Содержание радионуклидов в хвое Pinus sylvestris L. в условиях Карачаево-Черкесской Республики (Западный Кавказ)
- Авторы: Моллаева М.З.1, Темботова Ф.А.1, Гангапшев А.М.2, Казалов В.В.2, Гежаев А.М.2
-
Учреждения:
- Институт экологии горных территорий им. А.К. Темботова
- Институт ядерных исследований РАН
- Выпуск: Том 63, № 4 (2023)
- Страницы: 403-410
- Раздел: Радионуклиды
- URL: https://bakhtiniada.ru/0869-8031/article/view/137696
- DOI: https://doi.org/10.31857/S0869803123040069
- EDN: https://elibrary.ru/OSCLJW
- ID: 137696
Цитировать
Полный текст
Аннотация
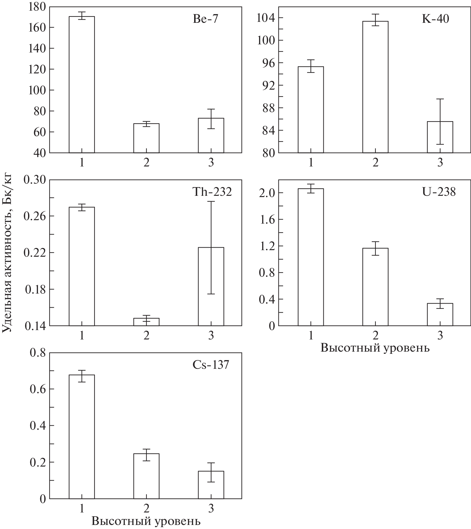
Представлены оригинальные данные о содержании радионуклидов естественного (примордиальные и космогенные) и техногенного происхождения в ассимиляционном аппарате сосны обыкновенной (Pinus sylvestris L.), произрастающей на территории Западного Кавказа (в пределах Карачаево-Черкесской Республики). В хвое сосны выявлено содержание радиоизотопов бериллия 7Be, калия 40K, тория 232Th, урана 238U и цезия 137Cs. Выявлена связь содержания радионуклидов в образцах хвои сосны обыкновенной 7Be, 238U, 137Cs с высотой мест произрастания.
Ключевые слова
Об авторах
М. З. Моллаева
Институт экологии горных территорий им. А.К. Темботова
Автор, ответственный за переписку.
Email: monika.011@yandex.ru
Россия, Нальчик
Ф. А. Темботова
Институт экологии горных территорий им. А.К. Темботова
Email: monika.011@yandex.ru
Россия, Нальчик
А. М. Гангапшев
Институт ядерных исследований РАН
Email: monika.011@yandex.ru
Россия, Москва
В. В. Казалов
Институт ядерных исследований РАН
Email: monika.011@yandex.ru
Россия, Москва
А. М. Гежаев
Институт ядерных исследований РАН
Email: monika.011@yandex.ru
Россия, Москва
Список литературы
- Крючков В.В., Сыроид Н.А. Северотаежные биогеоценозы в условиях аэротехногенного воздействия. Общие проблемы биогеоценологии. М.: АН СССР, 1986. С. 13–15. [Kryuchkov V.V., Syroid N.A. Severotaezhnye biogeocenozy v usloviyah aerotekhnogennogo vozdejstviya. Obshchie problemy biogeocenologii. M.: AN SSSR, 1986. s. 13–15. (In Russ.)]
- Козубов Г.М., Таскаев А.И., Ладанова Н.В. Радиобиологические исследования сосновых лесов в районе аварии на Чернобыльской АЭС. Сыктывкар: Коми НЦ УрО АН СССР, 1987. 52 с. [Kozubov G.M., Taskaev A.I., Ladanova N.V. Radiobiologi-cheskie issledovaniya sosnovyh lesov v rajone avarii na CHernobyl’skoj AES. Syktyvkar: Komi NC UrO AN SSSR, 1987. 52 s] (In Russ.)
- Мельник Н.А., Кизеев А.Н. Радиоэкологические исследования хвойных пород деревьев // Вестник МГТУ. 2006. Т. 9. № 3. С. 429–433. [Mel’nik N.A., Kizeev A.N. Radioekologicheskie issledovaniya hvojnyh porod derev’ev // Vestnik MGTU. 2006. Т. 9. № 3. S. 429–433. (In Russ.)]
- Sparrow A.H., Woodwell G.M. Prediction of the sensitivity of plants to chronic gamma irradiation // Radiat. Botany. 1962. V. 2. P. 9–26.
- Кальченко В.А., Спирин Д.А Генетические эффекты в популяциях сосны обыкновенной, произрастающих в условиях хронического облучения малыми дозами // Генетика. 1989. Т. 25. № 6. С. 1059–1064. [Kal’chenko V.A., Spirin D.A Geneticheskie effekty v populyaciyah sosny obyknovennoj, proizrastayushchih v usloviyah hronicheskogo oblucheniya malymi dozami // Genetika. 1989. Т. 25. № 6. S. 1059–1064. (In Russ.)]
- Кальченко В.А., Абрамов В.И., Рубанович А.В., Шевченко В.А. Цитогенетические эффекты в популяциях растений, произрастающих на Восточно-Уральском радиоактивном следе // Радиац. биология. Радиоэкология. 2002. Т. 42. № 6. С. 745–749. [Kal’chenko V.A., Abramov V.I., Rubanovich A.V., Shevchenko V.A. Cytogenetic effects in plant population from the east Ural radioactive track // Radiation biology. Radioecology. 2002. V. 42. № 6. P. 745–749. (In Russ.)]
- Козубов Г.М., Таскаев А.И. Радиобиологические исследования хвойных в районе Чернобыльской катастрофы. М.: НПЦ “Дизайн. Информация. Картография”, 2002. 256 с. [Kozubov G.M., Taskaev A.I. Radiobiologicheskie issledovaniya hvojnyh v rajone CHernobyl’skoj katastrofy. M.: NPC “Dizajn. Informaciya. Kartografiya”, 2002. 256 s. (In Russ.)]
- Макаренко Е.С., Удалова А.А., Гераськин С.А. Морфометрические показатели хвои сосны обыкновенной в условиях хронического радиационного воздействия // Лесоведение. 2016. № 5. С. 355–364. [Makarenko E.S., Oudalova A.A., Geras’kin S.A. Morphometric indices of Scots pine needle under chronic radiation exposure // Contemporary Problems of Eco-logy. 2017. V. 10. № 7. С. 761–769. (In Russ.)]
- Макаренко Е.С. Исследование морфологических параметров и генетического полиморфизма в природных популяциях сосны обыкновенной в условиях хронического радиационного воздействия: Автореф. Дис. … канд. биол. наук. Обнинск, 2018. 25 с. [Makarenko E.S. Issledovanie morfologicheskih parametrov i geneticheskogo polimorfizma v prirodnyh populyaciyah sosny obyknovennoj v usloviyah hroni-cheskogo radiacionnogo vozdejstviya. Avtoref. disser-tacii kandidata biologicheskih nauk special’nost' “Radiobiologiya”, Obninsk, 2018. 25 s. (In Russ.)]
- Ананян В.Л. К вопросу о естественной радиоактивности почв Армении // Микроэлементы и естественная радиоактивность почв. Ростов-на-Дону, 1962. С. 56–63. [Ananyan V.L. K voprosu o estestvennoj radioaktivnosti pochv Armenii // Mikroelementy i estestvennaya radioaktivnost' pochv. Rostov-na-Donu. 1962. S. 56–63. (In Russ.)]
- Брендаков В.Ф., Иохельсон С.Б., Чуркин В.Н. Содержание радия, тория и калия в верхнем слое почв Кавказа // Почвоведение. 1967. № 1. С. 41–47. [Brendakov V.F., Iohel’son S.B., CHurkin V.N. Soderzhanie radiya, toriya i kaliya v verhnem sloe pochv Kavkaza // Pochvovedenie. 1967. № 1. S. 41–47. (In Russ.)]
- Асварова Т.А. Содержание урана и тория в доминирующих видах растений Центрального Кавказа // Юг России: экология, развитие. 2008. № 2. С. 39–44. [Asvarova T.A. The contents of uranium and thorium in the dominating kinds of plants of the Сentral Сaucasus // South of Russia: Ecology, Development Journal. 2008. № 2. P. 39–44. (In Russ.)]
- Асварова Т.А., Абдулаева А.С., Магомедов М.А. Естественные радионуклиды в породах и почвах высокогорных районов Большого Кавказа // Почвоведение. 2012. № 6. С. 695–707. [Asvarova T.A., Abdulaeva A.S., Magomedov M.A. Natural radionuclides in rocks and soils of the high-mountain regions of the Great Caucasus Eurasian // Soil Sci. 2012. V. 45. № 6. P. 625–637. (In Russ.)]
- Helmisaari H.-S. Spatial and age-related variation in nutrient concentrations of Pinus sylvestris needles // Silva Fennica. 1992. V. 26. № 3. P. 145–153.
- Мельник Н.А. Радиационный мониторинг естественных радионуклидов в северных широтах. Север-2003: проблемы и решения. Апатиты: Изд-во КНЦ РАН, 2004. С. 77–89. [Mel’nik N.A. Radiacionnyj monitoring estestvennyh radionuklidov v severnyh shirotah. Sever-2003: problemy i resheniya. Apatity: Izd-vo KNC RAN, 2004. S. 77–89, (In Russ.)]
- Темботова Ф.А., Гангапшев А.М., Моллаева М.З., Казалов В.В. Предварительные результаты радиоэкологических исследований хвойных пород на примере сосны обыкновенной // VIII науч.-практ. конф. “Горные экосистемы и их компоненты”. Нальчик, 2021. С. 55–56. [Tembotova F.A., Gangapshev A.M., Mollaeva M.Z., Kazalov V.V. Predvaritel’nye rezul’taty radioekologicheskih issledovanij hvojnyh porod na primere sosny obyknovennoj // Mat. Konf. “Gornye ekosistemy i ih komponenty”. Nal’chik, 2021. S. 55–56. (In Russ.)]
- Audi G., Wapstra A.H., Thibault C. The AME2003 atomic mass evaluation (II). Tables, graphs, and refe-rences // Nucl. Phys. A. 2003. V. 729. P. 337–676.
- Бураева Е.А., Малышевский В.С., Ратушный В.И. Космогенный бериллий-7 в земной атмосфере // Глобальная ядерная безопасность. 2020. № 4. (37). С. 17–29. [Buraeva E.A., Malyshevskij V.S., Ratushnyj V.I. Kosmogennyj berillij-7 v zemnoj atmosphere // Glo-bal’naya yadernaya bezopasnost’. 2020. № 4 (37). S. 17–29. (In Russ.)]
- Zhang F., Yang M., Zhang B. Activity concentration of beryllium-7 in plants on a loess plateau, China // J. Radioanal. Nucl. Chem. 2011. V. 289. P. 353–359. https://doi.org/10.1007/s10967-011-1078-y
- Кизеев А.Н., Жиров В.К., Никанов А.Н. Влияние промышленных эмиссий предприятий Кольского полуострова на ассимиляционный аппарат сосны // Экология человека. 2009. № 1. С. 9–13. [Kizeev A.N., Zhirov V.K., Nikanov A.N. Vliyanie promyshlennyh emissij predpriyatij Kol’skogo poluostrova na assimilyacionnyj apparat sosny // Ekologiya cheloveka. 2009. № 1. S. 9–13. (In Russ.)]
- Pöschl M., Brunclík T., Hanák J. Seasonal and inter-annual variation of Beryllium-7 deposition in birch-tree leaves and grass in the northeast upland area of the Czech Republic // J. Environ. Radioact. 2010. V. 101. P. 744–750.
- Li X., Zhang F., He Y., Delang C.O., Yang M. Variations of 7Be concentration in plants and significance for 7Be in soil on the Loess Plateau China: Based on three-year monitoring data// Plant Soil. 2022. P. 725–741.
- Куртмулаева В.Э., Карпенко Е.И., Нуштаев С.Н. Результаты комплексного радиоэкологического обследования региона размещения Ленинградской АЭС // IV науч.-практ. конф. “Экологическая и радиационная безопасность объектов атомной энергетики”. Калининград, 2017. С. 149–151. [Kurtmulaeva V.E., Karpenko E.I., Nushtaev S.N. Rezul’taty kompleksnogo radioekologicheskogo obsledovaniya regiona razmeshcheniya Leningradskoj AES // IV nauchno-prakt. konf. “Ekologicheskaya i radiacionnaya bezopasnost' ob"ektov atomnoj energetiki”. Kaliningrad, 2017. S. 149–151(In Russ.)]
- Abakumov E., Gangapshev A, Tembotov R., Gezhaev A. Radionuclide activity in cryoconite from glaciers of the Central Caucasus, Russia // Solid Earth Sciences. 2022. V. 7. № 4. P. 268–275. .https://doi.org/10.1016/j.sesci.2022.08.001
Дополнительные файлы








