Исследование структур тритерпеновых гликозидов и стеринов из голотурий в Тихоокеанском институте биоорганической химии им. Г.Б. Елякова ДВО РАН. Последние достижения
- Авторы: Калинин В.И.1, Авилов С.А.1, Сильченко А.С.1, Капустина И.И.1, Пономаренко Л.П.1
-
Учреждения:
- Тихоокеанский институт биоорганической химии им. Г.Б. Елякова ДВО РАН
- Выпуск: № 3 (2024)
- Страницы: 69-89
- Раздел: Химические науки. Биоорганическая химия
- URL: https://bakhtiniada.ru/0869-7698/article/view/275224
- DOI: https://doi.org/10.31857/S0869769824030049
- EDN: https://elibrary.ru/ISNKLF
- ID: 275224
Цитировать
Полный текст
Аннотация
Кратко обсуждаются основные достижения в исследовании строения тритерпеновых гликозидов и стеринов голотурий в Тихоокеанском институте биоорганической химии им. Г.Б. Елякова ДВО РАН в период с 2019 г. по настоящее время, главным из которых является выделение и установление структуры более 80 новых тритерпеновых гликозидов из тихоокеанских голотурий, причем ряд из них обладает уникальными структурными чертами.
Ключевые слова
Полный текст
Голотурии или морские огурцы (Holothuroidea, Echinodermata) широко распространены почти во всем Мировом океане от самых больших до самых малых его глубин, за исключением сильно опресненных морей, таких как большая часть Черного моря, центральная и восточная Балтика и Азовское море. Зачастую они являются доминирующими видами в бентонических биоценозах, причем на больших глубинах голотурии могут составлять до 90% от биомассы всех организмов. Значительная часть массовых видов голотурий съедобна, и они являются промысловыми. В Японии и Китае их могут использовать в традиционной медицине. В водах Российской Федерации для пищевых целей производят вылов кукумарии фрондозы (Cucumaria frondosa), кукумарии японской (Cucumaria japonica), кукумарии охотской (Cucumaria okhotensis). Дальневосточного трепанга (Apostichopus japonicus) разводят в марикультуре.
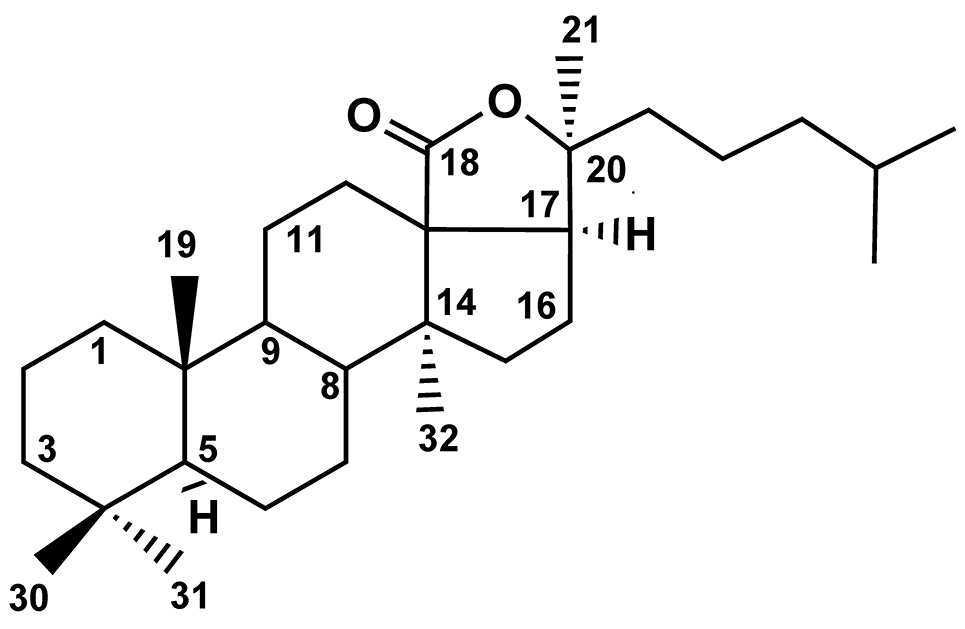
Главной химической особенностью большинства голотурий являются тритерпеновые гликозиды, обладающие широким спектром биологической активности. Гликозиды голотурий имеют существенные структурные отличия от аналогичных соединений, биосинтезируемых высшими растениями. Большинство этих веществ относятся к голостановому ряду, т.е. они являются производными модельного ланостанового тритерпеноида голостана, имеющего 18(20)-лактон (рис. 1). Неголостановые гликозиды, т.е. не имеющие лактона или обладающие 18(16)-лактоном, относительно редки.
Рис. 1. Голостан – модельный ланостановый тритерпеноид с 18(20)-лактоном
В состав углеводных цепей гликозидов голотурий входят D-ксилоза, D-хиновоза, D-глюкоза, 3-О-метил-D-глюкоза и 3-О-метил-D-ксилоза и гораздо реже – 3-О-метил-D-глюкуроновая кислота, 3-O-метил-D-хиновоза, а также 6-О-ацетил-D-глюкоза. Число моносахаридов в углеводных цепях может доходить до шести, остаток ксилозы всегда занимает первое положение, гликозилируя С-3 агликона. Углеводные цепи часто содержат сульфат при С-4 первой ксилозы. Дополнительные сульфатные группы, как правило, занимают проложения С-6 глюкозных и 3-О-метилглюкозных остатков, но иногда сульфатированию подвергаются и иные положения различных моносахаридных остатков.
Систематические исследования тритерпеновых гликозидов голотурий начались еще в 50-е годы XX в. Интерес химиков к этим веществам вызван главным образом их невероятным структурным разнообразием и широким диапазоном биологического действия. Для них характерно ихтиотоксическое действие, а также цитотоксическая и противоопухолевая, антигрибковая и гемолитическая активность и кроме этого радиопротекторное, иммуностимулирующее и адъювантное действие [1–3]. Наборы гликозидов таксономически специфичны, что даже было использовано зоологами-систематиками на практике [4, 5].
В последние годы получила широчайшее развитие хроматографическая и спектральная техника, включая двумерную спектроскопию ЯМР, а также масс-спектрометрию высокого разрешения. Это позволило проводить более подробные исследования тритерпеновых гликозидов уже изученных ранее голотурий. Установление структуры минорных веществ может дать некоторые сведения как о биосинтезе гликозидов голотурий, так и его эволюции. Новые методы позволяют работать с малыми количествами веществ, изучить малодоступные виды голотурий, а также получить более полную картину таксономического распределения гликозидов в представителях класса Holothuroidea.
Наличие тритерпеновых гликозидов, обладающих сильным мембранолитическим стерин-зависимым действием, потребовало существенной перестройки в биосинтезе мембранных стеринов голотурий. 5,6-ненасыщенные стерины, включая прежде всего холестерин, при попадании с пищей в организм голотурии в большинстве своем сульфатируются, а часть из них трансформируется в станолы и 7,8-ненасыщенные стерины, которые не взаимодействуют с гликозидами из-за особенностей пространственного строения. Кроме того, в голотуриях отсутствуют ферменты, вызывающие С-14 деметилирование продуктов циклизации сквалена до стеринов. Это ведет к накоплению в стериновых фракциях голотурий 14-метил стеринов с 9(11)-двойной связью, которые тоже не могут взаимодействовать с холестерином. Эти данные указывают на биохимическую взаимосвязь метаболизма стеринов и тритерпеновых гликозидов.
Структурные исследования тритерпеновых гликозидов и стеринов голотурий являются традиционным направлением для лаборатории химии морских природных соединений ТИБОХ ДВО РАН [6]. В настоящей статье мы даем краткий обзор работ, выполненных в лаборатории в период с 2019 по 2023 г., причем обсуждаем только структуры выделенных соединений, поскольку подробное обсуждение их биологической активности требует отдельной публикации.
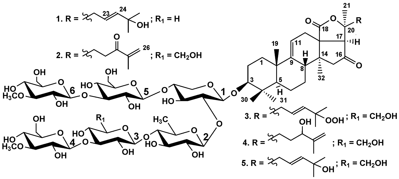
Исследование сложной гликозидной суммы голотурии Psolus fabricii (Psolidae, Dendrochirotida) началось еще в 1982 г. после того, как в ходе экспедиции на рыболовных сейнерах «Механик Жуков» и «Даларик» Северо-Курильской базы сейнерного флота, работавших на промысле гребешка у о-ва Онекотан, было заготовлено достаточное количество экстрактов этих голотурий. Однако многие гликозиды в то время не могли быть выделены как чистые вещества из-за сложности состава гликозидной фракции. Недавно мы предприняли новую попытку разделить эту сумму, использовав современные подходы к высокоэффективной жидкостной хроматографии (ВЭЖХ). В результате в 2018 г. были выделены три новых гексаозида, псолюсозиды C1, C2 и D1 вместе с пятью известными соединениями [7]. В продолжение этих исследований были выделены пять новых гексаозидов, псолюсозиды C3 (1), D2 (2), D3 (3) D4 (4) и D5 (5). С помощью 1H, 13C ЯМР, 1D TOCSY и 2D ЯМР (1H−1H COSY, HMBC, HSQC, ROESY) спектроскопии и масс-спектрометрии высокого разрешения установлены их структуры (рис. 2) [8].
Рис. 2. Тритерпеновые гликозиды из голотурии Psolus fabricii. 1 – псолюсозид C3; 2 – псолюсозид D2; 3 – псолюсозид D3; 4 – псолюсозид D4; 5 – псолюсозид D5
Интересно, что псолюсозид D3 (3) имел 23E-двойную связь и гидропероксидную группу при С-25, что является редкой особенностью у гликозидов голотурий. Однако недавно гликозид с такой же боковой цепью агликона, как у псолюсозида D3 (3), был найден во вьетнамской голотурии Holothuria edulis [9], что указывает на нативность этих соединений.
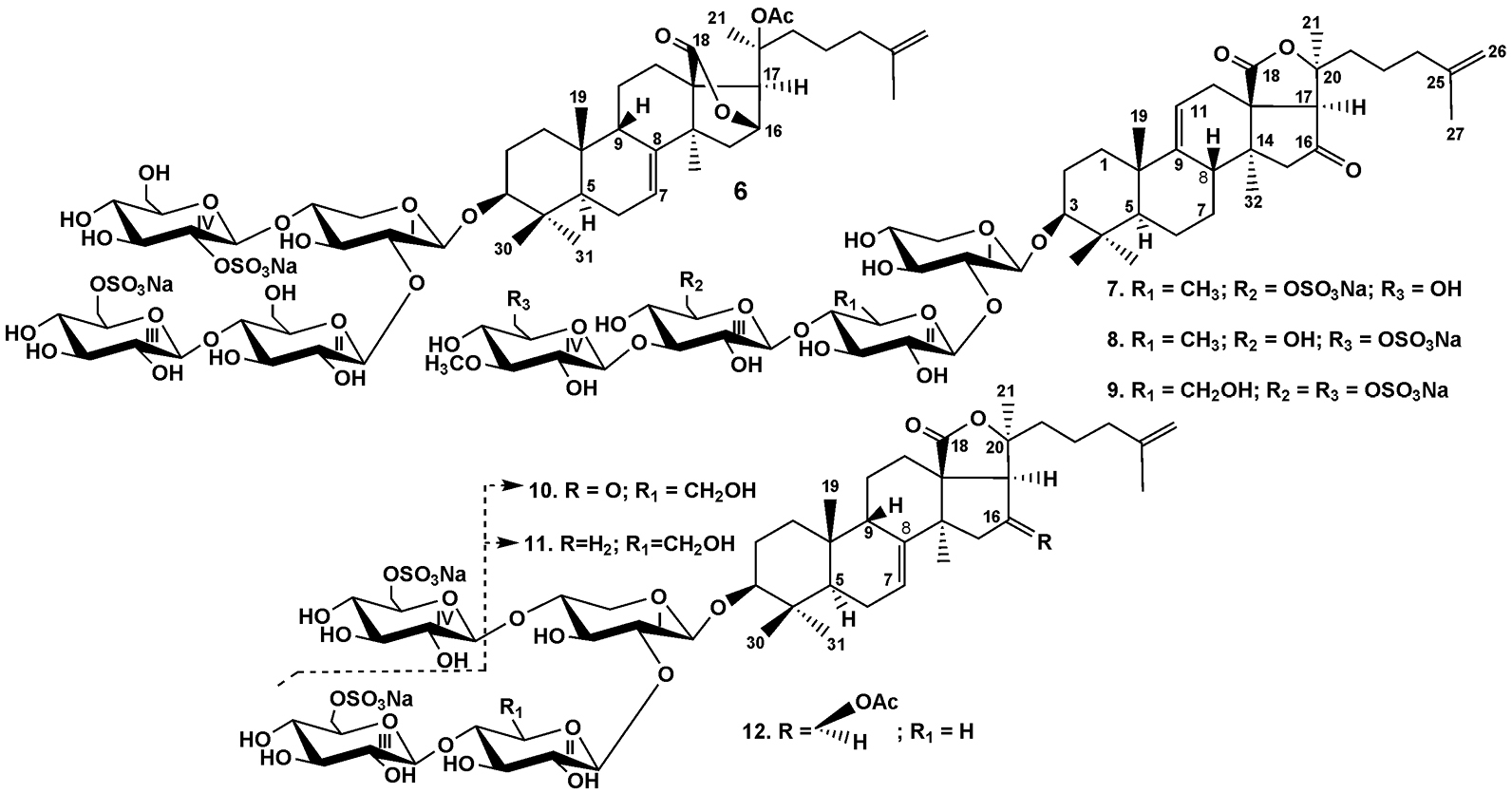
Продолжение изучения гликозидной фракции из P. fabricii привело к выделению и установлению структуры еще шести новых гликозидов, псолюсозидов E (7), F (8), G (9), H (10), H1 (11) и I (12), а также известного псолюсозида B (6), структура которого была пересмотрена при анализе двумерных ЯМР спектров и подтверждена масс-спектрами высокого разрешения (рис. 3). Кроме того, были выделены и идентифицированы ранее известные гликозиды, псолюсозид A и колохирозид D [10].
Рис. 3. Структуры гликозидов из голотурии Psolus fabricii. 6 – псолюсозид B; 7 – псолюсозид E; 8 – псолюсозид F; 9 – псолюсозид G; 10 – псолюсозид H; 11 – псолюсозид H1; 12 – псолюсозид I
В состав данной серии гликозидов 6–12 входили моно- и дисульфатированные линейные и разветвленные тетраозиды вместе с моносульфатированными триозидами. Структурный анализ гликозидов 6–12 показал вариабельность как их агликонов (пять различных типов), так и углеводных цепей (шесть типов). Хотя все агликоны были известными, пять типов углеводных цепей оказались новыми. Три линейных тетраозида – псолюсозиды E (7), F (8) и G (9) родственны биогенетически. Эти соединения имеют один и тот же агликон и отличаются друг от друга числом и положением сульфатных групп и природой второго моносахаридного остатка в углеводной цепи (хиновоза или глюкоза). Трисахаридные олигосахаридные цепи редко встречаются в гликозидах голотурий, а тем более с остатком глюкозы во втором положении, как у псолюсозидов группы Н (10, 11) [10].
На последнем этапе исследований тритерпеновых гликозидов P. fabricii было выделено еще десять новых гликозидов, псолюсозиды B1 (13), B2 (14), J–Q (15–22), структуры которых также были установлены с помощью спектроскопии ЯМР и ВР ИЭР масс-спектрометрии (масс-спектрометрия высокого разрешения с ионизацией электрораспылением) (рис. 4) [11].
Рис. 4. Структуры тритерпеновых гликозидов из голотурии Psolus fabricii. 13 – псолюсозид B1; 14 – псолюсозид B2; 15 – псолюсозид J; 16 – псолюсозид K; 17 – псолюсозид L; 18 – псолюсозид M; 19 – псолюсозид N; 20 – псолюсозид O; 21 – псолюсозид P; 22 – псолюсозид Q
Псолюсозиды B1 (13) и B2 (14) биогенетически близки к псолюсозиду В (6) и, скорее всего, являются продуктами его окислительных биосинтетических трансформаций, приведших к образованию 7-кето фрагмента, сопряженного с 8(9)-двойной связью в гликозиде 13, и 7β,8β-эпоксида и 9(11)-двойной связи в гликозиде 14.
Псолюсозиды группы В (6, 13, 14) имеют одинаковые тетрасахаридные дисульфатированные углеводные цепи, разветвленные по C-4 ксилозного остатка и агликоны с 25(26)-двойной связью, 18(16)-лактоном и 20S-ацетильной группой [10, 11]. Вместе с тем интересно, что положения двойных связей в ядре агликонов 13 и 14 не совпадают с таковыми для гликозида 6, и, вероятно, процесс окислительных биосинтетических трансформаций сопровождается миграцией двойной связи из положения 7(8) в агликоне 6, в положение 8(9) в агликоне гликозида 13 и в положение 9(11) в агликоне псолюсозида В2 (14).
Псолюсозид J (15) являлся трисульфатированным тетраозидом с двумя сульфатными группами, присоединенными к одному и тому же моносахаридному остатку. Такого рода структурная черта была впервые найдена в гликозидах голотурий.
В псолюсозиде P (21) также имелось два сульфата (при С-4 и С-6) в одном моносахаридном остатке (остатке глюкозы, присоединенной к С-4 первого моносахаридного остатка), всего же он содержал четыре сульфатные группы. Псолюсозид Q (22) характеризовался сульфатированием положений 2 и 6 аналогичного остатка глюкозы (пятого в цепи), кроме этого он содержит глюкозу и в качестве второго остатка в цепи. Он также является тетрасульфатированным соединением, такие высокополярные гликозиды в голотуриях были найдены впервые.
В продолжение наших исследований тритерпеновых гликозидов из голотурии Colochirus quadrangularis (Cucumariidae, Dendrochirotida), собранной в водах Вьетнама, было выделено 13 новых соединений, имеющих агликоны голостанового типа и тетрасахаридные углеводные цепи с одной, двумя и тремя сульфатными группами. Структуры соединений, названных квадрангулярисозидами A (23), A1 (24), B (25), B1 (26), B2 (27), C (28), C1 (29), D (30), D1–D4 (31–34) и E (35) (рис. 5) были установлены с помощью современных методов ЯМР спектроскопии и масс-спектрометрии [12]. Кроме того, выделили девять известных ранее гликозидов: колохирозиды B1–B3 [13], лефевреозиды A2 и C [14], неотионидиозид [15], хемоидемозид А [16] и филинопсиды A [17] и F [18].
Рис. 5. Химические структуры гликозидов, выделенных из Colochirus quadrangularis: 23 – квадрангулярисозид A; 24 – квадрангулярисозид A1; 25 – квадрангулярисозид B; 26 – квадрангулярисозид B1; 27 – квадрангулярисозид B2; 28 – квадрангулярисозид C; 29 – квадрангулярисозид C1; 30 – квадрангулярисозид D; 31 – квадрангулярисозид D1; 32 – квадрангулярисозид D2; 33 – квадрангулярисозид D3; 34 – квадрангулярисозид D4; 35 – квадрангулярисозид E
Квадрангулярисозид А (23) содержит агликон с 23E-двойной связью и гидропероксидной группой при С-25, а квадрангулярисозид А1 (24) – с 25(26)-двойной связью и (S)-гидропероксидной группой при С-24. Аналогичная ситуация наблюдается с квадрангулярисозидами D3 (33) и D4 (34). Гидроперекисные группы в агликонах голотурий встречаются достаточно редко.
Переисследование состава гликозидов дальневосточной голотурии Thyonidium (=Duasmodactuyla) kurilensis (Levin), собранной у побережья о-ва Онекотан в Охотском море при промысловом драгировании гребешка, было следующим этапом нашей работы. Ранние исследования гликозидов этого вида показали сложность его гликозидной суммы. Из-за этого часть гликозидной суммы была подвергнута кислотному гидролизу с последующим разделением полученных производных. В результате была установлена структура двух генинов – курилогенина [19] и немогенина [20]. Позднее были выделены два нативных гликозида, курилозиды A и C [21]. Абсолютные конфигурации моносахаридных остатков, составляющих углеводные цепи курилозидов A и C, были определены как D [21]. Однако остальная часть гликозидной фракции, содержащая более полярные и минорные гликозиды, осталась неизученной.
В продолжение этих исследований нам удалось выделить еще шесть гликозидов, курилозидов A1 (36), A2 (37), C1 (38), D (39), E (40) и F (41) (рис. 6), и известный курилозид A [22].
Рис. 6. Химические структуры гликозидов, выделенных из голотурии Thyonidium kurilensis: 36 – курилозид A1; 37 – курилозид A2; 38 – курилозид C1; 39 – курилозид D; 40 – курилозид E; 41 – курилозид F
Структуры новых соединений 36–41 были установлены, а структура курилозида А была подтверждена с помощью анализа 1D и 2D ЯМР спектров, а также масс-спектров ВР ИЭР. В составе данной серии гликозидов были обнаружены пять различных типов углеводных цепей, включая три новых. Агликоны представляли собой гекса-нор-ланостановые производные без лактона, и только один ланостановый агликон содержал полноценную боковую цепь.
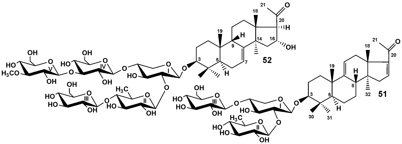
Немногим позднее из голотурии T. kurilensis было выделено еще девять новых гликозидов – курилозиды A3 (42), D1 (43), G (44), H (45), I (46), I1 (47), J (48), K (49) и K1 (50) (рис. 7), а также два десульфатированных производных, DS-курилозид L (51) и DS-курилозид M (52) (рис. 8) [23].
Рис. 7. Химические структуры гликозидов, выделенных из Thyonidium kurilensis: 42 – курилозид A3; 43 – курилозид D1; 44 – курилозид G; 45 – курилозид H; 46 – курилозид I; 47 – курилозид I1; 48 – курилозид J; 49 – курилозид K; 50 – курилозид K1
Рис. 8. Химические структуры десульфатированных гликозидов, полученных из Thyonidium kurilensis: 51 – DS-курилозид L; 52 – DS-курилозид M
Было открыто пять новых типов углеводных цепей (курилозиды групп G–K), включая трисульфатированные пента- (курилозиды группы I (46, 47)) и гексаозиды (курилозид H (45)). Гликозид с шестью моносахаридными остатками и тремя сульфатными группами, наряду с тетрасульфатированными гликозидами из Psolus fabricii [11], относится к самым полярным тритерпеновым гликозидам, найденным в голотуриях. При анализе строения дисульфатированных гекса- и пентасахаридных цепей курилозидов групп G (44), J (48) и K (49, 50) хорошо прослеживается комбинаторный (мозаичный) тип биосинтеза гликозидов, а именно введение сульфатных групп в различные положения. В то же время положение одной из сульфатных групп (при C-6 глюкозы, присоединенной к C-4 первого моносахаридного остатка, ксилозы) остается неизменным во всех нативных гликозидах T. kurilensis. В гликозидах 42–50 были найдены три новых неголостановых агликона, не имеющих лактонного цикла, два из них являются 22,23,24,25,26,27-гекса-нор-ланостановыми производными, один имеет нормальную боковую цепь. Большинство агликонов гликозидов T. kurilensis отличаются друг от друга заместителями при C-16 (α- и β-ориентированные гидрокси- или ацетоксигруппы или кетогруппа) и C-20 (гидрокси-, ацетокси- или кетогруппы) и представляют биогенетически родственные ряды соединений. Гликозиды с 16α-заместителями выделены только из T. kurilensis, 16β-гидроксилированные агликоны также обнаружены впервые. Они могут рассматриваться как «горячие метаболиты» − биосинтетические предшественники агликонов с 16β-ацетоксигруппой.
Из суммы десульфатированных производных, полученных в 1991 г. сольволизом нативных гликозидов в смеси безводных пиридина и диоксана для того, чтобы облегчить задачу их хроматографического разделения, были выделены DS-курилозид L (51) и DS-курилозид М (52) (рис. 8). Гликозид 51 имел трисахаридную углеводную цепь, разветвленную по первому моносахаридному остатку (ксилозы), являясь «горячим» метаболитом и ключевым звеном в биосинтезе тетраозидов, пентаозидов и гексаозидов.
В отличие от агликонов всех известных гликозидов из T. kurilensis агликон DS-курилозида М (52) содержит 7(8)-двойную связь, что подтверждает наличие у этой голотурии оксидоскваленциклаз двух типов – паркеолсинтазы и 9βH-ланоста-7,24-диен-3β-ол-синтазы. При этом паркеолсинтаза более активна или экспрессируется в больших количествах.
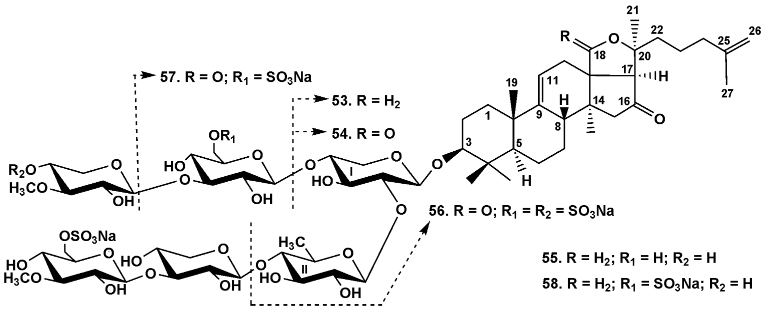
Род Psolus включает в себя 58 видов, и только три из них были химически исследованы к настоящему времени: P. fabricii, P. eximius [24] и P. patagonicus [25, 26]. Нами исследован четвертый представитель этого рода, P. chitonoides, из которого было выделено шесть новых тритерпеновых гликозидов, хитоноидозиды A (53), A1 (54), B (55), C (56), D (57) и E (58) (рис. 9), а их химические структуры были установлены современными спектральными методами [27].
Рис. 9. Химические структуры гликозидов, выделенных из Psolus chitonoides: 53 – хитоноидозид A; 54 –хитоноидозид A1; 55 – хитоноидозид B; 56 – хитоноидозид C; 57 – хитоноидозид D; 58 – хитоноидозид E
Наиболее интересная особенность трех выделенных из P. chitonoides гликозидов, хитоноидозидов А (53), B (55) и Е (58), – наличие 18(20)-эпоксида вместо обычного 18(20)-лактона. То есть агликон является аналогом обычного голотоксиногенина, но имеет 18(20)-эпоксигруппу. Это первый случай нахождения данной структурной особенности в гликозидах голотурий. По-видимому, гликозиды с 18(20)-эпоксидом образуются в процессе биосинтеза при задержке дальнейшего окисления «горячих» метаболитов с гидроксилом при С-18.
Интересно, что цитотоксическая активность гликозидов с таким агликоном против эритроцитов и опухолевых клеток не была снижена по сравнению с гликозидами, имеющими 18(20)-лактон.
Продолжая исследования гликозидов P. chitonoides [27], мы выделили четыре новых гликозида, хитоноидозиды E1 (59), F (60), G (61), и H (62) (рис. 10) [28].
Рис. 10. Химическая структура гликозидов, выделенных из Psolus chitonoides: 59 – хитоноидозид E1; 60 – хитоноидозид F; 61 – хитоноидозид G; 62 – хитоноидозид H
Хитоноидозид G (61) содержал в качестве агликона аналог голотоксиногенина с 18(20)-эпоксидом вместо лактона, остальные гликозиды имели обычный голотоксиногенин. Хитоноидозид Е1 (59) содержал терминальный остаток 3-О-метилксилозы, что встречается не так часто в гликозидах голотурий, в хитоноидозидах F (60) и Н (62) терминальный остаток 3-О-метилглюкозы был сульфатирован по С-4, что бывает довольно редко.
В завершение исследований гликозидов P. chitonoides были установлены структуры новых хитоноидозидов I (63), J (64), K (65), K1 (66) и L (67) [29] (рис. 11).
Рис. 11. Химические структуры гликозидов, выделенных из Psolus chitonoides: 63 – хитоноидозид I; 64 – хитоноидозид J; 65 – хитоноидозид K; 66 – хитоноидозид K1; 67 – хитоноидозид L
В отличие от большинства гликозидов из P. chitonoides агликоны хитоноидозида К (65) и К1 (66) имели 7(8)-двойную связь. Кроме того, эти гликозиды были тетрасульфатированными гексаозидами, наиболее полярными из известных на данный момент гликозидов голотурий.
Наличие в гликозидной сумме P. chitonoides гликозидов и с 7(8)-, и 9(11)-двойными связями, как и в других подобных случаях, свидетельствует об участии в их биосинтезе двух типов оксидоскваленциклаз – паркеолсинтазы и 9β-H-ланоста-7,24-диен-3β-ол-синтазы.
Таким образом, в результате исследования гликозидного состава голотурии Psolus chitonoides были выделены 15 ранее неизвестных тритерпеновых гликозидов – хитоноидозиды A–L и установлены их структуры. В их составе найдено четыре разных агликона: два из них характеризуются 9(11)-двойными связями в полициклической системе (голотоксиногенин и его структурный аналог с 18(20)-эфирной связью), а два других имеют 7(8)-незамещенное ядро и различные боковые цепи.
Разнообразие же углеводных цепей хитоноидозидов более велико по сравнению с агликонами. Двенадцать структурно отличающихся друг от друга углеводных цепей обнаружено в составе хитоноидозидов групп А–L. Среди них есть тетрасахаридные цепи (хитоноидозиды групп A, C и F), отличающиеся друг от друга архитектурой (наличие/отсутствие нижней/верхней полуцепи), моносахаридным составом и числом сульфатных групп, и два типа пентасахаридных цепей (хитоноидозиды групп D и H), различающиеся наличием/отсутствием одного из терминальных (четвертого или шестого) 3-O-метилглюкозных остатков, сульфатированных по C-4 или по C-6.
Гликозиды с шестью моносахаридными остатками (семь типов: хитоноидозиды групп B, E, G и I–L) преобладали в гликозидной сумме P. chitonoides. Они различались третьим остатком в цепи (ксилоза или глюкоза), количеством (от одной до четырех) и положением сульфатных групп и, наконец, терминальными моносахаридами в нижней (3-О-метилглюкоза или глюкоза) и верхней (3-О-метилксилоза или 3-О-метилглюкоза) полуцепях.
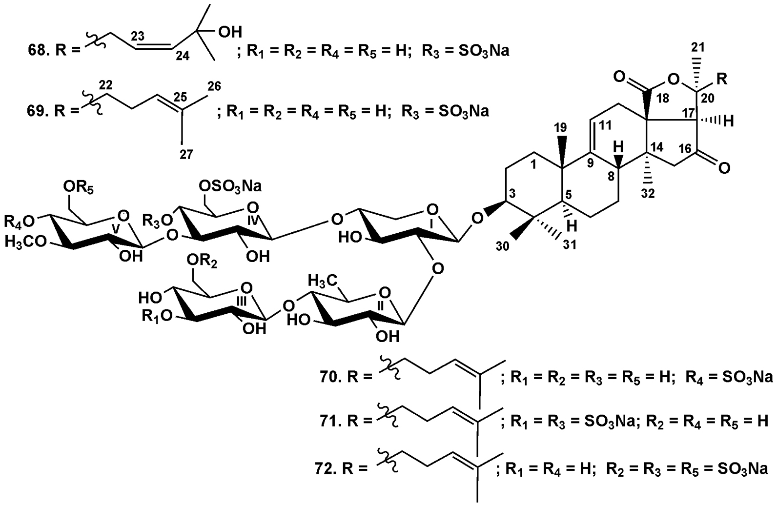
Из дальневосточной голотурии Paracaudina chilensis (Caudinidae, Molpadida) нами были выделены пять новых тритерпеновых гликозидов, хиленсозидов A (68), A1 (69), B (70), C (71) и D (72), и установлены их структуры (рис. 12) [30].
Рис. 12. Химические структуры гликозидов, выделенных из Paracaudina chilensis: 68 – хиленсозид A; 69 – хиленсозид A1; 70 – хиленсозид B; 71 – хиленсозид C; 72 – хиленсозид D
В составе гликозидов 68–72 были обнаружены два разных агликона, причем один из них присутствовал в четырех из пяти соединений, и четыре типа углеводных цепей. Соединения различались числом сульфатных групп: две – в хиленсозидах групп A (68, 69) и B (70), три – в хиленсозиде C (71), четыре – в хиленсозиде D (72) – и их положениями. Причем некоторые их них были довольно необычными для гликозидов голотурий, такие как положение 4 глюкозы и 3-О-метилглюкозы, тогда как положение С-3 третьего остатка (глюкозы), по которому была сульфатирована цепь хиленсозида С (71), было и вовсе уникальным, так как блокировало возможность дальнейшего удлинения углеводной цепи при биосинтезе.
Такое разнообразие в количестве и положении сульфатных групп, очевидно, указывает на высокую активность сульфатаз, которые, однако, имеют низкую специфичность, присоединяя сульфатные группы в различные положения одного или нескольких моносахаридных остатков в гликозидах 68–72. Особенно интересным было наблюдение, что сульфатаза может конкурировать с гликозидазой, присоединяя сульфатную группу в положение 3 третьего моносахаридного остатка (глюкозы) в гликозиде 71 вместо потенциального гликозилирования этого положения. Интересно, что в гликозидах P. chilensis найдены только агликоны с 9(11)-двойной связью, что указывает на функционирование только одной оксидоскваленциклазы, образующей паркеол (предшественник гликозидов с 9(11)-двойной связью).
Гликозиды P. chilensis были структурно близки ряду гликозидов из представителей отряда Dendrochirotida, что подтверждает большую филогенетическую близость отряда Molpadida к отряду Dendrochirotida, чем к отряду Aspidochirotida.
Дальнейшая работа с гликозидами P. chilensis [30] привела к установлению структур трех новых тетрасульфатированных высокополярных гликозидов хиленсозидов E (73), F (74) и G (75) (рис. 13) [31].
Рис. 13. Химические структуры гликозидов, выделенных из Paracaudina chilensis: 73 – хиленсозид E; 74 – хиленсозид F; 75 – хиленсозид G
Всего в результате исследования гликозидного состава голотурии Paracaudina chilensis были установлены структуры восьми новых гликозидов (хиленсозидов A, А1, В–G). Структурное разнообразие этих соединений обеспечивается главным образом различным числом и положением сульфатных групп. Семь гликозидов имеют пентасахаридные, разветвленные по C-4 первого моносахаридного остатка (ксилозе) цепи с одним и тем же моносахаридным составом и последовательностью моносахаридных остатков. Один гликозид из серии – хиленсозид G (75) – содержит шесть моносахаридных остатков за счет наличия дополнительной глюкозы в нижней полуцепи. Аналогично семь гликозидов имели идентичные агликоны и только один, хиленсозид A [30], характеризовался иной структурой боковой цепи агликона.
Из дальневосточной голотурии Cucumaria djakonovi (Cucumariidae, Dendrochirotida), собранной в Авачинском заливе, на первом этапе изучения ее гликозидной суммы была выделена серия новых моносульфатированных тетра- и пентаозидов, дьяконовиозидов A (76), A1 (77), A2 (78), B1 (79), B2 (80), B3 (81) и B4 (82) (рис. 14) [32].
Рис. 14. Химические структуры гликозидов, выделенных из голотурии Cucumaria djakonovi: 76 – дьяконовиозид A; 77 – дьяконовиозид A1; 78 – дьяконовиозид A2; 79 – дьяконовиозид B1; 80 – дьяконовиозид B2; 81 – дьяконовиозид B3; 82 – дьяконовиозид B4
Наиболее интересной структурной особенностью дьяконовиозидов A2 (78), B2 (80) и B4 (82) является наличие пиранозного 16(23)-полукеталя. Его образование происходит сходным образом с образованием пиранозных форм сахаров в результате кольчато-цепной таутомерии, при которой неферментативная внутримолекулярная реакция приводит к превращению изомера с открытой цепью в более устойчивый циклический изомер. В случае найденных гликозидов сходный процесс приводит к образованию агликонов с альфа-пиранозным фрагментом. О-ацетилтрансферазы катализируют введение ацетатных групп в молекулы предшественников, содержащих гидроксильные группы. Возможной причиной превращения предшественника с 16β-гидроксилом в агликоны с 23(16)-полукеталем, характерного для некоторых гликозидов C. djakonovi, является задержка действия O-ацетилтрансферазы на интермедиат с 16β-ОН группой.
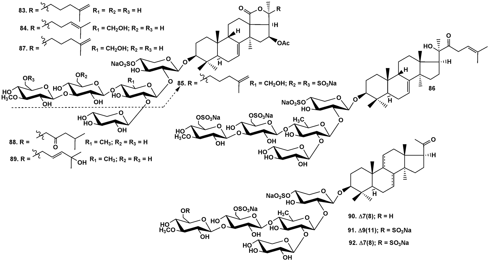
Результатом следующего этапа исследования гликозидов C. djakonovi [32] стало выделение, установление структур и изучение биологической активности новых дьяконовиозидов C1 (83), D1 (84), E1 (85) и F1 (86), наряду с обнаружением нескольких известных веществ 87–92 (рис. 15) [33].
Рис. 15. Химические структуры тритерпеновых гликозидов из Cucumaria djakonovi: 83 – дьяконовиозид C1; 84 – дьяконовиозид D1; 85 – дьяконовиозид E1; 86 – дьяконовиозид F1; 87 – охотозид A2-1; 88 – кукумариозид A2-5; 89 – фрондозид A2-3; 90 – кукумариозид A3-2; 91 – изокореозид A; 92 – кореозид A
Четыре выделенных гликозида (86 и 90–92) содержали неголостановые агликоны без лактонного цикла, включая один новый в дьяконовиозиде F1 (86). Интересно, что дьяконовиозид F1 (86) является единственным соединением из этой серии, имеющим нормальную неукороченную боковую цепь. Три другие агликона являются гекса-нор-ланостановыми производными. Дьяконовиозид F1 (86), кукумариозид A3-2 (90) и кореозид A (92) образуют биогенетический ряд, отражающий образование в процессе биосинтеза нор-ланостановых производных через стадию окисления C-22 с последующим окислительным расщеплением 20(22)-ковалентной связи. Тот же самый путь реализуется в биосинтезе стероидных гормонов. Интересно, что набор трисульфатированных пентаозидов C. djakonovi (дьяконовиозид F1, изокореозид A и кореозид A) соответствует аналогичному ряду, найденному в C. frondosa и дополняет его [34]: три пары изомеров, отличающиеся положением двойных связей в ланостановом ядре, имели различным образом замещенные положения C-22 или укороченную боковую цепь. Соединение 86, имеющее карбонильную группу при C-22, может рассматриваться как отсутствующее звено в ряду агликонов гликозидов C. frondosa, которое заполняет промежуток между 22-гидроксилированными (22-O-ацетилированными) и гекса-нор-ланостановыми производными.
Интересно, что изокореозид A (91) является единственным гликозидом из C. djakonovi, имеющим 9(11)-двойную связь. Следовательно, две оксидоскваленциклазы (паркеолсинтаза и 9βH-ланоста-7,24-диен-3β-ол-синтаза) участвуют в биосинтезе и образуют два различных типа полициклических ядер гликозидов C. djakonovi. Однако паркеолсинтаза, вероятно, преимущественно вовлечена в биосинтез свободных 14α-метил стеринов с 9(11)-двойной связью, в то время как активность 9βH-ланоста-7,24-диен-3β-ол-синтазы ведет к образованию тритерпеновых агликонов.
Всего в гликозидах C. djakonovi присутствовало пять новых агликонов [32], которые входили в состав преимущественно моносульфатированных соединений, в то время как среди трисульфатированных соединений был найден только один гликозид с новым агликоном. Восемь типов углеводных цепей обнаружено в гликозидах C. djakonovi, два из которых были новыми, в том числе моносульфатированная пентасахаридная цепь дьяконовиозида C1 (83) с ксилозой в качестве второго моносахаридного остатка. Такая структурная особенность очень редка для гликозидов голотурий. Трисульфатированная тетрасахаридная цепь дьяконовиозида E1 (85) с глюкозой в качестве второго моносахаридного остатка также была обнаружена впервые. В состав дьяконовиозидов групп А и В входят тетра- и пентасахаридные моносульфатированные цепи, найденные ранее в составе гликозидов нескольких представителей рода Cucumaria. Олигосахаридные части дьяконовиозидов D1 (84) и F1 (86) и известных соединений 87–92 являются характерными для представителей рода Cucumaria [35]. Эти данные подтверждают возможность использования гликозидов в качестве хемотаксономических маркеров. Принадлежность C. djakonovi к роду Cucumaria, несомненно, доказывается присутствием гликозидов, характерных и для других видов рода. Предположение, что все виды рода Cucumaria обязательно содержат одинаковые моно-, ди- и трисульфатированные пентасахаридные разветвленные цепи, но при этом специфические агликоны, подтверждается структурами гликозидов C. djakonovi. Набор углеводных цепей, биосинтезируемый голотуриями рода Cucumaria, был расширен новыми углеводными цепями дьяконовиозидов.
В общем в результате исследования гликозидного состава голотурии Cucumaria djakonovi было выделено 11 новых и 9 известных гликозидов, найденных ранее в других представителях рода Cucumaria. Двенадцать различных агликонов входили в состав выделенных гликозидов, причем пять из них были новыми, включая уникальный агликон, имеющий 23,16-полукетальный фрагмент.
Было показано, что, с одной стороны, для каждого вида рода Cucumaria характерен уникальный видоспецифичный состав гликозидов, а с другой стороны, наличие общих гликозидов для разных представителей рода подтверждает отнесение той или иной голотурии к этому роду.
Таким образом, с 2019 по 2023 г. нами выделено более 80 новых тритерпеновых гликозидов из тихоокеанских голотурий, причем ряд из них обладает уникальными структурными чертами. Полученные данные позволили изучить закономерности биосинтеза и зависимость биологической активности гликозидов от их структуры, но обсуждение этих результатов, как уже упоминалось, выходит за пределы данной публикации.
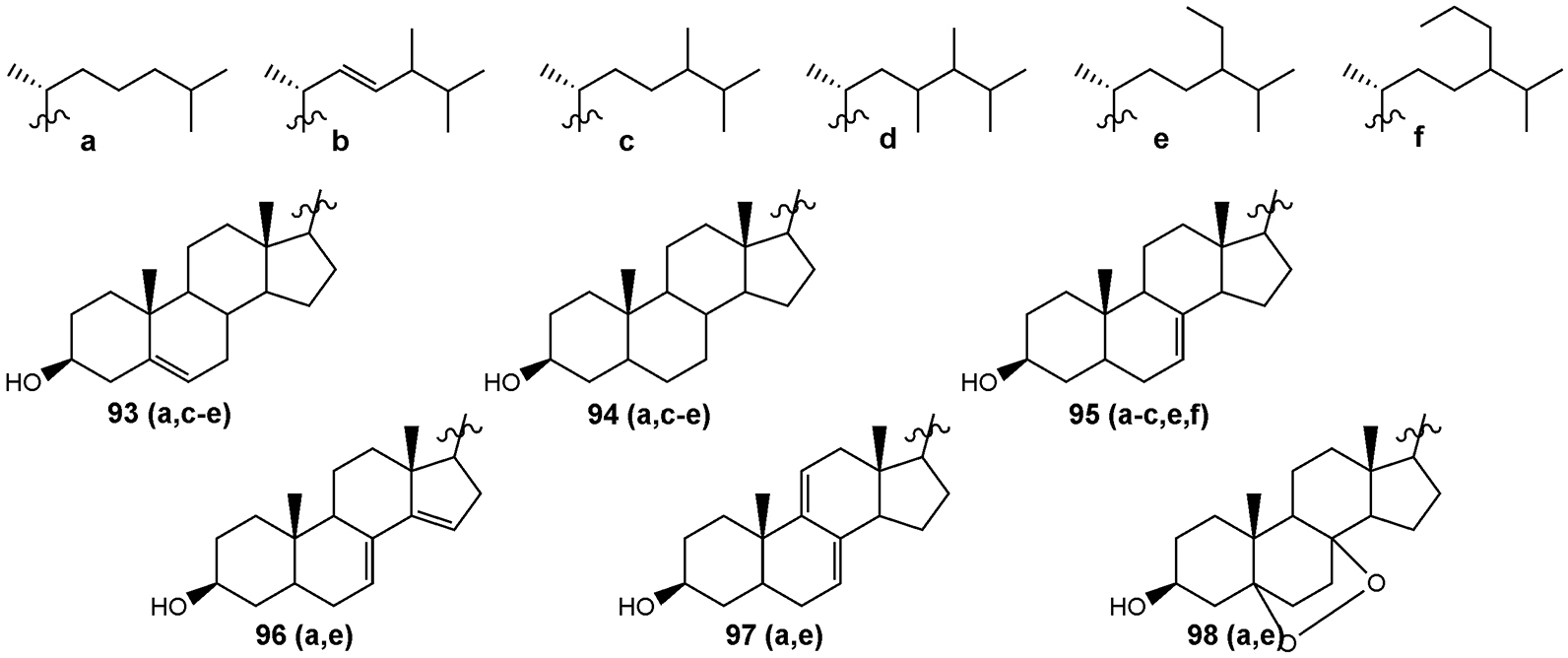
В нашей лаборатории также был изучен состав свободных стеринов голотурии Orphnurgus cf. glaber Walsh, 1891 – редкой глубоководной голотурии, собранной в Тихом океане с глубины 2231 м. В результате этого исследования были найдены соединения 93 (a, c-e), 94 (а, c-e), 95 (а-c, e, f), 96 (а, e), 97 (а, e), 98 (а, e) (рис. 16) [36]. Структурную идентификацию веществ выполнили с помощью ГЖХ/МС, а также спектроскопии ЯМР отдельных фракций.
Рис. 16. Структуры стеринов из голотурии Orphnurgus cf. glaber
Было установлено, что в состав фракции свободных стеринов глубоководной голотурии Orphnurgus cf. glaber входят холестерин (93а) и 24-этилхолестерин (93e) и продукты их модификации в стериновых ядрах: Δ0 (94а и 94e), Δ7 (95а и 95e), Δ7,14 (96а и 96e), Δ7,9(11) (97а и 97e), диоксистерины (98а и 98e). Стерины с другими боковыми цепями встречаются в небольших количествах. По-видимому, обилие соединений с общей холестериновой боковой цепью и особенно с 24-этилзамещенной боковой цепью отражает стериновый состав фитодетрита, которым питается Orphnurgus cf. glaber.
Большинству голотурий присуща способность трансформировать ядро получаемых с пищей стеринов, превращая Δ5-стерины в их Δ7-аналоги [37]. Обычно голотурии биосинтезируют тритерпеновые гликозиды в качестве средств химической защиты от хищников, но их собственные клетки устойчивы к действию их цитотоксинов благодаря присутствию в мембране Δ7-стеринов [1]. Тритерпеновые гликозиды не были обнаружены в Orphnurgus сf. glaber, но ее стериновый состав демонстрирует наличие интенсивной трансформации пищевых Δ5-стеринов, указывая, что отсутствие гликозидов в этой голотурии может носить вторичный характер. Стериновая фракция содержит 14,4% Δ5-стеринов, 12,6% – станолов, 51,6% – Δ7-стеринов и 20,6% – полиненасыщенных стеринов и аддуктов кислорода. Интересной особенностью стеринового состава было наличие соединений с полиненасыщенными стериновыми ядрами. Это отмечалось ранее и для других глубоководных голотурий. Мы полагаем, что наличие ди- и триненасыщенных стеринов свидетельствует об адаптации мембран, содержащих эти стерины, к пониженным температурам. O. cf. glaber не содержит Δ5,7-стеринов, являющихся промежуточными продуктами трансформации Δ5-стеринов в Δ7-стерины у мелководных голотурий [38], но у нее имеются кислородные аддукты 98a и 98e, которые легко образуются из Δ5,7-стеринов и могут восстанавливаться. Таким образом, мы обнаружили 21 компонент стериновой фракции, содержащий Δ7, Δ0, Δ5, полиненасыщенные или 5,8-эпидиоксимодифицированные ядра и преимущественно насыщенные боковые цепи.
Об авторах
Владимир Иванович Калинин
Тихоокеанский институт биоорганической химии им. Г.Б. Елякова ДВО РАН
Автор, ответственный за переписку.
Email: kalininv@piboc.dvo.ru
доктор биологических наук, ведущий научный сотрудник
Россия, ВладивостокСергей Анатольевич Авилов
Тихоокеанский институт биоорганической химии им. Г.Б. Елякова ДВО РАН
Email: avilov-1957@mail.ru
доктор химических наук, ведущий научный сотрудник
Россия, ВладивостокАлександра Сергеевна Сильченко
Тихоокеанский институт биоорганической химии им. Г.Б. Елякова ДВО РАН
Email: sialexandra@mail.ru
ORCID iD: 0000-0002-9367-1158
доктор химических наук, ведущий научный сотрудник
Россия, ВладивостокИрина Ивановна Капустина
Тихоокеанский институт биоорганической химии им. Г.Б. Елякова ДВО РАН
Email: ikapust@rambler.ru
кандидат химических наук, научный сотрудник
Россия, ВладивостокЛюдмила Петровна Пономаренко
Тихоокеанский институт биоорганической химии им. Г.Б. Елякова ДВО РАН
Email: ponjmarenko@inbox.ru
кандидат химических наук, старший научный сотрудник
Россия, ВладивостокСписок литературы
- Kalinin V. I., Aminin D. L., Avilov S. A., Silchenko A. S., Stonik V. A. Triterpene glycosides from sea cucumbers (Holothurioidae, Echinodermata), biological activities and functions // Studies in Natural Product Chemistry (Bioactive Natural Products) / ed. Atta-ur-Rahman. The Netherlands: Elsevier Science Publisher, 2008. Vol. 35. P. 135–196.
- Aminin D. L., Pislyagin E. A., Menchinskaya E. S., Silchenko A. S., Avilov S. A., Kalinin V. I. Immunomodulatory and anticancer activity of sea cucumber triterpene glycosides // Studies in Natural Products Chemistry / ed. Atta-ur-Rahman. The Netherlands: Elsevier Science B. V., 2014. Vol. 41. P. 75–94.
- Aminin D. L., Menchinskaya E. S., Pisliagin E. A., Silchenko A. S., Avilov S. A., Kalinin V. I. Anticancer activity of sea cucumber triterpene glycosides // Mar. Drugs. 2015. Vol. 13. P. 1202–1223.
- Kalinin V. I., Avilov S. A., Silchenko A. S., Stonik V. A. Triterpene glycosides of sea cucumbers (Holothuroidea, Echinodermata) as taxonomic markers // Nat. Prod. Commun. 2015. Vol. 10, N1. P. 21–26.
- Калинин В. И., Сильченко А. С., Авилов С. А. Тритерпеновые гликозиды голотурий. Таксономическое значение и экологическая роль // Известия РАН. Серия биологическая. 2016. № 6. С. 616–624.
- Калинин В. И., Авилов С. А., Сильченко А. С. Исследование структуры тритерпеновых гликозидов голотурий в Тихоокеанском институте биоорганической химии им. Г. Б. Елякова ДВО РАН // Вестн. ДВО РАН. 2019. № 5. С. 40–46.
- Silchenko A. S., Avilov S. A., Kalinovsky A. I., Kalinin V. I., Andrijaschenko P. V., Dmitrenok P. S. Psolusosides C1, C2, and D1, novel triterpene hexaosides from the sea cucumber Psolus fabricii (Psolidae, Dendrochirotida) // Nat. Prod. Commun. 2018. Vol. 13. P. 1623–1628.
- Silchenko A. S., Avilov S. A., Kalinovsky A. I., Kalinin V. I., Andrijaschenko P. V., Dmitrenok P. S., Popov R. S., Chingizova E. A., Kasakin M. F. Psolusosides C3 and D2–D5, five novel triterpene hexaosides from the sea cucumber Psolus fabricii (Psolidae, Dendrochirotida): chemical structures and bioactivities // Nat. Prod. Commun. 2019. P. 1–12. doi: 10.1177/1934578X19861253.
- Le H., Vien L. T., Hanh T. T.H., Thanh N. V., Cuong N. X., Nam N. H., Thung D. C., Ivanchina N. V., Thao D. T., Dmitrenok P. S., Kicha A. A., Kiem P. V., Minh C. V. Triterpene glycosides from the Vietnamese sea cucumber Holothuria edulis // Nat. Prod. Res. 2020. Vol. 34. P. 1061–1067.
- Silchenko A. S., Kalinovsky A. I., Avilov S. A., Kalinin V. I., Andrijaschenko P. V., Dmitrenok P. S., Popov R. S., Chingizova E. A., Ermakova S. P., Malyarenko O. S. Structures and bioactivities of six new triterpene glycosides, psolusosides E, F, G, H, H1, and I and the corrected structure of psolusoside B from the sea cucumber Psolus fabricii // Mar. Drugs. 2019. Vol. 17. 358 [1–24].
- Silchenko A. S., Kalinovsky A. I., Avilov S. A., Kalinin V. I., Andrijaschenko P. V., Dmitrenok P. S., Popov R. S., Chingizova E. A. Structures and bioactivities of psolusosides B1, B2, J, K, L, M, N, O, P and Q from the sea cucumber Psolus fabricii. The first finding of tetrasulfated marine low molecular weight metabolites // Mar. Drugs. 2019. Vol. 17. 631 [1–24].
- Silchenko A. S., Kalinovsky A. I., Avilov S. A., Andrijaschenko P. V., Popov R. S., Dmitrenok P. S., Chingizova E. A., Ermakova S. P., Malyarenko O. S., Dautov S. Sh., Kalinin V. I. Structures and bioactivities of quadrangularisosides A, A1, B, B1, B2, C, C1, D, D1–D4, and E from the sea cucumber Colochirus quadrangularis: the first discovery of the glycosides, sulfated by C-4 of the terminal 3-O-methylglucose residue. Synergetic effect on colony formation of tumor HT-29 cells of these glycosides with radioactive irradiation // Mar. Drugs. 2020. Vol. 18. 394 [1–35].
- Silchenko A. S., Kalinovsky A. I., Avilov S. A., Andryjaschenko P. V., Dmitrenok P. S., Kalinin V. I., Yurchenko E. V., Dolmatov I. Y. Colochirosides B1, B2, B3 and C, novel sulfated triterpene glycosides from the sea cucumber Colochirus robustus (Cucumariidae, Dendrochirotida) // Nat. Prod. Commun. 2015. Vol. 10. P. 1687–1694.
- Rodriguez J., Riguera R. Lefevreosides: four novel triterpenoid glycosides from the sea cucumber Cucumaria lefevrei // J. Chem. Res. (M). 1989. P. 2620–2636.
- Zurita M. B., Ahond A., Poupat C., Potier P. Invertebres marins du lagon Neo-Caledonien, VII. Etude structurale d’un nouveau saponoside sulfate extrait de l’holothurie Neothyonidium magnum // J. Nat. Prod. 1986. Vol. 49. P. 809–813.
- Chludil H. D., Muniain C. C., Seldes A. M., Maier M. S. Cytotoxic and antifungal triterpene glycosides from the Patagonian sea cucumber Hemoidema spectabilis // J. Nat. Prod. 2002. Vol. 65. P. 860–865.
- Yi Y.-H., Xu Q.-Z., Li L., Zhang S.-L., Wu H.-M., Ding J., Tong Y. G., Tan W.-F., Li M.-H., Tian F., Wu J.-H., Liaw C.-C., Bastow K. F., Lee K.-H. Philinopsides A and B, two new sulfated triterpene glycosides from the sea cucumber Pentacta quadrangularis // Helv. Chim. Acta. 2006. Vol. 89. P. 54–63.
- Zhang S.-L., Li L., Yi Y.-H., Sun P. Philinopsides E and F, two new sulfated triterpene glycosides from the sea cucumber Pentacta quadrangularis // Nat. Prod. Res. 2006. Vol. 20. P. 399–407.
- Kalinovskii A. I., Avilov S. A., Stepanov V. R., Stonik V. A. Glycosides of marine invertebrates. XXIII. Kurilogenin – a new genin from the glycosides of the holothurian Duasmodactyla kurilensis // Chem. Nat. Compds. 1983. Vol. 19. P. 688–691.
- Avilov S. A., Kalinovskii A. I. New triterpene aglycone from the holothurian Duasmodactyla kurilensis // Chem. Nat. Compds. 1989. Vol. 25. P. 309–311.
- Avilov S. A., Kalinovskii A. I., Stonik V. A. Two new triterpene glycosides from the holothurian Duasmodactyla kurilensis // Chem. Nat. Compds. 1991. Vol. 27. P. 188–192.
- Silchenko A. S., Kalinovsky A. I., Avilov S. A., Andrijaschenko P. V., Popov R. S., Dmitrenok P. S., Chingizova E. A., Kalinin V. I. Kurilosides A1, A2, C1, D, E and F – triterpene glycosides from the Far Eastern sea cucumber Thyonidium (=Duasmodactyla) kurilensis (Levin): structures with unusual non-holostane aglycones and cytotoxicities // Mar. Drugs. 2020. Vol. 18. 551 [1–21].
- Silchenko A. S., Kalinovsky A. I., Avilov S. A., Andrijaschenko P. V., Popov R. S., Dmitrenok P. S., Chingizova E. A., Kalinin V. I. Triterpene glycosides from the Far Eastern sea cucumber Thyonidium (=Duasmodactyla) kurilensis (Levin): the structures, cytotoxicities, and biogenesis of kurilosides A3, D1, G, H, I, I1, J, K, and K1 // Mar. Drugs. 2021. Vol. 19. 187 [1–25].
- Kalinin V. I., Avilov S. A., Kalinina E. Y., Korolkova O. G., Kalinovsky A. I., Stonik V. A., Riguera R., Jimenez C. Structure of eximisoside A, a novel triterpene glycoside from the Far-Eastern sea cucumber Psolus eximius // J. Nat. Prod. 1997. Vol. 60. P. 817–819.
- Murray A. P., Muniain C., Seldes A. M., Maier M. Patagonicoside A: a novel antifungal disulfated triterpene glycoside from the sea cucumber Psolus patagonicus // Tetrahedron. 2001. Vol. 57. P. 9563–9568.
- Careaga V. P., Muniain C., Maier M. S. Patagonicosides B and C, two antifungal sulfated triterpene glycosides from the sea cucumber Psolus patagonicus // Chem. Biodivers. 2011. Vol. 8. P. 467–475.
- Silchenko A. S., Kalinovsky A. I., Avilov S. A., Andrijaschenko P. V., Popov R. S., Dmitrenok P. S., Chingizova E. A., Kalinin V. I. Unusual structures and cytotoxicities of chitonoidosides A, A1, B, C, D, and E, six triterpene glycosides from the Far Eastern sea cucumber Psolus chitonoides // Mar. Drugs. 2021. Vol. 19. 449 [1–18].
- Silchenko A. S., Kalinovsky A. I., Avilov S. A., Andrijaschenko P. V., Popov R. S., Chingizova E. A., Kalinin V. I., Dmitrenok P. S. Triterpene glycosides from the Far Eastern sea cucumber Psolus chitonoides: chemical structures and cytotoxicities of chitonoidosides E1, F, G, and H // Mar. Drugs. 2021. Vol. 19, N12. 696 [1–17].
- Silchenko A. S., Avilov S. A., Andrijaschenko P. V., Popov R. S., Chingizova E. A., Dmitrenok P. S., Kalinovsky A. I., Rasin A. B., Kalinin V. I. Structures and biologic activity of chitonoidosides I, J, K, K1 and L – triterpene di-, tri- and tetrasulfated hexaosides from the sea cucumber Psolus chitonoides // Mar. Drugs. 2022. Vol. 20, N6. 369 [1–21].
- Silchenko A. S., Avilov S. A., Andrijaschenko P. V., Popov R. S., Chingizova E. A., Grebnev B. B., Rasin A. B., Kalinin V. I. The isolation, structure elucidation and bioactivity study of chilensosides A, A1, B, C, and D, holostane triterpene di-, tri-and tetrasulfated pentaosides from the sea cucumber Paracaudina chilensis (Caudinidae, Molpadida) // Molecules. 2022. Vol. 27. 7655 [1–18].
- Silchenko A. S., Avilov S. A., Andrijaschenko P. V., Popov R. S., Chingizova E. A., Grebnev B. B., Rasin A. B., Kalinin V. I. Chilensosides E, F, and G – new tetrasulfated triterpene glycosides from the sea cucumber Paracaudina chilensis (Caudinidae, Molpadida): structures, activity, and biogenesis // Mar. Drugs. 2023. Vol. 21, N2. 114 [1–14].
- Silchenko A. S., Kalinovsky A. I., Avilov S. A., Popov R. S., Dmitrenok P. S., Chingizova E. A., Menchinskaya E. S., Panina E. G. Stepanov V. G., Kalinin V. I., Stonik V. A. Djakonoviosides A, A1, A2, B1–B4 – triterpene monosulfated tetra- and pentaosides from the sea cucumber Cucumaria djakonovi: the first finding of a hemiketal fragment in the aglycones; activity against human breast cancer cell lines // Int. J. Mol. Sci. 2023. Vol. 24. 11128 [1–24].
- Silchenko A. S., Kalinovsky A. I., Avilov S. A., Popov R. S., Chingizova E. A., Menchinskaya E. S., Zelepuga E. A., Panina E. G., Stepanov V. G., Kalinin V. I., Dmitrenok P. S. Sulfated triterpene glycosides from the Far Eastern sea cucumber Cucumaria djakonovi: djakonoviosides C1, D1, E1, and F1; cytotoxicity against human breast cancer cell lines; quantitative structure – activity relationships // Mar. Drugs. 2023. Vol. 21. 602 [1–29].
- Silchenko A. S., Avilov S. A., Kalinovsky A. I., Dmitrenok P. S., Kalinin V. I., Morre J., Deinzer M. L., Woodward C., Collin P. D. Glycosides from the North Atlantic sea cucumber Cucumaria frondosa V – Structures of five new minor trisulfated triterpene oligoglycosides, frondosides A7-1, A7-3, A7-4, and isofrondoside C // Can. J. Chem. 2007. Vol. 85, N. 9. P. 626–636.
- Avilov S. A., Kalinin V. I., Smirnov A. V. Use of triterpene glycosides for resolving taxonomic problems in the sea cucumber genus Cucumaria (Holothorioidea, Echinodermata) // Biochem. System. Ecol. 2004. Vol. 32. P. 715–733.
- Ponomarenko L. P., Kapustina I. I., Dautov S. S., Dautova T. N., Stonik V. A. Free sterol composition of deep-sea holothurian Orphnurgus cf. glaber // Nat. Prod. Commun. 2022. Vol. 17, N12. P. 1–6. doi: 10.1177/1934578X221142791.
- Sheikh Y. M., Djerassi C. Biosynthesis of sterols in the sea cucumber Stichopus californicus // Tetrahedron Letters. 1977. Vol. 36. P. 3111–3114.
- Cordeiro M. L., Djerassi C. Biosynthetic studies of marine lipids. 25. Biosynthesis of Δ9(11)- and Δ7-sterols and saponins in sea cucumbers // J. Org. Chem. 1990. Vol 55, N9. P. 2806–2813.
Дополнительные файлы



















