Determination of the Iron Oxidation State in Cr-Spinels by Electron Microprobe X-ray Emission Spectroscopy of Lα,β Lines
- Autores: Votyakov S.L.1, Zamyatin D.A.1, Danilenko I.A1, Chashchukhin I.S.1
 - 
							Afiliações: 
							
- Zavaritsky Institute of Geology and Geochemistry, Ural Branch RAS
 
 - Edição: Volume CLII, Nº 3 (2023)
 - Páginas: 98-112
 - Seção: МЕТОДИКА ИССЛЕДОВАНИЯ МИНЕРАЛОВ, ГОРНЫХ ПОРОД И РУД
 - URL: https://bakhtiniada.ru/0869-6055/article/view/136748
 - DOI: https://doi.org/10.31857/S0869605523030085
 - EDN: https://elibrary.ru/XHDVSS
 - ID: 136748
 
Citar
Texto integral
Resumo
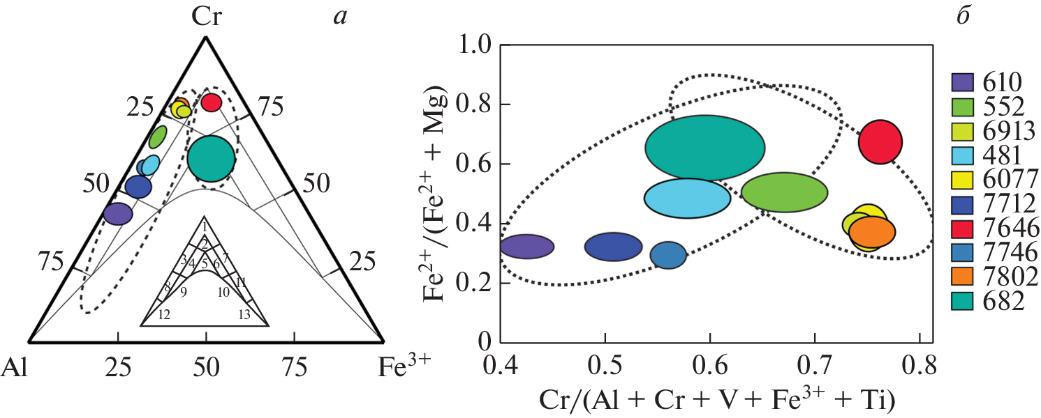
The oxidation state of Fe, Cu, Eu, Ce, etc. in minerals is an important indicator of redox conditions for their formation and evolution. In this work, the features of X-ray emission Fe Lα,β spectra (XES) obtained by Cameca SX100 microprobe, as well as the Mössbauer spectra of Cr-spinels of various compositions from a number of the Urals ultramafic massifs, have been studied. Using microprobe data on the composition and homogeneity of the grains, as well as the Fe3+/\({\text{Fe}}_{{{\text{tot}}}}^{{{\text{M\"o ssb}}}},\) 19 intralaboratory reference samples have been selected from a large number of the Urals Cr-spinels. Based on the analysis of BSE images and maps of the distribution of elements in Cr-spinel grains, the most homogeneous ones were identified. It was shown that, up to the determination error, Fe3+/\({\text{Fe}}_{{{\text{tot}}}}^{{{\text{M\"o ssb}}}}\) coincides with that obtained in the framework for calculation approach based on microprobe data on the composition and assumptions about the mineral stoichiometry. For determination of Fe oxidation state by XES data, it has been proposed to use as a calibration dependence for intralaboratory reference samples the position of the maximum of Fe Lα line on the content of Fe2+; the latter is satisfactorily approximated by a linear function (rxy = 0.96); the relative error of Fe2+ determination is 2%. Approbation of the developed approach was carried out on a series of control samples of Cr-spinels; the obtained values of Fe2+ and Fe3+/Fetot agree satisfactorily with the Mössbauer and calculated data in the stoichiometric approximation.
Palavras-chave
Sobre autores
S. Votyakov
Zavaritsky Institute of Geology and Geochemistry, Ural Branch RAS
							Autor responsável pela correspondência
							Email: votyakov@igg.uran.ru
				                					                																			                												                								Russia, Ekaterinburg						
D. Zamyatin
Zavaritsky Institute of Geology and Geochemistry, Ural Branch RAS
														Email: votyakov@igg.uran.ru
				                					                																			                												                								Russia, Ekaterinburg						
I. Danilenko
Zavaritsky Institute of Geology and Geochemistry, Ural Branch RAS
														Email: votyakov@igg.uran.ru
				                					                																			                												                								Russia, Ekaterinburg						
I. Chashchukhin
Zavaritsky Institute of Geology and Geochemistry, Ural Branch RAS
														Email: votyakov@igg.uran.ru
				                					                																			                												                								Russia, Ekaterinburg						
Bibliografia
- Булах А.Г., Золотарёв А.А., Кривовичев В.Г. Структура, изоморфизм, формулы, классификация минералов. СПб.: Изд-во Санкт-Петербургского государственного университета, 2014. 133 с.
 - Вотяков С.Л., Щапова Ю.В., Хиллер В.В. Кристаллохимия и физика радиационно-термических эффектов в ряде U-Th-содержащих минералов как основа для их химического микрозондового датирования. Екатеринбург: ИГГ УрО РАН, 2011. 336 с.
 - Кривовичев В.Г., Гульбин Ю.Л. Рекомендации по расчету и представлению формул минералов по данным химических анализов // ЗРМО. 2022. Т. 151. № 1. С. 114–124.
 - Куликова И.М., Баринский Р.Л. Электронно-зондовый анализ содержания ионов переходных элементов разной валентности в минералах // ЗВМО. 1998. Т. 127. № 2. С. 115–119.
 - Куликова И.М., Баринский Р.Л., Пеков И.В. Микрозондовый метод исследования типа химической связи атомов меди в минералах. I Бинарные соединения // ЗВМО. 2002. № 1. С. 121–125.
 - Куликова И.М., Баринский Р.Л., Пеков И.В., Блинов В.А. Микрозондовый метод исследования типа химической связи атомов меди в минералах. II. Минералы сложного состава // З-РМО. 2005. Т. 134. № 1. С. 118–123.
 - Легкова Г.В., Войткевич В.Г. Шаркин О.П. Электронно-зондовое определение содержания Fe2+ и Fe3+ в амфиболах // Минерал. журнал. 1982. Т. 4. № 4. С. 90–93.
 - Муханова А.А., Куприянова Т.А., Моргунова А.А. Определение формы нахождения железа в минералах по эмиссионным рентгеновским спектрам // VI Всероссийск. конф. по рентгеноспектральному анализу. Краснодар, 5–10 октября 2008 г. Краснодар, 2008. С. 88.
 - Павлов Н.В. Химический состав хромшпинелидов в связи с петрографическим составом пород ультраосновных интрузивов // Тр. Геол. ин-та АН СССР. 1949. Вып. 103. 91 с.
 - Павлова Л.А. Качество определения методом РСМА при использовании стандартных образцов предприятия базальтовых стекол и медьсодержащих сплавов // Журнал аналитической химии. 2008. Т. 63. № 7. С. 717–725.
 - Таскаев В.И., Стручаева Г.Г., Пятков А.Г. Определение концентрации Fe2+ и Fe3+ в пироксенах методом рентгеноспектрального микроанализа // Методы рентгеноспектрального анализа. Новосибирск: Наука, 1986. С. 154–158.
 - Чащухин И.С., Вотяков С.Л., Щапова Ю.В. Кристаллохимия хромшпинели и окситермобарометрия ультрамафитов складчатых областей. Екатеринбург: ИГГ УрО РАН, 2007. 310 с.
 - Чубаров В.М. Определение Fe2+ в горных породах и Mn4+ в железомарганцевых конкрециях с использованием характеристических рентгеновских спектров. Дис. … уч. степени канд. хим. н. Иркутск, 2012. 142 с.
 
Arquivos suplementares
				
			
						
						
					
						
						
				






