Влияние современных климатических изменений на параметры модели морфологической структуры речных пойм в криолитозоне
- Авторы: Архипова М.В.1, Гущина Д.Ю.2, Трапезникова О.Н.1
-
Учреждения:
- Институт геоэкологии им. Е.М. Сергеева Российской академии наук
- Московский государственный университет им. М.В. Ломоносова
- Выпуск: № 4 (2024)
- Страницы: 38-49
- Раздел: МОДЕЛИ В ИНЖЕНЕРНОЙ ГЕОЛОГИИ И ГИДРОГЕОЛОГИИ
- URL: https://bakhtiniada.ru/0869-7809/article/view/274966
- DOI: https://doi.org/10.31857/S0869780924040042
- EDN: https://elibrary.ru/SFUCJY
- ID: 274966
Цитировать
Полный текст
Аннотация
Настоящая работа представляет собой попытку оценки влияния современных климатических изменений на развитие в криолитозоне морфологической структуры речных пойм со свободным меандрированием на основе моделирования методами математической морфологии ландшафта. Исследование проведено на участках пойм, для которых имелись два срока съемки с достаточно большим интервалом между ними (около 50 лет). Поймы рек − динамичные территории со сложным “лоскутным” строением, находящиеся в состоянии динамического равновесия. В качестве характеристики изменения климатических условий рассчитаны тренды аномалий приземной температуры воздуха за период 1956−2019 гг. Для всех участков проверена математическая модель морфологической структуры ландшафта аллювиальной равнины. Анализ показал соответствие эмпирических данных теоретическим, что позволяет выбрать параметры модели для оценки изменения характера морфологической структуры под воздействием климатических изменений. Выдвинуто предположение, что климатические изменения могут приводить к изменению характеристик соответствующего распределения переменных, участвующих в модели, из-за нарушения динамического равновесия, что было проверено с использованием критерия Смирнова для двух независимых выборок. Выполнена оценка корреляции между температурными трендами и изменениями параметров модели. Показано, что влияние современных температурных изменений на развитие морфологической структуры речных пойм за последние 40−50 лет проявляется в изменении параметров распределений формирующихся пойменных сегментов, но существенно не меняет в целом статистические распределения в математической модели морфологической структуры аллювиальной равнины (поймы).
Полный текст
ВВЕДЕНИЕ
Наблюдающееся с середины XX в. изменение климата, несомненно, оказывает влияние на особенности динамики природных процессов, включая флювиальные. Как известно, флювиальные процессы отличаются повышенной изменчивостью. Особенности динамики этих процессов с учетом влияния изменения климата всегда были в центре внимания и дискуссий исследователей. Достаточно подробно изучены как современные флювиальные процессы [10, 13, 16, 18, 21, 24], так и их палеодинамика, связанная с межледниково-ледниковыми климатическими циклами [9, 22]. По мнению А.В. Панина с соавторами [9], голоценовая динамика пойменного рельефообразования в северной части Евразии за пределами валдайского оледенения связана с гидроклиматическими и температурными колебаниями, когда периодам похолодания соответствовал рост стока и флювиальной активности, а периодам относительного потепления — снижение стока и падение флювиальной активности. Много работ посвящено оценке изменений речного стока, в частности, рек высоких широт РФ за последние 50—60 лет, и их связи с климатическими изменениями [1, 7, 23]. Обзор публикаций последних лет вкупе с собственными исследованиями по оценке изменений водного режима рек России представил коллектив исследователей во главе с Н.Д. Фроловой [12]. Эти работы свидетельствуют о том, что в целом по России в последние десятилетия произошли значимые изменения годовых и максимальных расходов рек. Сильнее всего увеличились расходы рек на восточном склоне Урала, Обь-Иртышском междуречье и на востоке Евразии от Восточной Сибири до Колымы (10—50%). Напротив, северная часть Западно-Сибирской равнины, бассейны Ангары и Енисея характеризуются более или менее стабильными показателями расходов в реках (±10%). Снижение расходов в высоких широтах отмечено только на Чукотке, северном побережье Охотского моря и Камчатке.
Однако непосредственно влияние современных климатических изменений, происходивших в течение последних 50 лет [15], на пойменное рельефообразование пока анализировалось мало. Кроме того, большинство таких исследований носит качественный, а не количественный характер.
Целью настоящей работы является попытка оценить влияние современных климатических изменений на развитие речных пойм в криолитозоне на основе методов математической морфологии ландшафта [5].
Для выполнения поставленной цели были решены следующие задачи:
- проверка применимости математической модели морфологической структуры пойменных равнин (см. [4]) для рек криолитозоны;
- сбор и анализ данных по изменению климатических параметров (трендов аномалий температур) для выявления его влияния на формирование рельефа пойм;
- проверка влияния климатических изменений на морфологическую структуру пойм рек криолитозоны на основании результатов, полученных при решении первых двух задач.
В исследовании анализировались поймы рек со свободным меандрированием, чей рельеф сформирован флювиальными процессами на разных стадиях развития, поэтому они представляют собой динамичные территории со сложным “лоскутным” строением. Такие ландшафты (равнины в геоморфологическом отношении) широко распространены в большинстве природно-климатических зон в качестве интразональных. В нашем исследовании рассматриваются современные поймы рек со свободными излучинами, расположенные в криолитозоне, — территории, особо чувствительной к климатическим изменениям.
МАТЕРИАЛЫ И МЕТОДЫ
Исследование опирается на математическую модель морфологической структуры ландшафта аллювиальной равнины [3]. Модель позволяет работать с количественными характеристиками ландшафтного рисунка аллювиальных равнин, к которым относятся и современные поймы рек. Эти характеристики достаточно просто получить, используя данные дистанционного зондирования. Модель прошла эмпирическую проверку на ряде участков рек (см. работы [2, 4]). Аналогов моделей, анализирующих ландшафтные рисунки, возникающие в результате меандрирования рек немного. В основном при моделировании внимание уделяется геометрии речных русел и форм меандр. Из наиболее интересных можно назвать работы [16, 17, 21, 25].
Данная модель описывает ландшафтный рисунок современной аллювиальной равнины (поймы), сформированной свободно меандрирующими излучинами, который в основном состоит из повышений (грив) и понижений между ними, имеющих форму дуг, согласованных друг с другом. Они возникают в процессе развития излучины, который представляет собой постепенное изгибание, завершающееся спрямлением излучины. Такой этап развития излучины, включающий интервал времени от спрямления до спрямления, в рамках настоящей статьи называется циклом развития излучины. Назовем совокупность грив и межгривных понижений, генерирующихся за один цикл развития излучины, пойменным сегментом. Сегменты, сгенерированные в разное время, без видимого порядка и с угловым несогласием прилегают друг к другу, порой “съедая” части друг друга, при этом могут сохраняться фрагменты сегментов. Пойменные сегменты образуют ландшафтный рисунок этого типа пойм. Пойменный сегмент, непосредственно опирающийся на русло, является самым молодым сегментом, сформировавшимся в результате последнего цикла формирования излучины, поэтому этот сегмент не мог подвергнуться стиранию в отличие от предшествующих. Таким образом, в пределах аллювиальной равнины наблюдается набор разновозрастных, разнесенных во времени фрагментов пойменных сегментов (рис. 1).
Рис. 1. Типичное изображение речной поймы на материалах космической съемки: а – участок р. Хейгияха, б – пойменная излучина космическом снимке 1964 г., в – эта же излучина на снимке 2017 г. (произошло спрямление излучины), г – сегменты в пределах излучины (молодые сегменты показаны решетчатой штриховкой, старые — наклонной штриховкой).
Для анализа развития пойменных сегментов взята одна из определяющих морфологических характеристик рассматриваемого ландшафта — распределение размера (длины стрелы) сегмента. Стрелой сегмента по аналогии со стрелкой дуги называется размер сегмента в направлении, перпендикулярном хорде основания.
Охарактеризованная выше сложная морфологическая и возрастная дифференциация речных пойм может быть описана с помощью математической модели морфологической структуры аллювиальных равнин [3—5]. Модель использует следующие допущения:
- спрямления излучин происходят независимо друг от друга;
- вероятность k спрямлений за интервал времени Δt (pk) зависит только от величины интервала времени 1 ;
p1 = µ∆t + о(∆t), (1)
pk = o(∆t) k ≥ 2, (2)
где µ – среднее число спрямлений излучин за единицу времени;
- стрела излучины растет равномерно во времени.
Последнее допущение является линейным приближением реальной зависимости роста стрелы излучины со временем, данные о которой в литературе весьма ограничены [8]; оно представляется более точным прежде всего для широко распространенных сегментных излучин.
Анализ модели позволил показать [4, 6], что здесь устанавливается состояние динамического равновесия. Показано, что в условиях динамического равновесия в любой момент времени распределение длин стрел сегментов отвечает экспоненциальному распределению
(3)
где λ– параметр (в нашем случае величина обратная средней длине стрелы на участке исследования), тоже относится и к распределению длин стрел молодых сегментов.
В задачу исследования входила проверка соответствия модели данным, полученным по материалам дистанционного зондирования, и анализ связи изменений параметров модели между двумя сроками съемки с климатическими изменениями.
Исследование было проведено на участках пойм, для которых имелись два срока съемки с достаточно большим (в идеале около 50 лет) интервалом между ними. Были использованы следующие материалы космической съемки:
- архивные снимки Corona (3–7 м/пикс, 1964–1980 гг.) для срока наблюдения 1;
- современные высокодетальные снимки 0.5–0.7 м/пикс (Pleiades, Worldview 2, 2011–2018) для срока наблюдения 2.
Для данного исследования выбраны участки, расположенные на севере Восточно-Европейской равнины (2 участка), на Западно-Сибирской низменности (3 участка), в бассейне р. Лена (3 участка), в Восточной Сибири (2 участка), на Камчатке (1 участок) (рис. 2). Таким образом, они представляют различные регионы криолитозоны. Участки захватывают поймы и вытянуты вдоль течения рек, длина участков колеблется от 10 до 30 км. Основным требованием к выделению участка была его морфологическая однородность (включая отсутствие крупных притоков).
Рис. 2. Расположение ключевых участков речных пойм.
В работе в качестве характеристики климатических изменений используются тренды аномалий приземной температуры воздуха (на высоте 2 м – стандартный уровень измерений температуры воздуха на метеорологических станциях) за период 40–50 лет (длина периода определялась интервалом времени между используемыми спутниковыми снимками). Для расчета температурных трендов использованы данные Web-приложения Climate at a Glance (Климат с первого взгляда) NOAA – Национального центра информации по окружающей среде [20].
Аномалии температуры воздуха рассчитывались путем вычитания из данных о температуре воздуха за каждый текущий месяц значения за соответствующий месяц, осредненного по периоду 1981–2010 гг. (референтный период, используемый во многих современных климатических исследованиях). Затем были рассчитаны тренды (в °С за десятилетие) аномалий температуры воздуха за период 1956–2018 гг., охватывающий максимальный интервал между двумя исследуемыми сроками. Поскольку использованные реанализы представляют собой продукт интерполяции станционных наблюдений на градусную сетку, для оценки возможных отклонений данных реанализа от наблюдений было проведено сравнение рассчитанных по ним трендов аномалий температуры и данных наблюдений на метеостанциях из архива Всероссийского научно-исследовательского института гидрометеорологической информации, мирового центра данных — ВНИИГМИ-МЦД (http://meteo.ru/data). Результаты сравнения показали, что знаки температурных трендов на всех участках и для всех месяцев года для станционных данных и реанализа совпадают. Величина отклонения при этом не превышает 20%.
В работе [9] установлено, что современный рисунок пойм может быть сформирован сегментами разного возраста, морфологические характеристики которых связаны с климатическими условиями в период их формирования. Поскольку данные по климатическим изменениям существуют за последние 50 лет, то исследование было сфокусировано на современных проявлениях флювиального процесса.
В исследовании сделана попытка выявить как климатические изменения могут отразиться на характере меандрирования рек, и, следовательно, на характеристиках излучин (в данном случае на изменении свойств выборок длин стрел пойменных сегментов) для чего были проверены следующие предположения:
- Изменения климата оказывают столь сильное воздействие на речные поймы, что нарушается состояние динамического равновесия. В этом случае распределение длин стрел в молодых сегментах не должно отвечать экспоненциальному распределению.
- Происходящие климатические изменения могут приводить к изменению характера соответствующего распределения параметров модели из-за нарушения динамического равновесия, в результате чего длины стрел в разные сроки будут характеризоваться различными распределениями пусть и одного вида, но с разными значениями параметров.
В связи с изложенным было проведено сравнение выборок двух сроков, относящихся к одному участку, на предмет наличия статистически значимых различий с использованием критерия Смирнова для двух независимых выборок [11]. Сравнение было проведено как для стрел всех пойменных сегментов, так и отдельно только для молодых стрел на каждом ключевом участке.
Проведена оценка тесноты связи между климатическими изменениями и изменениями морфологической структуры ключевых участков пойм на основе корреляции между температурными трендами и изменениями параметров модели между сроком наблюдения 1 и сроком наблюдения 2. Для расчета корреляции использованы следующие параметры:
- тренды аномалий приземной температуры воздуха и изменения параметра модели (λ) [2],
- изменение средней длины стрелы () для каждого участка.
Эти величины были выбраны, исходя из их роли в математической модели морфологической структуры аллювиальных равнин. Поскольку предполагается, что климатические изменения влияют на интенсивность флювиальных процессов, что может приводить как к уменьшению , так и к ее увеличению, то также были рассчитаны корреляции трендов температурных аномалий с изменениями параметров модели, взятых по модулю. Проведена оценка значимости полученных результатов с использованием критерия Стьюдента.
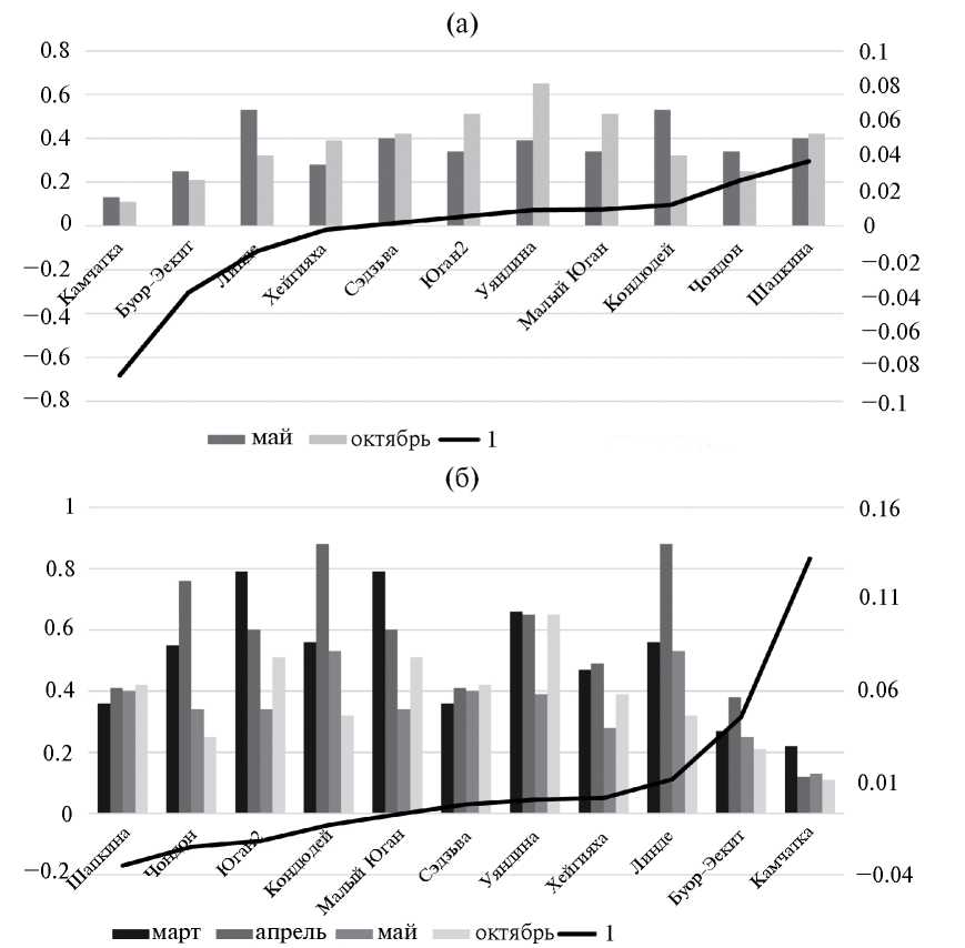
При расчете корреляции было принято во внимание, что, хотя подбирались реки близкие по морфологическому строению, они все же различаются по водности и другим параметрам. Чтобы учесть это обстоятельство, было произведено нормирование исследуемых параметров, с использованием средней длины стрел. За единицу выбрана средняя длина стрел, полученная со снимков Corona (первый срок наблюдений). Изменение средних длин стрел вычислялось, как доля от средней по первому сроку (рис. 3).
Рис. 3. Нормированное изменение средних длин стрел Δ формирующихся сегментов (реки ранжированы по местоположению участка с запада на восток).
(4)
где – средняя длина стрелы на сроке 1, а – средняя длина стрелы на сроке 2.
Аналогично проведено нормирование изменения параметра λ (Δλ)
, (5)
где λ – параметр, обратный среднему значению длин стрел.
Поскольку тренд температурных аномалий рассчитывался по скользящему десятилетнему периоду, то нормированное изменение средних длин стрел и изменение значения λ между сроками также было рассчитано по десятилетним периодам в предположении, что в первом приближении имеет место линейная зависимость между временем и изменениями длин стрел сегментов и λ (рис. 4).
Рис. 4. Изменение средних длин стрел (Δ) (а) и Δλ (б) формирующихся сегментов в сравнении с величинами трендов аномалий температуры (1). На левой оси показаны изменения аномалий температуры в °С/10 лет, по правой — изменения средних длин стрел (Δ) (м) и параметра Δλ (1/м).
РЕЗУЛЬТАТЫ И ОБСУЖДЕНИЕ
Проведенный анализ показал, что используемая математическая модель морфологической структуры ландшафта аллювиальной равнины [3–5] верна для выбранных участков. Так, распределение длин стрел молодых сегментов за оба срока, согласно критерию Пирсона, отвечает экспоненциальному распределению со сдвигом, как это следует из данной модели (табл. 1). Распределения длин стрел всех сегментов за оба срока были исследованы ранее и было показано, что они также отвечают экспоненциальному распределению со сдвигом [26]. Использование экспоненциальных распределений со сдвигом обусловлено тем, что при дешифрировании снимков могут быть выделены фрагменты сегментов, состоящие как минимум из двух грив и одного межгривного понижения, а состоящие из одной гривы не выделяются.
Таблица 1. Соответствие эмпирических распределений длин стрел пойменных сегментов экспоненциальному распределению со сдвигом
Местоположение, пойма реки | Год съемки | Объем выборки | Сдвиг | Параметр λ | хи-квадрат | хи-квадрат (0.95) |
Шапкина | 1976 | 53 | 25 | 0.004645 | 1.899 | 7.815 |
2017 | 53 | 25 | 0.003961 | 7.506 | 7.815 | |
Сэдьзва | 1976 | 53 | 21 | 0.006619 | 1.188 | 9.488 |
2017 | 50 | 21 | 0.006571 | 4.86743 | 9.488 | |
Хейгияха | 2017 | 56 | 32 | 0.003123 | 5.760 | 9.488 |
1964 | 56 | 31 | 0.003153 | 4.160 | 9.488 | |
Юган | 2012 | 52 | 27 | 0.004163 | 0.606 | 7.815 |
1970 | 51 | 43 | 0.004579 | 1.816 | 7.815 | |
Малый Юган | 2012 | 61 | 17 | 0.005762 | 0.856 | 5.99 |
1970 | 57 | 13 | 0.00594 | 4.544 | 11.07 | |
Буор-Эекит | 2018 | 55 | 47 | 0.002343 | 5.430 | 5.99 |
1968 | 60 | 34 | 0.004938 | 2.010 | 7.815 | |
Линде | 2017 | 55 | 27 | 0.003436 | 5.37 | 9.488 |
1980 | 55 | 32 | 0.003289 | 8.186 | 9.488 | |
Кондюдей | 2017 | 68 | 19 | 0.006955 | 1.110 | 9.488 |
1980 | 68 | 19 | 0.007304 | 0.617 | 9.488 | |
Уяндина | 2018 | 53 | 74 | 0.002383 | 1.101 | 5.99 |
1975 | 56 | 54 | 0.002374 | 5.214 | 5.99 | |
Чондон | 1965 | 57 | 18 | 0.00568 | 1.793 | 9.488 |
2018 | 52 | 18 | 0.004934 | 4.072 | 11.07 | |
Камчатка | 2017 | 58 | 22 | 0.005626 | 1.807 | 5.99 |
1975 | 57 | 35 | 0.003619 | 4.322 | 9.488 |
Анализ рассчитанных для исследуемых участков трендов аномалий приземной температуры показал их неоднородность, как по временам года, так и по географической привязке при устойчивом увеличении приземной температуры в целом за исследованный период (табл. 2). Так, максимальные положительные тренды наблюдаются в переходные сезоны (весна и осень), минимальные положительные тренды в летний период.
Таблица 2. Тренды аномалий приземной температуры
Месяц года | Местоположение участка | ||||||||
Коми | Западная Сибирь | Средняя Сибирь, бассейн р. Лены | Восточная Сибирь | Камчатка | |||||
Пойма реки | |||||||||
Шапкина, Сэдзьва | Хейгияха | Юган2, Малый Юган | Линде | Буор-Эекит | Кондюдей | Чондон | Уяндина | Камчатка | |
12 | 0.24 | 0.26 | 0.45 | 0.18 | 0.13 | 0.18 | 0.35 | 0.47 | 0.12 |
1 | 0.3 | 0.19 | 0.26 | 0.64 | 0.28 | 0.64 | 0.55 | 0.39 | 0.14 |
2 | 0.17 | 0.34 | 0.56* | 0.23 | 0.02 | 0.23 | 0.06 | 0.21 | 0.19 |
3 | 0.36 | 0.47 | 0.79 | 0.56 | 0.27 | 0.56 | 0.55 | 0.66 | 0.22 |
4 | 0.41 | 0.49 | 0.6 | 0.88 | 0.38 | 0.88 | 0.76 | 0.65 | 0.12 |
5 | 0.4 | 0.28 | 0.34 | 0.53 | 0.25 | 0.53 | 0.34 | 0.39 | 0.13 |
6 | 0.4 | 0.43 | 0.42 | 0.27 | 0.36 | 0.27 | 0.17 | 0.17 | 0.15 |
7 | 0.27 | 0.09 | 0 | 0.16 | 0.56 | 0.16 | 0.31 | 0.32 | 0.21 |
8 | 0.2 | 0.09 | 0.08 | 0.16 | 0.26 | 0.16 | 0.3 | 0.37 | 0.18 |
9 | 0.29 | 0.15 | 0.02 | 0.12 | 0.09 | 0.12 | 0.16 | 0.31 | 0.16 |
10 | 0.42 | 0.39 | 0.51 | 0.32 | 0.21 | 0.32 | 0.25 | 0.65 | 0.11 |
11 | 0.24 | 0.29 | 0.35 | 0.48 | 0.33 | 0.48 | 0.68 | 0.88 | 0.2 |
Зима | 0.22 | 0.26 | 0.42 | 0.37 | 0.15 | 0.37 | 0.35 | 0.39 | 0.16 |
Весна | 0.4 | 0.41 | 0.59 | 0.64 | 0.29 | 0.64 | 0.59 | 0.54 | 0.16 |
Лето | 0.3 | 0.20 | 0.18 | 0.18 | 0.41 | 0.18 | 0.26 | 0.29 | 0.19 |
Осень | 0.3 | 0.28 | 0.29 | 0.33 | 0.23 | 0.33 | 0.41 | 0.61 | 0.17 |
*Жирным шрифтом выделены значимые тренды температур.
Однако существуют различия в зависимости от географической локализации точек и от месяца года. В основном, максимальный тренд аномалий температуры отмечается весной и достигает 0.88°С/10 лет в Средней и Восточной Сибири. В Западной Сибири максимальный тренд наблюдается в марте-апреле. На участках в Восточной Сибири максимальный тренд отмечается в апреле и ноябре. В Коми тренд относительно небольшой по сравнению с участками в Сибири, его максимум 0.41°С/10 лет приходится на апрель. В Сибири менее всего изменились летние температуры, тогда как в Коми, напротив, зимние. Меньше всего выражены тренды температурных аномалий на Камчатке. Вероятнее всего максимальные весенние тренды температуры связаны с более ранними сроками начала таяния и схода снежного покрова, но при этом имеет место положительная обратная связь температура-альбедо-снежный покров: общее потепление приводит к более раннему таянию снега, что уменьшает альбедо поверхности (даже при отсутствии схода снежного покрова, подтаявший снег имеет меньшее альбедо по сравнению со свежевыпавшим), это увеличивает радиационный баланс поверхности Земли, что, в свою очередь, приводит к дальнейшему росту температуры.
Как уже было сказано выше, проверялось предположение, что климатические изменения могут отразиться в изменении свойств выборок длин стрел сегментов. Однако проверка различий между двумя выборками за 1964–1980 и 2011–2019 гг. для каждого ключевого участка не выявила статистически значимых различий (по критерию Смирнова) как в характеристиках всех сегментов, так и в характеристиках формирующихся сегментов (длинах молодых стрел) (табл. 3). Подчеркнем, что проверка с использованием указанного критерия не связана с гипотезой о том, какому теоретическому закону подчиняется данное распределение. Это означает, что на настоящий момент влияние климатических изменений на русловые процессы не настолько существенно, чтобы поменять параметры распределения так сильно, чтобы речь шла уже о двух выборках, принадлежащих к различным генеральным совокупностям.
Таблица 3. Значение критерия Смирнова для двух независимых выборок для молодых сегментов*
Местоположение, пойма реки | Год | Объем выборки | Период, лет | Max Neg Differnc | Max Pos Differnc | p-value |
Шапкина (Коми) | 1976 | 53 | 41 | –0.049 | 0.121 | p > 0.10 |
2017 | 53 | |||||
Сэдзьва (Коми) | 1976 | 53 | 41 | –0.074 | 0.081 | p > 0.10 |
2017 | 50 | |||||
Хейгияха (Западная Сибирь) | 1964 | 56 | 53 | –0.075 | 0.102 | p > 0.10 |
2017 | 56 | |||||
Юган (Западная Сибирь) | 1970 | 51 | 42 | –0.043 | 0.087 | p > 0.10 |
2012 | 52 | |||||
Малый Юган (Западная Сибирь) | 1970 | 57 | 42 | –0.021 | 0.075 | p > 0.10 |
2012 | 61 | |||||
Буор-Эекит (Средняя Сибирь) | 1968 | 57 | 40 | –0.119 | 0.056 | p > 0.10 |
2018 | 54 | |||||
Кондюдей (Средняя Сибирь) | 1980 | 68 | 37 | –0.070 | 0.053 | p > 0.10 |
2017 | 68 | |||||
Линде (Средняя Сибирь) | 1980 | 55 | 37 | –0.061 | 0.112 | p > 0.10 |
2017 | 55 | |||||
Чондон (Восточная Сибирь) | 1965 | 57 | 53 | –0.014 | 0.109 | p > 0.10 |
2018 | 52 | |||||
Уяндина (Восточная Сибирь) | 1975 | 56 | 43 | –0.014 | 0.109 | p > 0.10 |
2018 | 53 | |||||
Камчатка (Камчатка) | 1975 | 57 | 42 | –0.230 | 0.018 | p > 0.10 |
2017 | 58 |
* Для статистически значимого различия двух выборок значение критерия Смирнова должно быть p < 0.10.
Анализ полученных результатов (табл. 4) показал, что большинство полученных значений коэффициента корреляции оказываются незначимыми (на уровне 0.05) по критерию Стьюдента. В наибольшей степени это относится к выборкам по всем совокупностям стрел, где значимая (на уровне 0.05) отрицательная корреляция между Δλ и трендами температур отмечается только в мае и январе. Отсутствие значимой корреляции и близкая к нулю корреляция в данном случае может быть объяснена тем, что вся совокупность сегментов в пределах участка формировалась задолго до возникновения современных климатических трендов.
Таблица 4. Корреляция трендов температурных аномалий с параметрами модели*
Месяц года | Δλ для всех стрел | Δλ для молодых стрел | Δ для молодых стрел | Δλ по модулю для молодых стрел | Δпо модулю для молодых стрел |
12 | 0.26 | –0.54 | 0.55 | –0.49 | –0.52 |
1 | –0.67 | –0.41 | 0.39 | –0.44 | –0.35 |
2 | –0.02 | –0.24 | 0.17 | –0.20 | –0.39 |
3 | –0.15 | –0.59 | 0.53 | –0.60 | –0.67 |
4 | –0.55 | –0.63 | 0.58 | –0.67 | –0.63 |
5 | –0.67 | –0.67 | 0.63 | –0.71 | –0.64 |
6 | 0.15 | –0.43 | 0.32 | –0.40 | –0.47 |
7 | 0.19 | 0.23 | –0.18 | 0.14 | 0.30 |
8 | 0.14 | 0.05 | 0.06 | –0.03 | 0.13 |
9 | 0.10 | –0.08 | 0.20 | –0.16 | –0.03 |
10 | 0.05 | –0.63 | 0.62 | –0.69 | –0.71 |
11 | –0.11 | –0.31 | 0.36 | –0.42 | –0.33 |
Зима | –0.29 | –0.59 | 0.54 | –0.62 | –0.67 |
Весна | –0.42 | –0.75 | 0.70 | –0.78 | –0.78 |
Лето | 0.44 | –0.01 | 0.03 | –0.12 | 0.01 |
Осень | –0.02 | –0.48 | 0.54 | –0.63 | –0.55 |
* Значения коэффициентов корреляции, значимые на уровне 0.05 выделены жирным шрифтом и курсивом.
Для выборок формирующихся сегментов (молодых) отмечается более тесная корреляция с трендами температур, а именно: значимая (на уровне 0.05) отрицательная корреляция между Δλ и трендами температур апреля, мая и октября, а также значимая положительная корреляция между Δ и трендами температур мая и октября.
Было сделано допущение, что об интенсивности флювиального процесса может свидетельствовать, не только намыв кос и, как следствие, увеличение размеров сегмента и его стрелы (в этом случае Δ будет иметь положительное значение), но и прорыв меандров и формирование новых сегментов (в этом случае Δ будет иметь отрицательное значение). Так как, и то, и другое события являются показателем интенсивных флювиальных процессов, была рассчитана корреляция для взятых по модулю Δ и Δλ с трендами аномалий температуры. Отмечена значимая отрицательная корреляция Δ и трендов аномалий температуры в марте, апреле, мае и октябре и значимая отрицательная корреляции Δλ и трендов аномалий температуры в апреле, мае и октябре. Корреляция трендов аномалий температуры с абсолютными значениями изменений как параметра λ, так и изменений средних длин стрел Δ выражена сильнее, чем при учете знака параметров. Причем в случае абсолютных значений коэффициент корреляции оказался отрицательным не только для Δλ, но и для изменения средних длин стрел Δ.
Если рассматривать тренды аномалий температуры по сезонам (зима, весна, лето, осень), то отмечена значимая корреляция изменений параметров модели (Δλ, Δ молодых стрел) и трендов аномалий температуры в весенний период. Она характеризуется значениями от 0.78 до 0.70. Для параметров Δλ, Δ молодых стрел, взятых по модулю, также значимой является корреляция с трендами аномалий зимних температур (–0.62; –0.67).
Отсутствует значимая корреляция между изменениями любых параметров модели и трендами аномалий летних температур. Для трендов аномалий осенних температур значимая отрицательная корреляция присутствует только с |Δλ| для молодых стрел (0.63).
ВЫВОДЫ
По итогам исследования можно сделать следующие выводы.
Современное изменение климата, наиболее ярко проявляющееся в положительном тренде аномалий приземной температуры воздуха, отмечается в различных регионах высоких широт, при этом максимальные значения приходятся на переходные сезоны (прежде всего весну, меньше осень), а минимальные на летние месяцы. Максимальные значения трендов аномалий температуры отмечаются для ключевых участков, расположенных в Сибири, особенно Восточной Сибири, тогда как на участках в Коми и, особенно, на Камчатке, тренды аномалий температуры существенно меньше.
Использование математической модели как основы экспериментальных исследований позволяет решить проблему отбора количественных характеристик, выбранных для анализа. В частности, использованная модель показала, что выборки длин стрел пойменных сегментов могут служить индикаторами изменений.
Результаты экспериментального тестирования на ключевых участках криолитозоны показали, что все значимые изменения появляются только при сравнении выборок молодых формирующихся пойменных сегментов. Отсутствие каких-либо значимых изменений морфологической структуры при использовании выборок длин всех стрел сегментов подтверждает, что все выявленные изменения связаны именно с современными процессами.
В случае принципиальных изменений морфологической структуры пойм за период около 40 лет такие выборки, порознь соответствующие экспоненциальному распределению со сдвигом, должны определяться как относящиеся к разным генеральным совокупностям согласно критерию Смирнова. Однако анализ показал, что изменения морфологической структуры пойм пока еще не значительны, поскольку выявленные различия не подтверждены по критерию Смирнова как статистически значимые.
Несмотря на то, что на настоящий момент не отмечено формирование новой совокупности стрел под влиянием климатических изменений, современные температурные тренды значимо коррелируют с изменением параметров рассматриваемой модели, в особенности с параметром λ для молодых стрел.
Наиболее тесная корреляция, достигающая 78% (положительная для изменений средней длины стрел формирующихся сегментов и отрицательная для остальных проверяемых параметров), отмечается в весенние месяцы.
Для величины │Δλ│ молодых стрел отмечаются значимая тесная отрицательная корреляция с трендами температурных аномалий в осенние месяцы и с изменениями параметров модели, взятых по модулю, для зимних месяцев.
1 При этом для малых временных интервалов вероятность одного спрямления много больше вероятности развития нескольких спрямлений.
Об авторах
М. В. Архипова
Институт геоэкологии им. Е.М. Сергеева Российской академии наук
Автор, ответственный за переписку.
Email: masha-a@yandex.ru
Россия, Уланский пер. 13, стр. 2, Москва, 101000
Д. Ю. Гущина
Московский государственный университет им. М.В. Ломоносова
Email: dasha155@mail.ru
Faculty of Geography
Россия, Ленинские горы 1, Москва, 119234О. Н. Трапезникова
Институт геоэкологии им. Е.М. Сергеева Российской академии наук
Email: ontolga@gmail.com
Россия, Уланский пер. 13, стр. 2, Москва, 101000
Список литературы
- Алексеевский Н.И., Магрицкий Д.В., Михайлов В.Н. Антропогенные и естественные изменения гидрологических ограничений для природопользования в дельтах рек Российской Арктики // Вод. хоз-во России. 2015. № 1. С. 14—31.
- Викторов А.С. Динамическое равновесие в морфологической структуре ландшафтов // Вопросы географии. № 138. Горизонты ландшафтоведения. 2014. С. 123—137.
- Викторов А.С. Математическая морфология ландшафта. М.: Тратек, 1998. 191 с.
- Викторов А.С. Модель возрастной дифференциации аллювиальных равнин // Геоэкология. 2007. №4. С. 302-309.
- Викторов А.С. Основные проблемы математической морфологии ландшафта. М.: Наука, 2006. 252 с.
- Викторов А.С., Капралова В.Н., Орлов Т.В., Трапезникова О.Н. и др. Математическая морфология ландшафтов криолитозоны. М.: РУДН, 2016. 232 с.
- Георгиевский В.Ю., Грек Е.А., Грек Е.Н. и др. Оценка современных изменений максимального стока рек России // Метеорология и гидрология. 2019. № 11. С. 46-55.
- Маккавеев Н.И., Чалов Р.С. Русловые процессы. М.: Изд-во МГУ, 1986. 263 с.
- Панин А., Сидорчук А., Чернов А. Основные этапы формирования пойм равнинных рек Северной Евразии // Геоморфология. 2011. № 3. С. 20-31.
- Попов И.В. Методологические основы гидроморфологической теории руслового процесса. Избранные труды. СПб.: Нестор-История, 2012. 304 с.
- Смирнов Н.В. Оценка расхождения между эмпирическими кривыми распределения в двух независимых выборках // Бюллетень МГУ, сер. А. 1939. Т. 2. №2. С. 3—14.
- Фролова Н.Л., Магрицкий Д.В., Киреева М.Б., Григорьев В.Ю. и др. Сток рек России при происходящих и прогнозируемых изменениях климата: обзор публикаций. 1. Оценка изменений водного режима рек России по данным наблюдений // Водные ресурсы. Т. 49. №3. С. 251—269. https://doi.org/10.31857/S032105962203004X.
- Чалов Р.С. Географические исследования русловых процессов. М.: Изд-во МГУ, 1979. 232 с.
- Boyin Huang, Peter W. Thorne, Viva F. Banzon et al. NOAA Extended Reconstructed Sea Surface Temperature (ERSST), Version 5. [indicate subset used]. NOAA National Centers for Environmental Information. 2017. https://doi.org/10.7289/V5T72FNM
- IPCC, 2014: Climate Change 2014: Synthesis Report.
- Joung R.W. The patterns of some meandering valleys in New South Wales // Austral. Geogr. 1970. 11. No 3. P. 269—277.
- Kasvi E., Vaaja M., Kaartinen H., Kukko A. et al. Sub-bend scale flow–sediment interaction of meander bends — A combined approach of field observations, close-range remote sensing and computational modelling // Geomorphology. 2015. V. 238. P.119-134. https://doi.org/10.1016/j.geomorph.2015.01.039
- Lotsari E., Hackney C., Salmela J., Kasvi E. et al. Sub‐arctic river bank dynamics and driving processes during the open‐channel flow period // Earth Surface Processes and Landforms. 2019. https://doi.org/10.1002/esp.4796.Peschke, 1973
- Menne M.J., Williams, C.N., Gleason, B.E. et al. The Global Historical Climatology Network Monthly Temperature Dataset, Ver. 4 // Journal of Climate. 2022. 31(24): 9835—9854. https://journals.ametsoc.org/view/journals/clim/31/24/ jcli-d-18-0094.1.xml
- NOAA National Centers for Environmental information. Climate at a Glance: Global Time Series, publ. July 2016. [Electronic resource]. http://www.ncdc.noaa.gov/cag/time-series/.
- Peschke G. Zur Anwendbarkeit statistischer Modelle fur die Untersuchung des Maanderproblems // Acta Hydrophys. 1973. 17. No 2-3. P. 235—247.
- Rotnicki K. Retrodiction of palaedischarges of meandering and sinuous rivers and its palaeoclimatic implications // Temperate Palaeohydrology. Chichester, Wiley. 1991. Р. 431–470.
- Shiklomanov A.I., Lammers R.B. Changing discharge patterns of high-latitude rivers // Climate Vulnerability: Understanding and Addressing Threats to Essential Resources. Elsevier. 2013. P. 161—175.
- Sylvester Z., Durkin P., Covault J.A. High curvatures drive river meandering // Geology. 2019. 47 (3). P. 263—266. https://doi.org/10.1130/G45608.1
- Sylvester Z., Durkin P.R., Hubbard S.M., Mohrig D. Autogenic translation and counter point bar deposition in meandering rivers // GSA Bulletin. 2021. 133(11-12):2439-2456. https://doi.org/10.1130/B35829.1
- Victorov A., Archipova M., Trapeznikova O. Dynamic balance of the landscape morphological pattern of alluvial plains: the quantitative aspect // Proc. of the 20th Int. Multidisciplinary Scientific GeoConference SGEM-2020, 18-24 August, 2020. V. 20, book 2.2. P. 207—214. https://doi.org/10.5593/sgem2020/2.2/s10.025
Дополнительные файлы







