Dependence of the Translocation Frequency in Blood Lymphocytes on the Dose and Age at the Onset of Exposure in Residents of the Techa Riverside Settlements
- Authors: Tolstykh E.I.1, Vozilova A.V.1, Degteva M.O.1, Akleev A.V.1,2
-
Affiliations:
- Ural Scientific and Practical Center of Radiation Medicine of the Federal Medical and Biological Agency of the Russian Federation
- Chelyabinsk State University
- Issue: Vol 63, No 2 (2023)
- Pages: 115-127
- Section: Studying the Consequences of Radiation Accidents
- URL: https://bakhtiniada.ru/0869-8031/article/view/137669
- DOI: https://doi.org/10.31857/S086980312302011X
- EDN: https://elibrary.ru/EPDGBB
- ID: 137669
Cite item
Full Text
Abstract
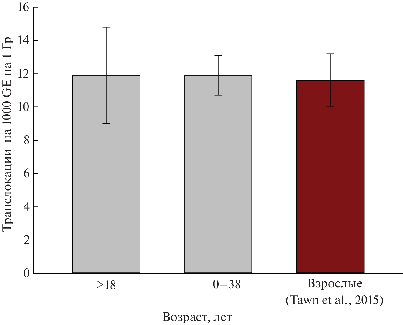
Evaluation of age effect on the frequency of radiation-induced translocations, registered using FISH in circulating T-lymphocytes in the long-term period after exposure, is both of theoretical and practical interest for the purposes of biodosimetry. The objective of our study was to analyze the dose dependence of the translocation frequency in the peripheral blood T-lymphocytes in donors of different age who were exposed in the Techa Riverside settlements (n = 197). In cytogenetic studies, whole chromosome painting probes were used to stain three pairs of chromosomes. A total of 104,721 genome equivalents (GE) were calculated and 2,540 translocations were found. For each donor, the individual absorbed doses in organs and tissues at the time of blood sampling were calculated using the Techa River Dosimetry System. In addition, doses to T-lymphocytes and their progenitors were calculated using the innovative modelling approach with due account of age related-dynamics of T-lymphocytes. The age dependence of the translocation frequency was associated particularly with these doses. The main sources of donor exposure were 89,90Sr, accumulating in bones and irradiating the bone marrow almost locally. To assess the parameters of the dose-effect relationship, linear regression model was used. After taking into account background values, the lowest frequency of translocations per 1000 GE per Gy was found in donors aged 0–5 years at the time of exposure (9.3 ± 1.3), which is statistically significantly lower than in children aged 6–18 years (15.3 ± 1.5), but not in adults (11.9 ± 2.9). The value for adults (>18 years) was characterized by the maximum scatter, but was close to the values obtained in an international study of nuclear enterprise personnel after external exposure (11.6 ± 1.6). The values of the background translocation frequencies registered in various age groups correspond to the published data obtained in a joint international study on unexposed donors. We have also confirmed the absence of sex-effect on the frequency of translocations.
About the authors
E. I. Tolstykh
Ural Scientific and Practical Center of Radiation Medicine of the Federal Medical and Biological Agencyof the Russian Federation
Author for correspondence.
Email: evgenia.tolstykh@yandex.ru
Russia, Chelyabinsk
A. V. Vozilova
Ural Scientific and Practical Center of Radiation Medicine of the Federal Medical and Biological Agencyof the Russian Federation
Email: evgenia.tolstykh@yandex.ru
Russia, Chelyabinsk
M. O. Degteva
Ural Scientific and Practical Center of Radiation Medicine of the Federal Medical and Biological Agencyof the Russian Federation
Email: evgenia.tolstykh@yandex.ru
Russia, Chelyabinsk
A. V. Akleev
Ural Scientific and Practical Center of Radiation Medicine of the Federal Medical and Biological Agencyof the Russian Federation; Chelyabinsk State University
Email: evgenia.tolstykh@yandex.ru
Russia, Chelyabinsk; Russia, Chelyabinsk
References
- Tucker J.D. Low-dose ionizing radiation and chromosome translocations: a review of the major considera-tions for human biological dosimetry // Mutat. Res. 2008. V. 659. № 3. P. 211–20. https://doi.org/10.1016/j.mrrev.2008.04.001
- Vorobtsova I., Semenov A., Timofeyeva N. et al. An investigation of the age-dependency of chromosome abnormalities in human populations exposed to low-dose ionising radiation // Mech. Ageing Dev. 2001. V. 122. № 13. P. 1373–82. https://doi.org/10.1016/s0047-6374(01)00275-5
- Sigurdson A.J., Ha M, Hauptmann M., Bhatti P. et al. International study of factors affecting human chromosome translocations // Mutat. Res. 2008. V. 652. № 2. P. 112–21. https://doi.org/10.1016/j.mrgentox.2008.01.005
- Rube C.E., Fricke A., Widmann T.A. et al. Accumulation of DNA Damage in Hematopoietic Stem and Progenitor Cells during Human Aging // PLoS ONE. 2011. V. 6. № 3. P. e17487. https://doi.org/10.1371/journal.pone.0017487
- Tawn E.J., Curwen G.B., Jonas P. et al. Chromosome Aberrations Determined by FISH in Radiation Workers from the Sellafield Nuclear Facility // Radiat. Res. 2015. V. 184. № 3. P. 296–303. https://doi.org/10.1667/RR14125.1
- Sotnik N.V., Osovets S.V., Scherthan H., Azizova T.V. mFISH analysis of chromosome aberrations in workers occupationally exposed to mixed radiation // Radiat. Environ. Biophys. 2014. V. 53. № 2. P. 347–54. https://doi.org/10.1007/s00411-014-0536-7
- Vozilova A.V., Shagina N.B., Degteva M.O. et al. Preli-minary FISH-based assessment of external dose for residents exposed on the Techa River // Radiat. Res. 2012. V. 177. № 1. P. 84–91. https://doi.org/10.1667/rr2485.1
- Vozilova A.V., Shagina N.B., Degteva M.O. et al. FISH analysis of translocations induced by chronic exposure to Sr radioisotopes: second set of analysis of the Techa River Cohort // Radiat. Prot. Dosim. 2014. V. 159. № 1–4. P. 34–37. https://doi.org/10.1093/rpd/ncu131
- Дегтева М.О. Шишкина Е.А., Толстых Е.И. и др. Использование методов ЭПР и FISH для реконструкции доз у людей, облучившихся на реке Теча // Радиац. биология. Радиоэкология. 2017. Т. 57. № 1. С. 34–45. [Degteva M.O., Shishkina E.A., Tolstykh E.I. et al. Application of the EPR and FISH Methods to Dose Reconstruction for People Exposed in the Techa River Area // Radiats. Biol. Radioecol. 2017. V. 57. № 1. P. 34–45. (In Russ.)] PMID: 30698929
- Толстых Е.И., Возилова А.В., Дегтева М.О. и др. Концепция Т-клеточного рода как основа для анализа результатов цитогенетических исследований при локальном облучении костного мозга // Радиац. биология. Радиоэкология. 2020. Т. 60. № 1. С. 12–25. [Tolstykh E.I., Vozilova A.V., Degteva M.O. et al. Concept of T-Cell Genus as the Basis for the Analysis of FIsh Results after Local Bone Marrow Exposure // Radiats. Biol. Radioecol. 2020. V. 60. № 1. P. 12–25 (In Russ.)]. https://doi.org/10.31857/S0869803121040111
- Tolstykh E.I., Degteva M.O., Vozilova A.V., Anspaugh L.R. Local bone-marrow exposure: how to interpret the data on stable chromosome aberrations in circulating lymphocytes? (some comments on the use of FISH method for dose reconstruction for Techa riverside Residents) // Radiat. Environ. Biophys. 2017. V. 56. № 4. P. 389–403. https://doi.org/10.1007/s00411-017-0712-7
- Толстых Е.И., Дегтева М.О., Возилова А.В., Аклеев А.В. Подходы к цитогенетической оценке дозы при радиационном воздействии на лимфоидную ткань кишечника // Радиац. биология. Радиоэкология. 2021. Т 61. № 4. С. 339–352. [Tolstykh E.I., Degteva M.O., Vozilova A.V., Akleyev A.V. Approaches to the Cytogenetic Assessment of the Dose due to Radiation Exposure of the Gut Associated Lymphoid Tissue // Radiats. Biol. Radioecol. 2021. V. 61. № 4. P. 339–352 (In Russ.)]. https://doi.org/10.31857/S0869803121040111]
- Giussani A., Lopez M.A., Romm H. et al. Eurados review of retrospective dosimetry techniques for internal exposures to ionising radiation and their applications // Radiat. Environ. Biophys. 2020. V. 59. № 3. P. 357–387. https://doi.org/10.1007/s00411-020-00845-y
- Толстых Е.И., Дегтева М.О., Кривощапов В.А., Напье Б.А. Метод оценки индивидуальных значений поступления 90Sr с рационом на основе измерений зубного датчика у жителей прибрежных сел р. Теча. // Вопр. радиац. безопасности. 2019. Т. 93. № 4. С. 55–63 [Tolstykh E.I., Degteva M.O., Krivoshchapov V.A., Napier B.A. Metod otsenki individual’nykh znacheniy postupleniya 90Sr s ratsionom na osnove izmereniy zubnogo datchika u zhiteley pribrezhnykh sol r. Techa // Voprosy radiatsionnoy bezopasnosti. 2019. V. 93. № 4. P. 55–63 (In Russ.)]
- Bauchinger M., Salassidis K., Braselmann H. et al. FISH-based analysis of stable translocations in a Techa River population // Int. J. Radiat. Biol. 1998. V. 73. № 6. P. 605–12. https://doi.org/10.1080/095530098141852
- Degteva M.O., Napier B.A., Tolstykh E.I. et al. Enhancements in the Techa River Dosimetry System: TRDS-2016D Code for Reconstruction of Deterministic Estimates of Dose From Environmental Exposures // Health Phys. 2019. V. 117. № 4. P. 378–387. https://doi.org/10.1097/HP.0000000000001067
- Дегтева M.O., Шагина Н.Б., Воробьева М.И. и др. Современное представление о радиоактивном загрязнении реки Теча в 1949–1956 гг. // Радиац. биология. Радиоэкология. 2016. Т. 56. № 5. С. 523–534. [Degteva M.O., Shagina N.B., Vorobiova M.I. et al. Contemporary Understanding of Radioactive Conta-mination of the Techa River in 1949–1956 // Radiats. Biol. Radioecol. 2016. V. 56. № 5. P. 523–534 (In Russ.)] PMID: 30703313. https://doi.org/10.7868/S0869803116050039
- Bains I. Mathematical Modelling of T Cell Homeostasis: A thesis submitted for the degree of Doctor of Philosophy of the University College London, 2010. http://discovery.ucl.ac.uk/20159/1/20159.pdf.
- Bains I., Yates A.J., Callard R.E. Heterogeneity in thymic emigrants: implications for thymectomy and immunosenescence // PLoS One. 2013. V. 8. № 2. P. e49554. https://doi.org/10.1371/journal.pone.0049554
- Hirosoft. Epicure: Fast, interactive software for the analysis of medical, public health, epidemiologic, econometric, and reliability data V. 2.10. Seattle, WA: Hirosoft International Corporation, 1998.
- Tolstykh E.I., Degteva M.O., Vozilova A.V. et al. Interpretation of FISH results in the case of nonuniform internal radiation exposure of human body with the use of model approach // Russian J. Genet. 2019. V. 55. № 10. P. 1227–1233. https://doi.org/10.1134/S1022795419100132
- Napier B.A., Degteva M.O., Shagina N.B., Anspaugh L.R. Uncertainty analysis for the Techa River Dosimetry System // Med. Radiol. Radiat. Saf. 2013. V. 58. P. 5–28 (in Engl. and Russ.)
- Yates A., Chan C.C., Callard R.E. et al. An approach to modelling in immunology // Brief Bioinform. 2001. V. 2. № 3. P. 245–257. https://doi.org/10.1093/bib/2.3.245
- Ye P., Kirschner D.E. Measuring emigration of human thymocytes by T-cell receptor excision circles // Crit. Rev. Immunol. 2002. V. 22. № 5–6. P. 483–497. PMID: 12803323
- Hazenberg M.D., Otto S.A., van Rossum A.M. et al. Establishment of the CD4+ T-cell pool in healthy children and untreated children infected with HIV-1 // Blood. 2004. V. 104. № 12. P. 3513–3519. https://doi.org/10.1182/blood-2004-03-0805
- De Boer R.J., Perelson A.S. Quantifying T lymphocyte turnover // J. Theor. Biol. 2013. V. 327. P. 45–87. https://doi.org/10.1016/j.jtbi.2012.12.025
- Gomolka M., Oestreicher U., Rößler U. et al. Age-dependent differences in DNA damage after in vitro CT exposure // Int. J. Radiat. Biol. 2018. V. 94. № 3. 272–281. https://doi.org/10.1080/09553002.2018.1419302
- Ariyoshi K., Miura T., Kasai K. et al. Age Dependence of Radiation-Induced Genomic Instability in Mouse Hematopoietic Stem Cells // Radiat. Res. 2018. V. 190. № 6. P. 623–633. https://doi.org/10.1667/RR15113.1
- Kovalchuk I.P., Golubov A., Koturbash I.V. et al. Age-dependent changes in DNA repair in radiation-exposed mice // Radiat. Res. 2014. V. 182. № 6. P. 683–694. https://doi.org/10.1667/RR13697.1
- Vandevoorde C., Vral A., Vandekerckhove B. et al. Radiation Sensitivity of Human CD34(+) Cells Versus Peripheral Blood T Lymphocytes of Newborns and Adults: DNA Repair and Mutagenic Effects // Radiat. Res. 2016. V. 185. № 6. P. 580–90. https://doi.org/10.1667/RR14109.1
Supplementary files





