Новые данные об устойчивости навыков создания форм глиняных сосудов
- Авторы: Суханов Е.В.1
-
Учреждения:
- Институт археологии РАН
- Выпуск: № 2 (2024)
- Страницы: 175-191
- Раздел: СТАТЬИ
- URL: https://bakhtiniada.ru/0869-6063/article/view/267981
- DOI: https://doi.org/10.31857/S0869606324020129
- EDN: https://elibrary.ru/WNVZBK
- ID: 267981
Цитировать
Полный текст
Аннотация
В статье анализируется относительная устойчивость навыков создания форм глиняных сосудов, сделанных как на гончарном круге, так и с помощью скульптурной лепки. В качестве источников изучения использованы серии “одинаковых” сосудов, которые изготовлены в рамках экспериментов, проведенных сотрудниками Комплексного отряда по изучению гончарства в 1970-е годы и Самарской экспедиции по экспериментальному изучению древнего гончарства в 2019–2022 гг. Выявлены параметры форм, проявляющие наибольшую устойчивость независимо от способа изготовления сосуда, вида строительных элементов и уровня квалификации мастера: это угол наклона боковой линии костяка плеча-предплечья и тулова. Результаты исследования приводят к выводу, что именно эти параметры можно рассматривать как наиболее надежные для заключений на основании форм глиняной посуды о степени культурной и этнокультурной однородности коллективов, оставивших археологические памятники.
Ключевые слова
Полный текст
Формы древних глиняных сосудов – важный для археологов источник информации. Он используется для обсуждения широкого круга вопросов: от выделения или обоснования ареалов археологических культур и их локальных вариантов (например: Монгайт, 1973. С. 254, 273; Халиков, 1977. С. 243, 244. Рис. 94; Русанова, 1976; и др.) до разработки хронологии отдельных памятников и комплексов (Гавритухин, 1997; Сазанов, 2023).
Наиболее распространенный способ решения подобных задач – это группировка сосудов на основании их внешнего сходства и анализ распространения “похожих” форм во времени и пространстве на уровне комплекса, памятника или определенной территории. В качестве основных преимуществ такого подхода к работе с формами сосудов нужно отметить его конкретность и наглядность полученных данных. Слабая сторона этого подхода – интуитивность интерпретации результатов исследования. Практически любая классификация форм глиняных сосудов – как описательная, так и основанная на измерениях и статистических процедурах, – не дает однозначного ответа на вопрос о том, на каком уровне морфологического разнообразия керамики заканчиваются различия, связанные со случайными факторами, и где начинаются черты, отражающие особенности культурного и этнокультурного состава населения, оставившего тот или иной археологический памятник.
Данная статья имеет целью предложить один из способов решения этой проблемы и обосновать возможность его практического использования при исследовании форм сосудов из археологических памятников. В его основе лежит доказанное А.А. Бобринским (1978) положение о том, что форма сосуда – это овеществленный результат применения гончаром определенной системы навыков труда, а сами эти навыки – различны по степени своей устойчивости в условиях культурных контактов между разными человеческими коллективами.
На примере гончарной технологии хорошо известно, что в условиях культурного смешения населения с разными гончарными традициями скорость изменения разных навыков труда не одинакова. В условиях культурных контактов между группами населения с различающимися гончарными традициями, одни навыки имеют свойство изменяться очень быстро – в период от нескольких лет до времени жизни одного поколения, другие навыки в таких же условиях перерождаются крайне медленно (Бобринский, 1978. С. 79, 97, 184, 222). Различия в устойчивости разных навыков труда изготовителей керамики зафиксированы не только в гончарной технологии, но и в орнаментации посуды (Волкова, 2018). Поэтому есть основания предполагать, что подобными особенностями обладают и навыки создания форм глиняных сосудов.
Основная задача этого исследования – выявление наиболее устойчивых навыков создания форм сосудов, которые можно использовать в качестве надежных оснований для фиксации неоднородности культурного состава человеческих коллективов, оставивших древние поселения и некрополи. Для решения этой задачи в исследовании используется анализ степени относительной устойчивости разных параметров форм в экспериментальных сериях “одинаковых” сосудов1, сделанных в разное время, разными способами и мастерами разной квалификации.
Остановимся подробнее на источниках, использованных в этом исследовании.
Группа 1. Серии сосудов, изготовленные профессиональными мастерами на гончарном круге. С конца 1960-х до начала 1980-х годов Комплексным отрядом по изучению гончарства под руководством А.А. Бобринского проводилось обследование очагов современного гончарного производства (подробнее см.: Цетлин, 2017. С. 101, 102). Одним из направлений работ были эксперименты, в рамках которых профессиональные гончары, работавшие на ножном гончарном круге, делали серии из 10 или более сосудов традиционной для них формы.
В этой статье рассматриваются серии 10 гончаров, принимавших участие в экспериментах от двух до шести лет: 1) Коченюк И.А., с. Царевка, Житомирской обл., УССР. Серии за 6 лет, 48 сосудов; 2) Рыморенко Б.Ф., г. Радомышль, Житомирская обл., УССР. Серии за 4 года, 40 сосудов; 3) Медведюк В.Н., с. Троянов, Житомирской обл, УССР. Серии за 4 года, 37 сосудов; 4) Туровец И.Е. Серии за 3 года, 27 сосудов; 5) Щербач И.Г. Серии за 3 года, 30 сосудов; 6) Медведский Г.Г., с. Шумячи, Смоленская обл. Серии за 3 года, 30 сосудов; 7) Канищев М.Н. Серии за 3 года, 29 сосудов; 8) Евдокимов С.И., г. Рогачев, БССР. Серии за 3 года, 27 сосудов; 9) Славинский К.В., с. Троянов, Житомирской обл., УССР. Серии за 2 года, 18 сосудов; 10) Гаральский Ю. А., с. Троянов, Житомирская обл., УССР. Серии за 2 года, 12 сосудов.
Таким образом, первая группа материала представляет собой источник для изучения устойчивости разных параметров форм сосудов у профессиональных мастеров, занимающихся регулярным изготовлением глиняной посуды и делающих ее с помощью гончарного круга.
Группа 2. Серии лепных сосудов, изготовленные непрофессиональными мастерами. В 2019, 2020 и 2022 гг. в Самарской экспедиции по экспериментальному изучению древнего гончарства автором статьи и его коллегами было проведено несколько экспериментов, в рамках которых участники лепили серии одинаковых сосудов без использования гончарного круга. Для каждой серии была задана программа конструирования сосуда, вид строительных элементов, количество строительных элементов, из которого создавались функциональные части формы, и способ их наложения, а также соотношение высоты функциональных частей. Все эти условия строго соблюдались при изготовлении каждого сосуда в серии2.
По итогам этих экспериментов был накоплен значительный материал – это 30 серий, включающих по 5–10 “одинаковых” сосудов (всего 190 изделий3. Данная группа материала представляет собой источник для изучения степени устойчивости разных параметров форм лепных сосудов у людей, не занимающихся регулярным изготовлением глиняной посуды, которые делают сосуды без гончарного круга приемами скульптурной лепки.
Таким образом, общий объем материала, использованного в этом исследовании, составляет 40 серий “одинаковых” сосудов, насчитывающих 488 изделий.
Напомним, что цель исследования – выявление наиболее устойчивых параметров форм сосудов. В статье рассматриваются параметры, которые используются при анализе форм археологических сосудов с позиций историко-культурного подхода (Цетлин, 2018. С. 137–139). Они применимы для изучения практически любых коллекций целых сосудов, независимо от их культурно-хронологической принадлежности и других особенностей. К таковым параметрам относятся общая пропорциональность всего сосуда (далее – ОПП) и два параметра его функциональных частей – угол наклона боковой линии костяка (далее – угол наклона) и пропорциональность.
Рис. 1. Методика исследования: 1 – функциональные части, подвергнутые анализу (условные обозначения: а – щека-шея, б – плечо-предплечье, в – тулово, г – костяк сосуда); 2 – исследуемые параметры форм сосудов: А – общая пропорциональность, Б – пропорциональность функциональной части, В – угол наклона боковой линии костяка функциональной части.
Fig. 1. Research methodology: 1 – the functional parts subject to analysis (а – cheek-neck, б – shoulder-brachium, в – body, г – frame of vessel shape); 2 – the parameters of vessel shapes under study: A – general proportion of vessel shape, Б – proportion of functional parts, В – inclination angle of functional parts frame
Общая пропорциональность оценивается как отношение высоты к максимальному диаметру сосуда (рис. 1, 2, А). Угол наклона измеряется по положению линии, проведенной между точками на контуре сосуда, фиксирующими начало и конец функциональной части (точки НЛК, КТ и др.; подробнее см.: Цетлин, 2018. С. 130, 131) (рис. 1, 2, В). Пропорциональность функциональной части вычисляется как отношение ее высоты к полусумме верхнего и нижнего оснований (рис. 1, 2, Б). В этой статье анализ сознательно ограничен только тремя функциональными частями сосудов, которые широко известны по формам археологической керамики – это “щека-шея” (Щ-Ш), “плечо-предплечье” (П-ПП) и тулово (Т) (рис. 1, 1). Такой “сложносоставной” характер первых двух анализируемых частей объясняется двумя причинами:
1) в рамках используемой методики “щека” от “шеи”, как и “плечо” от “предплечья”, различаются значениями угла наклона (Цетлин, 2018. Табл. 5–8), т.е. одного из параметров форм сосудов, который рассматривается в этом исследовании. Чтобы избежать искусственного дробления рассматриваемых серий экспериментального материала и уменьшения его репрезентативности, принято решение не разделять эти пары функциональных частей;
2) во всех изученных сериях экспериментального материла нет случаев, когда в рамках одной структуры присутствуют и щека, и шея либо и плечо, и предплечье. Это дает возможность рассматривать такие пары функциональных частей обобщенно.
Теперь подробнее рассмотрим алгоритм исследования.
Строго фронтальные фотографии сосудов, изготовленных в ходе экспериментов, переводились в плоские контурные изображения и приводились к одной высоте. После этого сосуды разделялись на функциональные части по принятой методике (Цетлин, 2018. С. 130–137). Затем выполнялись измерения угла наклона и пропорциональности функциональных частей, а также ОПП всего сосуда.
Устойчивость интересующих нас параметров оценивалась в рамках каждой серии одинаковых сосудов, сделанной одним мастером. Для этого вычислялся коэффициент сходства (далее – КС), представляющий собой отношение минимального значения в серии к максимальному (табл. 1–4). Чем ближе значение КС к 1.0, тем выше сходство в серии, и чем ближе значение к 0, тем оно ниже. Эффективность КС как способа оценки величины случайных колебаний неоднократно подтверждена другими исследованиями на эту тему (Цетлин, 2016; Суханов, 2021; Суханов, 2023).
Рассмотрим результаты анализа устойчивости разных параметров форм сосудов по группам изученного материала.
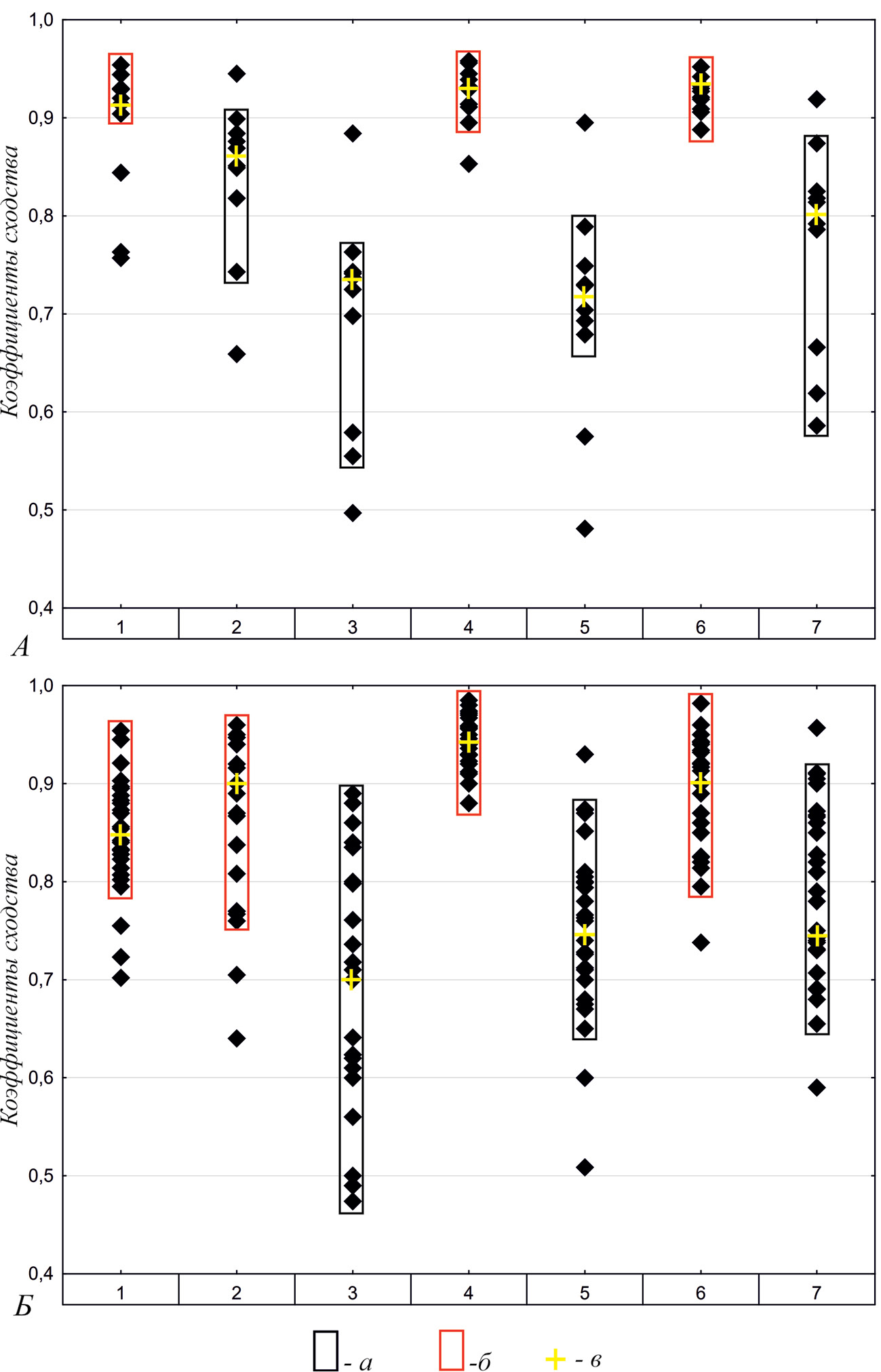
Группа 1. Серии сосудов, изготовленные профессиональными мастерами на гончарном круге (табл. 1). Для сравнения устойчивости разных параметров форм сосудов построены сравнительные диаграммы, отражающие величину колебаний ОПП сосудов, угла наклона и пропорциональности функциональных частей по 10 проанализированным сериям (табл. 1; рис. 2, А).
Среди всех рассмотренных параметров, три выделяются существенно более высокими значениями КС – это угол наклона П-ПП, угол наклона тулова Т и ОПП (рис. 2, А: параметры 1, 4, 6). Наибольшая плотность значений КС этих параметров приходится на интервал от 0.90 до 0.96: по углу наклона П-ПП такие показатели зафиксированы в 8 сериях, по углу наклона Т – в 9 сериях, и по ОПП – в 7 сериях.
Таблица 1. Величина случайных колебаний параметров форм сосудов в экспериментальных сериях. Профессиональные мастера, гончарный круг
Table 1. The random fluctuation range for the parameters of vessel shapes in experimental series. Professional craftsmen, wheel-made vessels
Мастера/Параметры форм сосудов | 1 | 2 | 3 | 4 | 5 | 6 | 7 |
Туровец | 0.93 | 0.90 | 0.74 | 0.93 | 0.73 | 0.91 | 0.87 |
Щербач | 0.92 | 0.88 | 0.88 | 0.95 | 0.75 | 0.93 | 0.79 |
Медведский | 0.76 | 0.82 | 0.56 | 0.91 | 0.58 | 0.92 | 0.67 |
Канищев | 0.84 | 0.66 | 0.50 | 0.85 | 0.48 | 0.89 | 0.59 |
Евдокимов | 0.76 | 0.74 | 0.70 | 0.96 | 0.69 | 0.92 | 0.62 |
Коченюк | 0.90 | 0.85 | 0.58 | 0.94 | 0.73 | 0.91 | 0.81 |
Рыморенко | 0.91 | 0.87 | 0.74 | 0.91 | 0.68 | 0.95 | 0.79 |
Медведюк | 0.93 | 0.85 | 0.73 | 0.90 | 0.90 | 0.93 | 0.82 |
Славинский | 0.95 | 0.88 | 0.74 | 0.93 | 0.70 | 0.93 | 0.92 |
Гаральский | 0.94 | 0.95 | 0.76 | 0.96 | 0.79 | 0.94 | 0.83 |
Примечание. В табл. 1–4 используются следующие обозначения параметров форм: 1 – общая пропорциональность всего сосуда, 2 – угол наклона щеки-шеи, 3 – пропорциональность щеки-шеи, 4 – угол наклона плеча-предплечья, 5 – пропорциональность плеча-предплечья, 6 – угол наклона тулова, 7 – пропорциональность тулова. Цветом выделены максимальные значения в серии.
Все остальные параметры форм – угол наклона Щ-Ш, а также пропорциональность Щ-Ш, П-ПП и Т – показали более низкие значения КС (рис. 2, А: параметры 2, 3, 5, 7). У угла наклона Щ-Ш в большинстве серий этот показатель составляет от 0.82 до 0.89, а у пропорциональности функциональных частей – от 0.50 до примерно 0.88.
Таблица 2. Величина случайных колебаний параметров форм сосудов в экспериментальных сериях. Непрофессионалы, лепные сосуды, эксперимент 2019 г.
Table 2. The random fluctuation range for the parameters of vessel shapes in experimental series. Non-professionals, hand-made vessels, 2019
Мастера / Параметры форм сосудов | 1 | 2 | 3 | 4 | 5 | 6 | 7 |
Мастер 1. 1-я серия | 0.72 | 0.77 | 0.49 | 0.98 | 0.70 | 0.86 | 0.74 |
Мастер 1. 2-я серия | 0.80 | 0.89 | 0.71 | 0.91 | 0.67 | 0.89 | 0.74 |
Мастер 2. 1-я серия | 0.86 | 0.94 | 0.89 | 0.92 | 0.80 | 0.94 | 0.90 |
Мастер 2. 2-я серия | 0.85 | 0.95 | 0.86 | 0.92 | 0.71 | 0.90 | 0.82 |
Мастер 3. 1-я серия | 0.84 | 0.90 | 0.88 | 0.95 | 0.81 | 0.90 | 0.81 |
Мастер 3. 1-я серия | 0.84 | 0.96 | 0.80 | 0.97 | 0.87 | 0.87 | 0.79 |
Мастер 4. 1-я серия | 0.83 | 0.92 | 0.50 | 0.94 | 0.65 | 0.92 | 0.74 |
Мастер 4. 2-я серия | 0.83 | 0.95 | 0.88 | 0.97 | 0.68 | 0.89 | 0.69 |
Мастер 5. 1-я серия | 0.89 | 0.87 | 0.61 | 0.88 | 0.60 | 0.82 | 0.68 |
Мастер 5. 2-я серия | 0.84 | 0.76 | 0.60 | 0.97 | 0.93 | 0.90 | 0.91 |
Мастер 6. 1-я серия | 0.80 | 0.94 | 0.70 | 0.95 | 0.60 | 0.95 | 0.75 |
Мастер 6. 2-я серия | 0.90 | 0.90 | 0.84 | 0.97 | 0.74 | 0.96 | 0.86 |
Мастер 7. 1-я серия | 0.83 | 0.96 | 0.62 | 0.94 | 0.70 | 0.85 | 0.78 |
Мастер 7. 2-я серия | 0.82 | 0.90 | 0.56 | 0.93 | 0.76 | 0.89 | 0.59 |
Таким образом, результаты изучения серий профессиональных гончаров свидетельствуют о том, что рассмотренные параметры форм сосудов делятся на две условные группы: устойчивые, к числу которых относятся угол наклона П-ПП, угол наклона Т и ОПП, и неустойчивые – это пропорциональность Щ-Ш, П-ПП и Т. Эти две группы хорошо различимы не только по диапазонам КС, рассмотренным выше, но и по медианным значениям (рис. 2, А), которые дают самое общее представление о “средней” устойчивости разных параметров форм: у угла наклона П-ПП, угла наклона Т и ОПП это значение составляет 0.92–0.93, у неустойчивых параметров – 0.72–0.80. Угол наклона Щ-Ш занимает в этой последовательности промежуточное положение. Большинство значений КС находятся в интервале 0.80–0.90, медиана – 0.86, т.е. его устойчивость ниже, чем у углов наклона П-ПП, Т и ОПП, и выше, чем у пропорциональности функциональных частей.
Группа 2. Серии лепных сосудов, изготовленные непрофессиональными мастерами (табл. 2–4). На сводной диаграмме (рис. 2, Б) представлены результаты анализа устойчивости рассмотренных параметров форм по данным изучения 30 серий сосудов. В этой группе материала их различия оказались не такими резкими, как у профессиональных гончаров.
Рис. 2. Результаты изучения устойчивости параметров форм сосудов: А – группа 1, гончарный круг; Б – группа 2, скульптурная лепка. Условные обозначения: а – диапазон характерных значений, б – диапазон характерных значений у наиболее устойчивых параметров, в – медианное значение.
Номера параметров (ось абсцисс): 1 – общая пропорциональность всего сосуда, 2 – угол наклона щеки-шеи, 3 – пропорциональность щеки-шеи, 4 – угол наклона плеча-предплечья, 5 – пропорциональность плеча-предплечья, 6 – угол наклона тулова, 7 – пропорциональность тулова.
Fig. 2. Results of studying the stability of vessel shape parameters: A – group 1, wheel-made vessels; Б – group 2, hand-made vessels. Symbols: а – range of characteristic values, б – range of characteristic values for the most stable parameters, в – median value.
Parameter numbers (abscissa axis): 1 – general proportion of the vessel shape, 2 – inclination angle of cheek-neck, 3 – proportion of cheek-neck, 4 – inclination angle of shoulder-brachium, 5 – proportion of shoulder-brachium, 6 – inclination angle of the body, 7 – proportion of the body
Самые высокие значения КС отмечены у угла наклона П-ПП (рис. 2, Б: параметр 4) – в 96.7% рассмотренных серий они находятся от 0.90 до 0.99. Медианное значение КС у этого параметра составляет 0.95. На втором и третьем месте по степени устойчивости расположены угол наклона Т и угол наклона Щ-Ш (рис. 2, Б: параметры 6, 2). У этих параметров наибольшая плотность значений КС в изученных сериях приходится на диапазон 0.80–0.96 – в него попадает 90% и 77.3% наблюдений соответственно, а медианные значения в указанных параметрах идентичны – 0.90. У ОПП сосуда диапазон и медианное значение КС почти такие же, как у перечисленных выше параметров (рис. 2, Б: параметр 1).
Таблица 3. Величина случайных колебаний параметров форм сосудов в экспериментальных сериях. Непрофессионалы, лепные сосуды, эксперимент 2020 г.
Table 3. The random fluctuation range for the parameters of vessel shapes in experimental series. Non-professionals, hand-made vessels, 2020
Мастера / Параметры форм сосудов | 1 | 2 | 3 | 4 | 5 | 6 | 7 |
Мастер 1. 1-я серия | 0.88 | 0.77 | 0.78 | 0.96 | 0.73 | 0.75 | 0.71 |
Мастер 1. 2-я серия | 0.88 | 0.82 | 0.68 | 0.94 | 0.87 | 0.90 | 0.82 |
Мастер 1. 3-я серия | 0.92 | 0.95 | 0.88 | 0.98 | 0.79 | 0.92 | 0.90 |
Мастер 1. 4-я серия | 0.81 | 0.87 | 0.76 | 0.95 | 0.87 | 0.98 | 0.88 |
Мастер 2. 1-я серия | 0.90 | 0.72 | 0.66 | 0.94 | 0.77 | 0.93 | 0.85 |
Мастер 2. 2-я серия | 0.90 | 0.70 | 0.66 | 0.95 | 0.51 | 0.82 | 0.74 |
Мастер 2. 3-я серия | 0.87 | 0.92 | 0.80 | 0.94 | 0.87 | 0.93 | 0.66 |
Мастер 2. 4-я серия | 0.70 | 0.80 | 0.55 | 0.93 | 0.77 | 0.93 | 0.87 |
Наиболее неустойчивыми, как и в предыдущей группе материала, оказались пропорциональность Щ-Ш, П-ПП и Т. В большинстве изученных серий сосудов КС по этим параметрам находится в диапазоне от 0.50 до 0.90 (рис. 2, Б: параметры 3, 5, 7). Медианные значения у них близки – в диапазоне 0.70–0.75, и они уступают медианным значениям по углу наклона Щ-Ш, П-ПП, Т и ОПП всего сосуда.
Таким образом, в сериях сосудов, сделанных непрофессиональными мастерами, самым устойчивым параметром является угол наклона П-ПП, второе место “делят” угол наклона Т и угол наклона Щ-Ш. Менее устойчивыми оказались ОПП всего сосуда и пропорциональность всех функциональных частей.
Таблица 4. Величина случайных колебаний параметров форм сосудов в экспериментальных сериях. Непрофессионалы, лепные сосуды, эксперимент 2022 г.
Table 4. The random fluctuation range for the parameters of vessel shapes in experimental series. Non-professionals, hand-made vessels, 2022
Мастера / Параметры форм сосудов | 1 | 4 | 5 | 6 | 7 |
Мастер 1. 1-я серия | 0.80 | 0.93 | 0.73 | 0.95 | 0.74 |
Мастер 1. 2-я серия | 0.76 | 0.97 | 0.77 | 0.93 | 0.86 |
Мастер 2. 1-я серия | 0.91 | 0.91 | 0.68 | 0.88 | 0.74 |
Мастер 2. 2-я серия | 0.80 | 0.92 | 0.80 | 0.85 | 0.73 |
Мастер 3. 1-я серия | 0.81 | 0.93 | 0.79 | 0.87 | 0.71 |
Мастер 3. 2-я серия | 0.78 | 0.99 | 0.71 | 0.95 | 0.77 |
Мастер 4. 1-я серия | 0.80 | 0.90 | 0.73 | 0.81 | 0.66 |
Мастер 4. 2-я серия | 0.87 | 0.86 | 0.70 | 0.90 | 0.74 |
Несмотря на различия изученных групп материала по уровню квалификации гончаров и способам изготовления сосудов (гончарный круг или скульптурная лепка), зафиксированы некоторые общие тенденции, касающиеся устойчивости разных параметров форм сосудов.
Первая – наибольшим колебаниям подвержены пропорциональность Щ-Ш, пропорциональность П-ПП и пропорциональность Т. В обеих изученных группах эти параметры занимают три последних места по степени устойчивости. Вторая и самая важная для задач этого исследования тенденция заключается в том, что наименьшим колебаниям подвержены угол наклона П-ПП и угол наклона Т. В обеих группах эти параметры занимают первые два места по степени устойчивости. В сериях сосудов, сделанных профессиональными мастерами на гончарном круге, в зону наибольшей устойчивости, т.е. со значениями КС ≥ 0.9, попадает суммарно 85% наблюдений по углу наклона П-ПП и углу наклона Т (табл. 5, А). В сериях лепных сосудов этот показатель составляет 76,7%. Принципиально другую картину показывают пропорциональность Щ-Ш, пропорциональность П-ПП и пропорциональность Т (табл. 5, Б). В сериях круговых сосудов в зону КС ≥ 0.9 попадает всего лишь 3.3% наблюдений, а в сериях лепных этот показатель составляет 7.3%.
Таблица 5. Обобщение результатов сравнения устойчивости разных параметров форм сосудов
Table 5. Generalization of the results in comparing the stability of different vessel shape parameters
Ранг устойчивости | Параметры / Зоны КС и группы материала | КС ≥ 0.9 | КС < 0.9 | ||
Группа 1 | Группа 2 | Группа 1 | Группа 2 | ||
А | Устойчивые (угол наклона плеча-предплечья, угол наклона тулова) | 85 % | 76,7 % | 15 % | 23,3 % |
Б | Неустойчивые (пропорциональность щеки-шеи, пропорциональность плеча-предплечья, пропорциональность тулова) | 3,3 % | 7,3% | 96,7 % | 92,7 % |
В | Общая пропорциональность сосуда | 70 % | 13,3 % | 30 % | 86,7 % |
Угол наклона щеки-шеи | 10 % | 55,5 % | 90 % | 45,5 % | |
ОПП всего сосуда сложно однозначно отнести к устойчивым либо неустойчивым параметрам форм, поскольку данные по круговой и лепной посуде различаются (табл. 5, В). В сериях сосудов, сделанных на гончарном круге, большинство наблюдений относятся к зоне КС ≥ 0.9 – 70%, однако в сериях лепных сосудов этот показатель составляет всего лишь 13,3%. То же самое можно сказать об устойчивости угла наклона Щ-Ш (табл. 5, В). В первой группе сосудов этот параметр показывает слабую устойчивость – в 90% серий зафиксированы КС менее 0.9, во второй группе этот показатель примерно два раза меньше – 45.5%.
Таким образом, применение разных способов сравнения приводит к выводу о том, что угол наклона П-ПП и угол наклона Т обладают существенно более высокой степенью устойчивости по сравнению со всеми остальными рассмотренными в этом исследовании параметрами форм сосудов. Еще раз подчеркнем, что эта закономерность проявляется как для продукции, сделанной профессиональными мастерами на гончарном круге, так и для лепной посуды, изготовленной мастерами низкой квалификации приемами скульптурной лепки. Устойчивость ОПП всего сосуда и угла наклона Щ-Ш, судя по полученным данным, зависит от того, использовался ли гончарный круг при изготовлении изделия.
Полученные результаты позволяют высказать предположение о том, что именно угол наклона П-ПП и угол наклона Т являются наиболее надежными параметрами для обоснованного выявления по формам сосудов из археологических памятников разных культурных традиций в гончарстве древнего населения.
Примеры использования результатов исследования при работе с археологической керамикой.
Задача этого раздела статьи – обосновать возможность применения закономерностей, выявленных в этой работе, при изучении керамики из археологических памятников. Для решения этой задачи используются материалы разных хронологических периодов с территории Северного Кавказа и Среднего Дона. В представленных ниже примерах рассматривается глиняная посуда, сделанная с помощью сочетания приемов скульптурной лепки и работы на гончарном круге (заглаживание поверхностей).
Пример 1. Территориальные и хронологические особенности традиций создания форм сосудов у населения Северо-Восточного Кавказа в I тыс. н.э. Керамика, которая будет рассмотрена в этом примере, происходит из могильников и поселений, расположенных на территории Дагестана (рис. 3). Данные памятники различаются как по хронологии, так и по месту расположения. Первая группа включает памятники раннего средневековья, связанные с эпохой Хазарского каганата (VII–X вв.): Агачкалинский, Аркасские, Бежтинский, Верхнечирюртовский могильники и Ботлихское поселение (рис. 3, А). Перечисленные объекты расположены в горной зоне, а также на границе предгорной и горной зон Северного Дагестана. Вторая группа включает памятники албано-сарматского времени, которые расположены в Прикаспийском Дагестане – в равнинной зоне и на границе равнинной и предгорной зон: могильник и городище Урцеки, Львовские, Сиртичский, Паласа-сыртский и Шаракунский могильники (рис. 3, Б).
Рис. 3. Памятники албано-сарматского и раннесредневекового времени на территории Дагестана: 1 – Бежта; 2 – Ботлих; 3 – Агачкала; 4 – Аркас; 5 – Верхний Чирюрт; 6 – Львовские; 7 – Урцеки; 8 – Паласа-сырт; 9 – Сиртич; 10 – Шаракунский. А – первая группа; Б – вторая группа.
Fig. 3. The Albanian-Sarmatian and early medieval sites on the territory of Dagestan: 1 – Bezhta; 2 – Botlikh; 3 – Agachkala; 4 – Arkas; 5 – Verkhny Chiryurt; 6 – Lvovskie; 7 – Urtseki; 8 – Palasa-syrt; 9 – Sirtich; 10 – Sharakunsky. А – first group; Б – second group
Территориальные и хронологические различия описанных групп памятников делают их материалы подходящим полигоном для проверки источниковедческих возможностей устойчивых параметров форм сосудов при решении задач различения гончарных традиций, связанных с разными в хронологическом и культурном отношении группами населения.
Для решения этой задачи рассмотрим результаты сравнительного анализа традиций создания форм сосудов, распространенных в указанных группах. Мы остановимся только на одной, но самой массовой категории сосудов из рассмотренных памятников – кувшинах. Исследованный материал представлен 160 изделиями: 100 экз. в первой группе, 60 экз. во второй. Количественные данные, полученные по итогам разметки и измерений сосудов, были переведены в ступени универсальной шкалы качеств, разработанной Ю.Б. Цетлиным (2018. Табл. 2, 3; там же подробнее о шкале). На основании этих данных выполнено вычисление степени сходства традиций двух групп памятников по каждому параметру формы кувшинов. Степень сходства между группами оценивалась от 0 до 100%, вычислялась по методике, предложенной Д.Я. Телегиным (1977) для оценки сходства керамических комплексов.
Рис. 4. Степень сходства форм кувшинов из памятников первой и второй групп (номера параметров на оси абсцисс – как на рис. 2).
Fig. 4. The similarity degree for jug shapes from the sites of the first and second groups (parameter numbers correspond to those in Fig. 2)
Наименьшие показатели сходства между группами памятников Дагестана зафиксированы по ОПП всего сосуда (39.1%), углу наклона П-ПП (49.3%), пропорциональности П-ПП (53.7%) и углу наклона Т (56.3%) кувшинов (рис. 4). По остальным параметрам сходство групп выше – от 61.9 до 70.5%. Как видно из этих данных, три из четырех перечисленных параметров относятся к числу устойчивых для форм посуды, сделанной с помощью гончарного круга (рис. 2, А). Таким образом, результаты вычислений свидетельствуют о том, что именно устойчивые параметры позволяют наиболее четко различить традиции создания форм кувшинов, представленные в двух рассмотренных группах археологических памятников Дагестана4.
В качестве дополнения к полученным данным можно рассматривать результаты анализа форм кувшинов с помощью многомерной статистики – методом главных компонент (компьютерная программа Statistica). Он позволяет выполнять формальное сравнение нескольких групп объектов более чем по двум признакам. В качестве исходных для такого анализа использованы абсолютные значения ОПП, угла наклона и пропорциональности функциональных частей каждого отдельно взятого сосуда.
Выполнено два варианта сравнения:
Результаты анализа представлены на графике, где каждый символ означает конкретный сосуд, а сами группы памятников имеют разные условные обозначения (рис. 5, А, Б).
Рис. 5. Результаты сравнения форм кувшинов первой и второй групп методом главных компонент: 1 – анализ по неустойчивым параметрам; 2 – анализ по углу наклона тулова, углу наклона плеча-предплечья, общей пропорциональности сосуда. а – сосуды из памятников первой группы; б – сосуды из памятников второй группы.
Fig. 5. Results of comparing jugs shapes of the first and second groups using the principal component method: 1 – analysis based on unstable parameters; 2 – analysis based on the body inclination angle, the inclination angle of shoulder-brachium, and the general proportion of the vessel shape. а – vessels from sites of the first group; б – vessels from sites of the second group
Судя по результатам сравнения по неустойчивым параметрам, формы кувшинов первой и второй групп оказались неразличимы (рис. 5, 1). На графике невозможно выделить “участки” наибольшей плотности сосудов, характерные для каждой группы. Анализ по устойчивым параметрам привел к другому результату. Кувшины из памятников разных групп различимы: сосуды из первой группы находится преимущественно в левой части графика, сосуды из второй группы – преимущественно в правой его части.
Результаты применения многомерной статистики еще раз демонстрируют, что наиболее существенные отличия традиций создания форм кувшинов между двумя группами памятников, различающихся по хронологии, территории распространения и, вероятно, этнокультурному составу населения, проявляются в устойчивых параметрах форм сосудов.
Пример 2. Происхождение традиций создания форм сосудов у населения салтово-маяцкой культуры. Памятники салтово-маяцкой археологической культуры расположены в бассейне среднего и нижнего течения р. Дон и относятся ко второй половине VIII – началу X в. Одним из оснований для выделения этой культуры послужили расположенные в Среднем Подонье могильники, на которых умерших хоронили в Т-образных катакомбах. В эпоху раннего средневековья на территории Юго-Восточной Европы такая погребальная традиция массово известна только на Северном Кавказе. Благодаря этому обстоятельству было обосновано ее северокавказское происхождение – оно связано с переселением каких-то групп местного населения в Подонье, т.е. в северо-западную часть территории Хазарского каганата. Однако до сих пор остается неясным, из каких конкретно районов Северного
Рис. 6. Параметры форм кувшинов из Дмитриевского могильника: 1 – угол наклона плеча-предплечья; 2 – угол наклона тулова.
Fig. 6. Parameters of the shapes of jugs from the Dmitrievka burial ground: 1 – inclination angle of shoulder-brachium; 2 – inclination angle of the body
Кавказа эти группы населения мигрировали в бассейн Дона. Выяснить это сложно, в том числе и потому, что катакомбные могильники распространены в I тыс. н.э. на обширной территории Предкавказья – от окрестностей Краснодара до побережья Каспийского моря.
В этом примере будет рассмотрен один из возможных подходов к решению данной проблемы по материалам Дмитриевского могильника (Плетнева, 1989) на примере кувшинов – самой массовой функциональной категории посуды из этого памятника. Он основан на учете устойчивых параметров форм сосудов.
Этап 1. Определение наиболее характерных для кувшинов Дмитриевского могильника углов наклона П-ПП и Т (рис. 6). В соответствии с универсальной шкалой качеств (Цетлин, 2018. Табл. 2, 3), это ступени 24–26 для П-ПП (зафиксированы в 94% изученных сосудов) и ступени 9–12 для Т (зафиксированы в 77.4% изученных сосудов).
Опираясь на эту информацию, мы можем выделить доминантные и рецессивные традиции создания форм кувшинов Дмитриевского могильника на уровне рассматриваемых параметров. К доминантным относятся сосуды, которые соответствуют характерным для этого памятника ступеням и по углу наклона П-ПП, и по углу наклона Т. К рецессивным традициям мы относим сосуды, которые либо не соответствуют массовым для Дмитриевки ступеням, либо соответствуют им только по одному из двух параметров.
Рис. 7. Анализ угла наклона тулова и угла наклона плеча-предплечья кувшинов Дмитриевского могильника: 1 – соотношение доминантных и рецессивных традиций; 2 – сравнение доминантных традиций Дмитриевского могильника и кувшинов Прикаспийского Дагестана; 3 – сравнение рецессивных традиций Дмитриевского могильника и кувшинов Кисловодской котловины. Условные обозначения: а – доминантные традиции Дмитриевского могильника; б – рецессивные традиции Дмитриевского могильника; в – кувшины Прикаспийского Дагестана; г – кувшины Кисловодской котловины.
Fig. 7. Analysis of the body inclination angle and the inclination angle of shoulder-brachium of the jugs from the Dmitrievka burial ground: 1 – the ratio of dominant and recessive traditions; 2 – comparison of the dominant traditions of the Dmitrievka burial ground and jugs of Caspian Dagestan; 3 – comparison of the recessive traditions of the Dmitrievka burial ground and jugs of the Kislovodsk Depression. Symbols: а – dominant traditions of the Dmitrievka burial ground; б – recessive traditions of the Dmitrievka burial ground; в – jugs of Caspian Dagestan; г – jugs of the Kislovodsk Depression
Этап 2 заключается в изучении соотношения доминантных и рецессивных традиций создания форм кувшинов. Для решения этой задачи можно использовать диаграмму рассеяния (рис. 7, 1), в которой по одной оси даны значения угла наклона П-ПП, по другой – угла наклона Т.
Такая диаграмма свидетельствует, что большинство сосудов рецессивной традиции формируют монолитную группу, расположенную в правой верхней части поля (рис. 7, 1: б). Это позволяет высказать предположение о том, что доминантные и рецессивные традиции имеют разные источники происхождения.
Этап 3. Данное предположение проверяется путем сравнения доминантных и рецессивных традиций Дмитриевского могильника с традициями, бытовавшими в разных районах Северного Кавказа накануне формирования салтово-маяцкой культуры. Нужно оговорить, что сейчас это сравнение не может быть исчерпывающим, поскольку в нашем распоряжении есть данные далеко не по всем районам Северного Кавказа. Наиболее полная информация имеется по Кисловодской котловине – могильник Мокрая Балка, и Прикаспийскому Дагестану.
Диаграмма рассеяния, сделанная по сосудам Дмитриевского могильника, дополнена данными об устойчивых параметрах форм кувшинов из памятников Прикаспийского Дагестана (рис. 7, 2: в). Дополненная диаграмма демонстрирует, что: а) доминантные традиции Дмитриевки почти полностью соответствует параметрам кувшинов из Прикаспийского Дагестана; б) рецессивные традиции Дмитриевки не соответствует параметрам кувшинов из Прикаспийского Дагестана.
Теперь посмотрим на соотношение всех рассмотренных групп материала с кувшинами Кисловодской котловины (рис. 7, 3: б). Зона их наиболее плотного расположения на диаграмме находится в верхней правой части поля. Нужно отметить, что параметры кувшинов из Кисловодской котловины не показывают полного совпадения ни с доминантными, ни с рецессивными традициями Дмитриевки, а располагаются как бы между ними. Однако рецессивная группа кувшинов Дмитриевского могильника и по углу наклона Т, и по углу наклона П-ПП, гораздо ближе сосудам из Кисловодской котловины, чем к материалам Прикаспийского Дагестана.
Таким образом, на этом этапе мы, во-первых, подтверждаем предположение о связи двух рассмотренных групп кувшинов с разными культурными традициями, во-вторых, можем наметить предположительные районы происхождения данных традиций – Прикаспийский Дагестан для доминантных и Кисловодская котловина для рецессивных.
Этап 4. Проверка независимыми данными. Важными для этого сюжета являются сведения о погребальном обряде аланских грунтовых катакомбных могильников Северного Кавказа. Д.С. Коробовым выявлена особенность обряда, имеющая ярко выраженную территориальную специфику – это ориентировка покойных головой влево или вправо от входа в камеру (Коробов, 1999. С. 121). В Дмитриевском могильнике доминирует традиция класть покойных головой влево. На Северном Кавказе эта традиция преобладает в определенных районах: Кисловодская котловина, Восточная Чечня и Северный Дагестан5 (рис. 8, 1). Два из этих трех районов определены нами как вероятные места происхождения традиций создания форм кувшинов из Дмитриевского могильника.
Рис. 8. Катакомбные могильники I тыс. н.э. на территории Северного Кавказа (по Коробов, 1999. Рис. 1) (1 – районы, в которых преобладает расположение покойных головой влево от входа в камеру; 2 – районы, в которых преобладают катакомбы с низкими погребальными камерами; 3 – вероятный район происхождения доминантных традиций создания форм кувшинов Дмитриевского могильника; 4 – вероятный район происхождения рецессивных традиций создания форм кувшинов Дмитриевского могильника.
Fig. 8. Catacomb burial grounds of the 1st millennium AD on the territory of the North Caucasus (after D.S. Korobov, 1999. Fig. 1): 1 – areas dominated by the position of the deceased laid with their head to the left of the chamber entrance; 2 – areas dominated by catacombs with low burial chambers; 3 – probable area of origin of the dominant traditions of jug shapes from the Dmitrievka burial ground; 4 – probable area of origin of the recessive traditions of jug shapes from the Dmitrievka burial ground
Интересными представляются наблюдения и о высоте погребальных камер. По моим подсчетам около 70% усыпальниц Дмитриевского могильника обладают высотой до 1 м. В могильниках Северного Кавказа наиболее низкие камеры, сопоставимые с дмитриевскими, характерны для Восточной Осетии – Ингушетии, Северного и Приморского Дагестана (Коробов, 1999. Табл. 1. 17) (рис. 8, 2). Указанные районы Дагестана определены здесь как вероятные места происхождений доминантных традиций создания форм кувшинов Дмитриевского могильника.
Таким образом, анализ устойчивых параметров форм кувшинов Дмитриевского могильника позволил выявить доминантные и рецессивные традиции их создания. Сравнение дмитриевского материала и посуды из разных районов Северного Кавказа позволило установить вероятные места происхождения этих традиций – Прикаспийский Дагестан для доминантных, и Кисловодская котловина для рецессивных. Территориальные особенности погребального обряда северокавказских алан не противоречат предложенным выводам.
Целью этого исследования был поиск надежных оснований для более доказательного выявления по формам глиняных сосудов гончарных традиций, различия между которыми связаны с культурными или этнокультурными особенностями разных групп древнего населения. Для этого было проведен анализ относительной устойчивости разных параметров форм глиняных сосудов, основанный на изучении обширного экспериментального материала. Его результаты позволили выявить два параметра, которые имеют наибольшую степень устойчивости в сериях сосудов, сделанных разными способами и мастерами разного уровня квалификации. Таковыми являются углы наклона боковой линии костяка двух функциональных частей сосудов – плеча-предплечья и тулова.
Рассмотренные в этой статье примеры применения выявленных закономерностей при работе с археологической керамикой, как нам кажется, подтверждают принципиальную возможность рассматривать устойчивые параметры форм сосудов в качестве надежных оснований для изучения степени однородности состава древнего населения по данным археологической керамики.
Выявленные в этой статье закономерности представляются достаточно универсальными. Во-первых, они подходят для изучения глиняной посуды, связанной с разными экономическими формами гончарных производств. Пока что речь идет о керамике, относящейся к двум известным в истории гончарства направлениям формообразования – это скульптурная лепка на плоскости и вытягивание на гончарном круге. Во-вторых, сами параметры, о которых идет речь, можно изучать практически по любым коллекциям целых и археологических целых сосудов независимо от их культурно-хронологической принадлежности.
Статья подготовлена в рамках темы НИР ИА РАН “Междисциплинарный подход в изучении становления и развития древних и средневековых антропогенных экосистем” (№ НИОКТР 122011200264-9).
1 Т.е. сосудов, воспринимаемых как одинаковые их изготовителями.
2 Изображения некоторых сосудов, сделанных в ходе этих экспериментов, опубликованы (Суханов, 2021. Рис. 3; 2023. Рис. 1–3).
3 Пользуясь случаем, хочу поблагодарить сотрудников Самарской экспедиции, принявших участие в организации и проведении этих экспериментов. Особые слова благодарности П.Р. Холошину. В наших совместных обсуждениях были намечены многие идеи, которые реализованы, в том числе, в этой статье.
4 Материалы из рассматриваемых памятников Дагестана были собраны и проанализированы в рамках выполнения гранта Российского научного фонда № 22-78-00025 “Гончарство населения Северного Кавказа в эпоху раннего средневековья”.
5 Названия районов Дагестана приводятся в этом разделе статьи по Д.С. Коробову (1999).
Об авторах
Е. В. Суханов
Институт археологии РАН
Автор, ответственный за переписку.
Email: sukhanov_ev@mail.ru
Россия, Москва
Список литературы
- Бобринский А.А. Гончарство Восточной Европы. Источники и методы изучения. М.: Наука, 1978. 272 с.
- Волкова Е.В. Об относительной устойчивости орнаментальных традиций в гончарстве (по материалам эпохи бронзы) // Краткие сообщения Института археологии. 2018. Вып. 251. С. 96–109.
- Гавритухин И.О. Хронология пражской культуры // Труды VI Международного конгресса славянской археологии. Т. 3 / Отв. ред. В.В. Седов. М.: ИА РАН, 1997. С. 39–52.
- Коробов Д.С. Социальная организация алан Северного Кавказа IV–IX вв.: дис. … канд. ист. наук. М., 1999. 459 с.
- Монгайт А.Л. Археология Западной Европы. Каменный век. М.: Наука, 1973. 355 с.
- Плетнева С.А. На славяно-хазарском пограничье (Дмитриевский археологический комплекс). М.: Наука, 1989. 286 с.
- Русанова И.П. Славянские древности VI–VII вв. (культура пражского типа). М.: Наука, 1976. 216 с.
- Сазанов А.В. Поселение Ильич I: методика анализа массового материала и проблемы хронологии комплексов II–IV вв. н.э. // Проблемы истории, филологии, культуры. 2023. № 1. С. 33–84.
- Суханов Е.В. Об устойчивости функциональных частей глиняных сосудов (экспериментальное исследование) // Вестник “История керамики”. 2021. Вып. 3. С. 116–143.
- Суханов Е.В. Об устойчивости параметров функциональных частей глиняных сосудов // Вестник “История керамики”. 2023. Вып. 5. С. 8–28.
- Телегин Д.Я. Опыт статистического определения индекса родственности неолитических комплексов по элементам орнамента // Проблемы археологии Евразии и Северной Америки / Отв. ред. Н.Д. Членова. М.: Наука, 1977. С. 59–64.
- Халиков А.Х. Волго-Камье в начале эпохи раннего железа (VIII–VI вв. до н.э.). М.: Наука, 1977. 262 с.
- Цетлин Ю.Б. О величине случайных колебаний некоторых параметров форм глиняных сосудов // Краткие сообщения Института археологии. 2016. Вып. 245, ч. II. C. 265–274.
- Цетлин Ю.Б. Керамика. Понятия и термины историко-культурного подхода. М.: ИА РАН, 2017. 346 с.
- Цетлин Ю.Б. Об общем подходе и методике системного изучения форм глиняных сосудов // Формы глиняных сосудов как объект изучения. Историко-культурный подход / Отв. ред. Ю.Б. Цетлин. М.: ИА РАН, 2018. С. 124–179.
Дополнительные файлы










