Моделирование сорбционных равновесий: современное состояние и перспективы развития моделей сорбции на неоднородных сорбентах
- Авторы: Голиков А.П.1, Малахова И.А.1, Братская С.Ю.1
 - 
							Учреждения: 
							
- Институт химии ДВО РАН
 
 - Выпуск: № 6 (2024)
 - Страницы: 127-143
 - Раздел: Химические науки. Сорбционные процессы и материалы
 - URL: https://bakhtiniada.ru/0869-7698/article/view/282449
 - DOI: https://doi.org/10.31857/S0869769824060093
 - EDN: https://elibrary.ru/HSLBJF
 - ID: 282449
 
Цитировать
Полный текст
Аннотация
Адсорбция долгие годы остается одним из наиболее универсальных и экономически рентабельных подходов к очистке вод различного состава и извлечению ценных компонентов из технологических растворов. Помимо аффинности, селективности и высокой сорбционной емкости большое значение имеют кинетические характеристики сорбентов, поскольку они определяют производительность как промышленных сорбционных колонн, так и малогабаритных точечных фильтров, работающих при высоких скоростях потока. В данном обзоре обсуждается современное состояние методов моделирования динамики сорбции и новый подход к анализу сорбционных равновесий с использованием разработанной в ИХ ДВО РАН модели распределения констант скоростей (РКС) сорбции/десорбции на неоднородных сорбентах для предиктивного моделирования выходных кривых сорбции на основании кинетических параметров сорбционных центров (функций РКС), рассчитанных из экспериментальных данных, полученных в статических условиях. На примере супермакропористых сорбентов на основе полиэтиленимина показано, как модель РКС и ее варианты, учитывающие диффузионные ограничения и присутствие в растворе комплексообразователей, может применяться для оптимизации условий извлечения ионов металлов и их разделения за счет разной скорости сорбции в динамических условиях.
Ключевые слова
Полный текст
Введение
Адсорбция долгие годы остается одним из наиболее универсальных и экономически рентабельных подходов к очистке вод различного состава и извлечению ценных компонентов из технологических растворов. Несмотря на наличие огромного спектра коммерчески доступных сорбентов, ежегодно публикуются статьи по синтезу новых ионообменных материалов, получению нано- и биосорбентов [1–4]. В то же время исследования сорбционных характеристик этих материалов в научных публикациях часто очень поверхностны и недостаточны для оценки преимуществ новых материалов перед уже известными, а также возможности их применения в реальных процессах в динамических условиях. В большинстве исследований кинетика сорбции, влияющая на форму выходной кривой в условиях реальных процессов в сорбционных колонках, исследуется в статическом режиме [5] с применением феноменологических моделей, основной целью которых является максимально близкое описание формы кинетической кривой с использованием ограниченного набора подгоночных параметров, часто не имеющих физического смысла [5, 6]. Эта информация используется для выявления механизма сорбции и лимитирующей стадии сорбции, но крайне редко для моделирования сорбции в динамических условиях при произвольных параметрах колонки и концентрации адсорбата. Для масштабирования процесса и оптимизации эксплуатационных параметров в реальных сорбционных процессах обычно проводят серию экспериментов в динамических условиях. Несмотря на то что различные сорбционные модели широко используются для уменьшения количества этих трудоемких и дорогих экспериментов [7, 8], наиболее привлекательным подходом к минимизации времени и затрат при проектировании сорбционных систем является использование предиктивных моделей, позволяющих на основании параметров сорбционных равновесий, рассчитанных из кинетических кривых в статических условиях, предсказать форму выходных кривых в широком диапазоне параметров (концентрации компонентов, скорости потока, геометрии сорбционных колонок) с использованием моделей динамики сорбции [8–10].
В данном обзоре обсуждается современное состояние методов моделирования динамики сорбции и новый подход к анализу сорбционных равновесий с использованием разработанной в ИХ ДВО РАН модели распределения констант скоростей (РКС) сорбции/десорбции на неоднородных сорбентах для предиктивного моделирования выходных кривых сорбции на основании кинетических параметров сорбционных центров (функций РКС), рассчитанных из экспериментальных данных, полученных в статических условиях.
1. Современное состояние моделирования динамики сорбции
Дифференциальное уравнение материального баланса для колонки с фиксированным слоем сорбента можно записать следующим образом:
(1)
где u – линейная скорость потока, C – концентрация адсорбата в растворе, z – координата по оси колонки, τ – время, ε – доля порового пространства в колонке, ρ – плотность сорбента, Q – содержание адсорбата в сорбенте, DL – коэффициент продольной диффузии.
Как диффузионно-, так и реакционно-контролируемые модели кинетики сорбции (), детально рассмотренные в обзорах [5, 6], могут быть использованы в предиктивном моделировании динамики сорбции [8–10] по уравнению (1).
В большинстве случаев сорбция на гранулированных материалах описывается как трехступенчатый процесс, который включает 1) диффузию адсорбата из объема раствора к внешней поверхности гранулы сорбента (внешняя или пленочная диффузия); 2) диффузию в гранулу с внешней поверхности и внутри гранулы (внутренняя диффузия); 3) химическое связывание адсорбата сорбционным центром. Для упрощения анализа кинетических кривых обычно предполагается, что только одна из этих стадий является лимитирующей, что позволяет применять диффузионно- или реакционно-контролируемые модели, подробно рассмотренные недавно в обзорах [5, 6].
Реакционно-контролируемые модели, модель псевдопервого порядка Лагергрена (ППП) и модель псевдовторого порядка (ПВП), модель Еловича и их вариации [11, 12] обычно подвергаются критике за узкий концентрационный диапазон применимости, ограниченный областью Генри и низкими степенями заполнения поверхности [5, 13], что не позволяет прогнозировать максимальную сорбционную емкость материалов и, следовательно, моделировать выходную кривую сорбции в колонке. В меньшем количестве публикаций кинетическая кривая рассматривается как сумма фрагментов с различными лимитирующими стадиями, для каждого из которых применяется своя кинетическая модель [5, 13, 14]. Однако из-за большого числа параметров, влияющих на форму кинетической кривой, ограниченной точности и полноты экспериментальных данных очень трудно различить химические и диффузионные вклады [5, 13, 15]. Таким образом, ни один из этих подходов не предоставляет достоверной информации о механизме сорбции, давая параметры, зависящие в значительной степени от экспериментальных условий, а не от истинных сорбционных свойств материалов.
Реакционно-контролируемые модели динамики сорбции (модели Богарта–Адамса, Томаса, Юна–Нельсона) довольно популярны из-за простоты уравнений с несколькими параметрами, которые могут обеспечить хорошее соответствие экспериментальным данным для многих, но далеко не всех сорбционных систем [16]. Хотя эти модели основаны на стандартной логистической функции и математически идентичны [17], модель Богарта–Адамса предполагает, что изотерма сорбции имеет прямоугольную форму (необратимая сорбция), что значительно ограничивает возможность моделирования [10]. Использование изотермы Ленгмюра и кинетики обратимой реакции сорбции ПВП в модели Томаса дает более адекватное описание для большинства пар сорбент–адсорбат [10, 18]. Большая популярность модели Богарта–Адамса определяется главным образом ее простотой, которая позволяет оценить сорбционные параметры с помощью линейной регрессии, в то время как в модели Томаса предполагается использование методов нелинейной регрессии [10]. Внешняя и внутренняя диффузия, которая может значительно влиять на форму выходных кривых сорбции [15, 19], не учитывается в реакционно-контролируемых моделях кинетики сорбции. Однако экспериментально определяемые скорости сорбции являются «условными», поскольку в неявном виде учитывают диффузионные вклады, соответствующие условиям эксперимента и размеру гранул сорбента.
Альтернативный подход к описанию динамики сорбции заключается в использовании диффузионно-контролируемых моделей кинетики, которые предполагают мгновенное установление сорбционного равновесия и определяют в качестве переменных параметров коэффициент массопереноса и поверхностную диффузию для модели гомогенной поверхностной диффузии [7, 8] или эффективный коэффициент диффузии в порах [7]. Равновесные характеристики сорбентов в диффузионно-контролируемой модели динамики сорбции были описаны с помощью изотерм Фрейндлиха [9], Ленгмюра [20] или Сипса [8] в зависимости от пары сорбент–адсорбат. Равновесные параметры могут быть определены в предварительных статических экспериментах и использованы в модели динамики сорбции [9]. Также предлагалось совместно обрабатывать данные сорбционных экспериментов в статических и динамических условиях для поиска значений параметров, удовлетворяющих обоим наборам данных [20].
Достаточно полный обзор диффузионных моделей сорбции и диапазон их применимости дан в работе [5]. Хотя поверхностная диффузия обычно считается постоянной в уравнениях массопереноса, было показано, что она зависит от концентрации адсорбата в жидкой и твердой фазе, а также размера частиц [8]. Таким образом, значения коэффициента поверхностной диффузии из литературных данных могут использоваться только для аналогичных пар сорбент–адсорбат, размера частиц и начальных концентраций[ 9], что значительно ограничивает предсказательные возможности таких моделей. Кроме этого Marczewski с соавторами [21], рассмотрев разные подходы учета диффузии в моделях с применением кинетического уравнения Ленгмюра, пришли к выводу, что результаты и диапазоны применимости модели значительно зависят от выбранного подхода.
Проблемой реакционно-контролируемых моделей сорбции является предположение, что условные константы скоростей сорбции и десорбции, усредненные по всем сорбционным центрам, не зависят от времени, что не соответствует действительности для множества систем сорбент–адсорбат [15]. Скорость адсорбции может уменьшаться намного быстрее, чем остаточная сорбционная емкость, когда адсорбент имеет два или более типов сорбционных центров с различной реакционной способностью [22], в результате выходная кривая сорбции имеет ассиметричную форму.
Значительный вклад в разработку кинетической модели для описания неоднородности сорбента, которая, однако, предполагала присутствие только двух типов сорбционных центров со значительной разницей в константах скоростей сорбции, внес Azizian [ 23]. Введение фрактальной экспоненты в качестве регулируемого параметра для учета временной зависимости коэффициента скорости также значительно улучшает описание ассиметричных выходных кривых с применением моделей Богарта–Адамса, Томаса и Юна–Нельсона [15], но не позволяет полностью описать сорбцию на неоднородных сорбентах.
В идеальном случае кинетические исследования должны обеспечить расчет истинных характеристик сорбентов в отсутствие диффузионных ограничений, что позволит оценить состояние сорбционной системы в широком диапазоне концентраций адсорбата в любой момент времени [5]. Эта идея была воплощена с использованием кинетического уравнения Ленгмюра [24–28], которое связывает хорошо разработанное теоретическое описание адсорбционного равновесия и кинетические уравнения сорбции первого и второго порядков и дает более адекватные константы скорости (КС), чем модели ППП и ПВП. Поскольку химическое равновесие – это баланс между прямой (адсорбцией) и обратной (десорбцией) реакциями, то обе константы скорости реакций могут быть определены из полных кинетических измерений [24].
Однако такой метод встречается с серьезными сложностями в обработке реальных экспериментальных данных и не может быть использован без значительных теоретических упрощений. Предполагается, что на начальном этапе адсорбции скорость десорбции пренебрежимо мала, поэтому скорость адсорбции можно определить с помощью простой линеаризации [24]. Кроме того, в большинстве публикаций, основанных на применении кинетического уравнения Ленгмюра, предполагался только один тип сорбционных центров [13, 24], но лишь в небольшом количестве примеров экспериментальные данные действительно могли быть хорошо описаны одной реакцией ППП [29]. Разумным объяснением этого несоответствия являются неучтенные массообменные ограничения, а также неоднородность сорбентов или адсорбатов [29]. Если диффузионные ограничения можно преодолеть или как минимум значительно снизить за счет измельчения материала, проблему влияния химической неоднородности сорбента на форму кинетической кривой невозможно решить без соответствующих теоретических разработок.
Существуют два основных подхода к учету неоднородности сорбента – использование компартментных моделей, предполагающих произвольное количество различных групп сорбционных центров [30, 31], и непрерывных моделей констант скоростей, предполагающих наличие континуума различных сорбционных центров [29, 32–34]. Хотя непрерывная модель констант скоростей была предложена для изучения кинетики различных химических реакций еще в 1980-х годах [35], ее применение было ограничено в связи со слабыми компьютерными мощностями того времени. Значительный прогресс в компьютерной технике в начале XXI в. возродил этот подход в изучении кинетики различных процессов. Однако, как было отмечено в работе [36], из литературы неизвестны попытки рассчитать все функции распределения в рамках непрерывной модели констант скоростей сорбции, т.е. функции РКС сорбции и десорбции и связывающую их корреляционную функцию, которые могли бы полностью описать сорбционные свойства материалов.
Svitel с соавторами [29] разработали теорию и предложили численный метод расчета функций РКС для кинетики связывания адсорбата на поверхности оптических биосенсоров с иммобилизованными лигандами. В этом случае экспериментальные преимущества метода поверхностного плазмонного резонанса позволили разделить стадии адсорбции и десорбции с использованием осциллирующей проточной ячейки и определить концентрацию адсорбата непосредственно в фазе сорбента при постоянстве его концентрации в растворе. Для таких экспериментальных данных функции РКС могут быть рассчитаны из набора кинетических кривых, используя относительно простое интегральное уравнение Фредгольма первого рода, для которого известны эффективные методы решения [37, 38]. К сожалению, поддержание постоянной концентрации адсорбата в растворе и определение содержания адсорбата в адсорбенте in situ невозможно для большинства методик исследования кинетики сорбции, где экспериментально определяется зависимость концентрации адсорбата в растворе от времени контакта с сорбентом. Для такого типа экспериментальных данных интегральные уравнения для расчета функций РКС слишком сложны, и до недавнего времени решение таких уравнений без использования многоядерных процессоров было невозможно. Так, для описания сорбции PO42- в почве в статических условиях, полное интегральное уравнение в модели РКС было упрощено, чтобы ограничить сорбцию областью Генри, где изотерма может быть аппроксимирована линейной функцией [34]. Это позволило найти численное решение интегрального уравнения, но ограничило его применимость преимущественно описанием сорбции микрокомпонентов в исследованиях окружающей среды [29–34], где полная сорбционная емкость материала не так важна, как в промышленных процессах.
Разработанная нами и описываемая ниже расширенная модель РКС [39–42] является фактически первым примером модели такого рода, которая может применяться к кинетическим кривым во всем концентрационном диапазоне, соответствующем изотерме сорбции Ленгмюра, и использоваться для предиктивного моделирования динамики сорбции на основании результатов исследования кинетики сорбции в статических условиях.
2. Модель сорбции на неоднородных сорбентах в однокомпонентных системах (модель РКС)
Модель РКС основана на предположении об обратимом сорбционном процессе на нескольких типах сорбционных центров (в пределе – непрерывном спектре сорбционных центров), что позволяет учитывать неоднородность сорбента и рассчитывать распределение адсорбата по разным сорбционным центрам на разных стадиях сорбции. С применением модели РКС одновременно обрабатывается несколько кинетических кривых, полученных при различных отношениях сорбент : раствор и/или концентрациях адсорбата, что позволяет рассчитать универсальную РКС-функцию, удовлетворяющую полному набору экспериментальных данных и, в идеальном случае, описывающую истинные характеристики сорбционных центров материала. Теоретически такой подход должен позволить использовать функцию РКС, основанную на экспериментальных данных, полученных в статических условиях, для моделирования динамики сорбции, и наоборот.
Определяющим отличием неоднородных сорбентов от однородных является то, что в последних присутствуют сорбционные центры по крайней мере двух разных типов. При этом типы центров отличаются в кинетическом смысле, т.е. константами скорости сорбции/десорбции.
Введем функцию плотности распределения содержания сорбированного вещества в момент времени τ по константам скорости сорбции/десорбции – и функцию плотности предельного содержания вещества в сорбенте – – искомую функцию РКС. При этом функция плотности обладает следующими свойствами:
, (2)
где – исходная плотность распределения вещества в сорбенте; – предельная плотность распределения сорбированного вещества на центрах ; – емкость сорбента; Q(t) – общее содержание адсорбата в сорбенте в момент времени t.
Запишем уравнение материального баланса:
Q0 + V ∙ C0 = Q(τ) + V ∙ C(τ), (3)
где V – удельный объем раствора (объем раствора на единицу массы сорбента); C(τ), C0 – концентрация сорбируемого компонента в растворе в момент времени τ и в начальный момент времени.
Уравнение кинетики сорбции на центре с константами (ks, kd) в рамках модели гетерогенной кинетики сорбции ПВП относительно функции плотности (ks, ks, τ) и функции РКС qmax (ks, kd) выглядит следующим образом:
. (4)
Система интегродифференциальных уравнений (3, 4) описывает кинетику сорбции на неоднородном сорбенте из ограниченного объема (в рамках кинетического уравнения Ленгмюра). Состояние системы в любой момент времени однозначно определяется следующим набором параметров (функций): .
При τ → ∞ получим:
. (5)
Комбинируя (3)–(5), получим уравнение изотермы сорбции:
. (6)
Поскольку в лабораторных условиях каждая точка изотермы сорбции снимается за конечное время (после которого, по мнению экспериментатора, равновесие достигнуто), а не за бесконечное, как того требует (6), для сравнения экспериментальных и теоретических изотерм полезно построение «актуальной» изотермы. В данном случае под термином «актуальная» изотерма подразумевается зависимость содержания вещества в сорбенте после времени сорбции τact (среднее время определения каждой экспериментальной точки изотермы) от равновесного значения сорбируемого компонента в растворе. Данная зависимость может быть легко получена из (4) путем замены C(τ) на Ce, интегрирования полученного уравнения по времени и дальнейшего интегрирования содержания по всем сорбционным центрам:
. (7)
Все вышеприведенные уравнения, описывающие кинетику сорбции на неоднородных сорбентах, в силу очевидных причин малопригодны для практического использования. Использование этих уравнений для моделирования кинетики и обработки экспериментальных данных возможно лишь после их преобразования в форму, пригодную для численных расчетов (представлено в работе [39]).
На примере сорбции ионов Ni(II) на гранулах супермакропористого ковалентно сшитого полиэтиленимина (ПЭИ), способ получения которого и отдельные свойства описаны в работе [43], показано, что в результате применения модели РКС к обработке кинетических кривых сорбции (рис. 1, а) рассчитывается функция РКС для неоднородного сорбента, удовлетворяющая полному набору экспериментальных данных [39]. Из найденной функции РКС можно рассчитать несколько функций распределения, дающих полное описание сорбционных характеристик сорбента:
- трехмерное распределение сорбционных центров в пространстве констант скоростей сорбции и десорбции – рис. 1, б;
 - двумерные распределения сорбционных центров по константам скоростей сорбции () и десорбции () – рис. 1, в;
 - двумерное распределение сорбционных центров по константам аффинности – – рис. 1, г.
 
Рис. 1. Кинетические кривые сорбции ионов Ni(II) на гранулах ПЭИ при отношении сорбент : раствор 1:1000 (4), 1:1500 (3), 1:2000 (2), 1:4000 (1): точки – экспериментальные данные; линии – модель РКС (а). Схема распределения сорбционных центров по скорости сорбции и аффинности и изолинии распределения Ni(II) по сорбционным центрам ПЭИ в конечной точке кинетической кривой при соотношении сорбент : раствор 1:4000 (б). Распределения сорбционных центров ПЭИ в пространстве логарифмов констант скоростей сорбции (Ks) и десорбции (Kd) (в) и логарифмов констант аффинности (KAFF) (г)
Найти РКС функцию и рассчитать аналогичные распределения можно и на основании набора выходных кривых сорбции, полученных в динамических условиях.
Основным принципом моделирования динамики сорбции в данной работе является разделение процесса динамики на две стадии: 1) стадия конвективного переноса; 2) стадия сорбции. Формально необходимо рассматривать еще и стадию диффузионного переноса (продольной диффузии), однако учитывая соотношение между характерным временем моделирования, геометрией сорбционной колонки и скоростью пропускания раствора, можно показать, что в исследуемых системах этой стадией можно пренебречь, так как диффузионный фронт не получает сколько-нибудь существенного развития [7–10]. Согласно предварительным расчетам, результаты моделирования динамики сорбции с учетом стадии диффузионного переноса и без ее учета статистически не различимы (в пределах ошибок экспериментальных данных). С другой стороны, учет стадии диффузионного переноса: 1) резко увеличивает время моделирования; 2) требует введения еще одного параметра модели – коэффициента продольной диффузии (величина которого априори неизвестна).
Процесс моделирования динамики сорбции строится следующим образом. Сорбционная колонка условно разбивается на ns частей сечениями, перпендикулярными оси колонки. Время, необходимое для заполнения раствором одной части колонки, определяется как шаг конвективного переноса (Δτc):
, (8)
где w – расход раствора (объемов колонки в ед. времени); ε – порозность колонки (доля объема колонки, занятая сорбентом).
В начальный момент времени раствор и сорбент во всех частях колонки свободны от адсорбата. Стадия конвективного переноса моделируется следующим образом: раствор из части i–1 замещает раствор из части i, а раствор из части i замещает раствор из части i+1. При этом в часть колонки, соответствующую ее началу, поступает исходный раствор, а раствор, удаляющийся из последней части колонки (точнее, концентрация адсорбата в нем), формирует выходную кривую. На стадии сорбции моделируется процесс сорбции в течение времени Δτc для текущих концентраций адсорбата в растворе и сорбенте по уравнениям (4). Описанные шаги повторяются до достижения требуемого времени моделирования. Рассмотренный способ моделирования динамики сорбции позволяет, с одной стороны, избежать численного решения дифференциального уравнения конвективного переноса и, с другой стороны, обеспечить приемлемую точность моделирования, регулируя число сечений и используя адаптивный шаг по времени кинетики сорбции для каждого сечения. Подробное описание процесса численного моделирования динамики сорбции приведено в работе [44].
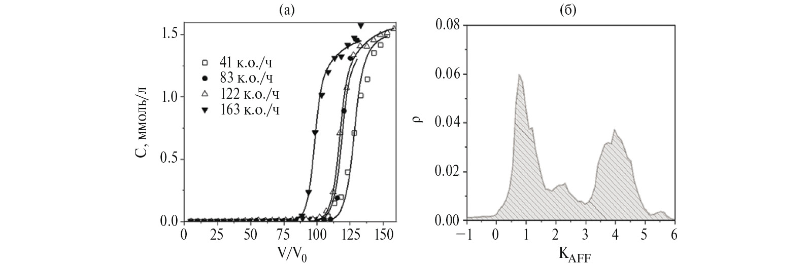
Пример расчета характеристик сорбционных центров супермакропористого монолитного сорбента на основе ПЭИ при сорбции ионов Cu(II) из водных растворов в динамических условиях (рис. 2, а) приведен на рис. 2, б. Так же как и в случае сорбции ионов Ni(II), с применением модели РКС установлено наличие нескольких групп сорбционных центров с разной скоростью сорбции и аффинностью, что согласуется с химической неоднородностью ПЭИ, связанной с наличием первичных, вторичных и третичных аминогрупп.
Рис. 2. Выходные кривые сорбции ионов Cu(II) на ПЭИ, концентрация адсорбата – 100 мг/л, диаметр колонки – 0,48 см, высота - 6 см: точки – экспериментальные данные, сплошные линии – модель РКС (а). Распределения сорбционных центров ПЭИ по константам аффинности по отношению к ионам Cu(II) (б)
Хотя рассчитанные с применением модели РКС константы аффинности (KAFF) являются условными, разница между KAF для ионов Cu(II) и Ni(II) хорошо коррелирует со стабильностью соответствующих комплексов ионов металлов с N-лигандами, которые обычно на 3–6 порядков выше для комплексов с ионами Cu(II).
3. Предиктивное моделирование динамики сорбции с использованием модели РКС
Одно из ожидаемых преимуществ модели РКС заключается в возможности прогнозировать вид выходных кривых сорбции в динамических условиях, используя РКС-функцию, рассчитанную из экспериментальных кинетических кривых в статических условиях. Как отмечалось выше, в базовой модели РКС экспериментально определяемые (условные) скорости сорбции в неявном виде учитывают диффузионные вклады, соответствующие условиям эксперимента и размеру гранул сорбента.
Изначально предполагалось, что для исследуемого супермакропористого сорбента (криогеля ПЭИ) [43] РКС-функцию, рассчитанную из кинетических кривых сорбции в статических условиях, можно использовать для предиктивного моделирования динамики сорбции на монолитном материале с той же пористой структурой. Макропористая структура криогелей с размером пор от десятков до сотен микрометров и толщиной полимерных стенок всего в несколько микрометров обеспечивает высокую скорость потока через монолит криогеля без обратного сопротивления, характерного для гранулированных материалов с размером зерна в микрометровом диапазоне [45]. В отличие от микро- и мезопористых сорбентов супермакропористые криогели с непористыми стенками имеют малую площадь поверхности 5–10 м2/г [46], и их преимущества в процессах разделения в основном определяются отсутствием или значительным снижением диффузионных ограничений за счет эффективного массопереноса [45, 46].
Но оказалось, что в соответствии с кинетической кривой сорбции ионов Cu(II), смоделированной с использованием РКС функции, рассчитанной из данных на рис. 3, а для сорбции на гранулах размером 0,35 ± 0,03 см, время нахождения адсорбата в контакте с сорбентом, необходимое для полного извлечения ионов Cu(II), составляет 90 с (рис. 3, б, кривая 1). Однако согласно экспериментальным выходным кривым сорбции (рис. 2, а, скорость потока 163 к.о./ч) полное извлечение ионов Cu(II) достигается за 21 с. Для нахождения функции РКС, применимой для моделирования динамики сорбции, кинетические кривые были получены для мелкой фракции сорбента ПЭИ с размерами частиц около 170 мкм, а для теоретического учета вклада внутренней диффузии была разработана расширенная версия модели РКС - модель РКС-Д, в которой используются закон Фика и условия материального баланса для диффузии из ограниченного объема раствора. Кроме того, вводится новый параметр - характеристическое время диффузии (математические детали подхода изложены в работе [40]).
Рис. 3. Кинетические кривые сорбции ионов Cu(II) на гранулах ПЭИ при отношении сорбент : раствор 1:1000 (4), 1:1500 (3), 1:2000 (2), 1:4000 (1): точки – экспериментальные данные; пунктирные линии - модель РКС, сплошные линии - модель РКС-Д (а). Модельные кинетические кривые сорбции ионов Cu(II), полученные с применением модели РКС и РКС-функции для гранул (1) и мелкой фракции (2) и модели РКС-Д и РКС-функции для мелкой фракции ПЭИ (3); параметры для моделирования (масса сорбента, объем колонки, концентрация адсорбата) соответствуют условиям сорбции в динамике на рис. 2, а (б)
Применение модели РКС-Д для совместной обработки двух наборов данных для сорбции ионов Cu(II) на гранулах и мелкой фракции криогеля ПЭИ подтвердило, что с введением характеристического времени диффузии можно найти универсальную функцию РКС-Д для описания кинетики сорбции на материалах, которые имеют одинаковую химическую структуру, но разный размер частиц [40]. При использовании для моделирования кинетической кривой сорбции ионов Cu(II) функции РКС-Д минимальное время пребывания Cu(II) в колонке для 100% извлечения адсорбата составило 0,09 мин (рис. 3, б), что хорошо согласуется с экспериментальными выходными кривыми сорбции (рис. 2, а).
На рис. 4, а, б представлены результаты моделирования выходных кривых сорбции ионов Cu(II)и Cd(II) на монолитном сорбенте ПЭИ с использованием такого подхода.
Рис. 4. Выходные кривые сорбции ионов Сu(II) (a) и Cd(II) (б) на монолитном криогеле ПЭИ: точки – экспериментальные данные, линии – модельные кривые, рассчитанные в рамках модели РКС. Условия сорбции (концентрация адсорбата и скорость потока): а – 1,56 мM, 41 к.о./ч (1); 3,15 мM, 17 к.о./ч (2); 6,25 мM, 17 к.о./ч (3); б – 0,45 мM, 8 к.о./ч (1); 0,90 мM, 17 к.о./ч (2); 0,90 мM, 41 к.о./ч (3). Распределения сорбционных центров криогеля ПЭИ по константам скоростей сорбции для ионов Cu(II) и Cd(II), рассчитанные с использованием функции РКС-Д, полученной из кинетических кривых сорбции в статических условиях (в)
Скорости потока и концентраций адсорбатов в предиктивном моделировании соответствовали этим же параметрам в реальных экспериментах. Установлено, что модель РКС позволяет достаточно точно предсказывать точки проскока при разных скоростях потока, используя функцию РКС-Д, рассчитанную из кинетических кривых сорбции ионов металла на мелкой фракции сорбента. Однако форму всей выходной кривой удается предсказать не всегда. Причина этого заключается в том, что при высоких скоростях потока в динамике работают только «быстрые» сорбционные центры. Наибольшие отклонения в форме модельных и экспериментальных выходных кривых сорбции, как, например, в случае ионов Cd(II) (рис. 4, б ), наблюдали при высоком содержании «медленных» центров сорбции (рис. 4, в). «Медленные» сорбционные центры хорошо определяются из экспериментальных данных в статических условиях, но не вносят значительного вклада в сорбцию в динамических условиях при средних и высоких скоростях потока [41]. Разница в содержании «медленных» и «быстрых» центров сорбции также объясняет преимущественную адсорбцию того или иного иона из смеси в динамических условиях в зависимости от скорости потока и концентрации ионов металлов в растворе [41].
4. Модель РКС с учетом комплексообразования
Даже в случае устранения диффузионных ограничений за счет хорошо развитой пористой структуры хемосорбция (химическая реакция на поверхности) может стать лимитирующей стадией адсорбции. При этом и в однокомпонентных системах наличие нескольких ионных форм металла в зависимости от рН и концентрации может существенно влиять не только на параметры равновесной сорбции, но и на ее кинетику за счет изменения механизма и различия констант скорости сорбции/десорбции для разных ионных форм. Таким образом, функции РКС, полученные при сорбции катионов металлов из водных растворов, не могут быть напрямую использованы для моделирования кинетики сорбции в присутствии лигандов. Очевидно, что для сорбции комплекса металла определенного состава можно получить свою функцию РКС, но для предиктивного моделирования кинетики сорбции она будет ограничена системами, содержащими только эту ионную форму металла, и неприменима к широкому диапазону отношений металл/лиганд.
Для исследования кинетических характеристик сорбентов ионов металлов в присутствии комплексообразователей нами предложена версия модели РКС, которая дополнительно включает равновесия комплексообразования в растворе [42]. Модель РКС-Complex предполагает, что для прогнозирования формы выходных кривых сорбции металла в присутствии лиганда можно использовать параметры (РКС-функцию), рассчитанные из данных по сорбции ионов металлов из воды, а также набор коэффициентов, учитывающих изменение констант скорости сорбции для разных ионных форм металла. Этот подход предполагает одинаковую или очень близкую конфигурацию комплекса металл–сорбент для сорбции из раствора с комплексообразователем и без него. Таким образом, информация о механизме сорбции имеет решающее значение для принятия решения о применимости модели.
Заключение
Помимо аффинности, селективности и высокой сорбционной емкости большое значение имеют кинетические характеристики сорбентов, поскольку они определяют производительность как промышленных водоочистных сооружений, так и малогабаритных точечных фильтров, работающих при высоких скоростях потока. С целью преодоления ограничений традиционных кинетических моделей, используемых для описания сорбционных равновесий и оптимизации условий извлечения и концентрирования в статических и динамических условиях, мы разработали и верифицировали модель распределения сорбционных центров по константам скоростей сорбции/десорбции (модель РКС), которая основана на кинетическом уравнении Ленгмюра, связывающем хорошо разработанную теоретическую модель описания адсорбционного равновесия и уравнения кинетики псевдопервого или псевдовторого порядка. Расширенная модель РКС стала фактически первой, в которой константы скорости адсорбции и десорбции определяются для гетерогенных сорбентов путем одновременной обработки нескольких экспериментальных кривых кинетики сорбции в статическом или динамическом режиме. Найденная в рамках модели единая функция РКС описывает весь набор экспериментальных кривых и содержит всю информацию об аффинности, количестве сорбционных центров и их распределении в пространстве констант скоростей сорбции и десорбции для гетерогенного сорбента. Благодаря этому РКС модель может быть использована для предиктивного моделирования выходных кривых сорбции в динамике с использованием функции РКС, рассчитанной из кинетических кривых сорбции в статических условиях, и оптимизации условий разделения компонентов в динамических условиях за счет разной скорости сорбции.
Об авторах
А. П. Голиков
Институт химии ДВО РАН
														Email: glk@ich.dvo.ru
				                	ORCID iD: 0000-0002-5306-2542
				                																			                								
кандидат химических наук, старший научный сотрудник
Россия, ВладивостокИ. А. Малахова
Институт химии ДВО РАН
														Email: newira94@gmail.com
				                					                																			                								
кандидат химических наук, младший научный сотрудник
Россия, ВладивостокС. Ю. Братская
Институт химии ДВО РАН
							Автор, ответственный за переписку.
							Email: sbratska@ich.dvo.ru
				                	ORCID iD: 0000-0003-4954-0422
				                																			                								
доктор химических наук, главный научный сотрудник
Россия, ВладивостокСписок литературы
- Nandanwar S.U., Coldsnow K., Utgikar V., Sabharwall P., Eric Aston D. Capture of harmful radioactive contaminants from off-gas stream using porous solid sorbents for clean Environmen: A review // Chem. Eng. J. 2016. Vol. 306. P. 369–381. https://doi.org/10.1016/j.cej.2016.07.073.
 - Tofik A.S., Taddesse A.M., Tesfahun K.T., Girma G.G. Fe–Al binary oxide nanosorbent: Synthesis, characterization and phosphate sorption property // J. Environ. Chem. Eng. 2016. Vol. 4. P. 2458–2468. https://doi.org/10.1016/j.jece.2016.04.023.
 - Bagheri H., Asgharinezhad A.A., Ebrahimzadeh H. Determination of trace amounts of Cd(II), Cu(II), and Ni(II) in food samples using a novel functionalized magnetic Nanosorbent // Food Anal. Methods. 2016. Vol. 9. P. 876–888. https://doi.org/10.1007/s12161-015-0264-x.
 - Crini G., Badot P.M. Application of chitosan, a natural aminopolysaccharide, for dye removal from aqueous solutions by adsorption processes using batch studies: A review of recent literature // Prog. Polym. Sci. 2008. Vol. 33. P. 399–447. https://doi.org/10.1016/j.progpolymsci.2007.11.001.
 - Tan K.L., Hameed B.H. Insight into the adsorption kinetics models for the removal of contaminants from aqueous solutions // J. Taiwan Inst. Chem. Eng. 2017. Vol. 74. P. 25–48. https://doi.org/10.1016/j.jtice.2017.01.024.
 - Alberti G., Amendola V., Pesavento M., Biesuz R. Beyond the synthesis of novel solid phases: Review on modelling of sorption phenomena // Coord. Chem. Rev. 2012. Vol. 256. P. 28–45. https://doi.org/10.1016/j.ccr.2011.08.022.
 - Ma A., Abushaikha A., Allen S.J., McKay G. Ion exchange homogeneous surface diffusion modelling by binary site resin for the removal of nickel ions from wastewater in fixed beds // Chem. Eng. J. 2019. Vol. 358. 135. https://doi.org/10.1016/j.cej.2018.09.135.
 - Dadwhal M., Ostwal M.M., Liu P.K.T., Sahimi M., Tsotsis T.T. Adsorption of arsenic on conditioned layered double hydroxides: Column experiments and modeling // Ind. Eng. Chem. Res. 2009. Vol. 48. P. 2076–2084. https://doi.org/10.1021/ie800878n.
 - Sperlich A., Schimmelpfennig S., Baumgarten B., Genz A., Amy G., Worch E., Jekel M. Predicting anion breakthrough in granular ferric hydroxide (GFH) adsorption filters // Water Res. 2008. Vol. 42. P. 2073–2082. https://doi.org/10.1016/j.watres.2007.12.019.
 - Chu K.H. Fixed bed sorption: Setting the record straight on the Bohart–Adams and Thomas models // J. Hazard. Mater. 2010. Vol. 177. P. 1006–1012. https://doi.org/10.1016/j.jhazmat.2010.01.019.
 - Lagergren S. Zur Theorie der sogenannten Adsorption Geloster Stoffe // K. Sven. vetensk. akad. handl.1898. Vol. 24. P. 1–39.
 - Хамизов Р.Х. О кинетическом уравнении псевдовторого порядка в сорбционных процессах // Журнал физической химии. 2020. Т. 94. С. 125–130. https://doi.org/10.31857/s0044453720010148.
 - Douven S., Paez C.A., Gommes C.J. The range of validity of sorption kinetic models // J. Colloid Interface Sci. 2015. Vol. 448. P. 437–450. https://doi.org/10.1016/j.jcis.2015.02.053.
 - Malash G.F., El-Khaiary M.I. Piecewise linear regression: A statistical method for the analysis of experimental adsorption Data by the intraparticle-diffusion models // Chem. Eng. J. 2010. Vol. 163. P. 256–263. https://doi.org/10.1016/j.cej.2010.07.059.
 - Hu Q., Xie Y., Feng C., Zhang Z. Fractal-like kinetics of adsorption on heterogeneous surfaces in the fixed-bed column // Chem. Eng. J. 2019. Vol. 358. P. 1471–1478. https://doi.org/10.1016/j.cej.2018.10.165.
 - Hu Q., Xie Y., Feng C., Zhang Z. Prediction of breakthrough behaviors using logistic, hyperbolic tangent and double exponential models in the fixed-bed column // Sep. Purif. Technol. 2019. Vol. 212. P. 572–579. https://doi.org/10.1016/j.seppur.2018.11.071.
 - Chu K.H. Breakthrough curve analysis by simplistic models of fixed bed adsorption: In defense of the century-old Bohart–Adams model // Chem. Eng. J. 2020. Vol. 380. 122513. https://doi.org/10.1016/j.cej.2019.122513.
 - Długosz O., Banach M. Sorption of Ag+ and Cu2+ by vermiculite in a fixed-bed column: Design, process optimization and dynamics investigations // Appl. Sci. 2018. Vol. 8. 2221. https://doi.org/10.3390/app8112221.
 - Figaro S., Avril J.P., Brouers F., Ouensanga A., Gaspard S. Adsorption studies of molasse’s wastewaters on activated carbon: Modelling with a new fractal kinetic equation and evaluation of kinetic models // J. Hazard. Mater. 2009. Vol. 161. P. 649–656. https://doi.org/10.1016/j.jhazmat.2008.04.006.
 - Park H.-J., Tavlarides L.L. Adsorption of chromium(VI) from aqueous solutions using an imidazole functionalized adsorbent // Ind. Eng. Chem. Res. 2008. Vol. 47. P. 3401–3409. https://doi.org/10.1021/ie7017096.
 - Marczewski A.W., Deryło-Marczewska A., Słota A. Adsorption and desorption kinetics of benzene derivatives on mesoporous carbons // Adsorption. 2013. Vol. 19. P. 391–406. https://doi.org/10.1007/s10450-012-9462-7.
 - Bohart G.S., Adams E.Q. Some aspects of the behavior of charcoal with respect to chlorine // J. Franklin Inst. 1920. Vol. 189. P. 669. https://doi.org/10.1016/s0016-0032(20)90400-3.
 - Azizian S. A novel and simple method for finding the heterogeneity of adsorbents on the basis of adsorption kinetic data // J. Colloid Interface Sci. 2006. Vol. 302. P. 76–81. https://doi.org/10.1016/j.jcis.2006.06.034.
 - Kuan W.H., Lo S.L., Chang C.M., Wang M.K. A geometric approach to determine adsorption and desorption kinetic constants // Chemosphere. 2000. Vol. 41. P. 1741–1747. https://doi.org/10.1016/S0045-6535(00)00054-0.
 - Novak L.T., Adriano D.C. Phosphorus movement in soils: 1. Soil-orthophosphate reaction kinetics // J. Environ. Qual. 1975. Vol. 4. P. 261. https://doi.org/10.2134/jeq1975.00472425000400020028x.
 - Liu Y., Shen L. From Langmuir kinetics to first- and second-order rate equations for adsorption // Langmuir. 2008. Vol. 24. P. 11625–11630. https://doi.org/10.1021/la801839b.
 - Zhang J. Physical insights into kinetic models of adsorption // Sep. Purif. Technol. 2019. Vol. 229. 115832. https://doi.org/10.1016/j.seppur.2019.115832.
 - Salvestrini S. Analysis of the Langmuir rate equation in its differential and integrated form for adsorption processes and a comparison with the pseudo first and pseudo second order models // React. Kinet. Mech. Catal. 2018. Vol. 123. P. 455–472. https://doi.org/10.1007/s11144-017-1295-7.
 - Svitel J., Balbo A., Mariuzza R.A., Gonzales N.R., Schuck P. Combined affinity and rate constant distributions of ligand populations from experimental surface binding kinetics and equilibria // Biophys. J. 2003. Vol. 84. P. 4062–4077. https://doi.org/10.1016/S0006-3495(03)75132-7.
 - Kirchner G., Baumgartner D. Migration rates of radionuclides deposited after the Chernobyl Accident in various North German soils // Analyst. 1992. Vol. 117. P. 475. https://doi.org/10.1039/an9921700475.
 - Garnier J.-M., Ciffroy P., Benyahya L. Implications of short and long term (30 days) sorption on the desorption kinetic of trace metals (Cd, Zn, Co, Mn, Fe, Ag, Cs) associated with river suspended matter // Sci. Total Environ. 2006. Vol. 366. P. 350–360. https://doi.org/10.1016/j.scitotenv.2005.07.015.
 - Choi H., Al-Abed S.R. PCB congener sorption to carbonaceous sediment components: Macroscopic comparison and characterization of sorption kinetics and mechanism // J. Hazard. Mater. 2009. Vol. 165. P. 860–866. https://doi.org/10.1016/j.jhazmat.2008.10.100.
 - Monazam E.R., Shadle L.J., Miller D.C., Pennline H.W., Fauth D.J., Hoffman J.S., Gray M.L. Equilibrium and kinetics analysis of carbon dioxide capture using immobilized amine on a mesoporous silica // AIChE J. 2013. Vol. 59. P. 923–935. https://doi.org/10.1002/aic.13870.
 - Warrinnier R., Goossens T., Braun S., Gustafsson J.P., Smolders E. Modelling heterogeneous phosphate sorption kinetics on iron oxyhydroxides and soil with a continuous distribution approach // Eur. J. Soil Sci. 2018. Vol. 69. P. 475–487. https://doi.org/10.1111/ejss.12549.
 - Scott K.F. Extraction of rate constant distributions from heterogeneous chemical kinetics // J. Chem. Soc. Faraday Trans. 1. Phys. Chem. Condens. Phases. 1980. Vol. 76. P. 2065–2079. https://doi.org/10.1039/F19807602065.
 - Rudzinski W., Panczyk T. The Langmuirian adsorption kinetics revised: A farewell to the XXth century theories? // Adsorption. 2002. Vol. 8. P. 23–34. https://doi.org/10.1023/A:1015214406179.
 - Rietsch E. On an Alleged Breakdown of the Maximum-Entropy Principle. // Maximum-Entropy and Bayesian Methods in Inverse Problems. Dordrecht: Springer Netherlands, 1985. P. 67–82.
 - Phillips D.L.L.D. A technique for the numerical solution of certain integral equations of the first kind // J. ACM. 1962. Vol. 9. P. 84–97. https://doi.org/10.1145/321105.321114.
 - Golikov A., Malakhova I., Azarova Y., Eliseikina M., Privar Y., Bratskaya S. Extended Rate Constant Distribution model for sorption in heterogeneous systems. 1. Application to kinetics of metal ion sorption on polyethyleneimine cryogels // Ind. Eng. Chem. Res. 2020. Vol. 59. P. 1123–1134. https://doi.org/10.1021/acs.iecr.9b06000.
 - Malakhova I., Golikov A., Azarova Y., Bratskaya S. Extended Rate Constants Distribution (RCD) model for sorption in heterogeneous systems. 2. Importance of diffusion limitations for sorption kinetics on cryogels in batch // Gels. 2020. Vol. 6. 15. https://doi.org/10.3390/gels6020015.
 - Golikov A., Malakhova I., Privar Y., Parotkina Y., Bratskaya S. Extended Rate Constant Distribution model for sorption in heterogeneous systems. 3. From batch to fixed-bed application and predictive modeling // Ind. Eng. Chem. Res. 2020. Vol. 59. P. 19415–19425. https://doi.org/10.1021/acs.iecr.0c03516.
 - Golikov A., Privar Y., Balatskiy D., Polyakova N., Bratskaya S. Extended Rate Constants Distribution (RCD) model for sorption in heterogeneous systems. 4. Kinetics of metal ions sorption in the presence of complexing agents – application to Cu(II) sorption on polyethyleneimine cryogel from acetate and tartrate solutions // Int. J. Mol. Sci. 2023. Vol. 24. 12385. https://doi.org/10.3390/ijms241512385.
 - Malakhova I., Privar Y., Azarova Y., Eliseikina M., Golikov A., Skatova A., Bratskaya S. Supermacroporous monoliths based on polyethyleneimine: Fabrication and sorption Properties under static and dynamic conditions // J. Environ. Chem. Eng. 2020. Vol. 8. 104395. https://doi.org/10.1016/J.JECE.2020.104395.
 - Малахова И.А. Широкопористые монолитные материалы на основе полиэтиленимина: дис. … канд. хим. наук. Владивосток, 2022.
 - Lozinsky V.I., Galaev I.Y., Plieva F.M., Savina I.N., Jungvid H., Mattiasson B. Polymeric cryogels as promising materials of biotechnological Interest // Trends Biotechnol. 2003. Vol. 21. P. 445–451. https://doi.org/10.1016/j.tibtech.2003.08.002.
 - Baimenov A., Berillo D.A., Poulopoulos S.G., Inglezakis V.J. A review of cryogels synthesis, characterization and applications on the removal of heavy metals from aqueous solutions // Adv. Colloid Interface Sci. 2020. Vol. 276. 102088. https://doi.org/10.1016/j.cis.2019.102088.
 
Дополнительные файлы
				
			
						
					
									






