Dynamics of 137Cs aggregated transfer factors to animal fodder: 35 years after the Chernobyl accident
- Authors: Fesenko S.V.1, Prudnikov P.V.2, Isamov N.N.1, Emlyutina E.S.1, Titov I.E.1, Shubina O.A.1
-
Affiliations:
- NRC “Kurchatov Institute” — Russian Research Institute of Radiology and Agroecology
- Bryaynsk Center of Chemistry and Agricultural Radiology
- Issue: Vol 64, No 1 (2024)
- Pages: 75-91
- Section: Radionuclide
- URL: https://bakhtiniada.ru/0869-8031/article/view/265022
- DOI: https://doi.org/10.31857/S0869803124010072
- EDN: https://elibrary.ru/NNKMXO
- ID: 265022
Cite item
Full Text
Abstract
The results of the analysis of 137Cs aggregated transfer factors (Tag) change in the forages of agricultural animals (hay, haylage, silage and green forage) in the south-western districts of the Bryansk region during 35 years after the Chernobyl accident are presented. It is shown that the rates of Tag reduction in different districts and zones of radioactive contamination differed significantly, and the dynamics of their change had an uneven character. Four time’ intervals are distinguished for assessments, from 1987 to 1992, from 1993 to 2006, from 2006, and from 2006 to 2015 and from 2016 to 2021. The first period covered the time after the accident, when the countermeasures were carried out on a maximum scale, the second one when the scales of remediation decreased significantly, the third period was a time (from 2006 to 2016), when the dynamics of the Tag reduction was influenced by the Federal Target Program (FTP) “Preservation and restoration of soil fertility of agricultural lands and agricultural landscapes as national patrimony of Russia for 2006–2013” and the fourth one was from 2016 to 2021, a remote period after the accident, when the volumes of rehabilitation of agricultural lands were very low. The half-lives, calculated for the period of intensive countermeasure implementation, ranged from 0.73 to 2.0 years. During the next period the 137Cs decrease in all types of forage crops strongly slowed down, and in many areas, there was a tendency for an increase in the Tag values. During the third and fourth periods the dynamics was of multidirectional character, namely, in the districts where the FTP activities were applied in a full scale an essential increase in the 137Cs Tag values to fodder plants was noted, and where the countermeasures application was limited a further increase in this parameter was noted. The efficiency of remediation was estimated by the criterion of reduction of Tag values (reduction factor) in zones with different 137Cs deposition density on agricultural lands. It was also noted that the reduction factor at different time intervals after the accident ranged from 1.1 (silage) to 5.1 (haylage). The highest efficiency in Tag reduction in fodder crops was observed both in the first period after the accident (1986–1992) and in the period of the FTP implementation. It was shown that the Tag reduction factors in the zone with deposition density from 185 to 555 kBq/m2 were not significantly different from those in the zone with deposition density of 555–1480 kBq/m2.
Full Text
В основе концепции реабилитации территорий, загрязненных в результате радиационной аварии на Чернобыльской АЭС, стоит задача восстановления хозяйственной деятельности человека и создание условий для полноценной жизнедеятельности населения, проживающего на этой территории [1–5]. Для получения сельскохозяйственной продукции, отвечающей санитарно-гигиеническим нормам на загрязненных территориях, необходимо было разработать, апробировать и внедрить специальные мероприятия (контрмеры), направленные на снижение поступления радионуклидов в хозяйственно полезную часть растений [6–7]. При этом особое внимание уделялось проведению агротехнических и агромелиоративных мероприятий в кормовых культурах, так как содержанием радионуклидов в молоке и мясе – «критических» продуктах с точки зрения формирования доз облучения – определяется поступлением радионуклидов в организм животных с кормами [1–7]. Применение этих контрмер позволило значительно уменьшить содержание радионуклидов в продукции и, как следствие, снизить дозы внутреннего облучения населения [5–7].
При планировании реабилитационных мероприятий в загрязненных районах широко используются данные радиоэкологического мониторинга, организованного службами Минсельхоза и ВНИИРАЭ [8–9]. Проведение этого мониторинга позволило не только избежать неоправданных потерь сельскохозяйственной продукции, но и получить ценную информацию о закономерностях накопления радионуклидов в сельскохозяйственной продукции и динамике изменения содержания 137Cs в основных видах сельскохозяйственной продукции [10–12].
В числе параметров, используемых для прогнозирования загрязнения продукции сельского хозяйства, обычно используют коэффициенты перехода радионуклида из почвы в растения (Кп) 1, которые обычно определяются как отношение концентрации радионуклида в растениях к плотности поверхностного загрязнения почвы на этом же участке, и периоды полуснижения Кп в продукцию, т. е. периоды времени, за которые Кп изменяются в 2 раза [13]. В наших предыдущих работах представлены данные по динамике Кп в основные виды растений и сельскохозяйственной продукции растениеводства на основе информации, полученной в период с 1987 по 1992 гг. [10–12]. Показано, что естественное (в отсутствие применения мероприятий) снижение коэффициентов перехода носило неравномерный характер и описывалось в большинстве случаев двухкомпонентной моделью [10]. Использование такого рода данных имеет важное значение для прогнозирования последствий возможных аварий на радиационно-опасных объектах и соответствующего реагирования в АПК, а также для обоснования перехода к условиям нормальной жизнедеятельности в регионах, наиболее пострадавших после чернобыльской аварии [3].
Анализ динамики коэффициентов перехода 137Cs в продукцию растениеводства в течение 35 лет после аварии представлен в публикациях [14–15]. Также в наших публикациях приводятся данные по концентрациям радиоцезия в кормах сельскохозяйственных животных, однако данные по Кп 137Cs в кормовые культуры до настоящего времени не обобщались, что ограничивает использование результатов мониторинга, проводимого организациями Минсельхоза России, для решения задач, связанных с обоснованием перехода населения, проживающего на загрязненных территориях, к условиям нормальной жизнедеятельности [7].
Настоящая публикация является продолжением цикла статей, посвященных анализу закономерностей изменения Кп 137Cs в сельскохозяйственную продукцию. В первой публикации этой серии [14] представлены данные по коэффициентам перехода 137Cs в продукцию растениеводства. В настоящей публикации рассматриваются особенности динамики коэффициентов перехода в корма сельскохозяйственных животных. В последующих статьях планируется представить анализ закономерностей Кп в продукцию животноводства – молоко и мясо. Для облегчения сравнения закономерностей изменения содержания 137Cs в различных видах сельскохозяйственной продукции все статьи цикла имеют близкую структуру и аналогичное представление полученных результатов.
МАТЕРИАЛЫ И МЕТОДЫ
Загрязнение сельскохозяйственных угодий
Как в начальный, так и в отдаленный период после аварии на ЧАЭС внимание радиоэкологов и специалистов сельского хозяйства в большой степени было обращено на наиболее загрязненные районы Брянской области (табл. 1).
Таблица 1. Распределение сельскохозяйственных угодий в юго-западных районах Брянской области по уровням выпадений в 1986 году, га
Table 1. Distribution of agricultural lands in the southwestern districts of the Bryansk region by the deposition densities in 1986, ha
Районы | Пашня, га | Сенокосы и пастбища, га | ||||||||
Площадь | Плотность выпадений 137Cs, кБк/м2 | Площадь | Плотность выпадений 137Cs, кБк/м2 | |||||||
37–185 | 185–555 | 555–1480 | >1480 | 37–185 | 185–555 | 555–1480 | >1480 | |||
Гордеевский | 31665 | 10289 | 19633 | 1733 | 0 | 23045 | 4898 | 1135 | 6335 | 122 |
Злынковский | 24249 | 5450 | 15379 | 2205 | 40 | 7873 | 989 | 3441 | 2646 | 600 |
Клинцовский | 42639 | 25933 | 12998 | 321 | 0 | 18775 | 6536 | 6797 | 2570 | 125 |
Красногорский | 39499 | 22088 | 10120 | 4865 | 2025 | 21350 | 7406 | 6382 | 4313 | 2810 |
Климовский | 42639 | 25933 | 12998 | 321 | 0 | 18775 | 6536 | 6797 | 2570 | 125 |
Новозыбковский | 37578 | 2196 | 27132 | 7855 | 395 | 19022 | 602 | 9100 | 7112 | 2208 |
Стародубский | 93055 | 48555 | 445 | 0 | 0 | 18263 | 13183 | 1655 | 0 | 0 |
Как видно из этой таблицы, значительные площади пашни, сенокосов и пастбищ загрязнены 137Cs с плотностью 555–1480 кБк/м2 и даже более 1480 кБк/м2. После чернобыльской аварии около 17 тыс. га сельскохозяйственных угодий с плотностью выпадений более 1480 кБк/м2 были выведены из хозяйственного оборота, образовав зону отчуждения в Брянской области 2.
Наиболее существенные площади высоко загрязненных сенокосов и пастбищ с загрязнением почвы 137Cs более 555 кБк/м2 выявлены в Новозыбковском (48%), Злынковском (41%) и Красногорском (33%) районах, а минимальный процент таких земель отмечен в Стародубском и Климовском районах.
Защитные и реабилитационные мероприятия
При анализе динамики содержания радионуклидов в сельскохозяйственной продукции необходимо учитывать влияние защитных и реабилитационных мероприятий [12, 15]. К основным мероприятиям, направленным на уменьшение содержания радионуклидов в продукции животноводства, относились коренное и поверхностное улучшение лугов и пастбищ, а также применение ферроцинсодержащих препаратов. При этом основное внимание, особенно в первый период, уделялось улучшению лугов и пастбищ, используемых для кормления крупного рогатого скота (рис. 1). Эти мероприятия являются элементами обычной сельскохозяйственной практики и должны проводиться для поддержания продуктивности кормовых угодий раз в 5–6 лет. Несвоевременное проведение этих мероприятий приводит как к снижению продуктивности растений, так и к увеличению поступления радионуклидов в растения. Перед применением на загрязненных территориях эти технологии были усовершенствованы путем включения элементов, обеспечивающих максимальное снижение поступления 137Cs в растения.
Рис. 1. Объемы проведения коренного улучшения лугов и пастбищ после аварии на Чернобыльской АЭС [3, 8]. Процент обработанных площадей от общей площади угодий.
Fig. 1. Implementation of radical improvement at the meadows and pastures used for feedstuffs production [3, 8]. Percentage of cultivated areas of the total area of lands.
Эффективность коренного улучшения по критерию снижения коэффициентов перехода 137Cs в растения варьирует от 3 до 15, достигая особенно высоких значений на увлажненных лугах в случае, если в комплекс мероприятий включен дренаж [7].
Наиболее широко коренное и поверхностное улучшение проводилось в период с 1987 до 1994 г., когда практически все доступные кормовые угодья в юго-западных районах Брянской области были охвачены этими мероприятиями [3]. В этот период вклад защитных мероприятий в сельском хозяйстве в снижение содержания 137Cs в юго-западных районах Брянской области составлял 57–61%, тогда как в регионе с ограниченным применением мероприятий (загрязненные районы Калужской области) он составлял 10–20% [10].
В 1996–2000 гг. интенсивность применения контрмер резко снизилась и не соответствовала не только рекомендациям по снижению поступления 137Cs в кормовые культуры, но и потребности в обычном окультуривании сельскохозяйственных угодий. Впоследствии в рамках федеральной целевой программы (ФЦП) «Сохранение и восстановление плодородия почв земель сельскохозяйственного назначения и агроландшафтов как национального достояния России на 2006–2013 годы» работы по реабилитации загрязненных территорий проводились в достаточно больших объемах (рис. 1), что могло повлиять в этот период на динамику загрязнения как продукции растениеводства, так и продукции кормопроизводства [16]. Детальная информация об объемах и особенностях проведения агротехнических мероприятий в АПК представлена в публикациях [1, 3, 6].
Используемые данные
Для оценки коэффициентов перехода 137Cs в продукцию кормопроизводства (сено, сенаж, силос и зеленые корма) использовали данные мониторинга, проводимого Центром химизации и сельскохозяйственной радиологии «Брянский» (ФГБУ «Брянскагрохимрадиология») в юго-западных районах Брянской области: Гордеевском, Злынковском, Климовском, Клинцовском, Красногорском, Новозыбковском и Стародубском [8, 9].
Обобщенные данные по характеристикам радиоэкологического мониторинга в агропромышленном производстве юго-западных районов Брянской области представлены на рис. 2. Наибольшее количество проб сена, сенажа и силоса было отобрано в 1991–1995 годах, когда отмечалось наиболее активное применение защитных мероприятий [7]. Начиная с 1996 г. объемы проведения мониторинга сена, сенажа и силоса снизились примерно в 2 раза, оставаясь на таком уровне до настоящего времени. В этот период увеличились объемы мониторинга зеленой массы естественных и многолетних трав, которые служат исходным сырьем для производства сена и сенажа, что позволило в какой-то степени компенсировать уменьшение интенсивности мониторинга сена.
Рис. 2. Объемы отбора проб кормов для сельскохозяйственных животных в юго-западных районах Брянской области в 1986–2021 гг.
Fig. 2. Quantity of feedstuffs samples taken annually in southwestern districts of Bryansk region in 1986–2021.
Для анализа динамики загрязнения кормов использовались данные измерений более 30 тыс. проб сена, 10 тыс. проб сенажа, 8 тыс. – силоса и более 38 тыс. проб зеленых кормов. Данные, представленные в табл. 1, отражают результаты систематического отбора проб, проведенного в 177 хозяйствах с плотностью загрязнения кормовых угодий от 17 до 3800 кБк/м2. В 55 из них плотность загрязнения сенокосов на 1986 г. была меньше 185 кБк м2, в 46 плотность загрязнения сенокосов превышала 555 кБк/м2, а в 76 хозяйствах плотность загрязнения была в диапазоне между 185 и 555 кБк/м2.
Наряду с радиоэкологическим мониторингом загрязнения кормов для сельскохозяйственных животных в юго-западных районах Брянской области Брянским центром «Агрохимрадиология» проведено несколько циклов детального обследования плотности загрязнения 137Cs почв сельскохозяйственных земель. В соответствии с методикой обследования [9] пробы почвы отбирались как на каждом поле севооборота, так и на естественных сенокосах и пастбищах, используемых для кормления животных. Всего, в зависимости от района, было проведено от четырех до шести туров обследования. Полученные в результате каждого обследования данные по содержанию 137Cs в пробах почвы пересчитывали к моменту выпадений (начало мая 1986 г.). Для расчета коэффициентов перехода использовали результаты всех туров обследования, проведенных до 2021 г., а в качестве оценки плотностей загрязнения в настоящей работе использовали средние значения, рассчитанные по данным всех туров обследования на 1986 г. Общее количество проб почвы, которое учитывалось при проведении расчетов, составило более 300 тыс.
Агрегированные коэффициенты перехода в кормовые культуры рассчитывали как отношение среднего по хозяйству содержания 137Cs в кормах к средней плотности выпадений на соответствующих угодьях в 1986 г.
Для статистической обработки данных по коэффициентам перехода 137Cs в кормовые культуры использовали методический подход, описанный в работе [17].
ПОСТУПЛЕНИЕ 137Cs В КОРМА СЕЛЬСКОХОЗЯЙСТВЕННЫХ ЖИВОТНЫХ В 1986 Г.
Содержание 137Cs в сене, сенаже и силосе на момент уборки урожая в 1986 г., нормированное на плотность выпадений, приведено в табл. 2. Рассматривая Кп как интегральный параметр, обобщающий все пути поступления, эти данные можно рассматривать как агрегированные коэффициенты перехода.
Таблица 2. Статистические параметры содержания Кп 137Cs в корма, рассчитанные на момент уборки в 1986 г., (Бк/кг)/(кБк/м2)
Table 2. Statistical parameters of 137Cs Tag to fodder, calculated for the time of harvest in 1986, (Bq/kg)/(kBq/m2)
Районы | N | Среднее | Стандартное отклонение | Геометрическое среднее | Медиана | 95%-ный доверительный интервал | |
нижний | верхний | ||||||
Сено | |||||||
Гордеевский | 12 | 26 | 28 | 16 | 20 | 9.3 | 29 |
Злынковский | 7 | 42 | 27 | 34 | 19 | 19 | 61 |
Климовский | 14 | 27 | 17 | 24 | 19 | 18 | 31 |
Клинцовский | 17 | 57 | 76 | 34 | 28 | 21 | 55 |
Красногорский | 16 | 51 | 29 | 39 | 59 | 25 | 61 |
Новозыбковский | 12 | 24 | 8.0 | 22 | 24 | 18 | 28 |
Все данные | 78 | 42 | 50 | 28 | 26 | 23 | 34 |
Сенаж | |||||||
Злынковский | 8 | 29 | 34 | 19 | 20 | 11 | 33 |
Климовский | 10 | 31 | 25 | 20 | 22 | 10 | 40 |
Новозыбковский | 13 | 7.7 | 8.7 | 5.0 | 4.8 | 3.1 | 8.1 |
Все данные | 31 | 20.6 | 25 | 11 | 11 | 7 | 17 |
Силос | |||||||
Гордеевский | 11 | 8.0 | 9.3 | 4.0 | 1.8 | 1.9 | 8.6 |
Злынковский | 9 | 1.0 | 0.4 | 0.9 | 0.9 | 0.7 | 1.2 |
Климовский | 20 | 3.6 | 4.0 | 2.4 | 1.9 | 1.6 | 3.5 |
Клинцовский | 14 | 6.2 | 9.6 | 3.3 | 2.2 | 1.9 | 5.5 |
Красногорский | 13 | 6.2 | 3.3 | 5.2 | 6.4 | 3.5 | 7.6 |
Новозыбковский | 14 | 0.6 | 0.5 | 0.4 | 0.3 | 0.3 | 0.7 |
Все данные | 80 | 4.0 | 5.7 | 2.0 | 1.8 | 1.5 | 2.6 |
В 1986 г. не проводили систематический отбор зеленых кормов, а количество измерений, использованных для оценки Кп, составило 1193 пробы сена, 68 проб сенажа и 352 пробы силоса. Диапазоны изменения Кп составили от 3.7 × 10–3 до 3.8 ×10–1 м2/кг для сена, от 1.4 × 10–3 до 1.1 × 10–1 м2/кг для сенажа и от 7.0 × 10–5 до 2.4 × 10–2 м2/кг для силоса. Среднее значение Кп 137Cs в сено юго-западных районов Брянской области было примерно в 10 раз больше, чем в силос, и почти в 2 раза больше, чем в сенаж. Максимальные значения геометрических средних Кп 137Cs в сено 3.4–3.9 × 10–2 м2/кг отмечены в Красногорском, Злынковском и Клинцовском районах. Более низкие значения – 1.6–2.4 × 10-2, м2/кг зафиксированы в Гордеевском, Новозыбковском и Климовском районах. Аналогичная тенденция отмечена для сенажа. Различия между загрязненными районами в наибольшей степени отмечались для силоса, являющегося пропашной культурой. Наибольшие значения Кп в силос были отмечены в Гордеевском, Клинцовском и Красногорском районах, геометрические средние Кп в силос, в которых находились в диапазоне от 2.4 × 10–3 до 5.2 × 10–3 м2/кг. Минимальные значения 0.4–0.9 × 10–3 м2/кг) характерны для Новозыбковского и Злынковского районов 3. Полученные оценки показывают, что коэффициенты перехода 137Cs в силос, рассчитанные для Злынковского и Новозыбковского районов, статистически достоверно отличались от коэффициентов перехода, рассчитанных для остальных четырех районов. К основным отличиям между районами, определяющими различия в Кп в силос, относятся уровни плодородия почв пахотных земель [9, 18]. В почвах пахотных земель Злынковского и Новозыбковского районов средневзвешенное содержание подвижного калия составляло 180 и 174 мг/кг, подвижного фосфора – 193 и 215 мг/кг, а степень кислотности (pHКСl) – 6.1 и 5.9 соответственно [18]. Это обеспечивало бездефицитный баланс калия, кальция и фосфора в почвенном растворе и приводило к более низким значениям Кп 137Cs в растения.
Во всех рассмотренных случаях средние значения были больше медианы и геометрического среднего, а коэффициент вариации данных варьировал от 1.2 до 1.4, что определяет необходимость использовать логнормальное распределение для оценок загрязнения кормов сельскохозяйственных животных и продукции животноводства.
Для оценки Кп в сено и сенаж в год радиоактивных выпадений для прогнозирования загрязнения этих видов кормов можно предложить значение 2.8 × 10–2 м2/кг с 95%-ными доверительными интервалами 2.4 × 10–2–3.2 × 10–2 м2/кг и 1.1 × 10–2 м2/кг с доверительными интервалами 0.7 × 10–2–1.7 × 10–2 м2/кг. Для оценки загрязнения силоса в регионах с низким плодородием целесообразно использовать данные для Гордеевского, Климовского, Клинцовского и Красногорского районов, а именно: 3.3 × 10–2 м2/кг с доверительными интервалами 2.3 × 10–3–4.5 × 10–3 м2/кг. Для Новозыбковского района, в котором плодородие почвы было выше, значение геометрического среднего загрязнения силоса было меньше – 0.6 × 10–4 м2/кг с 95%-ными доверительными интервалами 0.4 × 10–4–0.8 × 10–4 м2/кг.
ПЕРИОДЫ ПОЛУСНИЖЕНИЯ КОЭФФИЦИЕНТОВ ПЕРЕХОДА 137CS В ПРОДУКЦИЮ РАСТЕНИЕВОДСТВА
Периоды полуснижения коэффициентов перехода 137Cs в сено, сенаж и силос (T1/2), рассчитанные для промежутка времени с 1987 по 2021 г., приведены в табл. 3. Для кормовых культур можно выделить четыре временных интервала, периоды полуснижения между которыми были статистически различны: с 1987 по 1992 гг., с 1993 по 2006 гг., с 2007 по 2015 гг. и с 2016 по 2021 гг. Первый интервал включает острый период после аварии, когда мероприятия проводились в максимальных масштабах, второй интервал – когда объемы реабилитационных мероприятий в силу экономических причин резко снизились, третий – с 2006 до 2016 г., когда на динамику снижения в ряде районов оказывали влияния мероприятия ФЦП и четвертый – с 2016 до 2021 г., когда объемы проведения реабилитации сельскохозяйственных угодий опять уменьшились.
Таблица 3. Периоды полуснижения Кп 137Cs в сено. сенаж и силос в юго-западных районах Брянской области
Table 3. Half-lives of 137Cs Tag values in hay. haylage and silage in the southwestern districts of the Bryansk region
Районы | T 11/2, лет | R2 | T 21/2, лет | R2 | T 31/2, лет | R2 | T 41/2, лет | R2 |
Сено | ||||||||
Гордеевский | 2.0 | 0.75 | –16.54 | 0.08 | 9.5 | 0.72 | 18.2 | 0.47 |
Злынковский | 1.1 | 0.61 | 43.1 | 0.1 | 13.6 | 0.55 | 10.0 | 0.55 |
Климовский | 1.8 | 0.75 | 9.5 | 0.66 | 3.5 | 0.86 | 22 | 0.49 |
Клинцовский | 1.4 | 0.94 | 12.4 | 0.28 | 4.4 | 0.72 | 21 | 0.54 |
Красногорский | 1.3 | 0.98 | 6.4 | 0.59 | –63 | 0.4 | 26.7 | 0.12 |
Новозыбковский | 1.3 | 0.63 | 12.8 | 0.31 | 14.7 | 0.34 | 26.7 | 0.29 |
Стародубский | н. д.1 | 2.6 | 0.5 | –4.3 | 0.63 | 5.8 | 0.75 | |
Сенаж | ||||||||
Гордеевский | 1.8 | 0.84 | 57.8 | 0.13 | 36.5 | 0.01 | 21 | 0.66 |
Злынковский | 0.73 | 0.94 | 33.0 | 0.16 | 4.3 | 0.9 | ||
Климовский | 1.2 | 0.89 | 40.0 | 0.12 | 15.8 | 0.7 | ||
Клинцовский | 1.9 | 0.59 | –24.8 | 0.11 | –27.6 | 0.04 | 49.5 | 0.06 |
Красногорский | 1.8 | 0.92 | 8.5 | 0.62 | –34.6 | 0.03 | ||
Новозыбковский | 0.75 | 0.98 | >100 | 0.56 | >100 | 0.03 | 31.5 | 0.16 |
Стародубский | н. д1 | 46.2 | 0.2 | 74.5 | 0.03 | 16.9 | 0.61 | |
Силос | ||||||||
Гордеевский | 1.0 | 0.84 | 57.8 | 0.13 | 36.5 | 0.01 | 21 | 0.66 |
Злынковский | 1.0 | 0.98 | –35.7 | <0.1 | –50.5 | 0.1 | 18.7 | 0.55 |
Климовский | 0.82 | 0.63 | >100 | <0.1 | 19.3 | 0.78 | н. д.1 | |
Клинцовский | 0.82 | 0.63 | –28.9 | <0.1 | 23.8 | 0.42 | 24.8 | 0.38 |
Красногорский | 2.0 | 0.81 | >100 | <0.1 | –21 | 0.25 | –17.8 | 0.1 |
Новозыбковский | 1.0 | 0.87 | –10.3 | 0.71 | 10.5 | 0.66 | >–100 | <0.1 |
Стародубский | н. д.1 | 6.2 | 0.43 | –19.2 | 0.1 | 18.7 | 0.93 | |
1н. д. – нет данных.
4Экспоненциальный рост содержания 137Cs в культурах описывается периодом полуснижения со знаком минус.
Мониторинг содержания 137Cs в зеленых кормах (табл. 4) был начат только в 1996 г., поэтому периоды полуснижения рассчитывались для временного интервала с 1996 до 2006 г. и далее для временных промежутков, учитываемых при оценке периодов полуснижения для других видов кормов.
Таблица 4. Периоды полуснижения Кп 137Cs в зеленые корма в юго-западных районах Брянской области
Table 4. Half-lives of 137Cs Tag values in green fodder in the southwestern districts of the Bryansk region
Районы | T 21/2, лет | R2 | T 31/2, лет | R2 | T 41/2, лет | R2 |
Гордеевский | –16.5 | 0.3 | >100 | 0.4 | –12.1 | 0.8 |
Злынковский | 26.7 | 0.2 | 2.1 | 0.84 | –29.2 | 0.8 |
Климовский | 24.5 | 0.54 | 43.3 | 0.21 | 10 | 0.99 |
Клинцовский | 4.1 | 0.76 | 26.7 | 0.59 | 3.0 | 0.85 |
Красногорский | 49.5 | 0.18 | 21.7 | 0.23 | –25.8 | 0.45 |
Новозыбковский | 8.9 | 0.62 | 21.6 | 0.38 | –55.8 | 0.15 |
Стародубский | 46.2 | 0.24 | 26.7 | 0.36 | –57.7 | 0.002 |
В первый период после аварии T1/2 содержания 137Cs в сене и сенаже, рассчитанные по данным, относящимся к различным районам, довольно близки и находятся в интервале от 0.73–0.75 лет (сенаж в Злынковском и Новозыбковском районах) до 2.0 лет (сено в Гордеевском районе). В целом эти периоды полуснижения длиннее периодов, рассчитанных для продукции растениеводства, что связано с тем, что агрохимические мероприятия могли проводиться на всей площади пахотных земель, в то время как мероприятия, проводимые на сенокосах и пастбищах, должны были учитывать необходимость использования значительной доли кормовых угодий для организации кормления животных. Вследствие этого они проводились только на части кормовых угодий, и более высокая эффективность культуртехнических мероприятий компенсировалась ограничением площадей, на которых было возможно их проведение.
Во второй период (с 1993 до 2006 г.) уменьшение содержания 137Cs во всех видах кормовых культур сильно замедлилось, при этом во многих районах была отмечена тенденция к увеличению Кп (рис. 3, а). В первую очередь это связано с тем, что довольно низкие уровни содержания радиоцезия в кормах были достигнуты в результате проведения культуртехнических мероприятий, включающих внесение удобрений, применение мелиорантов, подбор травосмесей, которые сохраняют эффективность в течение 4–6 лет после проведения. В то же время примерно двухкратное снижение поступления радионуклидов в растения сохраняется, также как и эффект сорбции цезия почвенно-поглощающим комплексом, который зависит от времени после выпадений и обычно описывается двухкомпонентной экспоненциальной зависимостью. Следует отметить, что в некоторых районах мероприятия проводились и после 1993 года, в этом случае отмечалось дальнейшее снижение содержания 137Cs в кормовых культурах, а увеличение Кп после прекращения проведения мероприятий наблюдалось позже (рис. 3, б).
Рис. 3. Динамика содержания коэффициентов перехода 137Cs в корма Новозыбковского района Брянской области. а – сено, б – силос, в – зеленые корма.
Fig. 3. Dynamics of 137Cs aggregated transfer factor values to fodder of Novozybkovsky district, Bryansk region. a – hay, b – silage, c – green fodder.
В третий период (период внедрения мероприятий ФЦП) динамика снижения коэффициентов перехода в различных районах значительно отличалась, при этом наблюдалось как сильное уменьшение Кп в районах, в которых проведение мероприятий было существенным, так и рост Кп в районах, где оно было незначительным. После заметного сокращения поголовья скота в районах, подвергшихся загрязнению после аварии, в качестве защитного мероприятия применялся массовый перевод животных на окультуренные пастбища и сенокосы на пашне. В этом случае после периода роста Кп в силу причин, описанных выше, отмечалось одномоментное 2–3-кратное снижение загрязнения кормов, используемых для животных, после которого рост коэффициентов перехода продолжился (рис. 3, в).
В заключительный период, после прекращения эффекта мероприятий, проводимых в рамках Федеральной целевой программы, во всех районах, за исключением Красногорского, наблюдалось либо медленное снижение Кп, которое определялось сорбцией 137Cs в почве, либо рост коэффициентов перехода, определяемый снижением во времени эффективности мероприятий, достигнутой в период внедрения мероприятий ФЦП.
ЗАКОНОМЕРНОСТИ ДИНАМИКИ КОЭФФИЦИЕНТОВ ПЕРЕХОДА В КОРМОВЫЕ КУЛЬТУРЫ
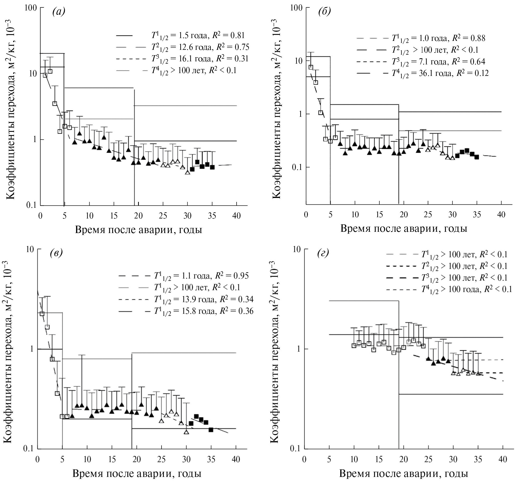
Данные по динамике коэффициентов перехода 137Cs в сено, сенаж, силос и зеленые корма представлены на рис. 4. На этих же рисунках показаны значения коэффициентов перехода из почвы в растения, которые приведены в рекомендациях по ведению сельского хозяйства на загрязненных территориях, изданных в 1986–2006 гг. Значения Кп, рекомендованные для прогнозирования поступления 137Cs в продукцию, даны для почв, отличающихся по механическому составу.
Рис. 4. Динамика коэффициентов перехода 137Cs в кормовые культуры на протяжении 35 лет после аварии на Чернобыльской АЭС. Сплошные линии представляют собой значения Кп, рекомендованные для соответствующего периода времени после аварии.
Fig. 4. Dynamics of 137Cs aggregated transfer factor values to fodder during 35 years after the Chernobyl accident. The solid lines represent the Tag values recommended for the relevant time period after the accident.
Корма для сельскохозяйственных животных являются конечным продуктом, и для их производства используются различные кормовые культуры. Для заготовки зеленой массы растений или приготовления сена или сенажа могут использоваться как естественные травы, так и многолетние травы, содержащие различные доли бобовых и злаковых растений. Вследствие этого на рис. 4 показан диапазон рекомендованных значений коэффициентов перехода, используемых для приготовления каждого из рассматриваемых видов кормов.
Для периода с 1986 по 1991 г. эти значения были оценены на основе данных, полученных при мониторинге загрязнения продукции животноводства в зоне аварии на Южном Урале [19]. В рекомендациях, изданных с 1991 по 2005 г., значения коэффициентов перехода уточнялись на основе информации, полученной в регионе аварии на Чернобыльской АЭС [20–21].
Рекомендуемые значения коэффициентов перехода в этих документах были предложены для почв различного механического состава, что позволяло уточнить прогнозируемые значения с учетом характеристик почв загрязненных регионов. Для сравнения с данными настоящей работы рекомендованные значения перехода, приведенные в работах [19–21], были пересчитаны на основе информации о почвенных характеристиках юго-западных районов Брянской области, приведенных в работе [18].
Обобщенные данные по коэффициентам перехода 137Cs из почвы в кормовые растения могут описываться как четырех-, так и трехкомпонентной экспоненциальной моделью, где третий период полуснижения Кп включает период проведения мероприятий ФЦП. Периоды полуснижения Кп для этого интервала времени находятся в диапазоне от 16.1 года до 28.9 лет. В качестве иллюстрации на рис. 4, г (зеленые корма) приведены периоды полуснижения, рассчитанные отдельно для периода проведения мероприятий в рамках ФЦП и последующего периода (оба более 100 лет). Однако средний период полуснижения для периода времени, объединяющего эти два интервала времени, составляет 16.1 года. Приведенные данные иллюстрируют потенциальные ошибки, которые могут быть сделаны при использовании средних данных по динамике Кп для прогнозирования радиологической обстановки в АПК в отдаленный период после аварии на Чернобыльской АЭС.
Представленные данные показывают обобщенную динамику Кп в кормовые культуры в загрязненных районах Брянской области и отражают влияние всех факторов, влияющих на динамику этого показателя. Так же, как и в большинстве районов, быстрое снижение Кп, определяемое интенсивным применением реабилитационных мероприятий, сопровождалось замедлением снижения коэффициентов перехода после первых 5–7 лет после аварии. В этот период укладывается разовое проведение коренного или поверхностного улучшения и его последействие. Отмеченные закономерности видны и из анализа данных, относящихся к периоду времени после завершения ФЦП, когда проведение мероприятий (и соответствующее снижение Кп в период их проведения) сопровождается замедлением снижения Кп в последующий период.
Следует отметить отличие в динамиках снижения Кп 137Cs в кукурузу (на силос) и в другие кормовые культуры. Это связано с тем, что мероприятия на пахотных угодьях в рамках ФЦП не проводились, что и предопределило отсутствие для динамики Кп 137Cs в кукурузный силос закономерностей, отмеченных выше.
ОЦЕНКА ВЛИЯНИЯ РЕАБИЛИТАЦИОННЫХ МЕРОПРИЯТИЙ НА СНИЖЕНИЕ ЗАГРЯЗНЕНИЯ КОРМОВЫХ КУЛЬТУР
Проведение защитных и реабилитационных мероприятий в районах, подвергшихся загрязнению после чернобыльской аварии, оказало существенное влияние на изменение содержания 137Cs в кормовых культурах. Результаты, приведенные на рис. 4, отражают динамику Кп на всей территории Брянской области, подвергшейся загрязнению, включая территории с различными уровнями загрязнения и объемами проведения мероприятий. Выделение и индивидуальный анализ данных, относящихся к зонам с различными уровнями загрязнения – менее 185 кБк/м2 между 185 и 555 и более 555 кБк/м2, позволяют получить оценку эффективности мероприятий, проведенных в зонах, реабилитационные мероприятия в которых отличались.
На сельскохозяйственных угодьях с плотностью загрязнения менее 185 кБк/м2, которые составляют около 30% для 6 наиболее загрязненных районов Брянской области, продукция в основном соответствовала нормативам. На этих угодьях районированные культуры и злаковые травосмеси возделывались по общепринятым технологиям для данной почвенно-климатической зоны. Вследствие этого можно предположить, что динамика коэффициентов перехода в зоне с плотностью выпадений менее 185 кБк/м2 (рис. 5) была наиболее приближена к естественной динамике Кп в кормовые культуры. Первые периоды полуснижения, рассчитанные для сена и сенажа, совпадают и равны 1.1 года, а T1/2 для силоса эта величина – 2.1 года, примерно в 2 раза больше. Вторые периоды для сена и сенажа также довольно близки (15.6 и 16.9 г.), тогда как второй период полуснижения Кп 137Cs в силос и зеленые корма существенно длиннее – 23.9 и 26.7 лет. Эта информация, иллюстрирующая закономерности естественного снижения Кп в кормовые культуры, существенно дополняет имеющиеся в литературе аналогичные данные, полученные в других регионах [22–26].
Рис. 5. Динамика коэффициентов перехода 137Cs в кормовые культуры в зоне с плотностью загрязнения менее 185 кБк/м2. а – Кп в сено и сенаж, б – Кп в силос и зеленые корма (массу).
Fig. 5. Dynamics of 137Cs aggregated transfer factor values to fodder in the zone with contamination density less than 185 kBq/m2. a – Tag to hay and haylage, b – Tag to silage and green fodder.
В зоне с плотностью выпадений 137Cs от 185 до 555 кБк/м2 широко проводились культуртехнические мероприятия на лугах. Неокультуренные пастбища и сенокосные угодья суходолов подлежали поверхностному и коренному улучшению по технологиям, рекомендованным для данных почвенно-климатических условий с учетом плотности загрязнения почвы 137Cs. В зоне с плотностью загрязнения 137Cs выше 555 кБк/м2 проведение защитных мероприятий было обязательным. На пахотных угодьях рекомендуемые для этой зоны дозы внесения фосфорных и калийных удобрений были увеличены в 1.5–2.0 раза. Проводилось известкование кислых почв. На сенокосах и пастбищах (суходольные луга) было проведено коренное улучшение с внесением повышенных, до 1.5–2.0 раз по сравнению с утвержденными нормативами, доз фосфорных и калийных удобрений.
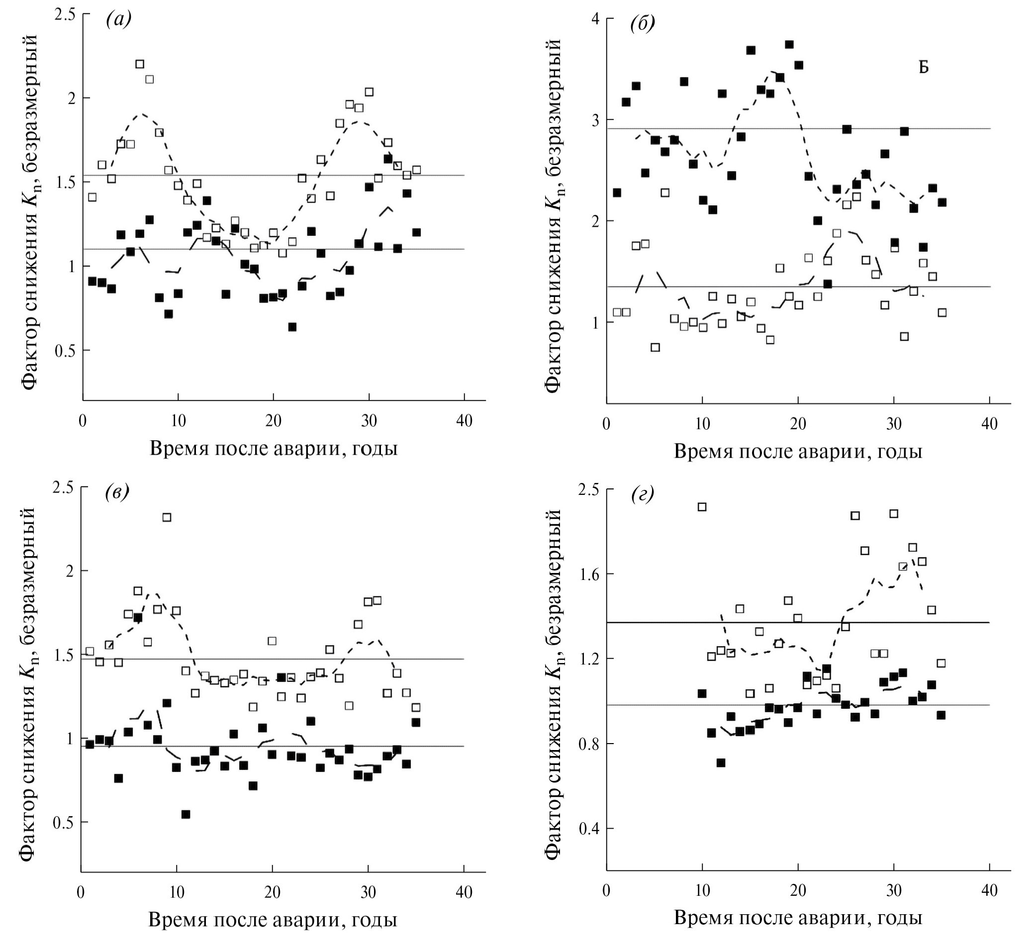
Отношения между коэффициентами перехода, которые можно определить как факторы снижения Кп в результате проведения мероприятий, рассчитывались для каждого вида кормов и каждого года после аварии (рис. 6). Кроме отношений между Кп, характеризующими поступление 137Cs в кормовые культуры в зонах с плотностью выпадений менее 185 и более 555 кБк/м2, были рассчитаны аналогичные отношения для зон с плотностями между 185 и 555 кБк/м2 и выше 555 кБк/м2, в которых реабилитационные мероприятия проводились более интенсивно по сравнению с территориями с более низкими уровнями загрязнения.
Рассчитанные отношения характеризуются значительной вариабельностью, что может быть связано с колебаниями Кп вследствие погодных условий, а также с неопределенностями, связанными с отбором и измерением проб. Кроме того, эффективность мероприятий отличалась в различные периоды времени после аварии. Вследствие этого для оценки тенденций в изменении эффективности проведения мероприятий в зонах с различной плотностью выпадений использовался метод скользящего среднего. Из данных рис. 6 видно, что максимальный эффект от применения реабилитационных мероприятий, т. е. снижение коэффициентов перехода до 3 раз, достигался в первые годы после чернобыльской аварии, в последующем эффект от проведения мероприятий снижался, а второй пик эффективности контрмер достигался в период проведения мероприятий ФЦП (рис. 6).
Рис. 6. Динамика снижения Кп 137Cs в корма в результате проведения мероприятий. Сплошные линии показывают среднее снижение К. за 35 лет. а – сено, б – сенаж, в – силос, г – зеленые корма.
Fig. 6. Dynamics of Tag 137Cs to animal feeds as a result of countermeasure application. The solid lines show the average Tag reduction over 35 years. a – hay, b – haylage, c – silage, г – green fodder.
Эффективность мероприятий, направленных на снижение перехода 137Cs в сено, колебалась от 1.1 до 2.2, в сенаже от 1.4 до 5.1, в силосе от 1.1 до 2.4. Данные для зеленых кормов охватывают интервал времени с 1996 до 2021 г. В этот период интенсивность мероприятий колебалась в интервале от 1.0 до 1.9. Средние значения этого показателя составили 1.52±0.3, 2.9±0.9, 1.47±0.24 и 1.38±0.27 для сена, сенажа, силоса и зеленых кормов соответственно. Полученные данные имеют важное значение для оценки радиологической эффективности контрмер, использованных в сельском хозяйстве после аварии на Чернобыльской АЭС, поскольку позволяют оценить снижение коллективной дозы от употребления продукции животноводства и соотнести этот показатель с затратами на проведение мероприятий.
Другим важным выводом является то, что эффект по критерию снижения загрязнения продукции животноводства в зонах с плотностью выпадений 185 и 555 кБк/м2 практически не отличался от эффекта применения реабилитационных мероприятий на территориях с плотностью загрязнения сельскохозяйственных угодий выше 555 кБк/м2. Это показывает, что мероприятия, проведенные в зонах с плотностью выпадений 185 и 555 кБк/м2, были достаточны для обеспечения устойчивого ведения кормопроизводства на загрязненных территориях.
ЗАКЛЮЧЕНИЕ
Анализ динамики изменения коэффициентов перехода позволил выделить четыре интервала времени после аварии на Чернобыльской АЭС, когда темпы поступления 137Cs в кормовые культуры существенно отличались, включая острый период после аварии, когда мероприятия проводились в максимальных масштабах; второй период, когда объемы реабилитационных мероприятий резко снизились; третий (с 2006 до 2016 г.), когда на динамику снижения в ряде районов оказывали влияния мероприятия ФЦП и четвертый период (с 2016 до 2021 г.), когда объемы проведения реабилитации сельскохозяйственных угодий опять существенно уменьшились. Прекращение или снижение объемов проведения защитных мероприятий может привести к замедлению темпов снижения или даже к росту Кп, поскольку уменьшение эффективности реабилитационных мероприятий не может быть полностью компенсировано сорбцией радиоцезия в почве. Вследствие этого снижение объемов применения контрмер должно быть обосновано на основе сопоставления динамики последействия мероприятий, с учетом сорбции 137Cs почвенно-поглощающим комплексом, а также с учетом радиолого-экономической необходимости проведения реабилитации сельскохозяйственных угодий.
БЛАГОДАРНОСТИ
Данные исследования выполнены в рамках фундаментальных и прикладных исследований по Программе деятельности Федерального государственного бюджетного учреждения “Национальный исследовательский центр “Курчатовский институт” на 2023–2027 годы (комплексная тема 5П.7. «Прикладные генетические и биотехнологические исследования для сельского хозяйства»). Авторы выражают свою признательность рецензентам за тщательное прочтение рукописи и ценные замечания.
КОНФЛИКТ ИНТЕРЕСОВ
Авторы заявляют об отсутствии конфликта интересов при выполнении работы и подготовки данной статьи.
1 В англоязычной литературе этот параметр имеет название «агрегированный коэффициент перехода» – Tag.
2 Данные таблицы 1 эти площади не включают.
3 С 1959 до 1988 г. был в составе Новозыбковского района.
About the authors
Sergey V. Fesenko
NRC “Kurchatov Institute” — Russian Research Institute of Radiology and Agroecology
Author for correspondence.
Email: Corwin_17F@mail.ru
ORCID iD: 0000-0003-1238-3689
Russian Federation, Obninsk
Pyotr V. Prudnikov
Bryaynsk Center of Chemistry and Agricultural Radiology
Email: agrohim32@mail.ru
Russian Federation, Bryansk
Nizametdin N. Isamov
NRC “Kurchatov Institute” — Russian Research Institute of Radiology and Agroecology
Email: nizomis@yandex.ru
ORCID iD: 0000-0001-5799-4964
Russian Federation, Obninsk
Evgeniya S. Emlyutina
NRC “Kurchatov Institute” — Russian Research Institute of Radiology and Agroecology
Email: janefesenko@gmail.com
ORCID iD: 0000-0002-8660-8679
Russian Federation, Obninsk
Igor E. Titov
NRC “Kurchatov Institute” — Russian Research Institute of Radiology and Agroecology
Email: titan13_08@mail.ru
ORCID iD: 0000-0002-5275-3229
Russian Federation, Obninsk
Olga A. Shubina
NRC “Kurchatov Institute” — Russian Research Institute of Radiology and Agroecology
Email: olgashu76@gmail.com
ORCID iD: 0000-0003-3055-9473
Russian Federation, Obninsk
References
- Alexakhin R.M., Fesenko S.V., Sanzharova N.I. Serious radiation accidents and the radiological impact on agriculture. Radiat. Prot. Dosim. 1996;64:37–42.
- Алексахин Р.М., Крышев И.И., Фесенко С.В. и др. Радиоэкологические проблемы ядерной энергетики. Атомная энергия. 1990;68(5):320—327. [Alexsakhin R.M., Kryshev I.I., Fesenko S.V. et al. Radioecological problems of nuclear energy. Nuclear energy. 1990;68(5):320—327. (In Russ.)]
- Радиоэкологические последствия аварии на Чернобыльской АЭС: биологические эффекты, миграция, реабилитация загрязненных территорий: Монография. Под ред. Санжаровой Н.И. и Фесенко С.В. М.: РАН, 2018. 278 с. [Radioekologicheskie posledstviya avarii na Chernobyl’skoj AES: biologicheskie effekty, migraciya, reabilitaciya zagryaznennyh territorij: Monografiya. Pod red. N.I. Sanzharovoj i S.V. Fesenko. M. RAN, 2018. 278 p. (In Russ.)]
- Fesenko S.V., Jacob P., Alexakhin R. et al. Important factors governing exposure of the population and countermeasure application in rural settlements of the Russian Federation in the long term after the Chernobyl accident. J. Environ. Radioact. 2001;56:77–98.
- Панов А.В., Фесенко С.В., Санжарова Н.И. и др. Влияние сельскохозяйственных контрмер на облучение населения территорий, пострадавших от аварии на Чернобыльской АЭС. Радиация и риск. 2006;46(2):273–279. [Panov A.V., Fesenko S.V., Sanzharova N.I. et al. Impact of Agricultural Countermeasures on the Exposure of the Population of the Areas Affected by the Chernobyl Accident. Radiation and Risk. 2006;46(2):273–279 (In Russ.)]
- Alexakhin R.M., Sanzharova N.I., Fesenko S.V. et al. Chernobyl radionuclide distribution, migration, and environmental and agricultural impacts. Health Phys. 2007;93(5):418–426.
- Fesenko S.V., Alexakhin R.M., Balonov M.I. et.al. Twenty years’ application of agricultural countermeasures following the Chernobyl accident: lessons learned. J. Radiat. Prot. 2006. v. 26, p. 351— 359.
- Маркина З.Н., Курганов А.А., Воробьев Г.Т. Радиоактивное загрязнение продукции растениеводства Брянской области. Брянск: Брянский Центр «Агрохимрадиология», 1997. 241 c. [Markina Z.N., Kurganov A.A., Vorob’ev G.T. Radioaktivnoe zagrjaznenie produkcii rastenievodstva Brjanskoj oblasti. Brjansk: Brjanskij Centr «Agrohimradiologija», 1997. 241 p. (In Russ.)]
- Прудников П.В. Использование агрономических руд и новых комплексных минеральных удобрений на радиоактивно загрязненных почвах. Брянск: Брянский Центр «Агрохимрадиология». 2012. 212 с. [Prudnikov P.V. Ispol’zovanie agronomicheskih rud i novyh kompleksnyh mineral’nyh udobrenij na radioaktivno zagrjaznennyh pochvah. Brjansk: Brjanskij Centr «Agrohimradiologija», 2012. 212 p. (In Russ.)]
- Fesenko S.V., Alexakhin R.M., Sanzharova N.I., Spiridonov S.I. Dynamics of concentration in agricultural products in areas of Russia contaminated as a result of the accident at the Chernobyl nuclear power plant. Radiat. Prot. Dosim. 1995;60(2):155–166.
- Fesenko S.V., Colgan P.A., Sanzharova N.I. et al. The dynamics of the transfer of caesium–137 to animal fodder is areas of Russia affected by the Chernobyl accident and resulting doses from the consumption of milk and milk products. Radiat. Prot. Dosim. 1997;69 (4):289–299.
- Фесенко С.В., Санжарова Н.И., Лисянский К.Б., Алексахин P.M. Динамика снижения коэффициентов перехода в сельскохозяйственные растения после аварии на Чернобыльской АЭС. Радиац. биология. Радиоэкология. 1998;38(2):256–273. [Fesenko S.V., Sanzharova N.I., Lisyansky K.B., Alexakhin P.M. Dynamics of reduction of transfer factors to agricultural plants after the Chernobyl accident. Radiation Biology. Radioecology. 1998;38(2):256–273. (In Russ.)]
- Fesenko S., Sanzharova N., Vidal M. et al. Radioecological definitions, soil, plant classifications and reference ecological data for radiological assessments. In: Quantification of Radionuclide Transfer in Terrestrial and Freshwater Environments for Radiological Assessments. IAEA–TECDOC–1616. Vienna: IAEA. 2009, 7–26.
- Фесенко С.В., Прудников П.В., Емлютина Е.С. и др. Динамика содержания в сельскохозяйственной продукции после аварии на ЧАЭС: зерно, картофель и овощи. Радиац. гигиена. 2022;15(4):81–93. [Fesenko SV, Prudnikov P.V., Emljutina E.S., Epifanova I.Je., Shubina O.A. Dynamics of concentrations in agricultural products after the Chernobyl accident: cereals, potato, and vegetables. Radiation Hygiene. 2022;15(4):81–93. (In Russ.)]
- Фесенко С.В., Прудников П.В., Исамов Н.Н. и др. Динамика снижения содержания в кормовых культурах в отдаленный период после аварии на Чернобыльской АЭС. Радиац. биология. Радиоэкология. 2022;62(2) 185–195. [Fesenko S.V., Prudnikov P.V., Isamov N.N. et al. Dynamics of Concentration in Fodders in the Long–Term after the Chernobyl Accident. Radiation Biology. Radioecology. 2022; 62(2):185–195. (In Russ.)]
- Финогенов А.А., Ткачев В.А., Локшин А.М. и др. Российский Национальный Доклад: 35 лет чернобыльской аварии. Итоги и перспективы преодоления ее последствий в России. 1986–2021. М.: ИБРАЭ, 2021. 116 с. [Finogenov A.A., Tkachev V.A., Lokshin A.M., Asmolov V.G., Verpeta V.I., Kuzmin S.V. et al. Russian National Report: 35 years of the Chernobyl accident. results and prospects of overcoming its consequences in Russia. 1986–2021. M.: IBRAE, 2021. 116 p. (In Russ.).]
- Гераськин С.А., Фесенко С.В., Черняева Л.Г., Санжарова Н.И. Статистические методы анализа эмпирических распределений коэффициентов накопления радионуклидов растениями. Сельскохоз. биология. 1991;1:130–137. [Geras’kin S.A., Fesenko S.V., Chernyaeva L.G., Sanzharova N.I. Statisticheskie metody analiza jempiricheskih raspredelenij kojefficientov nakoplenija radionuklidov rastenijami. Sel’skohozjajstvennaya biologiya. 1991;1:130–137. (In Russ.)]
- Воробьев Г.Т. Почвы Брянской области. Брянск: Грани, 1993. 160 с. [Vorob’ev G.T. Pochvy Brjanskoj oblasti. Brjansk: Grani, 1993. 160 p. (In Russ.)]
- Временные рекомендации по ведению агропромышленного производства в Белорусской ССР на территории, подвергшейся радиоактивному загрязнению. Государственный агропромышленный комитет СССР. М.: Всесоюзный научно-исследовательский институт сельскохозяйственной радиологии (ВНИИСХР), 1986. 241 c. [Vremennye rekomendacii po vedeniju agropromyshlennogo proizvodstva v Belorusskoj SSR na territorii, podvergshejsja radioaktivnomu zagrjazneniju. Moskva: VNIISHR, 1986. 41 p. (In Russ.)]
- Рекомендации по ведению сельского хозяйства в условиях радиоактивного загрязнения территории в результате аварии на Чернобыльской АЭС на период 1991–1995 гг. Обнинск: ВНИИСХР, 1991. 39 c. [Rekomendacii po vedeniju sel’skogo hozjajstva v uslovijah radioaktivnogo zagrjaznenija territorii v rezul’tate avarii na Chernobyl’skoj AJeS na period 1991–1995. Obninsk: VNIISHR, 1991. 39 p. (In Russ.)]
- Руководство по ведению сельскохозяйственного производства на радиоактивно загрязненных территориях Республики Беларусь и Российской Федерации. М.: МинЧС Российской Федерации, 2005. 40 c. [Rukovodstvo po vedeniju sel’skohozjajstvennogo proizvodstva na radioaktivno zagrjaznjonnyh territorijah Respubliki Belarus’ i Rossijskoj Federacii. Minsk-Moskva: MinChS Rossijskoj Federacii, 2005. 40 p. (In Russ.)]
- Pröhl G., Ehlken S., Fiedler I. et al. Ecological half-lives of and in terrestrial and aquatic ecosystems. J. Environ. Radioact. 2006;91(1–2):41–72.
- Mück K. Long-term effective decrease of cesium concentration in foodstuffs after nuclear fallout. Health Phys. 1997;72(5):659–673.
- Tagami K., Tsukada H., Uchida S., Howard B.J. Changes in the soil to brown rice concentration ratio of radiocaesium before and after the Fukushima Daiichi nuclear power plant accident in 2011. Environ. Sci. Techn. 2018;52:8339.
- Tagami K., Uchida S. Effective half-lives of in giant butterbur and field horsetail, and the distribution differences of potassium and in aboveground tissue parts. J. Environ. Radioact. 2015;141:138–145.
- Tagami K., Hashimoto S., Kusakabe M. Pre- and post-accident environmental transfer of radionuclides in Japan: lessons learned in the IAEA MODARIA II programme J. Radiol. Prot. 2022(42)020509.
Supplementary files







