействие на находящийся внутри флакона препарат.
Поэтому целью данной работы является исследование причины изменения биологической активности бензилпенициллина натриевой соли после ее обработки импульсным магнитным полем высокой напряженности.
МАТЕРИАЛЫ И МЕТОДИКА
В качестве методов исследования причины изменения биологической активности бензилпенициллина натриевой соли применялись ЯМР- и ИК-Фурье-спектроскопии. Объектом исследования были образцы порошкообразного препарата бензилпенициллина натриевой соли двух производителей ПАО Синтез (Россия), Sigma-Aldrich (США).
Рис. 1. Схема воздействия ИМП на бензилпенициллина натриевую соль.
Fig. 1. Scheme of the action of the PMF on benzylpenicillin sodium salt.
На рис. 1 представлена схема воздействия ИМП на β-лактамный антибиотик: магнитное поле свободно проходит через стенку стеклянного флакона и воздействует на лекарственный препарат [8].
Был создан экспериментальный стенд для обработки антибиотика ИМП и замера параметров магнитного воздействия, включающий в себя магнитно-импульсную установку (МИУ), индуктор, датчики замера тока, напряженности магнитного поля и осциллограф для фиксации параметров.
Рис. 2. Вид кривой разрядного тока в индукторе, представляющий собой затухающую синусоиду: I1max – амплитуда 1-го полупериода тока, I3max – амплитуда 3-го полупериода тока, Т – период колебаний.
Fig. 2. Shape of the discharge current in the inductor, which is a damped sinusoid: I1max – amplitude of the 1st half-period of current, I3max – amplitude of the 3rd half-period of current, T – oscillation period.
На рис. 2 представлен вид кривой разрядного тока синусоидальной формы.
В экспериментах производили обработку ИМП порошкообразного препарата бензилпенициллина натриевой соли при напряженностях магнитного поля Н = (0,09÷0,82) × 106А/м, при частоте f = 40 кГц и f = 51 кГц с числом импульсов n=1. В качестве контроля служили флаконы с необработанным β-лактамным антибиотиком. Время действия ИМП на лекарственный препарат τ = (50÷100) × 10-6 с.
ЯМР-спектроскопия. Исследование строения молекулы бензилпенициллина натриевой соли выполнялось на ЯМР-спектрометре Bruker Avance 400 (Германия). После обработки порошкообразного антибиотика в магнитном поле производилась регистрация спектров ЯМР 1Н для раствора антибиотика в дейтерированной воде (D2O) с концентрацией С = 0.033 г/мл с рабочей частотой прибора 400 МГц. Для сравнения в идентичных условиях были записаны спектры необработанного препарата.
ИК-Фурье спектроскопия. В рамках работы были зарегистрированы ИК-спектры препарата до и после обработки ИМП. Спектры записаны в таблетке KBr в отношении 1 : 100 на приборе «ФСМ-2201» (Россия) в интервале 470–5000 см⁻¹. Обработку полученных спектральных данных осуществляли с использованием программы Fspec (Россия). Исследуемая смесь помещалиь в кювету в специальном держателе, после чего регистрировалис спектры диффузного отражения [9].
Рис. 3. Спектр ЯМР ¹Н бензилпенициллина натриевой соли до воздействия ИМП.
Fig. 3. NMR ¹Н spectrum of benzylpenicillin sodium salt before exposure to the PMF.
В связи с имеющимися литературными данными по изменению растворимости соединений при их обработке магнитным полем [10, 11] был поставлен эксперимент по определению растворимости бензилпенициллина натриевой соли после магнитной обработки согласно методике фармакопейной статьи по растворимости.
Антибиотик массой 0.5 г разводили в 200 мкл дистиллированной воды и непрерывно перемешивали тонкой палочкой в течении 10 мин при комнатной температуре t = 20±2°C, далее поэтапно добавляли по 10 мкл дистиллированной воды и перемешивали. Разведение антибиотика осуществляли до тех пор, пока при наблюдении в проходящем свете не перестанут обнаруживаться частицы вещества и раствор будет полностью прозрачным.
Статистическую обработку экспериментальных данных по изучению растворимости антибиотика проводили в программе MS Excel. Для проверки статистических гипотез о виде распределения был применен критерий Шапиро–Уилка. Выявлено, что вид распределения полученных данных соответствует нормальному распределению. Рассчитывали стандартное отклонение (s) и дисперсию (s2). Было выявлено равенство дисперсий для всех группах сравнения. Поэтому при дальнейшей работе использовался параметрический метод обработки с помощью t-критерия Стьюдента. Различия принимались как статистически значимые при уровне значимости р < 0.05.
РЕЗУЛЬТАТЫ
По данным ЯМР 1Н-спектроскопии был сделан вывод о сохранении каркаса бензилпенициллина натриевой соли и всех связей экзоциклических фрагментов. При этом были выявлены изменения величин химических сдвигов сигналов метиленовых протонов (CH2) и константы их спин-спинового взаимодействия (2JНН). Так, в спектре ЯМР 1Н необработанной ИМП субстанции бета-лактамного антибиотика присутствует сигнал метиленовых протонов в виде мультиплета в области 3.60–3.70 м.д. с одинаковыми константами спин-спинового взаимодействия (КССВ) 2JНН = 15.08 Гц (рис. 3).
Обработка магнитным полем с напряженностью Н = 0,64 × 106 А/м привела к изменению одной из КССВ (2 JНН = 15,08 Гц и 2JНН = 15,04 Гц), как следует из данных спектра ЯМР 1Н (рис. 4).
Рис. 4. Спектр ЯМР ¹Н бензилпенициллина натриевой соли, обработанной при Н = 0.64 × 10⁶ А/м.
Fig. 4. NMR ¹Н spectrum of benzylpenicillin sodium salt processed at Н = 0.64 × 10⁶ A/m.
Наблюдаемые изменения в спектрах ЯМР 1Н после обработки ИМП указывают на изменение взаимного расположения метиленовых протонов и, вероятно, слабого конфигурационного изменения бензильного заместителя в целом.
Методом ИК-спектроскопии зафиксировано, что увеличение интенсивности магнитного поля при воздействии с напряженностями в диапазоне Н = (0,09÷0,82) × 106 А/м на бензилпенициллина натриевую соль приводит к уменьшению интенсивности полосы поглощения при 3320 см⁻¹ и разрешению полос при 3355 см⁻¹ и 3369 см⁻¹, которые относятся к валентным колебаниям связи N–H (рис. 5, табл. 1).
Рис. 5. Фрагменты ИК-спектров бензилпенициллина натриевой соли до и после обработки ИМП.
Fig. 5. Fragments of IR-spectra of benzylpenicillin sodium salt before and after it with the PMF processing.
Обработка ИМП молекулы бензилпенициллина натриевой соли привела к небольшим изменениям интенсивностей поглощения валентных колебаний связи С=О лактамного цикла (полоса 1672 см⁻¹) и связи С=О амидной группы (полоса 1699 см⁻¹), при этом изменений в колебаниях связи С=О карбоксильной группы (полоса 1773 см⁻¹) не выявлено (рис. 6, табл. 1).
Рис. 6. Фрагменты ИК-спектров бензилпенициллина натриевой соли до и после обработки ИМП.
Fig. 6. Fragments of IR-spectra of benzylpenicillin sodium salt before and after processing it with the PMF.
Обработка ИМП молекулы бензилпенициллина натриевой соли вызывает изменения в полосах поглощения связей N–H и С=О амидной группировки и карбонильной группы лактамного цикла. Зафиксированные изменения в функциональных группировках антибиотика возможно происходят из-за того, что под действием ИМП незначительно изменяется геометрия молекулы, а следовательно, изменяется величина дипольного момента.
В ходе проделанной работы по изучению растворимости бензилпенициллина натриевой соли после магнитно-импульсного воздействия отмечалось статистически значимое повышение растворимости бензилпенициллина натриевой соли после обработки ИМП от 8 до 12% по сравнению с контролем. Можно сделать вывод, что магнитное поле оказывает влияние на свойства антибиотика, меняется его растворимость, что может прояснить сохранение эффекта при воздействии ИМП на порошкообразный препарат бензилпенициллина натриевой соли после растворения в воде.
ОБСУЖДЕНИЕ
По данным литературы [12], бензилпенициллина натриевая соль относится к β-лактамным препаратам широкого спектра действия и проявляет чувствительность в отношении бактерий E.coli (A. Poosarla et. al., 2021).
Влияние магнитных полей различной интенсивности на биологическую активность лекарственных препаратов было подтверждено рядом исследований [3-5, 13]. Изменение биологической активности зависит от интенсивности воздействия магнитного поля на препарат и от его структурного строения.
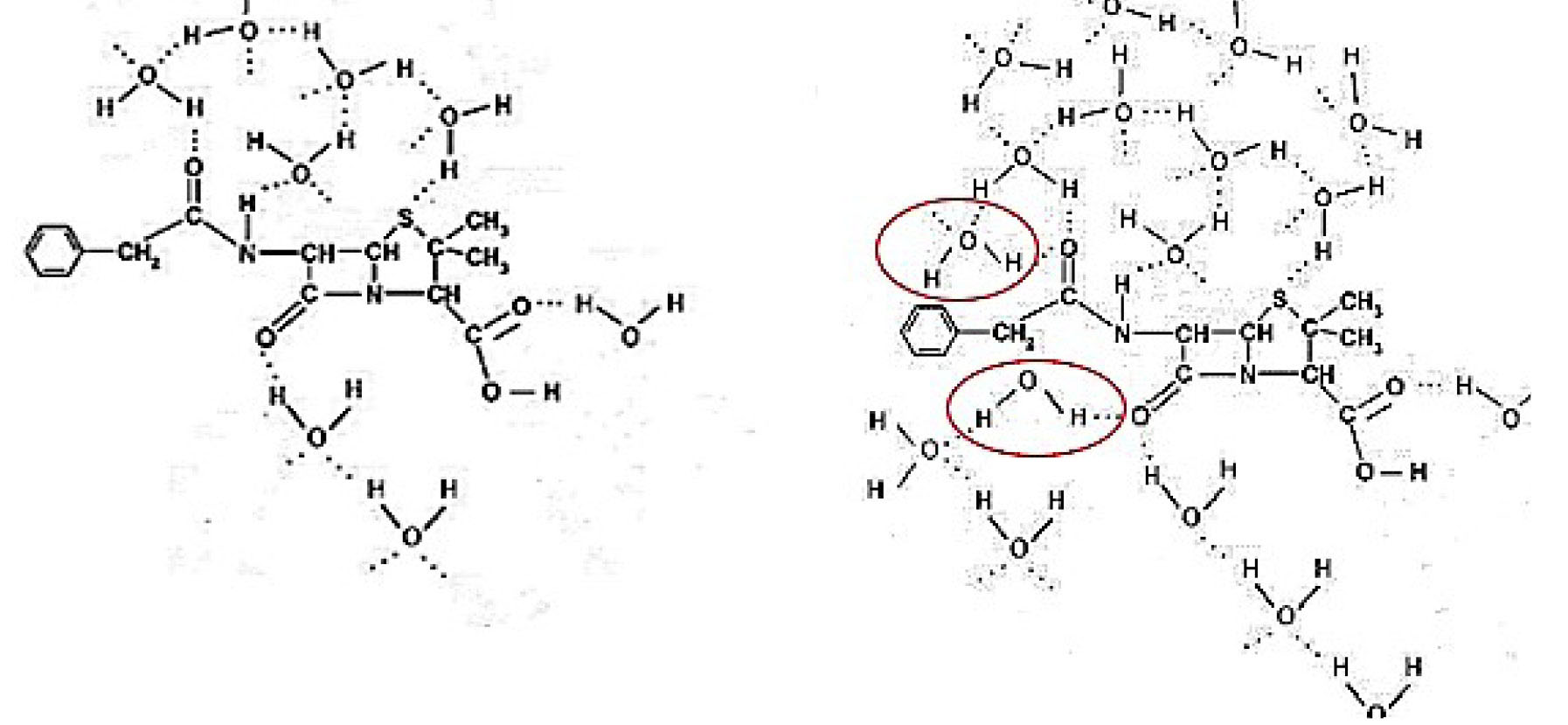
В связи с тем, что порошкообразный препарат бензилпенициллина натриевой соли перед применением подвергался обязательному растворению, было исследовано, как ведет себя антибиотик, обработанный ИМП, после растворения в воде. Согласно фармакопейной статье, бензилпенициллина натриевая соль относится к легкорастворимым в воде соединениям. Наличие постоянных диполей у молекул воды обусловливает их активное взаимодействие с полярными группировками бензилпенициллина натриевой соли с помощью водородных связей. В процессе гидратации молекулы препарата образуются гидраты постоянного и переменного состава. Молекулы воды, присоединенные к молекуле соединения, образуют оболочку, которая перемещается вместе с молекулой, при этом чем больше молекул воды присоединено к молекуле соединения, тем больше их радиус [14]. В гидратации принимает участие большое количество молекул воды: они непосредственно соприкасаются с гидратируемой молекулой, другие входят во второй, третий и другие слои молекул, составляющий гидратируемый слой [14]. Поэтому в гидратной оболочке различают две части: первичную прочно связанную с молекулой, и вторичную, молекулы которой электростатически связаны с молекулами первой. О.Я. Самойлов отмечает, что обмен молекул воды в гидратной оболочке зависит не от полных значений энергий взаимодействия между частицами и молекулами воды, а от изменений энергии на малых расстояниях, т.е. энергетический эффект гидратации связан в основном с ближней гидратацией [14].
Рис. 7. Гидратация молекулы бензилпенициллина натриевой соли до (а) и после воздействия (б) импульсного магнитного поля.
Fig. 7. Hydration of benzylpenicillin sodium salt molecule before (a) and after exposure (b) to pulsed magnetic field.
В данной работе мы можем говорить об увеличении гидратации модифицированной в ИМП молекулы бензилпенициллина натриевой соли при взаимодействии с молекулами воды (рис. 7), так как по результатам экспериментов было получено статистически значимое увеличение растворимости препарата после обработки в ИМП на 8–12% в зависимости от напряженности ИМП.
Примечание. Отдельно выделено присоединение дополнительных молекул воды к полярным группировкам бензилпенициллина натриевой соли, обработанной ИМП.
Повышение растворимости бензилпенициллина натриевой соли, связано с увеличением гидратной оболочки в процессе растворения препарата, что может свидетельствовать о повышении полярности химических группировок в молекуле антибиотика [15, 16].
Полученные результаты по исследованию структуры обработанной ИМП молекулы бензилпенициллина натриевой соли свидетельствуют о возможности изменения взаимной ориентации химических группировок в молекуле препарата. Подтверждением этого служат полученные спектральные данные, где отмечаются изменения в полярных группировках лекарственного препарата после воздействия ИМП, расположенных близ бензольного кольца, такие группировки как C=O лактамного цикла, С=О амидной группы, связь N–H, также зафиксированы изменения в химическом сдвиге и константе спин-спинового взаимодействия метиленовых протонов СН2, расположенные рядом с бензольным кольцом.
Основной мишенью воздействия ИМП на молекулу бензилпенициллина натриевой соли может выступать бензольное кольцо, входящее в структуру лекарственного препарата [17]. Известным свойством молекул, в структуре которых присутствует бензольное кольцо, является их высокая анизотропная реакция на присутствие внешнего однородного магнитного поля. В бензольном кольце такой молекулы возникает диамагнитный кольцевой ток, который генерирует вторичное магнитное поле, приводя к образованию локальных анизотропных областей. В образующихся «местных» анизотропных зонах будут проявляться эффекты, сопровождающиеся изменением взаимной ориентации соседних атомов, расположенных близ бензольного кольца [18]. Магнитный отклик на внешнее ИМП в молекуле антибиотика можно было наблюдать методами ЯМР1Н-спектроскопии и ИК-Фурье спектроскопии близ бензольного кольца бензилпенициллина натриевой соли.
На основе анализа литературных данных и полученных результатов представлен предполагаемый механизм увеличения антибактериального действия антибиотика, обработанного ИМП, основанный на взаимодействии молекулы бензилпенициллина натриевой соли после воздействия ИМП с активным центром пенициллин-связывающего белка PBP5 E.coli (рис. 8) [19].
Рис. 8. Предполагаемый механизм взаимодействия молекулы бензилпенициллна натриевой соли с пенициллин-связывающим белком PBP5 E.coli до и после воздействия импульсного магнитного поля.
Примечание. Химические группировки бензилпенициллина натриевой соли, в которых произошли изменения после воздействия ИМП, отмечены голубым цветом. Схематично представлено увеличение сродства обработанного ИМП препарата бензилпенициллина натриевой с активным центром PBP5 E.coli в данных областях молекул.
Fig. 8. Assumed mechanism of interaction of benzylpenicillin sodium salt molecule with penicillin-binding protein PBP5 of E.coli before and after exposure to pulsed magnetic field.
Note. Сhemical groupings of benzylpenicillin sodium salt, in which changes occurred after PMF exposure, are marked in blue colour. Schematic representation of the increase in the affinity of the PMF-treated preparation of benzylpenicillin sodium with the active centre of PBP5 of E.coli in these regions of molecules.
Известно, что пенициллин-связывающие белки (ПСБ или PBP) участвуют в заключительных стадиях синтеза пептидогликана клеточной стенки бактерий и представляют собой мишени для бета-лактамных антибиотиков. ПСБ являются членами семейства сериновых протеаз, катализирующих гидролиз пептидной связи С–N через субстрат-связывающий центр, включающий оксианионовую «дыру», связывающую кислород субстрата, специфически-связывающий карман, отвечающий совместно с окианионовой «дырой» за правильное расположение разрываемой пептидной связи для атаки с нуклеофильным кислородом серина и неспецифическую пептид-связывающую площадку [20].
Ацилирование амидной связи бета-лактамного кольца бензилпенициллина натриевой соли начинается с нуклеофильной атаки бокового радикала (-СН2-OH) Ser-44 в активном центре. Для того чтобы серин мог катализировать разрыв связи, его нужно активировать. Пока кислород находится в составе ОН-группы, он не активен. Активация происходит после отрыва протона Н+ и перехода кислорода в депротонированную форму О–. Отрыв протона от Ser-44 осуществляет остаток лизина в активном центре PBP5 E.coli [21]. Аминогруппа Lys-47, которая находится в пределах расстояния водородной связи от гидроксила (-ОН) Ser-44, действует как общее основание. Для того, чтобы реакция произошла, среда активного центра должна способствовать депротонированному состоянию группы NH2, это достигается за счет водородных связей Lys-47 с Asn-112 и карбонильными группами His-151 и Ser-110 [21].
На основании представленного механизма взаимодействия ПСБ с бензилпенициллина натриевой солью можно предположить следующие изменения после взаимодействия антибиотика с ИМП и дальнейшего его растворения. Возможно, после обработки бензилпенициллина натриевой соли ИМП карбонильные группировки повышают свою полярность, о чем свидетельствует увеличение гидратной оболочки молекулы. Вероятно, будет увеличиваться сродство молекулы бензилпенициллина натриевой соли после воздействия ИМП с активным центром ПСБ.
Таким образом, при воздействии ИМП на порошкообразный препарат бензилпенициллина натриевой соли и дальнейшее растворение лекарственного препарата в воде приводит к повышению растворимости соединения и увеличению гидратной оболочки молекулы антибиотика. Дополнительные молекулы воды в составе гидратной оболочки удерживают появившиеся изменения в группировках около бензольного кольца, препятствующие исчезновению магнитного эффекта после растворения бензилпенициллина натриевой соли. Модификация бензилпенициллина натриевой соли после магнитно-импульсного воздействия, по-видимому, будет обеспечивать облегченное связывание модифицированной молекулы бензилпенициллина натриевой соли с ПСБ E.coli, такое связывание β-лактамного антибиотика с активным сериновым центром ПСБ будет повышать скорость реакции ингибирования ПСБ, что будет приводить к увеличению гибели микроорганизмов.
ЗАКЛЮЧЕНИЕ
- С помощью ЯМР 1Н выявлены небольшие изменения в химических сдвигах сигналов и константах спин-спинового взаимодействия метиленовых протонов в спектре бензилпенициллина натриевой соли после обработки ИМП.
- Методом ИК-Фурье спектроскопии установлены изменения в молекуле бензилпенициллина натриевой соли после обработки ИМП в полосах поглощения связей N–H и С=О амидной группировки и карбонильной группы лактамного цикла.
- Установлено, что обработка бензилпенициллина натриевой соли способствует статистически значимому увеличению растворимости антибиотика на 8–12% после обработки ИМП в диапазоне напряженностей магнитного поля Н = (0,09÷0,82) × 106А/м.
- Предложен предполагаемый механизм повышения биологической активности бензилпенициллина натриевой соли после воздействия ИМП. Вероятно, при воздействии антибиотика, обработанного ИМП, на микроорганизмы будет происходить увеличение сродства с активным центром пенициллин-связывающих белков бактериальной клетки. Зарегистрированные изменения в группировках бензилпенициллина натриевой соли, участвующих в необратимом связывании с серином активного центра ПСБ, могут способствовать увеличению сродства фермента к антибиотику, следовательно, будет повышаться скорость реакции ингибирования ПСБ, что приведет к увеличению гибели микроорганизмов.
КОНФЛИКТ ИНТЕРЕСОВ
Авторы декларируют отсутствие явных и потенциальных конфликтов интересов, связанных с публикацией статьи.
ВКЛАД АВТОРОВ
Все авторы внесли эквивалентный вклад в подготовку публикации.
Authors’ contributions: all authors made equivalent contributions to the publication.
About the authors
Natalia A. Rodenko
Samara Federal Research Center, Russian Academy of Sciences; Samara National Research University named by Academician S.P. Korolyev
Author for correspondence.
Email: t.rodenko@mail.ru
ORCID iD: 0000-0002-0623-7207
Russian Federation, Samara; Samara
Tatiana I. Vasilyeva
Samara National Research University named by Academician S.P. Korolyev; Samara State Medical University
Email: vastaty@rambler.ru
Russian Federation, Samara; Samara
Andrei V. Bogdanov
Institute of Organic and Physical Chemistry named by A.E. Arbuzov
Email: abogdanov@inbox.ru
ORCID iD: 0000-0002-2483-4742
Russian Federation, Kazan
Vladimir A. Gluschenkov
Samara Federal Research Center, Russian Academy of Sciences; Samara National Research University named by Academician S.P. Korolyev
Email: vgl@ssau.ru
ORCID iD: 0000-0001-8368-2905
Russian Federation, Samara; Samara
References
- Трухан С.Н., Мартьянов О.Н. Магнитные свойства вещества. Ч. 1. Основы строения. Новосибирск: Институт катализа им. Г.К. Борескова СО РАН, 2012. 75 с. [Trukhan S.N., Martyanov O.N. Magnitnye svojstva veshhestva. Chast’ 1. Osnovy stroenija = Magnetic properties of matter. Part 1. Fundamentals of structure. Novosibirsk: Boreskov Institute of Catalysis SB RAS, 2012. 75 p. (In Russ.)]
- Золотухина Е.И., Улащик В.С. Основы импульсной магнитотерапии. Витебск: Витебская областная типография, 2008. 144 с. [Zolotukhina E.I., Ulashchik V.S. Osnovy impul’snoj magnitoterapii = The basics of pulsed magnetotherapy, 2008. 144 p. (In Russ.)]
- Kakikawa M., Imai S., Yamada S. Effect of extremely low-frequency (ELF) magnetic fields on the potency of drugs in bacterial cells. IEEE Transact. Magn. 2014;50(4):1–4. https://doi.org/10.1109/tmag.2013.2286781
- Kakikawa M., Maeda T., Yamada S. Combined effect of 60 Hz magnetic fields and anticancer drugs on human hepatoma hepg2 cells. IEEE J. Electromagn., RF Microwav. Med. Biol. 2019;3(1):56–60. https://doi.org/10.1109/jerm.2018.2880341
- Torgomyan H., Trchounian A. The enhanced effects of antibiotics irradiated of extremely high frequency electromagnetic field on Escherichia coli growth properties. Cell Biochem. Biophys. 2015;71(1):419–424. https://doi.org/10.1007/s12013-014-0215-y
- Роденко Н.А., Васильева Т.И., Беляева И.А. и др. Исследование биологической активности бензилпенициллина натриевой соли при ее обработке импульсным магнитным полем в отношении грамположительных и грамотрицательных микроорганизмов. Цитология. 2022;64(7):658–659. [Rodenko N.A., Vasilyeva T.I., Belyaeva I.A, et al. Issledovanie biologicheskoj aktivnosti benzilpenicillina natrievoj soli pri ee obrabotke impul’snym magnitnym polem v otnoshenii grampolozhitel’nyh i gramotricatel’nyh mikroorganizmov = Study of biological activity of benzylpenicillin sodium salt at its treatment with pulsed magnetic field against Gram-positive and Gram-negative microorganisms. Tsitologiya = Cytology. 2022;64(7):658–659. (In Russ.)]. https://doi.org/10.31857/S004137712207001X
- Алексеева Н.В., Основина И.П., Владимирцева Е.Л., Иванов А.В. Обоснование возможности применения магнитофореза при патологии суставов. Вопр. курортологии, физиотерапии и лечебной физической культуры. 2018;95(3):49–56. [Alekseeva N.V., Osnovina I.P., Vladimirtseva E.L., Ivanov A.V. Obosnovanie vozmozhnosti primeneniya magnitoforeza pri patologii sustavov = The rationale for the application of magnetophoresis for the treatment of intra-articular pathology. Problems of Balneology, Physiotherapy and Exercise Therapy. 2018;95(3):49–56. (In Russ.)]. https://doi.org/10.17116/kurort201895349
- Глущенков В.А., Юсупов Р.Ю. Энергетические установки для магнитно-импульсной обработки материалов. Самара: Изд. дом Федоров, 2013. 123 с. [Glushchenkov V.A., Yusupov R.Yu. Energeticheskie ustanovki dlya magnitno-impul’snoj obrabotki materialov = Power plants for magnetic-pulse processing of materials. Samara: Izdatel’skij dom Fyodorov, 2013. 123 p. (In Russ.)]
- Тыжигирова В.В. Применение ультрафиолетовой, видимой и инфракрасной спектроскопии в анализе лекарственных средств: учебное пособие. Иркутск: ИГМУ, 2018. 72 с. [Tyzhigirova V.V. Primenenie ul’trafioletovoj, vidimoj i infrakrasnoj spektroskopii v analize lekarstvennyh sredstv: uchebnoe posobie = Application of ultraviolet, visible and infrared spectroscopy in the analysis of drugs: a textbook. Irkutsk: IGMU, 2018. 72 p. (In Russ.)]
- Ковалев С.И., Смирнов А.Е., Волошин А.Э. Влияние магнитного поля на растворимость кристаллов. Материаловедение. 2014;7:3–6. [Kovalev S.I., Smirnov A.E., Voloshin A.E. Vlijanie magnitnogo polja na rastvorimost’ kristallov = Effect of magnetic field on the solubility of crystals. Materialovedenie = Materials science. 2014; 7:3–6. (In Russ.)].
- Ivashchenko V.E., Boldyrev V.V., Zakharov Yu.A. et al. The effect of magnetic field on the shape of etch pits of paracetamol crystals. Mater. Res. Innovat. 2002; 5:214–218. https://doi.org/10.1007/s10019-002-0175-5
- Лобанова Е.Г., Чекалина Н.Д. Пенициллины. Пенициллины. Доктор Акушерство и гинекология 2008. М.: Серия РЛС, 2008. [Lobanova E.G., Chekalina N.D. Penicilliny. Penicilliny. Doktor Akusherstvo i ginekologija = Penicillins. Penicillins. Dr Obstetrics and Gynaecology 2008. M.: serija RLS, 2008. (In Russ.)].
- Jalali A., Zafari J., Jouni F.J., Abdolmaleki P., Shirazi F.H., Khodayar M.J. Combination of static magnetic field and cisplatin in order to reduce drug resistance in cancer cell lines. Int. J. Radiat. Biol. 2019;95(8):1194–1201. https://doi.org/10.1080/09553002.2019.1589012
- Сорокин М.М. Флотационные методы обогащения: Химические основы флотации: Учебное пособие. М.: Изд. Дом НИТУ «МИСиС», 2011. 411 с. [Sorokin M.M. Flotacionnye metody obogashhenija: himicheskie osnovy flotacii: Uchebnoe posobie = Flotation methods of beneficiation: Chemical basis of flotation: Textbook. M.: Izdatel’skij Dom NITU «MISiS», 2011. 411 p. (In Russ.)]
- Чертов А.Г. Общая физика: Учебное пособие. Под ред. Чертова А.Г., Воробьева А.А. М.: КНОРУС, 2017. 800 с. [Chertov A.G. Obshhaja fizika: Uchebnoe posobie. Pod red. Chertova A.G., Vorob’jova A.A. М.: KNORUS, 2017. 800 с. (In Russ.)]
- Крестов Г.А. Термодинамика ионных процессов в растворах. Л.: Химия, 1973. 304 с. [Krestov G.A. Termodinamika ionnyh processov v rastvorah = Thermodynamics of ionic processes in solutions. L.: Himija, 1973. 304 p. (In Russ.)]
- Trevisan T.V., Monteiro G.M., Caldeira A.O. Enhancement of diamagnetism by momentum-momentum interaction: Application to benzene. Phys. Rev. B. 2021;103(18). https://doi.org/10.1103/PhysRevB.103.L180402
- Краснов К.С. Молекулы и химическая связь: учебное пособие для вузов. М.: Высш. школа, 1984. 295 с. [Krasnov K.S. Molekuly i himicheskaja svjaz’: uchebnoe posobie dlja vuzov = Molecules and chemical bonding: textbook for universities. M.: Vysshaja shkola, 1984. 295 p. (In Russ.)]
- Kumarasiri M., Fisher J.F., Mobashery S. Penicillin-binding protein 5 of escherichia coli. Handbook of Proteolytic Enzymes. 2013;3:3474–3480. https://doi.org/10.1016/b978-0-12-382219-2.00770-5
- Калаева Е.А., Артюхов В.Г. Биофизические аспекты строения, функционирования и регуляции активности ферментов. Воронеж: Изд. дом ВГУ, 2019. 216 с. [Kalaeva E.A., Artjuhov V.G. Biofizicheskie aspekty stroenija, funkcionirovanija i reguljacii aktivnosti fermentov = Biophysical aspects of enzyme structure, function and regulation of enzyme activity. Voronezh: Izdatel’skij dom VGU, 2019. 216 p. (In Russ.)]
- Sauvage E., Kerff F., Fonzé E. et al. The 2.4-Å crystal structure of the penicillin-resistant penicillin-binding protein PBP5fm from Enterococcus faecium in complex with benzylpenicillin. Cell. Molec. Life Sci. 2002;59(7):1223-32. https://doi.org/10.1007/s00018-002-8500-0
Supplementary files










