Sources of the Upper Proterozoic Terrigenous Deposits in the Northwestern Part of the Argun Massif, Central Asian Fold Belt: Results of U–Th–Pb Geochronological and Sm–Nd Isotopic-Geochemical Studies
- Authors: Smirnova Y.N.1, Kurilenko A.V.2,3, Dril S.I.4, Khubanov V.B.2
-
Affiliations:
- Institute of Geology and Nature Management of FEB RAS
- Dobretsov Geological Institute of SB RAS
- A.P. Karpinsky Russian Geological Research Institute
- Vinogradov Institute of Geochemistry of SB RAS
- Issue: Vol 32, No 3 (2024)
- Pages: 3-31
- Section: Articles
- URL: https://bakhtiniada.ru/0869-592X/article/view/261810
- DOI: https://doi.org/10.31857/S0869592X24030017
- EDN: https://elibrary.ru/CWRBBH
- ID: 261810
Cite item
Full Text
Abstract
The publication presents the results of geochemical, isotopic-geochemical (Sm–Nd) and isotopic-geochronological (U–Th–Pb) studies of terrigenous rocks of the Middle Riphean (?) Nadarov formation and the Upper Riphean (?) Nortui formation of the northwestern part of the Argun continental massif. Features of the material composition of the deposits indicate the presence of formations of various silicia acidity in the source area. According to Sm–Nd data, sedimentary rocks of the Nadarov and Nortui formations are characterized by negative values åNd(t) = –6.6…–3.5 at Early Proterozoic values of Nd model age (tNd(DM) = 2.0–1.8 Ga). According to U–Th–Pb dating of grains of detrital zircon, it was defined that the lower age limit of accumulation of terrigenous deposits of the Nadarov and Nortui formations falls at the Late Riphean (~775 and ~ 744 Ma, respectively). The main provenances area for them were Late Riphean igneous rocks with the participation of Early Proterozoic rocks, extended in the structure of the Argun massif.
Full Text
ВВЕДЕНИЕ
Аргунский континентальный массив является одним из крупных массивов, расположенных в восточной части Центрально-Азиатского складчатого пояса (рис. 1, врезка). Наиболее древние образования в восточной части массива представлены условно архейскими кислыми и средними магматическими породами бекетского и гонжинского комплексов, а также метаморфизованными осадочными и вулканическими породами гонжинской серии. Геохронологические и изотопно-геохимические исследования позволили уточнить, что протолиты метаосадочных и метавулканических пород гонжинской серии и наложенные на них структурно-метаморфические преобразования имеют мезозойский возраст (Котов и др., 2009, 2013; Сальникова и др., 2012). К наиболее ранним относятся рифейские слабометаморфизованные вулканогенно-осадочные породы чаловской серии и гранитоиды чаловского комплекса (Петрук, Козлов, 2009). В то же время проведенные в последние годы U–Pb геохронологические исследования метавулканитов исагачинской толщи (Сорокин и др., 2014) и U–Pb (LA-ICP-MS) датирование зерен детритового циркона из метаосадочных пород гребневской и магдагачинской толщ (Смирнова, Сорокин, 2019) свидетельствуют об ордовикском возрасте чаловской серии.
Рис. 1. Геологические схемы северо-западной части Аргунского массива. Составлены по (Павлова и др., 2001; Озерский, Винниченко, 2002), с изменениями авторов
1 – кайнозойские рыхлые отложения; 2 – меловые вулканогенные и осадочные комплексы; 3 – юрские терригенные отложения; 4 – триасовые и позднеюрские гранитоиды; 5 – пермские гранитоиды ундинского и кадаинского комплексов; 6 – вендские метагаббро быркинского комплекса; 7 – вендские(?) осадочные породы быркинской серии; 8–10 – верхнерифейские(?) терригенные и терригенно-карбонатные отложения даурской серии: 8 – нортуйской свиты, 9 – дырбылкейской свиты, 10 – урулюнгуйской свиты; 11 – средне-позднерифейские гранитоиды урулюнгуйского комплекса; 12 – среднерифейские(?) осадочные породы надаровской свиты; 13 – раннепротерозойские(?) метаморфические породы; 14 – разломы; 15 – места отбора образцов для геохимических, Sm–Nd изотопно-геохимических и U–Th–Pb изотопно-геохронологических исследований и их номера. На врезке: 16 – положение объекта исследований; 17 – супертеррейны (континентальные массивы): АР – Аргунский, БЦ – Бурея-Цзямусинский, в том числе террейны: Буреинский (БЦ(Б)), Малохинганский (БЦ(М)), Ханкайский (БЦ(Х)); 18 – палеозойские-раннемезозойские складчатые пояса (ЮМ – Южно-Монгольско-Хинганский, МО – Монголо-Охотский, СЛ – Солонкерский, ВД – Вундурмиао); 19 – позднеюрско-раннемеловые орогенные пояса
На государственной геологической карте масштаба 1 : 1 000 000 (Шивохин и др., 2010) в северо-западной части Аргунского массива выделяются ишагинский метаморфический, чонгульский габбровый, урюмканский гранодиорит-гранитовый и урульгинский метаморфический комплексы раннепротерозойского возраста. Однако по данным изотопно-геохимических (Sm–Nd) исследований выявлено, что протолиты гнейсов ишагинского комплекса и гранитогнейсов урюмканского комплекса характеризуются среднерифейским Nd-модельным возрастом (Гордиенко и др., 2019). Возраст габбро Цугольского массива чонгульского комплекса, согласно U–Pb (SIMS) геохронологическим исследованиям, позднеордовикский (448 ± 9 млн лет; Лыхин и др., 2007). По существующим представлениям рифейские магматические образования рассматриваются в составе урулюнгуйского гранитового, уртуйского базальт-риолитового и бухотуйского гранитового комплексов (Шивохин и др., 2010). Установлено, что возраст гранитов Уртуйского массива урулюнгуйского комплекса равен 804 ± 7 и 784 ± 7 млн лет (U–Pb геохронологические исследования, ID-TIMS метод; Голубев и др., 2010). Nd-модельный возраст гранитов урулюнгуйского комплекса 1720–1550 млн лет (Голубев и др., 2010). Возраст гранитов бухотуйского комплекса составляет 765 ± 20 млн лет (Rb–Sr изохрона по породе в целом; Шивохин и др., 2010). К рифейскому структурному этажу также отнесены осадочные породы надаровской, урулюнгуйской, дырбылкейской и нортуйской свит (Шивохин и др., 2010). В последние годы нами были выполнены комплексные геологические, геохимические, изотопно-геохимические исследования осадочных пород урулюнгуйской и дырбылкейской свит даурской серии, а также U–Th–Pb и Lu–Hf изотопные исследования зерен детритового циркона, которые позволили реконструировать обстановки их накопления и выявить основные источники сноса кластического материала (Смирнова и др., 2022). В то же время осадочные породы среднерифейской(?) надаровской свиты и верхнерифейской(?) нортуйской свиты оставались не изученными. Однако они несут в себе важную информацию о докембрийской истории формирования Аргунского массива. Главной целью настоящей работы является выявление основных источников сноса кластического материала для терригенных пород этого массива на основе результатов геохимических, изотопно-геохимических (Sm–Nd) и изотопно-геохронологических (U–Th–Pb, LA-ICP-MS) исследований, а также уточнение нижней возрастной границы накопления осадочных толщ надаровской и нортуйской свит с помощью U–Th–Pb датирования циркона.
КРАТКАЯ ХАРАКТЕРИСТИКА ОБЪЕКТОВ ИССЛЕДОВАНИЙ
Среди рифейских отложений в пределах северо-западной части Аргунского массива выделяются надаровская, урулюнгуйская, дырбылкейская и нортуйская свиты (рис. 2).
Рис. 2. Сводная стратиграфическая колонка средне-верхнерифейских(?) осадочных пород северо-западной части Аргунского континентального массива. Составлена по (Павлова и др., 2001; Озерский, Винниченко, 2002)
1 – известняки; 2 – доломиты; 3 – алевролиты, алевропесчаники; 4 – песчаники; 5 – гравелиты; 6 – конгломераты; 7 – сланцы; 8 – туфы кислого и основного состава; 9 – места отбора образцов для U–Th–Pb датирования зерен детритового циркона и их номера
Надаровская свита мощностью 1200–1900 м сложена чередованием филлитизированных алевролитов, алевропелитов и кварцевых песчаников. В составе свиты установлены горизонты мраморизованных известняков и доломитов. Возраст свиты принят условно среднерифейским (Шивохин и др., 2010).
С угловым несогласием на породах надаровской свиты залегают отложения условно верхнерифейской урулюнгуйской свиты, которая сложена осадочными и вулканогенно-осадочными породами. В нижней части свиты наблюдаются дресвяники, осадочные брекчии, конгломератобрекчии, туфы кислого и основного состава, сменяющиеся вверх по разрезу конгломератами, гравелитами, кварцевыми и аркозовыми песчаниками. В ряде выходов урулюнгуйской свиты выявлены более тонкообломочные породы (алевролиты, алевропесчаники) с горизонтами доломитов, известняков и мергелей. Мощность свиты до 2670 м. Возраст принят условно позднерифейским на основании налегания урулюнгуйской свиты на гранитоиды позднерифейского урулюнгуйского комплекса (Шивохин и др., 2010). Наиболее молодая группа зерен циркона из песчаника урулюнгуйской свиты имеет позднерифейский возраст с пиком на кривой относительной вероятности возрастов ~899 млн лет (Смирнова и др., 2022).
На породах урулюнгуйской свиты согласно залегают карбонатные и терригенно-карбонатные отложения дырбылкейской свиты, среди которых преобладают доломиты и известняки с пачками мощностью до 400–450 м гравелитов, песчаников, филлитизированных алевролитов и алевропелитов (Шивохин и др., 2010). Общая мощность свиты достигает 3000 м. В свите обнаружены единичные находки водорослевых остатков Girvanella (?), Panomnienella, Shanganella, строматолитов Conophyton metula Kir. и микрофитолитов Osagia grandis Z. Zhur., Vesicularites consuetus Yak., Volvatella vadosa Z. Zhur., V. horridus Z. Zhur., Ambigolamellatus horridus Z. Zhur. (Шивохин и др., 2010). Возраст дырбылкейской свиты принят условно позднерифейским. Наиболее молодая группа циркона из песчаника дырбылкейской свиты имеет позднерифейский возраст ~771 млн лет (Смирнова и др., 2022).
Нортуйская свита сложена в нижней части разреза кварцевыми и аркозовыми песчаниками, переслаивающимися с алевролитами, выше сменяющимися толщей известняков и известковистых доломитов (Шивохин и др., 2010). В основании свиты установлены седиментационные брекчии, дресвяники, песчаники и алевропелиты. Общая мощность свиты до 2000 м. Среди органических остатков в свите выявлены единичные находки водорослей Renalcis? sp., Subtifloria sp. и микрофитолитов Ambigolamellatus horridus Z. Zhur., Volvatella zonalis Nar., Osagia nimia Z. Zhur., O. minuta Z. Zhur., O. tenuilamellata Reitl., Vesicularites flexuosus Reitl. Возраст свиты принят условно позднерифейским. Контакты с нижележащими отложениями дырбылкейской свиты согласные.
Для уточнения позднедокембрийской истории формирования Аргунского континентального массива, в его северо-западной части нами были проведены исследования вещественного состава осадочных пород среднерифейской(?) надаровской свиты и верхнерифейской(?) нортуйской свиты. Образцы пород надаровской свиты отобраны в районе г. Гут-Халтуй (50°07’58.4” с.ш., 117°52’58.8” в.д.) и в бассейне р. Урулюнгуй (50°24’18.2” с.ш., 118°48’32.3” в.д.), а нортуйской свиты – вблизи пос. Талман-Борзя (50°29’35.3” с.ш., 118°46’52.4” в.д.) (рис. 1).
АНАЛИТИЧЕСКИЕ МЕТОДИКИ
Содержания породообразующих компонентов в породах определены рентгенофлуоресцентным методом в Институте геологии и природопользования ДВО РАН (г. Благовещенск) на рентгеновском спектрометре Lab Center XRF-180. На стадии пробоподготовки проводилось взвешивание навески пробы на аналитических весах AUW220D фирмы Shimadzu, просушивание навески при температуре 105°C в сушильном шкафу SNOL 58/350 в течение двух часов, определение потерь при прокаливании при температуре 950°C в муфельной печи Nabertherm в течение двух часов. Далее производилось смешивание пробы со смесью тетрабората и метабората лития с последующей гомогенизацией и сплавлением. Концентрации микроэлементов определены методом ICP-MS на квадрупольном ICP масс-спектрометре NexION300D в Центре коллективного пользования (ЦКП) “Изотопно-геохимические исследования” Института геохимии им. А.П. Виноградова СО РАН (ИГХ СО РАН, г. Иркутск). Сплавление образцов (навеска 100 мг) с безводным метаборатом лития (400 мг) проводилось в стеклоуглеродных тиглях марки СУ-2000 при температуре 1150°C (3 мин) в высокочастотной индукционной печи ВЧГ-4, с последующим разложением плавня смесью перегнанных кислот HF и HNO3 и отгонкой SiF4, окончательный фактор разведения основного раствора пробы составил 1000. Двойную и тройную перегонку кислот осуществляли последовательно в системах глубокой очистки кислот: subPUR/duo PUR Milestone microwave laboratory systems, затем в Savillex DST-1000 sub-boiling Distillation System User’s Manual. Кислотность всех готовых к анализу растворов составила 2–3% HNO3. Перед началом измерений проводилась настройка прибора и оптимизация инструментальных параметров с целью получения максимального значения аналитического сигнала и его стабильности при минимальном вкладе в сигнал оксидных и двухзарядных ионов, низком фоновом уровне. Для расчета концентраций применялась градуировка по сертифицированным растворам CLMS-1–4 фирмы SPEX (США) с концентрациями элементов 0.1, 1.0, 5.0 нг/мл с контролем дрейфа сигнала по внутреннему стандарту, в качестве которого выбран 103Rh. Нивелирование матричного эффекта достигалось путем разбавления готовых растворов проб для анализа в 10000 раз. Переведение анализируемого раствора в аэрозоль проводилось с помощью концентрического низкопотокового распылителя Meinhard (0.1 мл/мин). Для оценки правильности результатов анализа применялись хорошо охарактеризованные стандартные образцы горных пород различного состава Геологических служб США, Японии, Китая и России. Относительная погрешность определения содержаний петрогенных и малых элементов составила 3–10%.
Sm–Nd изотопно-геохимические исследования пород проводились в ЦКП “Изотопно-геохимические исследования” ИГХ СО РАН (г. Иркутск). Около 100 мг истертого образца разлагали в смеси кислот HF, HNO3 и HCLO4. Перед разложением к образцу добавляли смешанный изотопный индикатор 149Sm–150Nd. Сумму редкоземельных элементов выделяли с использованием ионообменной смолы BioRad AGW50-X8 (200–400 меш) по традиционным методикам (Richard et al., 1976; Pin et al., 1994; Makishima et al., 2008). Чистые фракции Sm и Nd выделяли из суммы редких земель при помощи ионообменной смолы LN-Spec (100–150 меш) согласно (Yang et al., 2011). Измерения изотопного состава Sm и Nd проводили на 9-коллекторном масс-спектрометре с индуктивно связанной плазмой MC-ICP-MS Neptune Plus в статическом режиме. В течение проведения измерений бланк составил 0.1–0.2 нг для Sm и 0.2–0.5 нг для Nd. Погрешности определения отношений 143Nd/144Nd и 147Sm/144Nd – не более 0.003 и 0.4% соответственно. Полученные данные были нормализованы к отношению 146Nd/144Nd = 0.7219. Результаты измерений международного изотопного стандарта JNdi-1 (n = 40): 143Nd/144Nd = 0.512107 ± 4 при рекомендованном значении 143Nd/144Nd = 0.512115 ± 7 (Tanaka et al., 2000). Для изотопного состава Nd и концентраций Nd и Sm в международных породных стандартах получены следующие значения: 1) BCR-2 (n = 28), 143Nd/144Nd = 0.512630 ± 14; Nd = 28.8 ± 0.1 мкг/г; Sm = 6.52 ± 0.03 мкг/г; 2) AGV-2 (n = 8), 143Nd/144Nd = 0.512769 ± 16; Nd = 30.3 ± 0.1 мкг/г; Sm = 5.42 ± 0.03 мкг/г.
Исследование изотопного состава Nd в международном образце BCR-2, подготовленном к анализу по описанной выше методике, проводилось также с использованием 7-коллекторного термоионизационного масс-спектрометра Finnigan MAT-262 (ЦКП “Геодинамика и геохронология” Института земной коры СО РАН). Измерения изотопного состава неодима выполнялись с использованием двухленточного источника ионов с рениевыми катодами в статическом режиме. Количество наносимого образца составляло в среднем 100–200 нг. Ионный ток 146Nd обычно был равен 0.5–1.0 × 10 (–11) А. Присутствие в спектре неодима следов самария контролировалось по величине отношения 147Sm/144Nd, которое всегда было ниже 0.00005. Правильность результатов определения изотопного состава оценивалась по результатам измерения стандартных образцов JNdi-1 и ВCR-2, которые в процессе проведения аналитических работ составили: 143Nd/144Nd = 0.512107 ± 4 (2SD, n = 35) и 143Nd/144Nd = 0.512629 ± 8 (2SD, n = 18) соответственно. Полученные результаты свидетельствуют о полной сопоставимости Sm–Nd изотопных данных, полученных с использованием как высокоточной масс-спектрометрии с индуктивно связанной плазмой, так и классического термо-ионизационного изотопного анализа. При расчете величин εNd(t) и модельных возрастов tNd(DM) использованы современные значения однородного хондритового резервуара (CHUR) по (Jacobsen, Wasserburg, 1984) и деплетированной мантии (DM) по (Goldstein, Jacobsen, 1988).
Выделение детритового циркона произведено в минералогической лаборатории Института геологии и природопользования ДВО РАН с применением тяжелых жидкостей. Непосредственно U–Th–Pb датирование детритового циркона выполнено в ЦКП “Геоспектр” Геологического института им. Н.Л. Добрецова СО РАН (г. Улан-Удэ) на одноколлекторном магнитно-секторном масс-спектрометре с индуктивно связанной плазмой Element XR (Termo Scientific), оснащенном устройством лазерной абляции UP-213 (New Wave Research). Детальное описание аналитических процедур приведено в публикации (Хубанов и др., 2016). Диаметр лазерного пучка составлял 30 мкм при плотности потока энергии ~4.5 Дж/см2. Масс-спектрометром измеряли сигналы следующих изотопов: в режиме счета “Counting” – 206Pb, 207Pb, 208Pb; в аналоговом режиме – 232Th, 238U. Сигнал 235U рассчитывали из сигнала 238U, основываясь на постоянстве современного значения их отношения (238U/235U = 137.88). Съемку осуществляли в скоростном режиме электростатического сканирования (E-scan). В течение одного измерения проводили 800 сканирований. В качестве внешнего стандарта измеряли эталонные зерна циркона 91500 (1065 млн лет; Wiedenbeck et al., 1995), в качестве контрольного образца – эталоны Plešovice (337 млн лет; Sláma et al., 2008) и GJ-1 (608 млн лет; Jackson et al., 2004).
Обработку первичных сигналов и расчет изотопных отношений проводили с помощью программы Glitter (Griffin et al., 2008), конвертацию в excel-формат и расчет значений концентраций U, Th и U/Th – с помощью программы Gtail (автор М.Д. Буянтуев, ГИН СО РАН), построение графиков, расчет конкордантного возраста циркона и показателя дискордантности – с помощью excel-макроса Isoplot (Ludwig, 2008). Поправка на нерадиогенный свинец не проводилась. Относительные погрешности измерения изотопных отношений в контрольных образцах варьировали в пределах: 1.0–3.7% для 207Pb/235U и 207Pb/206Pb, 0.7–1.3% для 206Pb/238U. При этом значения средневзвешенных конкордантных возрастов цирконов Plešovice и GJ-1, определенных LA-ICP-MS методом (по 12 измерений каждого контрольного эталона), составили 338 ± 2 и 601 ± 3 млн лет соответственно. Для стандартов GJ-1 и Plešovice средневзвешенные значения возраста по отношениям 207Pb/206Pb, 206Pb/238U и 207Pb/235U составляют 630 ± 23, 599 ± 3, 605 ± 4 млн лет и 366 ± 24, 337 ± 2, 340 ± 3 млн лет соответственно. Для анализа выбирались зерна циркона без микротрещин и включений. Для построения кривых относительной вероятности возраста зерен детритового циркона использовали только конкордантные оценки возрастов. Пики кривой относительной вероятности возрастов зерен циркона рассчитывали с помощью программы AgePick (Gehrels, 2007).
МИНЕРАЛОГО-ПЕТРОГРАФИЧЕСКИЕ ОСОБЕННОСТИ ПОРОД
Среди отложений надаровской свиты были изучены песчаники и алевролиты. Песчаники темно-серого цвета, с мелкозернистой псаммитовой структурой и массивной текстурой. Обломочный материал (0.10–0.20 мм) слабоокатанной формы представлен преимущественно кварцем (до 75%) и полевыми шпатами (до 5%). Реже встречаются чешуйки мусковита, серицита и биотита (до 10%). Единичны обломки слюдистых и слюдисто-кварцевых сланцев. Цемент контактовый, слюдисто-кварцевого состава. В песчаниках наблюдается углеродистое вещество (до 10%). Акцессорные минералы представлены цирконом, апатитом, гранатом, гидроксидами железа и магнетитом.
Алевролиты бурого цвета, с грубой бластоалевритовой структурой и массивной текстурой. Обломочный материал характеризуется слабоокатанной формой и представлен кварцем (до 30%), слюдистыми, слюдисто-кремнистыми и углеродисто-слюдистыми сланцами (до 10%) и полевыми шпатами (до 7%). Среди слюд (до 8%) наблюдаются мусковит и биотит (часто эпидотизирован и хлоритизирован). Цемент базальный, слюдисто-кварцевого состава. Акцессорные минералы: циркон, апатит, гранат, магнетит, гидроксиды железа.
В коллекции образцов, отобранных из нортуйской свиты, присутствуют алевролиты песчанистые, темно-серого цвета, с бластоалевропсаммитовой структурой и массивной текстурой. Обломочный материал имеет слабоокатанную форму. В составе алевролитов преобладают кварц (20–25%), полевые шпаты (до 10%), обломки слюдистых и слюдисто-кварцевых сланцев (5–10%). Среди слюд присутствуют мусковит, хлоритизированный и эпидотизированный биотит (10–15%). Единичны обломки вулканических пород кислого состава. Цемент базальный, слюдисто-кварцевого состава. В алевролитах отмечается тонкораспыленное углеродистое вещество (до 10%). Акцессорные минералы представлены цирконом, апатитом, гранатом, магнетитом и гидроксидами железа.
ГЕОХИМИЧЕСКИЕ ОСОБЕННОСТИ ПОРОД
Осадочные породы надаровской свиты характеризуются значительными вариациями содержаний породообразующих компонентов. В песчаниках надаровской свиты установлены более высокие концентрации SiO2 (от 82.59 до 94.54 мас.%) по сравнению с таковыми в алевролитах (от 53.26 до 61.08 мас.%; 1). При этом в алевролитах надаровской свиты отмечаются более высокие содержания Al2O3 (17.22–18.48 мас.%), Fe2O3* (10.77–17.85 мас.%), TiO2 (0.97–1.10 мас.%), чем в песчаниках (Al2O3 = 1.83–10.97 мас.%, Fe2O3* = 0.31 – 1.99 мас.%, TiO2 = 0.23 – 0.90 мас.%) ( 1). Подобные особенности геохимического состава, вероятно, связаны с возрастанием в составе алевролитов надаровской свиты слюдистого материала и полевых шпатов и со снижением количества обломков кварца. Несмотря на эти различия, для осадочных пород надаровской свиты, за исключением одного образца песчаника, характерно преобладание K2O над Na2O (K2O/Na2O = 3.6–8.1).
Таблица 1. Содержания основных петрогенных компонентов и микроэлементов в осадочных породах надаровской и нортуйской свит Аргунского континентального массива
Компоненты | Надаровская свита | |||||||||
Алевролиты | Песчаники | |||||||||
Ю-117 | Ю-117-1 | Ю-117-2 | Ю-117-5 | Ю-117-3 | Ю-117-4 | Ю-120 | Ю-120-1 | Ю-120-2 | Ю-120-4 | |
SiO2 | 57.41 | 53.26 | 59.98 | 61.08 | 83.77 | 82.59 | 92.06 | 93.64 | 91.59 | 94.54 |
TiO2 | 1.01 | 0.97 | 1.09 | 1.10 | 0.82 | 0.90 | 0.43 | 0.42 | 0.53 | 0.23 |
Al2O3 | 17.87 | 17.22 | 18.48 | 18.35 | 9.67 | 10.97 | 4.51 | 3.06 | 5.59 | 1.83 |
Fe2O3* | 13.35 | 17.85 | 10.77 | 10.78 | 1.99 | 1.00 | 0.38 | 0.77 | 0.31 | 1.35 |
MnO | 0.01 | 0.01 | 0.02 | 0.01 | 0.01 | 0.01 | 0.01 | 0.01 | 0.01 | 0.01 |
MgO | 0.20 | 0.22 | 0.24 | 0.23 | 0.17 | 0.16 | 0.15 | 0.09 | 0.16 | 0.07 |
CaO | 0.01 | 0.03 | 0.01 | 0.01 | 0.01 | 0.05 | 0.03 | 0.02 | 0.02 | 0.07 |
Na2O | 0.40 | 0.41 | 0.45 | 0.43 | 0.31 | 0.29 | 0.18 | 0.14 | 0.17 | 0.04 |
K2O | 3.25 | 3.15 | 3.52 | 3.43 | 1.83 | 1.79 | 0.81 | 0.07 | 0.62 | 0.26 |
P2O5 | 0.11 | 0.09 | 0.08 | 0.07 | 0.03 | 0.04 | 0.03 | 0.03 | 0.03 | 0.05 |
П.п.п. | 5.63 | 5.98 | 5.01 | 4.41 | 2.22 | 2.82 | 1.34 | 1.49 | 1.73 | 1.02 |
Сумма | 99.24 | 99.19 | 99.64 | 99.89 | 100.82 | 100.62 | 99.93 | 99.74 | 100.76 | 99.47 |
Rb | 144 | 147 | 171 | 167 | 73 | 62 | 23 | 1 | 18 | 222 |
Sr | 92 | 92 | 106 | 71 | 39 | 39 | 17 | 12 | 13 | 18 |
Ba | 429 | 421 | 485 | 464 | 226 | 217 | 151 | 34 | 95 | 357 |
La | 48.18 | 28.78 | 37.49 | 19.52 | 2.56 | 2.68 | 8.40 | 13.38 | 4.99 | 6.18 |
Ce | 101.42 | 61.27 | 73.68 | 46.37 | 8.14 | 6.83 | 20.35 | 29.64 | 13.65 | 14.29 |
Pr | 18.42 | 8.32 | 11.36 | 6.33 | 1.29 | 1.47 | 2.72 | 3.66 | 1.93 | 2.24 |
Nd | 67.33 | 31.59 | 43.36 | 25.07 | 5.30 | 5.70 | 11.55 | 14.30 | 7.82 | 9.38 |
Sm | 12.44 | 6.98 | 8.73 | 5.46 | 1.34 | 1.26 | 2.54 | 3.07 | 1.64 | 2.10 |
Eu | 2.09 | 1.46 | 1.55 | 1.10 | 0.27 | 0.26 | 0.49 | 0.59 | 0.34 | 0.34 |
Gd | 9.03 | 7.13 | 7.92 | 5.10 | 1.34 | 1.05 | 2.64 | 2.83 | 1.68 | 2.52 |
Tb | 1.26 | 1.16 | 1.24 | 0.87 | 0.26 | 0.20 | 0.42 | 0.44 | 0.27 | 0.51 |
Dy | 7.41 | 7.74 | 7.29 | 5.94 | 1.82 | 1.56 | 2.71 | 2.65 | 1.80 | 4.02 |
Ho | 1.35 | 1.59 | 1.40 | 1.17 | 0.39 | 0.36 | 0.57 | 0.50 | 0.39 | 0.90 |
Er | 3.95 | 4.59 | 4.18 | 3.27 | 1.36 | 1.08 | 1.71 | 1.57 | 1.14 | 2.81 |
Tm | 0.60 | 0.65 | 0.62 | 0.48 | 0.22 | 0.18 | 0.25 | 0.22 | 0.19 | 0.42 |
Yb | 3.85 | 4.45 | 4.17 | 3.62 | 1.54 | 1.22 | 1.64 | 1.56 | 1.28 | 2.74 |
Lu | 0.63 | 0.65 | 0.66 | 0.58 | 0.22 | 0.20 | 0.26 | 0.23 | 0.20 | 0.40 |
Y | 28 | 34 | 31 | 25 | 7 | 5 | 11 | 13 | 6 | 19 |
Th | 15.40 | 14.80 | 17.49 | 16.02 | 5.81 | 5.39 | 5.26 | 6.21 | 4.38 | 5.89 |
U | 3.56 | 3.56 | 3.75 | 3.81 | 2.06 | 2.36 | 2.20 | 1.41 | 1.64 | 5.11 |
Zr | 192 | 474 | 223 | 235 | 399 | 434 | 287 | 305 | 329 | 189 |
Hf | 7.51 | 7.12 | 8.80 | 8.61 | 10.08 | 10.38 | 6.42 | 6.91 | 7.69 | 4.10 |
Nb | 17 | 16 | 19 | 19 | 14 | 16 | 7 | 6 | 9 | 14 |
Ta | 1.34 | 1.26 | 1.45 | 1.44 | 1.04 | 1.21 | 0.53 | 0.48 | 0.66 | 1.02 |
Zn | 218 | 408 | 194 | 104 | 30 | 13 | не опр. | 2 | 2 | 25 |
Co | 10 | 17 | 23 | 7 | 4 | 2 | 1 | 1 | 1 | 3 |
Ni | 28 | 50 | 45 | 25 | 12 | 17 | 26 | 9 | 18 | 21 |
Sc | 25 | 23 | 23 | 19 | 12 | 16 | 7 | 5 | 7 | 5 |
V | 149 | 144 | 143 | 136 | 66 | 71 | 51 | 54 | 61 | 730 |
Cr | 94 | 87 | 108 | 100 | 84 | 88 | 146 | 106 | 111 | 128 |
Pb | 12 | 13 | 11 | 8 | 8 | 7 | 2 | 7 | 2 | 7 |
Примечание. Оксиды приведены в мас. %, микроэлементы – в мкг/г. Fe2O3* – общее железо в форме Fe2O3.
Таблица 1. Окончание
Компоненты | Нортуйская свита | |||||
Алевролиты песчанистые | ||||||
Ю-123 | Ю-123-1 | Ю-123-2 | Ю-123-3 | Ю-123-4 | Ю-123-5 | |
SiO2 | 73.77 | 76.51 | 77.16 | 73.66 | 72.26 | 69.89 |
TiO2 | 0.80 | 0.66 | 0.66 | 0.82 | 0.91 | 0.96 |
Al2O3 | 13.21 | 11.78 | 12.35 | 13.93 | 12.26 | 13.95 |
Fe2O3* | 2.40 | 2.84 | 2.62 | 3.05 | 5.45 | 4.78 |
MnO | 0.01 | 0.01 | 0.01 | 0.01 | 0.01 | 0.01 |
MgO | 0.82 | 0.83 | 0.73 | 0.82 | 0.87 | 1.01 |
CaO | 0.02 | 0.09 | 0.28 | 0.06 | 0.19 | 0.16 |
Na2O | 0.21 | 0.18 | 0.18 | 0.23 | 0.16 | 0.21 |
K2O | 3.79 | 3.13 | 2.71 | 3.85 | 3.21 | 4.10 |
P2O5 | 0.12 | 0.11 | 0.13 | 0.09 | 0.17 | 0.16 |
П.п.п. | 3.82 | 2.95 | 3.29 | 3.44 | 4.08 | 4.05 |
Сумма | 98.97 | 99.09 | 100.12 | 99.96 | 99.57 | 99.28 |
Rb | 163 | 138 | 151 | 166 | 184 | 188 |
Sr | 150 | 11 | 11 | 156 | 14 | 10 |
Ba | 615 | 452 | 284 | 517 | 284 | 701 |
La | 18.60 | 19.53 | 24.05 | 20.89 | 29.14 | 31.43 |
Ce | 44.41 | 48.28 | 56.25 | 51.87 | 64.62 | 69.91 |
Pr | 6.00 | 6.53 | 7.41 | 7.05 | 8.70 | 8.88 |
Nd | 24.70 | 26.74 | 29.06 | 28.65 | 33.71 | 34.62 |
Sm | 5.68 | 5.75 | 6.20 | 6.16 | 7.23 | 7.19 |
Eu | 0.89 | 0.80 | 0.82 | 0.80 | 1.10 | 1.23 |
Gd | 5.92 | 5.08 | 6.11 | 5.96 | 6.82 | 6.96 |
Tb | 1.10 | 0.84 | 0.97 | 0.99 | 1.06 | 1.14 |
Dy | 7.13 | 5.17 | 6.48 | 6.53 | 6.86 | 7.27 |
Ho | 1.49 | 1.06 | 1.33 | 1.31 | 1.34 | 1.44 |
Er | 4.52 | 3.12 | 4.05 | 3.98 | 4.04 | 4.34 |
Tm | 0.70 | 0.47 | 0.61 | 0.59 | 0.60 | 0.61 |
Yb | 4.39 | 3.08 | 3.98 | 3.98 | 4.01 | 4.14 |
Lu | 0.69 | 0.44 | 0.61 | 0.58 | 0.61 | 0.64 |
Y | 34 | 18 | 31 | 27 | 32 | 35 |
Th | 13.83 | 9.50 | 14.53 | 14.72 | 13.88 | 14.04 |
U | 2.80 | 2.29 | 2.32 | 2.61 | 2.64 | 3.04 |
Zr | 259 | 202 | 233 | 246 | 228 | 255 |
Hf | 7.23 | 6.02 | 6.54 | 7.13 | 6.83 | 8.01 |
Nb | 15 | 14 | 14 | 16 | 16 | 17 |
Ta | 1.37 | 1.06 | 1.18 | 1.33 | 1.29 | 1.44 |
Zn | 19 | 24 | 23 | 8 | 37 | 71 |
Co | 10 | 10 | 12 | 5 | 13 | 16 |
Ni | 26 | 26 | 24 | 19 | 35 | 44 |
Sc | 14 | 14 | 12 | 17 | 12 | 20 |
V | 159 | 103 | 89 | 162 | 197 | 137 |
Cr | 92 | 90 | 74 | 94 | 92 | 102 |
Pb | 8 | 7 | 8 | 13 | 24 | 32 |
В песчанистых алевролитах нортуйской свиты отмечаются незначительные вариации основных петрогенных компонентов: SiO2 (69.89–77.16 мас.%), Al2O3 (11.78–13.95 мас.%), Fe2O3* (2.40–5.45 мас.%), TiO2 (0.66–0.96 мас.%), Na2O (0.16–0.23 мас.%), K2O (2.71–4.10 мас.%) (табл. 1). Значения отношения K2O/Na2O в них изменяются от 15.1 до 20.1.
По значениям логарифмических соотношений SiO2/Al2O3 и Na2O/K2O (Петтиджон и др., 1976) алевролиты надаровской и нортуйской свит соответствуют породам аркозового состава (рис. 3а). Песчаники надаровской свиты из-за значительных вариаций соотношения SiO2/Al2O3 сосредоточены в поле аркозов, субаркозов и сублитоидных аренитов (рис. 3а).
Рис. 3. Диаграммы log(SiO2/Al2O3)–log(Na2O/K2O) (Петтиджон и др., 1976) (а), log(SiO2/Al2O3)–log(Fe2O3/K2O) (Herron, 1988) (б) для осадочных пород надаровской и нортуйской свит Аргунского континентального массива
1 – алевролиты надаровской свиты; 2 – песчаники надаровской свиты; 3 – песчанистые алевролиты нортуйской свиты
На классификационной диаграмме log(SiO2/Al2O3)–log(Fe2O3/K2O) (Herron, 1988) точки состава алевролитов надаровской свиты расположены в поле сланцев, а песчаников надаровской свиты – в поле аркозов, субаркозов и Fe-песчаников (рис. 3б). Фигуративные точки состава песчанистых алевролитов нортуйской свиты на диаграмме log(SiO2/Al2O3)–log(Fe2O3/K2O) (Herron, 1988) попадают в поля аркозов и вакк (рис. 3б).
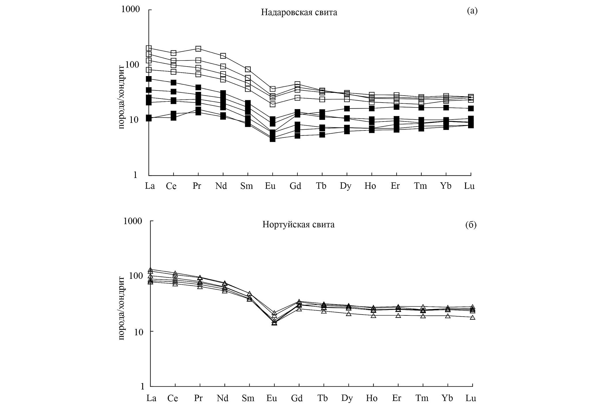
В алевролитах надаровской свиты отмечаются вариации суммарных концентраций редкоземельных элементов (ΣREE = 125 до 278 мкг/г) при слабодифференцированном распределении лантаноидов ([La/Yb]n = 3.7–8.5) и отрицательной европиевой аномалии (Eu/Eu* = 0.56–0.62) (рис. 4а). Для песчаников надаровской свиты характерны более низкие содержания редкоземельных элементов (ΣREE = 24–75 мкг/г) при их слабодифференцированном распределении ([La/Yb]n = 1.1–5.8) и отрицательной европиевой аномалии (Eu/Eu* = 0.45–0.66) (рис. 4а).
Рис. 4. Графики распределения редкоземельных элементов для осадочных пород надаровской (а) и нортуйской (б) свит Аргунского континентального массива. Состав хондрита по (McDonough, Sun, 1995)
В песчанистых алевролитах нортуйской свиты сумма лантаноидов варьирует от 126 до 180 мкг/г при четко проявленной отрицательной европиевой аномалии (Eu/Eu* = 0.40–0.52) и слабодифференцированном распределении редкоземельных элементов ([La/Yb]n = 2.9–5.2) (рис. 4б).
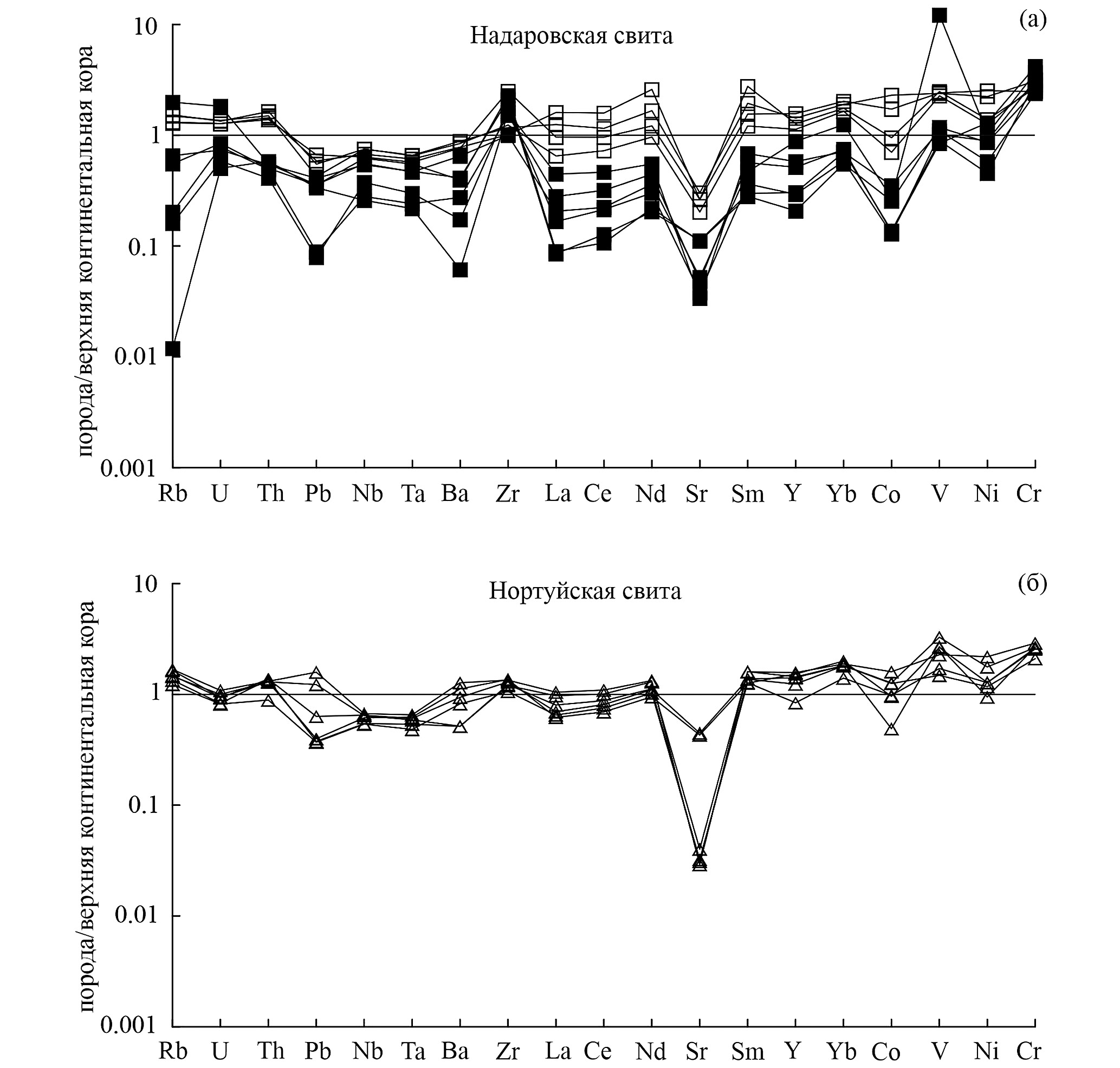
В алевролитах надаровской свиты содержания большинства элементов-примесей находятся на уровне таковых в верхней континентальной коре при незначительном дефиците Pb (8–13 мкг/г), Nb (16–19 мкг/г), Ta (1.26–1.45 мкг/г), Ba (421–485 мкг/г) и Sr (71–106 мкг/г) (рис. 5а). В песчаниках надаровской свиты отмечается дефицит концентраций практически всех микроэлементов, кроме Zr (189–434 мкг/г) (рис. 5а), относительно таковых в верхней континентальной коре. Песчанистые алевролиты нортуйской свиты в сравнении с составом верхней континентальной коры деплетированы в отношении Nb (14–17 мкг/г), Ta (1.06–1.44 мкг/г) и Sr (10–156 мкг/г) (рис. 5б).
Рис. 5. Спайдер-диаграммы для осадочных пород надаровской (а) и нортуйской (б) свит Аргунского континентального массива. Состав верхней континентальной коры по (Тейлор, Мак-Леннан, 1988)
ИЗОТОПНО-ГЕОХИМИЧЕСКИЕ (Sm–Nd) ОСОБЕННОСТИ ПОРОД
Результаты Sm–Nd изотопно-геохимических исследований осадочных пород надаровской и нортуйской свит представлены в табл. 2. Для алевролитов надаровской свиты и песчанистых алевролитов нортуйской свиты характерны отрицательные значения величины εNd(t) (–6.6 и –3.5 соответственно) (рис. 6). Осадочные породы надаровской и нортуйской свит характеризуются раннепротерозойскими значениями неодимового модельного возраста (tNd(DM) = 2.0–1.8 млрд лет).
Таблица 2. Результаты Sm–Nd изотопно-геохимических исследований осадочных пород надаровской и нортуйской свит Аргунского континентального массива
Свита | Номер образца | Возраст, млн лет | Sm, мгк/г | Nd, мгк/г | 147Sm/144Nd | 143Nd/144Nd |
Надаровская | Ю-117-2 | 775 | 8.73 | 43.36 | 0.11882 | 0.511906 |
Нортуйская | Ю-123 | 744 | 5.68 | 24.70 | 0.12787 | 0.512124 |
Свита | ±2σ изм. | εNd(0) | εNd(t) | tNd(DM), млн лет | tNd(DM2), млн лет | |
Надаровская | 13 | –14.3 | –6.6 | 1993 | 2009 | |
Нортуйская | 14 | –10.0 | –3.5 | 1819 | 1729 |
Рис. 6. Диаграмма возраст–ΣNd для осадочных пород надаровской и нортуйской свит Аргунского континентального массива
1–4 – линии Nd-изотопного состава осадочных пород: 1 – надаровской свиты, 2 – урулюнгуйской свиты (Смирнова и др., 2022), 3 – дырбылкейской свиты (Смирнова и др., 2022), 4 – нортуйской свиты; 5 – поле эволюции изотопного состава Nd позднепротерозойских гранитогнейсов массива Ухусишань (Wuhuxishan) (Liu et al., 2020)
РЕЗУЛЬТАТЫ U–Th–Pb ИЗОТОПНО-ГЕОХРОНОЛОГИЧЕСКИХ ИССЛЕДОВАНИЙ ДЕТРИТОВОГО ЦИРКОНА
Из алевролита надаровской свиты (обр. Ю-117) было выделено 120 зерен детритового циркона. Конкордантные оценки возраста получены для 81 зерна (рис. 7а, табл. 3). Наиболее молодые позднерифейские значения возраста (953–762 млн лет) установлены для 33 зерен циркона c пиками на диаграмме относительной вероятности возрастов ~ 887 и ~775 млн лет (рис. 7а). В значительном количестве присутствуют средне- и раннерифейские зерна циркона (1303–1043 млн лет, 7 зерен и 1650–1353 млн лет, 12 зерен соответственно) с пиками на кривой относительной вероятности возрастов ~1401, ~1369 и ~1167 млн лет. Раннепротерозойский возраст установлен для 23 зерен циркона (2485–1664 млн лет) с пиками на кривой относительной вероятности возрастов ~2009, ~1807 и ~1652 млн лет. Для шести зерен циркона характерны позднеархейские значения возраста (2982–2586 млн лет).
Рис. 7. Кривые относительной вероятности возрастов зерен детритового циркона (а) из алевролита надаровской свиты (обр. Ю-117) и (б) из песчанистого алевролита нортуйской свиты (обр. Ю-123) Аргунского континентального массива
Таблица 3. U–Th–Pb (LA-ICP-MS) данные для зерен детритового циркона из алевролита надаровской свиты (обр. Ю-117) Аргунского континентального массива
№ п/п | Номер анализа | Th, мкг/г | U, мкг/г | U/ Th | Изотопные отношения | Возраст, млн лет | D | ** | |||||||||||||
206Pb/ 207Pb | ±1σ | 207Pb/ 235U | ±1σ | 206Pb/ 238U | ±1σ | Rho | 206Pb/ 238U | ±1σ | 207Pb/ 235U | ±1σ | 206Pb/ 207Pb | ±1σ | СА | ±2σ | |||||||
1 | 2 | 3 | 4 | 5 | 6 | 7 | 8 | 9 | 10 | 11 | 12 | 13 | 14 | 15 | 16 | 17 | 18 | 19 | 20 | 21 | 22 |
1 | Ю-117/001 | 34 | 27 | 0.8 | 5.2816 | 0.0024 | 13.8884 | 0.1406 | 0.5322 | 0.0041 | 0.76 | 2751 | 17 | 2742 | 10 | 2736 | 20 | 2740 | 19 | -0.3 | ** |
2 | Ю-117/002 | 178 | 172 | 0.9 | 13.6328 | 0.0010 | 1.4143 | 0.0151 | 0.1399 | 0.0010 | 0.66 | 844 | 6 | 895 | 6 | 1024 | 26 | Discordant | 6.0 | ||
3 | Ю-117/003 | 1638 | 1533 | 0.9 | 10.6464 | 0.0010 | 2.2223 | 0.0185 | 0.1717 | 0.0011 | 0.82 | 1021 | 6 | 1188 | 6 | 1507 | 21 | Discordant | 16.3 | ||
4 | Ю-117/004 | 69 | 233 | 3.4 | 7.7649 | 0.0015 | 6.5190 | 0.0564 | 0.3673 | 0.0025 | 0.80 | 2017 | 12 | 2048 | 8 | 2082 | 20 | Discordant | 1.6 | ||
5 | Ю-117/005 | 87 | 609 | 7.1 | 10.7422 | 0.0011 | 3.1624 | 0.0278 | 0.2465 | 0.0017 | 0.78 | 1420 | 9 | 1448 | 7 | 1490 | 22 | Discordant | 1.9 | ||
6 | Ю-117/006 | 82 | 161 | 1.9 | 10.9578 | 0.0011 | 3.1506 | 0.0303 | 0.2505 | 0.0018 | 0.73 | 1441 | 9 | 1445 | 7 | 1452 | 23 | 1444 | 15 | 0.3 | ** |
7 | Ю-117/007 | 46 | 37 | 0.8 | 5.3007 | 0.0023 | 13.4760 | 0.1336 | 0.5183 | 0.0039 | 0.76 | 2692 | 16 | 2714 | 9 | 2731 | 20 | 2718 | 18 | 0.8 | ** |
8 | Ю-117/008 | 332 | 250 | 0.8 | 9.0975 | 0.0013 | 4.9222 | 0.0441 | 0.3249 | 0.0023 | 0.78 | 1814 | 11 | 1806 | 8 | 1798 | 21 | 1805 | 15 | -0.4 | ** |
9 | Ю-117/009 | 116 | 660 | 5.7 | 13.3845 | 0.0009 | 1.7258 | 0.0156 | 0.1676 | 0.0012 | 0.76 | 999 | 6 | 1018 | 6 | 1061 | 23 | Discordant | 1.9 | ||
10 | Ю-117/010 | 34 | 72 | 2.1 | 12.7368 | 0.0012 | 2.1560 | 0.0287 | 0.1992 | 0.0015 | 0.57 | 1171 | 8 | 1167 | 9 | 1160 | 30 | 1170 | 15 | -0.4 | ** |
11 | Ю-117/011 | 113 | 160 | 1.4 | 11.3660 | 0.0011 | 2.8625 | 0.0299 | 0.2361 | 0.0017 | 0.69 | 1366 | 9 | 1372 | 8 | 1382 | 24 | 1370 | 15 | 0.4 | ** |
12 | Ю-117/012 | 178 | 156 | 0.9 | 14.2680 | 0.0010 | 1.4156 | 0.0168 | 0.1466 | 0.0011 | 0.61 | 882 | 6 | 896 | 7 | 931 | 29 | 886 | 12 | 1.6 | ** |
13 | Ю-117/013 | 209 | 318 | 1.5 | 8.1328 | 0.0015 | 6.2408 | 0.0586 | 0.3683 | 0.0026 | 0.75 | 2021 | 12 | 2010 | 8 | 2000 | 21 | 2009 | 17 | -0.5 | ** |
14 | Ю-117/014 | 420 | 374 | 0.9 | 4.9195 | 0.0024 | 12.3192 | 0.1136 | 0.4397 | 0.0031 | 0.76 | 2350 | 14 | 2629 | 9 | 2853 | 19 | Discordant | 11.9 | ||
15 | Ю-117/015 | 219 | 379 | 1.7 | 14.2478 | 0.0009 | 1.3859 | 0.0147 | 0.1433 | 0.0010 | 0.68 | 863 | 6 | 883 | 6 | 934 | 26 | Discordant | 2.3 | ||
16 | Ю-117/016 | 162 | 294 | 1.8 | 13.2686 | 0.0010 | 1.4283 | 0.0154 | 0.1375 | 0.0010 | 0.67 | 831 | 6 | 901 | 6 | 1079 | 26 | Discordant | 8.4 | ||
17 | Ю-117/017 | 221 | 606 | 2.7 | 14.2205 | 0.0009 | 1.4535 | 0.0148 | 0.1500 | 0.0011 | 0.70 | 901 | 6 | 911 | 6 | 938 | 26 | 906 | 11 | 1.2 | ** |
18 | Ю-117/018 | 372 | 339 | 0.9 | 14.5568 | 0.0009 | 1.4400 | 0.0156 | 0.1521 | 0.0011 | 0.67 | 913 | 6 | 906 | 6 | 890 | 27 | 910 | 12 | -0.8 | ** |
19 | Ю-117/019 | 328 | 373 | 1.1 | 7.9271 | 0.0016 | 5.1263 | 0.0525 | 0.2949 | 0.0021 | 0.70 | 1666 | 11 | 1840 | 9 | 2046 | 22 | Discordant | 10.5 | ||
20 | Ю-117/020 | 110 | 184 | 1.7 | 8.9261 | 0.0014 | 4.9740 | 0.0520 | 0.3222 | 0.0023 | 0.70 | 1800 | 11 | 1815 | 9 | 1833 | 23 | 1813 | 18 | 0.8 | ** |
21 | Ю-117/021 | 336 | 351 | 1.1 | 14.0712 | 0.0010 | 1.4307 | 0.0163 | 0.1461 | 0.0011 | 0.64 | 879 | 6 | 902 | 7 | 960 | 28 | Discordant | 2.6 | ||
22 | Ю-117/022 | 12 | 31 | 2.7 | 8.6071 | 0.0021 | 5.1594 | 0.0861 | 0.3222 | 0.0029 | 0.54 | 1801 | 14 | 1846 | 14 | 1899 | 33 | Discordant | 2.5 | ||
23 | Ю-117/023 | 444 | 315 | 0.7 | 8.2003 | 0.0016 | 6.1534 | 0.0664 | 0.3661 | 0.0027 | 0.68 | 2011 | 13 | 1998 | 9 | 1986 | 23 | 1999 | 19 | -0.7 | ** |
24 | Ю-117/024 | 212 | 266 | 1.3 | 8.7561 | 0.0015 | 5.0439 | 0.0559 | 0.3205 | 0.0024 | 0.66 | 1792 | 12 | 1827 | 9 | 1868 | 24 | Discordant | 1.9 | ||
25 | Ю-117/025 | 311 | 386 | 1.2 | 7.9158 | 0.0017 | 6.3522 | 0.0699 | 0.3648 | 0.0027 | 0.67 | 2005 | 13 | 2026 | 10 | 2048 | 23 | 2023 | 19 | 1.0 | ** |
26 | Ю-117/026 | 56 | 171 | 3.1 | 9.1938 | 0.0015 | 4.7726 | 0.0556 | 0.3184 | 0.0024 | 0.64 | 1782 | 12 | 1780 | 10 | 1780 | 25 | 1781 | 19 | -0.1 | ** |
27 | Ю-117/027 | 253 | 541 | 2.1 | 14.2269 | 0.0010 | 1.4182 | 0.0168 | 0.1464 | 0.0011 | 0.63 | 881 | 6 | 897 | 7 | 938 | 28 | 886 | 12 | 1.8 | ** |
28 | Ю-117/028 | 179 | 207 | 1.2 | 6.0719 | 0.0022 | 10.5796 | 0.1215 | 0.4661 | 0.0035 | 0.65 | 2466 | 15 | 2487 | 11 | 2505 | 23 | 2485 | 22 | 0.8 | ** |
29 | Ю-117/029 | 265 | 437 | 1.6 | 8.3322 | 0.0017 | 3.9982 | 0.0476 | 0.2417 | 0.0018 | 0.63 | 1396 | 9 | 1634 | 10 | 1957 | 25 | Discordant | 17.1 | ||
30 | Ю-117/030 | 80 | 122 | 1.5 | 14.5418 | 0.0011 | 1.4054 | 0.0207 | 0.1483 | 0.0012 | 0.54 | 891 | 6 | 891 | 9 | 893 | 34 | 891 | 13 | -0.1 | ** |
31 | Ю-117/031 | 199 | 297 | 1.5 | 15.1926 | 0.0010 | 1.1651 | 0.0158 | 0.1284 | 0.0010 | 0.57 | 779 | 6 | 784 | 7 | 802 | 32 | 780 | 11 | 0.7 | ** |
32 | Ю-117/032 | 68 | 181 | 2.7 | 7.9159 | 0.0019 | 6.4275 | 0.0819 | 0.3692 | 0.0028 | 0.60 | 2026 | 13 | 2036 | 11 | 2048 | 26 | 2033 | 22 | 0.5 | ** |
33 | Ю-117/033 | 102 | 173 | 1.7 | 6.0081 | 0.0025 | 9.6747 | 0.1242 | 0.4218 | 0.0033 | 0.60 | 2268 | 15 | 2404 | 12 | 2523 | 25 | Discordant | 6.0 | ||
34 | Ю-117/034 | 594 | 392 | 0.7 | 14.6225 | 0.0011 | 1.3567 | 0.0184 | 0.1440 | 0.0011 | 0.57 | 867 | 6 | 870 | 8 | 881 | 32 | 868 | 12 | 0.4 | ** |
35 | Ю-117/035 | 78 | 82 | 1.1 | 12.8856 | 0.0015 | 1.4020 | 0.0255 | 0.1311 | 0.0011 | 0.47 | 794 | 6 | 890 | 11 | 1138 | 39 | Discordant | 12.1 | ||
36 | Ю-117/036 | 86 | 227 | 2.6 | 11.4180 | 0.0014 | 2.9468 | 0.0405 | 0.2441 | 0.0019 | 0.57 | 1408 | 10 | 1394 | 10 | 1374 | 30 | 1402 | 18 | -1.0 | ** |
37 | Ю-117/037 | 102 | 147 | 1.4 | 8.6286 | 0.0018 | 5.1558 | 0.0724 | 0.3228 | 0.0026 | 0.57 | 1803 | 12 | 1845 | 12 | 1895 | 28 | Discordant | 2.3 | ||
38 | Ю-117/038 | 566 | 857 | 1.5 | 6.1171 | 0.0025 | 5.5363 | 0.0749 | 0.2457 | 0.0019 | 0.58 | 1416 | 10 | 1906 | 12 | 2493 | 26 | Discordant | 34.6 | ||
39 | Ю-117/039 | 7 | 38 | 5.7 | 8.6046 | 0.0021 | 4.8809 | 0.0784 | 0.3047 | 0.0026 | 0.54 | 1715 | 13 | 1799 | 14 | 1900 | 32 | Discordant | 4.9 | ||
40 | Ю-117/040 | 208 | 707 | 3.4 | 9.0118 | 0.0018 | 3.8304 | 0.0536 | 0.2505 | 0.0020 | 0.56 | 1441 | 10 | 1599 | 11 | 1816 | 28 | Discordant | 11.0 | ||
41 | Ю-117/041 | 476 | 538 | 1.1 | 14.0314 | 0.0012 | 1.2858 | 0.0195 | 0.1309 | 0.0011 | 0.53 | 793 | 6 | 839 | 9 | 966 | 34 | Discordant | 5.8 | ||
42 | Ю-117/042 | 309 | 447 | 1.4 | 9.6146 | 0.0017 | 4.1506 | 0.0624 | 0.2896 | 0.0023 | 0.54 | 1639 | 12 | 1664 | 12 | 1698 | 30 | 1650 | 21 | 1.5 | ** |
43 | Ю-117/043 | 117 | 247 | 2.1 | 14.0718 | 0.0013 | 1.5229 | 0.0247 | 0.1555 | 0.0013 | 0.51 | 932 | 7 | 940 | 10 | 960 | 36 | 933 | 14 | 0.8 | ** |
44 | Ю-117/044 | 274 | 317 | 1.2 | 8.0406 | 0.0021 | 5.9797 | 0.0926 | 0.3489 | 0.0029 | 0.53 | 1929 | 14 | 1973 | 13 | 2021 | 30 | 1951 | 24 | 2.3 | ** |
45 | Ю-117/045 | 18 | 50 | 2.8 | 7.7012 | 0.0024 | 5.8905 | 0.0989 | 0.3292 | 0.0028 | 0.52 | 1834 | 14 | 1960 | 14 | 2097 | 32 | Discordant | 6.8 | ||
46 | Ю-117/046 | 1205 | 727 | 0.6 | 5.7045 | 0.0030 | 8.6732 | 0.1365 | 0.3590 | 0.0030 | 0.52 | 1977 | 14 | 2304 | 14 | 2610 | 29 | Discordant | 16.5 | ||
47 | Ю-117/047 | 35 | 60 | 1.7 | 12.1881 | 0.0016 | 2.5122 | 0.0465 | 0.2222 | 0.0020 | 0.48 | 1293 | 10 | 1276 | 13 | 1248 | 38 | 1288 | 20 | -1.4 | ** |
48 | Ю-117/048 | 656 | 712 | 1.1 | 7.9239 | 0.0023 | 2.7799 | 0.0454 | 0.1598 | 0.0013 | 0.51 | 956 | 7 | 1350 | 12 | 2046 | 31 | Discordant | 41.2 | ||
49 | Ю-117/049 | 17 | 40 | 2.4 | 4.5841 | 0.0040 | 17.7733 | 0.3043 | 0.5912 | 0.0053 | 0.52 | 2994 | 21 | 2978 | 16 | 2968 | 30 | 2982 | 32 | -0.6 | ** |
50 | Ю-117/050 | 266 | 247 | 0.9 | 8.0288 | 0.0023 | 6.2144 | 0.1049 | 0.3620 | 0.0031 | 0.50 | 1992 | 14 | 2006 | 15 | 2023 | 32 | 1999 | 26 | 0.7 | ** |
51 | Ю-117/051 | 44 | 36 | 0.8 | 6.3950 | 0.0032 | 9.9723 | 0.1878 | 0.4627 | 0.0043 | 0.49 | 2452 | 19 | 2432 | 17 | 2418 | 34 | 2440 | 31 | -0.8 | ** |
52 | Ю-117/052 | 0 | 1 | - | 1.6199 | 0.1710 | 10.5828 | 3.7458 | 0.1244 | 0.0553 | 1.26 | 756 | 317 | 2487 | 328 | 4550 | 351 | Discordant | 229.1 | ||
53 | Ю-117/053 | 110 | 176 | 1.6 | 8.5366 | 0.0023 | 5.1349 | 0.0946 | 0.3181 | 0.0028 | 0.48 | 1780 | 14 | 1842 | 16 | 1914 | 35 | Discordant | 3.5 | ||
54 | Ю-117/054 | 2464 | 2377 | 0.9 | 9.5133 | 0.0021 | 1.3261 | 0.0245 | 0.0915 | 0.0008 | 0.47 | 565 | 5 | 857 | 11 | 1717 | 36 | Discordant | 51.8 | ||
55 | Ю-117/055 | 455 | 560 | 1.2 | 14.2762 | 0.0014 | 1.3587 | 0.0258 | 0.1407 | 0.0012 | 0.47 | 849 | 7 | 871 | 11 | 931 | 41 | 852 | 14 | 2.6 | ** |
56 | Ю-117/056 | 170 | 283 | 1.7 | 14.0149 | 0.0015 | 1.5394 | 0.0303 | 0.1565 | 0.0014 | 0.46 | 938 | 8 | 946 | 12 | 968 | 42 | 939 | 15 | 0.9 | ** |
57 | Ю-117/057 | 163 | 333 | 2.1 | 11.8180 | 0.0018 | 2.6127 | 0.0510 | 0.2240 | 0.0020 | 0.46 | 1303 | 11 | 1304 | 14 | 1308 | 40 | 1303 | 20 | 0.1 | ** |
58 | Ю-117/058 | 242 | 203 | 0.8 | 14.5325 | 0.0015 | 1.3969 | 0.0289 | 0.1473 | 0.0014 | 0.45 | 886 | 8 | 888 | 12 | 894 | 44 | 886 | 15 | 0.2 | ** |
59 | Ю-117/059 | 393 | 403 | 1.0 | 14.0238 | 0.0015 | 1.5648 | 0.0316 | 0.1592 | 0.0014 | 0.45 | 952 | 8 | 956 | 12 | 967 | 43 | 953 | 16 | 0.4 | ** |
60 | Ю-117/060 | 194 | 227 | 1.2 | 14.2908 | 0.0016 | 1.3878 | 0.0292 | 0.1439 | 0.0013 | 0.44 | 867 | 8 | 884 | 12 | 928 | 45 | 869 | 15 | 2.0 | ** |
61 | Ю-117/061 | 35 | 127 | 3.6 | 7.9549 | 0.0028 | 6.4022 | 0.1368 | 0.3695 | 0.0035 | 0.44 | 2027 | 16 | 2033 | 19 | 2040 | 39 | 2029 | 30 | 0.3 | ** |
62 | Ю-117/062 | 1159 | 1671 | 1.4 | 9.6730 | 0.0023 | 1.3272 | 0.0284 | 0.0932 | 0.0009 | 0.44 | 574 | 5 | 858 | 12 | 1686 | 41 | Discordant | 49.4 | ||
63 | Ю-117/063 | 250 | 419 | 1.7 | 5.4083 | 0.0042 | 9.9226 | 0.2149 | 0.3894 | 0.0037 | 0.44 | 2120 | 17 | 2428 | 20 | 2698 | 37 | Discordant | 14.5 | ||
64 | Ю-117/064 | 339 | 387 | 1.1 | 8.7931 | 0.0026 | 5.1153 | 0.1121 | 0.3264 | 0.0031 | 0.44 | 1821 | 15 | 1839 | 19 | 1861 | 41 | 1826 | 28 | 1.0 | ** |
65 | Ю-117/065 | 146 | 222 | 1.5 | 7.6431 | 0.0030 | 6.5657 | 0.1463 | 0.3641 | 0.0035 | 0.43 | 2002 | 17 | 2055 | 20 | 2110 | 40 | 2019 | 31 | 2.6 | ** |
66 | Ю-117/066 | 229 | 162 | 0.7 | 8.8518 | 0.0027 | 4.9240 | 0.1122 | 0.3163 | 0.0031 | 0.43 | 1771 | 15 | 1806 | 19 | 1848 | 42 | 1781 | 28 | 2.0 | ** |
67 | Ю-117/067 | 56 | 482 | 8.7 | 9.4231 | 0.0025 | 4.2809 | 0.0977 | 0.2927 | 0.0029 | 0.43 | 1655 | 14 | 1690 | 19 | 1735 | 43 | 1664 | 27 | 2.1 | ** |
68 | Ю-117/068 | 66 | 138 | 2.1 | 11.2172 | 0.0022 | 2.9692 | 0.0706 | 0.2417 | 0.0024 | 0.42 | 1395 | 12 | 1400 | 18 | 1408 | 46 | 1396 | 24 | 0.3 | ** |
69 | Ю-117/069 | 399 | 303 | 0.8 | 14.2909 | 0.0017 | 1.3562 | 0.0326 | 0.1406 | 0.0014 | 0.42 | 848 | 8 | 870 | 14 | 928 | 50 | 850 | 16 | 2.6 | ** |
70 | Ю-117/070 | 29 | 104 | 3.6 | 9.0366 | 0.0028 | 4.7945 | 0.1154 | 0.3144 | 0.0032 | 0.42 | 1762 | 16 | 1784 | 20 | 1811 | 44 | 1768 | 29 | 1.2 | ** |
71 | Ю-117/071 | 519 | 699 | 1.4 | 12.5508 | 0.0020 | 2.0524 | 0.0512 | 0.1869 | 0.0019 | 0.41 | 1105 | 10 | 1133 | 17 | 1190 | 50 | 1108 | 20 | 2.6 | ** |
72 | Ю-117/072 | 293 | 490 | 1.7 | 14.0951 | 0.0019 | 1.3867 | 0.0354 | 0.1418 | 0.0015 | 0.41 | 855 | 8 | 883 | 15 | 957 | 53 | 857 | 16 | 3.3 | ** |
73 | Ю-117/073 | 86 | 124 | 1.4 | 8.1840 | 0.0032 | 4.7726 | 0.1237 | 0.2834 | 0.0030 | 0.41 | 1608 | 15 | 1780 | 22 | 1989 | 46 | Discordant | 10.7 | ||
74 | Ю-117/074 | 100 | 94 | 0.9 | 5.5330 | 0.0048 | 12.6336 | 0.3284 | 0.5072 | 0.0054 | 0.41 | 2645 | 23 | 2653 | 24 | 2660 | 43 | 2648 | 40 | 0.3 | ** |
75 | Ю-117/075 | 60 | 130 | 2.2 | 13.8502 | 0.0020 | 1.5071 | 0.0416 | 0.1515 | 0.0016 | 0.39 | 909 | 9 | 933 | 17 | 992 | 56 | 911 | 18 | 2.7 | ** |
76 | Ю-117/076 | 53 | 60 | 1.1 | 5.7544 | 0.0048 | 11.8090 | 0.3160 | 0.4931 | 0.0054 | 0.41 | 2584 | 23 | 2589 | 25 | 2595 | 45 | 2586 | 40 | 0.2 | ** |
77 | Ю-117/077 | 320 | 369 | 1.2 | 6.0646 | 0.0045 | 8.8779 | 0.2377 | 0.3907 | 0.0042 | 0.40 | 2126 | 19 | 2326 | 24 | 2507 | 45 | Discordant | 9.4 | ||
78 | Ю-117/078 | 231 | 194 | 0.8 | 14.4334 | 0.0020 | 1.3445 | 0.0378 | 0.1408 | 0.0016 | 0.39 | 849 | 9 | 865 | 16 | 908 | 58 | 851 | 17 | 1.9 | ** |
79 | Ю-117/079 | 179 | 186 | 1.1 | 14.4918 | 0.0020 | 1.3584 | 0.0387 | 0.1428 | 0.0016 | 0.39 | 861 | 9 | 871 | 17 | 900 | 59 | 862 | 18 | 1.2 | ** |
80 | Ю-117/080 | 235 | 1277 | 5.4 | 13.8162 | 0.0020 | 1.2591 | 0.0351 | 0.1262 | 0.0014 | 0.39 | 766 | 8 | 828 | 16 | 998 | 56 | Discordant | 8.0 | ||
81 | Ю-117/081 | 293 | 298 | 1.1 | 9.2622 | 0.0032 | 4.3084 | 0.1260 | 0.2896 | 0.0033 | 0.39 | 1639 | 16 | 1695 | 24 | 1766 | 53 | 1650 | 32 | 3.4 | ** |
82 | Ю-117/082 | 135 | 206 | 1.5 | 15.3929 | 0.0020 | 1.1228 | 0.0340 | 0.1254 | 0.0014 | 0.38 | 762 | 8 | 764 | 16 | 774 | 63 | 762 | 16 | 0.4 | ** |
83 | Ю-117/083 | 315 | 341 | 1.1 | 10.8489 | 0.0028 | 3.0866 | 0.0926 | 0.2430 | 0.0028 | 0.38 | 1402 | 14 | 1429 | 23 | 1472 | 56 | 1406 | 28 | 1.9 | ** |
84 | Ю-117/084 | 200 | 192 | 0.9 | 5.4365 | 0.0056 | 12.8416 | 0.3877 | 0.5066 | 0.0059 | 0.38 | 2642 | 25 | 2668 | 28 | 2689 | 49 | 2652 | 45 | 1.0 | ** |
85 | Ю-117/085 | 68 | 118 | 1.8 | 10.9421 | 0.0029 | 2.9512 | 0.0923 | 0.2343 | 0.0028 | 0.38 | 1357 | 14 | 1395 | 24 | 1455 | 59 | 1362 | 28 | 2.8 | ** |
86 | Ю-117/086 | 328 | 491 | 1.5 | 8.2194 | 0.0038 | 4.5522 | 0.1408 | 0.2715 | 0.0032 | 0.38 | 1548 | 16 | 1741 | 26 | 1981 | 54 | Discordant | 12.4 | ||
87 | Ю-117/087 | 162 | 366 | 2.3 | 9.0643 | 0.0035 | 4.8720 | 0.1526 | 0.3204 | 0.0038 | 0.38 | 1792 | 18 | 1797 | 26 | 1805 | 56 | 1793 | 35 | 0.3 | ** |
88 | Ю-117/088 | 229 | 280 | 1.2 | 8.3215 | 0.0038 | 5.9544 | 0.1887 | 0.3595 | 0.0043 | 0.38 | 1980 | 20 | 1969 | 28 | 1959 | 56 | 1977 | 38 | -0.5 | ** |
89 | Ю-117/089 | 218 | 131 | 0.6 | 13.9865 | 0.0024 | 1.5043 | 0.0499 | 0.1527 | 0.0019 | 0.37 | 916 | 10 | 932 | 20 | 972 | 66 | 917 | 21 | 1.8 | ** |
90 | Ю-117/090 | 1160 | 757 | 0.6 | 12.8613 | 0.0025 | 1.5854 | 0.0514 | 0.1480 | 0.0018 | 0.37 | 890 | 10 | 964 | 20 | 1141 | 63 | Discordant | 8.4 | ||
91 | Ю-117/091 | 182 | 232 | 1.3 | 14.7673 | 0.0024 | 1.0042 | 0.0349 | 0.1076 | 0.0014 | 0.37 | 659 | 8 | 706 | 18 | 861 | 70 | Discordant | 7.1 | ||
92 | Ю-117/092 | 2891 | 1227 | 0.4 | 13.8187 | 0.0025 | 1.1357 | 0.0390 | 0.1139 | 0.0014 | 0.37 | 695 | 8 | 770 | 18 | 997 | 68 | Discordant | 10.8 | ||
93 | Ю-117/093 | 99 | 133 | 1.3 | 7.5254 | 0.0047 | 5.2951 | 0.1865 | 0.2891 | 0.0038 | 0.37 | 1637 | 19 | 1868 | 30 | 2137 | 60 | Discordant | 14.1 | ||
94 | Ю-117/094 | 138 | 121 | 0.9 | 7.8908 | 0.0045 | 5.6680 | 0.1999 | 0.3245 | 0.0042 | 0.37 | 1812 | 20 | 1926 | 30 | 2054 | 61 | Discordant | 6.3 | ||
95 | Ю-117/095 | 90 | 309 | 3.4 | 12.2289 | 0.0029 | 2.2058 | 0.0786 | 0.1957 | 0.0025 | 0.36 | 1152 | 14 | 1183 | 25 | 1241 | 68 | 1156 | 27 | 2.6 | ** |
96 | Ю-117/096 | 35 | 64 | 1.8 | 10.3482 | 0.0036 | 3.3185 | 0.1224 | 0.2492 | 0.0034 | 0.36 | 1434 | 17 | 1485 | 29 | 1561 | 67 | 1441 | 34 | 3.6 | ** |
97 | Ю-117/097 | 240 | 252 | 1.0 | 15.4760 | 0.0024 | 1.1402 | 0.0421 | 0.1280 | 0.0017 | 0.36 | 777 | 10 | 773 | 20 | 762 | 76 | 776 | 19 | -0.5 | ** |
98 | Ю-117/098 | 118 | 184 | 1.6 | 13.4107 | 0.0028 | 1.8044 | 0.0671 | 0.1756 | 0.0024 | 0.36 | 1043 | 13 | 1047 | 24 | 1057 | 73 | 1043 | 25 | 0.4 | ** |
99 | Ю-117/099 | 393 | 494 | 1.3 | 9.4326 | 0.0039 | 4.1803 | 0.1547 | 0.2861 | 0.0038 | 0.36 | 1622 | 19 | 1670 | 30 | 1733 | 66 | 1630 | 37 | 3.0 | ** |
100 | Ю-117/100 | 273 | 364 | 1.3 | 6.5702 | 0.0056 | 5.9948 | 0.2243 | 0.2858 | 0.0039 | 0.36 | 1620 | 19 | 1975 | 32 | 2371 | 62 | Discordant | 21.9 | ||
101 | Ю-117/101 | 18 | 51 | 2.9 | 10.7615 | 0.0037 | 2.9754 | 0.1199 | 0.2323 | 0.0033 | 0.36 | 1347 | 17 | 1401 | 31 | 1487 | 74 | 1353 | 34 | 4.0 | ** |
102 | Ю-117/102 | 331 | 638 | 1.9 | 14.6910 | 0.0027 | 1.3564 | 0.0537 | 0.1446 | 0.0020 | 0.35 | 871 | 11 | 870 | 23 | 871 | 79 | 871 | 23 | -0.1 | ** |
103 | Ю-117/103 | 61 | 130 | 2.1 | 14.6895 | 0.0028 | 1.4007 | 0.0571 | 0.1493 | 0.0021 | 0.35 | 897 | 12 | 889 | 24 | 871 | 81 | 896 | 24 | -0.9 | ** |
104 | Ю-117/104 | 360 | 393 | 1.1 | 14.3835 | 0.0028 | 1.3720 | 0.0557 | 0.1432 | 0.0020 | 0.35 | 863 | 12 | 877 | 24 | 915 | 80 | 864 | 23 | 1.6 | ** |
105 | Ю-117/105 | 282 | 544 | 1.9 | 13.9705 | 0.0029 | 1.3088 | 0.0535 | 0.1327 | 0.0019 | 0.35 | 803 | 11 | 850 | 24 | 975 | 80 | 805 | 22 | 5.8 | ** |
106 | Ю-117/106 | 9 | 21 | 2.2 | 8.4946 | 0.0049 | 5.7959 | 0.2496 | 0.3572 | 0.0061 | 0.40 | 1969 | 29 | 1946 | 37 | 1922 | 73 | 1962 | 53 | -1.2 | ** |
107 | Ю-117/107 | 192 | 350 | 1.8 | 14.5133 | 0.0028 | 1.3642 | 0.0572 | 0.1437 | 0.0021 | 0.35 | 865 | 12 | 874 | 24 | 896 | 83 | 866 | 24 | 1.0 | ** |
108 | Ю-117/108 | 506 | 506 | 1.0 | 14.7348 | 0.0028 | 1.3769 | 0.0581 | 0.1472 | 0.0022 | 0.35 | 885 | 12 | 879 | 25 | 865 | 84 | 885 | 24 | -0.7 | ** |
109 | Ю-117/109 | 236 | 283 | 1.2 | 14.4683 | 0.0029 | 1.3671 | 0.0585 | 0.1435 | 0.0022 | 0.35 | 865 | 12 | 875 | 25 | 903 | 85 | 865 | 24 | 1.2 | ** |
110 | Ю-117/110 | 111 | 377 | 3.4 | 8.0710 | 0.0052 | 6.1457 | 0.2633 | 0.3599 | 0.0054 | 0.35 | 1982 | 26 | 1997 | 37 | 2014 | 73 | 1985 | 48 | 0.8 | ** |
111 | Ю-117/111 | 306 | 284 | 0.9 | 14.5054 | 0.0030 | 1.4432 | 0.0649 | 0.1519 | 0.0024 | 0.35 | 912 | 13 | 907 | 27 | 898 | 89 | 911 | 26 | -0.5 | ** |
112 | Ю-117/112 | 939 | 970 | 1.0 | 14.5143 | 0.0030 | 1.3346 | 0.0602 | 0.1406 | 0.0022 | 0.35 | 848 | 12 | 861 | 26 | 896 | 89 | 849 | 25 | 1.5 | ** |
113 | Ю-117/113 | 348 | 381 | 1.1 | 8.0051 | 0.0056 | 6.3931 | 0.2910 | 0.3713 | 0.0059 | 0.35 | 2036 | 28 | 2031 | 40 | 2028 | 77 | 2035 | 52 | -0.2 | ** |
114 | Ю-117/114 | 1156 | 808 | 0.7 | 13.3888 | 0.0034 | 1.4667 | 0.0675 | 0.1425 | 0.0023 | 0.34 | 859 | 13 | 917 | 28 | 1061 | 88 | 861 | 25 | 6.8 | ** |
115 | Ю-117/115 | 152 | 110 | 0.7 | 14.2046 | 0.0033 | 1.4554 | 0.0692 | 0.1500 | 0.0024 | 0.34 | 901 | 14 | 912 | 29 | 941 | 93 | 902 | 27 | 1.2 | ** |
116 | Ю-117/116 | 427 | 790 | 1.8 | 14.6830 | 0.0031 | 1.3316 | 0.0625 | 0.1419 | 0.0023 | 0.34 | 855 | 13 | 860 | 27 | 872 | 92 | 856 | 26 | 0.5 | ** |
117 | Ю-117/117 | 42 | 129 | 3.0 | 9.5503 | 0.0049 | 4.1956 | 0.1997 | 0.2907 | 0.0048 | 0.34 | 1645 | 24 | 1673 | 39 | 1710 | 83 | 1650 | 46 | 1.7 | ** |
118 | Ю-117/118 | 844 | 1713 | 2.0 | 6.6292 | 0.0070 | 4.8028 | 0.2292 | 0.2310 | 0.0038 | 0.34 | 1340 | 20 | 1785 | 40 | 2356 | 78 | Discordant | 33.2 | ||
119 | Ю-117/119 | 115 | 285 | 2.5 | 12.5086 | 0.0038 | 2.1438 | 0.1039 | 0.1946 | 0.0032 | 0.34 | 1146 | 17 | 1163 | 34 | 1196 | 91 | 1148 | 34 | 1.5 | ** |
120 | Ю-117/120 | 138 | 184 | 1.3 | 8.0083 | 0.0060 | 6.2807 | 0.3065 | 0.3650 | 0.0061 | 0.34 | 2006 | 29 | 2016 | 43 | 2025 | 82 | 2008 | 55 | 0.5 | ** |
Примечание. Rho – коэффициент корреляции между ошибками отношений 207Pb/235U–206Pb/238U: Rho = (σ(206Pb/238U)/(206Pb/238U))/(σ(207Pb/235U)/(207Pb/235U)), где σ – относительная ошибка того или иного отношения (Gerdes, Zeh, 2006; Powerman et al., 2021); CA – конкордантный возраст (Ludwig, 2008), D – дискордантность, вычислялась по формуле (Возраст(206Pb/238U)/Возраст(206Pb/207Pb)×100) – 100%. (**) – для построения кривой относительной вероятности цирконов и вычисления ее пиков использовались только те значения возрастов, которые характеризуются конкордантным возрастом (СА), при этом в них значения показателя дискордантности составляли не более 10%, а ошибка значений отношения возрастов 206Pb/238U и 207Pb/235U не более 3%.
Из песчанистого алевролита нортуйской свиты (обр. Ю-123) было проанализировано 120 зерен циркона, конкордантные оценки возраста получены для 74 зерен (рис. 7б, табл. 4). Доминирующая часть циркона имеет позднерифейский возраст (992–719 млн лет, 70 зерен) с пиками на кривой относительной вероятности возрастов ~859 и ~744 млн лет. Четыре зерна имеют раннеархейский возраст (~3893, ~3802, ~3622 и ~3495 млн лет).
Таблица 4. U–Th–Pb (LA-ICP-MS) данные для зерен детритового циркона из алевролита нортуйской свиты (обр. Ю-123) Аргунского континентального массива
№ п/п | Номер анализа | Th, мкг/г | U, мкг/г | U/Th | Изотопные отношения | Возраст, млн лет | D | ** | |||||||||||||
206Pb/ 207Pb | ±1σ | 207Pb/ 235U | ±1σ | 206Pb/ 238U | ±1σ | Rho | 206Pb/ 238U | ±1σ | 207Pb/ 235U | ±1σ | 206Pb/ 207Pb | ±1σ | СА | ±2σ | |||||||
1 | 2 | 3 | 4 | 5 | 6 | 7 | 8 | 9 | 10 | 11 | 12 | 13 | 14 | 15 | 16 | 17 | 18 | 19 | 20 | 21 | 22 |
1 | Ю-123/001 | 657 | 1109 | 1.7 | 15.1492 | 0.0008 | 1.2128 | 0.0113 | 0.1333 | 0.0010 | 0.81 | 807 | 6 | 806 | 5 | 807 | 24 | 807 | 10 | -0.0 | ** |
2 | Ю-123/002 | 159 | 219 | 1.4 | 14.7580 | 0.0009 | 1.2012 | 0.0143 | 0.1286 | 0.0010 | 0.65 | 780 | 6 | 801 | 7 | 861 | 28 | Discordant | 2.7 | ||
3 | Ю-123/003 | 97 | 168 | 1.7 | 15.4847 | 0.0010 | 1.1028 | 0.0144 | 0.1239 | 0.0010 | 0.61 | 753 | 6 | 755 | 7 | 761 | 31 | 753 | 11 | 0.2 | ** |
4 | Ю-123/004 | 158 | 244 | 1.6 | 15.7356 | 0.0009 | 1.2471 | 0.0134 | 0.1312 | 0.0010 | 0.72 | 795 | 6 | 777 | 6 | 727 | 28 | Discordant | -2.2 | ||
5 | Ю-123/005 | 335 | 331 | 1.0 | 14.7102 | 0.0009 | 1.4089 | 0.0149 | 0.1504 | 0.0012 | 0.72 | 903 | 6 | 893 | 6 | 868 | 26 | 897 | 12 | -1.2 | ** |
6 | Ю-123/006 | 185 | 270 | 1.5 | 15.2788 | 0.0010 | 1.1134 | 0.0151 | 0.1234 | 0.0010 | 0.59 | 750 | 6 | 760 | 7 | 789 | 32 | 752 | 11 | 1.3 | ** |
7 | Ю-123/007 | 247 | 364 | 1.5 | 9.6712 | 0.0012 | 1.2471 | 0.0386 | 0.2948 | 0.0022 | 0.24 | 1666 | 11 | 1674 | 8 | 1686 | 1 | Discordant | 0.5 | ||
8 | Ю-123/008 | 665 | 1077 | 1.6 | 9.6367 | 0.0012 | 2.8612 | 0.0256 | 0.2001 | 0.0015 | 0.84 | 1178 | 8 | 1372 | 7 | 1692 | 11 | Discordant | 16.7 | ||
9 | Ю-123/009 | 664 | 661 | 1.0 | 12.7681 | 0.0010 | 1.4023 | 0.0140 | 0.1299 | 0.0010 | 0.76 | 787 | 6 | 890 | 6 | 1155 | 24 | Discordant | 13.0 | ||
10 | Ю-123/010 | 116 | 203 | 1.8 | 15.5497 | 0.0010 | 1.0821 | 0.0151 | 0.1221 | 0.0010 | 0.57 | 743 | 6 | 745 | 7 | 752 | 33 | 743 | 11 | 0.3 | ** |
11 | Ю-123/011 | 308 | 407 | 1.3 | 15.5280 | 0.0008 | 1.1166 | 0.0119 | 0.1258 | 0.0010 | 0.72 | 764 | 6 | 761 | 6 | 755 | 26 | 763 | 10 | -0.3 | ** |
12 | Ю-123/012 | 158 | 237 | 1.5 | 15.2695 | 0.0009 | 1.1485 | 0.0136 | 0.1273 | 0.0010 | 0.66 | 772 | 6 | 776 | 6 | 790 | 29 | 774 | 11 | 0.6 | ** |
13 | Ю-123/013 | 264 | 692 | 2.6 | 15.2184 | 0.0008 | 1.2471 | 0.0122 | 0.1377 | 0.0010 | 0.77 | 832 | 6 | 822 | 6 | 797 | 25 | 825 | 11 | -1.2 | ** |
14 | Ю-123/014 | 144 | 233 | 1.6 | 15.2230 | 0.0009 | 1.1858 | 0.0140 | 0.1310 | 0.0010 | 0.66 | 794 | 6 | 794 | 6 | 796 | 28 | 794 | 11 | 0.1 | ** |
15 | Ю-123/015 | 106 | 189 | 1.8 | 15.4297 | 0.0009 | 1.1546 | 0.0144 | 0.1293 | 0.0010 | 0.63 | 784 | 6 | 779 | 7 | 768 | 30 | 782 | 11 | -0.5 | ** |
16 | Ю-123/016 | 126 | 212 | 1.7 | 15.2022 | 0.0009 | 1.1372 | 0.0139 | 0.1254 | 0.0010 | 0.64 | 762 | 6 | 771 | 7 | 799 | 29 | 764 | 11 | 1.2 | ** |
17 | Ю-123/017 | 205 | 326 | 1.6 | 14.7124 | 0.0009 | 1.2471 | 0.0151 | 0.1509 | 0.0012 | 0.64 | 906 | 6 | 895 | 6 | 868 | 26 | Discordant | -1.3 | ||
18 | Ю-123/019 | 654 | 1323 | 2.0 | 14.8104 | 0.0008 | 1.2471 | 0.0128 | 0.1479 | 0.0011 | 0.73 | 889 | 6 | 879 | 6 | 854 | 24 | Discordant | -1.2 | ||
19 | Ю-123/020 | 377 | 480 | 1.3 | 15.3210 | 0.0008 | 1.2471 | 0.0127 | 0.1366 | 0.0010 | 0.75 | 826 | 6 | 814 | 6 | 783 | 26 | 824 | 11 | -1.4 | ** |
20 | Ю-123/021 | 145 | 252 | 1.7 | 15.6104 | 0.0009 | 1.1236 | 0.0133 | 0.1273 | 0.0010 | 0.66 | 772 | 6 | 765 | 6 | 744 | 29 | 770 | 11 | -1.0 | ** |
21 | Ю-123/022 | 126 | 300 | 2.4 | 14.9925 | 0.0009 | 1.2330 | 0.0138 | 0.1341 | 0.0010 | 0.69 | 811 | 6 | 816 | 6 | 828 | 27 | 813 | 11 | 0.5 | ** |
22 | Ю-123/023 | 94 | 344 | 3.7 | 14.5709 | 0.0009 | 1.0992 | 0.0118 | 0.1162 | 0.0010 | 0.71 | 709 | 5 | 753 | 6 | 889 | 26 | Discordant | 6.2 | ||
23 | Ю-123/024 | 146 | 250 | 1.7 | 15.4154 | 0.0009 | 1.1197 | 0.0132 | 0.1252 | 0.0010 | 0.65 | 761 | 6 | 763 | 6 | 770 | 29 | 761 | 11 | 0.3 | ** |
24 | Ю-123/025 | 261 | 328 | 1.3 | 15.5448 | 0.0008 | 1.1051 | 0.0124 | 0.1246 | 0.0010 | 0.69 | 757 | 6 | 756 | 6 | 752 | 28 | 757 | 10 | -0.2 | ** |
25 | Ю-123/026 | 626 | 601 | 1.0 | 15.3633 | 0.0008 | 1.1526 | 0.0117 | 0.1285 | 0.0010 | 0.74 | 779 | 6 | 778 | 6 | 777 | 26 | 779 | 10 | -0.1 | ** |
26 | Ю-123/027 | 138 | 165 | 1.2 | 8.9190 | 0.0014 | 1.2471 | 0.0509 | 0.3300 | 0.0025 | 0.19 | 1838 | 12 | 1836 | 8 | 1834 | 22 | 3622 | 25 | -0.1 | ** |
27 | Ю-123/028 | 56 | 132 | 2.4 | 5.6954 | 0.0021 | 1.2471 | 0.1133 | 0.4902 | 0.0038 | 0.08 | 2572 | 16 | 2594 | 9 | 2612 | 19 | Discordant | 0.8 | ||
28 | Ю-123/029 | 77 | 122 | 1.6 | 6.4982 | 0.0018 | 1.2471 | 0.0939 | 0.4540 | 0.0035 | 0.10 | 2413 | 16 | 2400 | 9 | 2390 | 20 | Discordant | -0.6 | ||
29 | Ю-123/030 | 244 | 314 | 1.3 | 14.4425 | 0.0009 | 1.2240 | 0.0131 | 0.1283 | 0.0010 | 0.72 | 778 | 6 | 812 | 6 | 906 | 26 | Discordant | 4.3 | ||
30 | Ю-123/031 | 68 | 170 | 2.5 | 15.4440 | 0.0010 | 1.1284 | 0.0148 | 0.1265 | 0.0010 | 0.60 | 768 | 6 | 767 | 7 | 766 | 31 | 767 | 11 | -0.1 | ** |
31 | Ю-123/032 | 93 | 135 | 1.5 | 14.2227 | 0.0011 | 1.4210 | 0.0194 | 0.1467 | 0.0012 | 0.59 | 882 | 7 | 898 | 8 | 937 | 31 | 886 | 13 | 1.8 | ** |
32 | Ю-123/033 | 216 | 747 | 3.4 | 14.4279 | 0.0008 | 1.3773 | 0.0137 | 0.1442 | 0.0011 | 0.76 | 868 | 6 | 879 | 6 | 908 | 25 | 875 | 11 | 1.3 | ** |
33 | Ю-123/034 | 161 | 184 | 1.1 | 13.3779 | 0.0012 | 1.1380 | 0.0164 | 0.1105 | 0.0009 | 0.57 | 675 | 5 | 772 | 8 | 1062 | 32 | Discordant | 14.2 | ||
34 | Ю-123/035 | 290 | 496 | 1.7 | 13.7476 | 0.0009 | 1.4964 | 0.0155 | 0.1493 | 0.0011 | 0.74 | 897 | 6 | 929 | 6 | 1007 | 25 | Discordant | 3.6 | ||
35 | Ю-123/036 | 400 | 272 | 0.7 | 15.3822 | 0.0009 | 1.1145 | 0.0134 | 0.1244 | 0.0010 | 0.65 | 756 | 6 | 760 | 6 | 775 | 29 | 757 | 11 | 0.6 | ** |
36 | Ю-123/037 | 96 | 189 | 2.0 | 14.9858 | 0.0010 | 1.1694 | 0.0152 | 0.1272 | 0.0010 | 0.61 | 772 | 6 | 786 | 7 | 829 | 31 | 775 | 11 | 1.9 | ** |
37 | Ю-123/038 | 194 | 276 | 1.4 | 15.6494 | 0.0009 | 1.1067 | 0.0134 | 0.1257 | 0.0010 | 0.65 | 763 | 6 | 757 | 6 | 738 | 29 | 761 | 11 | -0.9 | ** |
38 | Ю-123/039 | 240 | 363 | 1.5 | 15.2625 | 0.0009 | 1.1291 | 0.0129 | 0.1251 | 0.0010 | 0.68 | 760 | 6 | 767 | 6 | 791 | 28 | 762 | 11 | 1.0 | ** |
39 | Ю-123/040 | 161 | 275 | 1.7 | 15.5087 | 0.0009 | 1.1116 | 0.0135 | 0.1251 | 0.0010 | 0.64 | 760 | 6 | 759 | 6 | 757 | 29 | 760 | 11 | -0.1 | ** |
40 | Ю-123/041 | 202 | 315 | 1.6 | 15.4131 | 0.0009 | 1.1189 | 0.0133 | 0.1251 | 0.0010 | 0.65 | 760 | 6 | 762 | 6 | 770 | 29 | 761 | 11 | 0.3 | ** |
41 | Ю-123/043 | 521 | 544 | 1.0 | 15.5473 | 0.0008 | 1.1045 | 0.0120 | 0.1246 | 0.0010 | 0.71 | 757 | 6 | 756 | 6 | 752 | 27 | 756 | 10 | -0.2 | ** |
42 | Ю-123/044 | 74 | 157 | 2.1 | 15.2393 | 0.0010 | 1.1426 | 0.0160 | 0.1264 | 0.0010 | 0.58 | 767 | 6 | 774 | 8 | 794 | 33 | 768 | 11 | 0.9 | ** |
43 | Ю-123/045 | 253 | 349 | 1.4 | 15.5015 | 0.0009 | 1.1126 | 0.0133 | 0.1252 | 0.0010 | 0.65 | 760 | 6 | 759 | 6 | 758 | 29 | 760 | 11 | -0.1 | ** |
44 | Ю-123/046 | 240 | 332 | 1.4 | 15.6201 | 0.0009 | 1.0866 | 0.0133 | 0.1232 | 0.0010 | 0.64 | 749 | 6 | 747 | 6 | 742 | 30 | 748 | 11 | -0.2 | ** |
45 | Ю-123/047 | 212 | 322 | 1.5 | 15.5255 | 0.0009 | 1.0872 | 0.0130 | 0.1225 | 0.0010 | 0.65 | 745 | 6 | 747 | 6 | 755 | 29 | 746 | 11 | 0.3 | ** |
46 | Ю-123/048 | 216 | 309 | 1.4 | 15.4560 | 0.0009 | 1.1320 | 0.0135 | 0.1270 | 0.0010 | 0.65 | 770 | 6 | 769 | 6 | 764 | 29 | 770 | 11 | -0.2 | ** |
47 | Ю-123/049 | 358 | 496 | 1.4 | 15.6031 | 0.0009 | 1.0595 | 0.0127 | 0.1200 | 0.0009 | 0.64 | 730 | 5 | 734 | 6 | 744 | 29 | 731 | 10 | 0.4 | ** |
48 | Ю-123/050 | 76 | 106 | 1.4 | 16.0488 | 0.0012 | 0.7931 | 0.0140 | 0.0924 | 0.0008 | 0.48 | 570 | 5 | 593 | 8 | 685 | 40 | Discordant | 4.1 | ||
49 | Ю-123/051 | 169 | 282 | 1.7 | 7.7018 | 0.0016 | 4.7504 | 0.0491 | 0.2655 | 0.0020 | 0.74 | 1518 | 10 | 1776 | 9 | 2096 | 22 | Discordant | 17.0 | ||
50 | Ю-123/052 | 216 | 316 | 1.5 | 15.3846 | 0.0009 | 1.0912 | 0.0132 | 0.1218 | 0.0010 | 0.64 | 741 | 6 | 749 | 6 | 774 | 29 | 743 | 11 | 1.1 | ** |
51 | Ю-123/053 | 315 | 397 | 1.3 | 8.3292 | 0.0015 | 3.5816 | 0.0372 | 0.2165 | 0.0017 | 0.74 | 1263 | 9 | 1546 | 8 | 1957 | 22 | Discordant | 22.4 | ||
52 | Ю-123/054 | 112 | 219 | 2.0 | 8.4154 | 0.0016 | 2.2363 | 0.0257 | 0.1366 | 0.0011 | 0.69 | 825 | 6 | 1192 | 8 | 1939 | 24 | Discordant | 44.5 | ||
53 | Ю-123/055 | 253 | 375 | 1.5 | 15.4799 | 0.0009 | 1.1434 | 0.0134 | 0.1284 | 0.0010 | 0.66 | 779 | 6 | 774 | 6 | 762 | 29 | 777 | 11 | -0.6 | ** |
54 | Ю-123/056 | 341 | 505 | 1.5 | 15.5569 | 0.0009 | 1.1067 | 0.0125 | 0.1249 | 0.0010 | 0.68 | 759 | 6 | 757 | 6 | 751 | 28 | 758 | 11 | -0.3 | ** |
55 | Ю-123/057 | 126 | 233 | 1.8 | 5.2482 | 0.0023 | 11.9150 | 0.1208 | 0.4538 | 0.0035 | 0.76 | 2412 | 16 | 2598 | 10 | 2747 | 20 | Discordant | 7.7 | ||
56 | Ю-123/058 | 353 | 504 | 1.4 | 13.5044 | 0.0012 | 1.3887 | 0.0209 | 0.1361 | 0.0011 | 0.55 | 822 | 6 | 884 | 9 | 1043 | 34 | Discordant | 7.5 | ||
57 | Ю-123/059 | 121 | 222 | 1.8 | 15.3894 | 0.0010 | 1.1184 | 0.0148 | 0.1249 | 0.0010 | 0.60 | 759 | 6 | 762 | 7 | 774 | 31 | 760 | 11 | 0.5 | ** |
58 | Ю-123/060 | 324 | 347 | 1.1 | 15.4847 | 0.0009 | 1.0984 | 0.0133 | 0.1234 | 0.0010 | 0.64 | 750 | 6 | 753 | 6 | 761 | 29 | 751 | 11 | 0.3 | ** |
59 | Ю-123/061 | 70 | 120 | 1.7 | 15.2602 | 0.0018 | 1.1520 | 0.0300 | 0.1276 | 0.0011 | 0.32 | 774 | 6 | 778 | 14 | 791 | 56 | 774 | 12 | 0.5 | ** |
60 | Ю-123/062 | 233 | 404 | 1.7 | 15.9974 | 0.0009 | 1.2471 | 0.0129 | 0.1245 | 0.0010 | 0.75 | 756 | 6 | 740 | 6 | 692 | 29 | Discordant | -2.2 | ||
61 | Ю-123/063 | 116 | 387 | 3.3 | 10.3648 | 0.0012 | 1.2471 | 0.0383 | 0.2672 | 0.0021 | 0.25 | 1527 | 10 | 1539 | 8 | 1557 | 24 | Discordant | 0.8 | ||
62 | Ю-123/064 | 384 | 727 | 1.9 | 14.2572 | 0.0009 | 1.4596 | 0.0163 | 0.1510 | 0.0012 | 0.69 | 907 | 6 | 914 | 7 | 932 | 27 | 910 | 12 | 0.8 | ** |
63 | Ю-123/065 | 360 | 319 | 0.9 | 15.0602 | 0.0010 | 1.1382 | 0.0142 | 0.1244 | 0.0010 | 0.63 | 756 | 6 | 772 | 7 | 819 | 30 | 760 | 11 | 2.1 | ** |
64 | Ю-123/066 | 179 | 1297 | 7.2 | 14.9232 | 0.0009 | 1.3322 | 0.0143 | 0.1443 | 0.0011 | 0.72 | 869 | 6 | 860 | 6 | 838 | 26 | 864 | 12 | -1.0 | ** |
65 | Ю-123/067 | 163 | 2454 | 15.1 | 14.8721 | 0.0008 | 1.2774 | 0.0135 | 0.1378 | 0.0010 | 0.72 | 832 | 6 | 836 | 6 | 845 | 26 | 834 | 11 | 0.4 | ** |
66 | Ю-123/068 | 141 | 322 | 2.3 | 14.5264 | 0.0012 | 1.1374 | 0.0174 | 0.1199 | 0.0010 | 0.54 | 730 | 6 | 771 | 8 | 894 | 35 | Discordant | 5.7 | ||
67 | Ю-123/069 | 385 | 316 | 0.8 | 14.9970 | 0.0010 | 1.0744 | 0.0136 | 0.1169 | 0.0009 | 0.62 | 713 | 5 | 741 | 7 | 828 | 30 | Discordant | 3.9 | ||
68 | Ю-123/070 | 15 | 327 | 21.9 | 4.9142 | 0.0026 | 1.2471 | 0.1644 | 0.5561 | 0.0043 | 0.06 | 2850 | 18 | 2852 | 10 | 2854 | 20 | Discordant | 0.1 | ||
69 | Ю-123/071 | 131 | 239 | 1.8 | 15.5231 | 0.0010 | 1.1171 | 0.0150 | 0.1258 | 0.0010 | 0.59 | 764 | 6 | 762 | 7 | 755 | 32 | 763 | 11 | -0.3 | ** |
70 | Ю-123/072 | 428 | 3122 | 7.3 | 15.0331 | 0.0008 | 1.0978 | 0.0118 | 0.1198 | 0.0009 | 0.71 | 729 | 5 | 752 | 6 | 823 | 27 | Discordant | 3.2 | ||
71 | Ю-123/073 | 284 | 349 | 1.2 | 15.3421 | 0.0010 | 1.0834 | 0.0137 | 0.1206 | 0.0010 | 0.62 | 734 | 6 | 745 | 7 | 780 | 30 | 737 | 11 | 1.5 | ** |
72 | Ю-123/074 | 197 | 252 | 1.3 | 13.6575 | 0.0010 | 1.6730 | 0.0209 | 0.1658 | 0.0013 | 0.63 | 989 | 7 | 998 | 8 | 1020 | 29 | 992 | 14 | 1.0 | ** |
73 | Ю-123/075 | 214 | 394 | 1.8 | 14.5054 | 0.0010 | 1.3472 | 0.0164 | 0.1418 | 0.0011 | 0.64 | 855 | 6 | 866 | 7 | 897 | 28 | 859 | 12 | 1.4 | ** |
74 | Ю-123/076 | 157 | 254 | 1.6 | 15.8479 | 0.0010 | 1.2471 | 0.0145 | 0.1243 | 0.0010 | 0.68 | 755 | 6 | 744 | 7 | 712 | 32 | Discordant | -1.5 | ||
75 | Ю-123/077 | 110 | 209 | 1.9 | 13.7382 | 0.0011 | 1.2521 | 0.0170 | 0.1248 | 0.0010 | 0.59 | 758 | 6 | 824 | 8 | 1008 | 31 | Discordant | 8.7 | ||
76 | Ю-123/078 | 990 | 659 | 0.7 | 14.3308 | 0.0010 | 1.3348 | 0.0156 | 0.1388 | 0.0011 | 0.67 | 838 | 6 | 861 | 7 | 922 | 28 | Discordant | 2.7 | ||
77 | Ю-123/079 | 139 | 219 | 1.6 | 15.1883 | 0.0010 | 1.1018 | 0.0153 | 0.1214 | 0.0010 | 0.58 | 739 | 6 | 754 | 7 | 801 | 32 | 742 | 11 | 2.1 | ** |
78 | Ю-123/080 | 78 | 162 | 2.1 | 15.1263 | 0.0011 | 1.0996 | 0.0162 | 0.1207 | 0.0010 | 0.55 | 735 | 6 | 753 | 8 | 810 | 34 | 738 | 11 | 2.5 | ** |
79 | Ю-123/081 | 190 | 204 | 1.1 | 14.4175 | 0.0011 | 1.3382 | 0.0184 | 0.1400 | 0.0011 | 0.59 | 845 | 6 | 862 | 8 | 910 | 32 | 849 | 12 | 2.1 | ** |
80 | Ю-123/082 | 142 | 295 | 2.1 | 15.0784 | 0.0010 | 1.1917 | 0.0157 | 0.1304 | 0.0010 | 0.60 | 790 | 6 | 797 | 7 | 817 | 31 | 792 | 12 | 0.8 | ** |
81 | Ю-123/083 | 275 | 353 | 1.3 | 15.5594 | 0.0010 | 1.0825 | 0.0141 | 0.1222 | 0.0010 | 0.61 | 743 | 6 | 745 | 7 | 750 | 31 | 744 | 11 | 0.2 | ** |
82 | Ю-123/084 | 396 | 455 | 1.2 | 6.9633 | 0.0020 | 2.7957 | 0.0329 | 0.1413 | 0.0011 | 0.67 | 852 | 6 | 1354 | 9 | 2271 | 24 | Discordant | 59.0 | ||
83 | Ю-123/085 | 1164 | 1248 | 1.1 | 15.0534 | 0.0009 | 0.9720 | 0.0114 | 0.1062 | 0.0008 | 0.67 | 650 | 5 | 690 | 6 | 820 | 28 | Discordant | 6.0 | ||
84 | Ю-123/086 | 437 | 433 | 1.0 | 15.2207 | 0.0010 | 1.0986 | 0.0143 | 0.1213 | 0.0010 | 0.61 | 738 | 6 | 753 | 7 | 797 | 31 | 741 | 11 | 2.0 | ** |
85 | Ю-123/087 | 344 | 433 | 1.3 | 15.5642 | 0.0010 | 1.0752 | 0.0138 | 0.1214 | 0.0010 | 0.61 | 739 | 6 | 741 | 7 | 750 | 31 | 739 | 11 | 0.3 | ** |
86 | Ю-123/088 | 1314 | 2598 | 2.0 | 8.9558 | 0.0015 | 2.8955 | 0.0330 | 0.1882 | 0.0015 | 0.68 | 1111 | 8 | 1381 | 9 | 1826 | 24 | Discordant | 24.2 | ||
87 | Ю-123/089 | 42 | 68 | 1.6 | 7.4278 | 0.0020 | 1.2471 | 0.0950 | 0.3959 | 0.0033 | 0.11 | 2150 | 15 | 2154 | 12 | 2159 | 26 | 3893 | 25 | 0.2 | ** |
88 | Ю-123/090 | 94 | 470 | 5.0 | 14.9120 | 0.0010 | 1.2004 | 0.0152 | 0.1299 | 0.0010 | 0.62 | 787 | 6 | 801 | 7 | 840 | 30 | 791 | 11 | 1.7 | ** |
89 | Ю-123/091 | 177 | 333 | 1.9 | 7.8722 | 0.0018 | 1.2471 | 0.0775 | 0.3726 | 0.0029 | 0.13 | 2042 | 14 | 2049 | 10 | 2057 | 24 | 3802 | 25 | 0.4 | ** |
90 | Ю-123/092 | 66 | 131 | 2.0 | 3.6947 | 0.0046 | 2.5605 | 0.0382 | 0.0686 | 0.0006 | 0.63 | 428 | 4 | 1289 | 11 | 3310 | 27 | Discordant | 201.3 | ||
91 | Ю-123/093 | 442 | 483 | 1.1 | 14.5624 | 0.0010 | 1.3142 | 0.0168 | 0.1389 | 0.0011 | 0.62 | 838 | 6 | 852 | 7 | 889 | 30 | 842 | 12 | 1.6 | ** |
92 | Ю-123/094 | 577 | 786 | 1.4 | 14.0746 | 0.0010 | 1.3660 | 0.0169 | 0.1395 | 0.0011 | 0.64 | 842 | 6 | 874 | 7 | 959 | 29 | Discordant | 3.9 | ||
93 | Ю-123/095 | 16 | 10 | 0.6 | 1.3456 | 0.0124 | 55.6429 | 2.2306 | 0.5433 | 0.0214 | 0.98 | 2797 | 89 | 4099 | 40 | 4817 | 24 | Discordant | 46.5 | ||
94 | Ю-123/096 | 272 | 361 | 1.3 | 14.8104 | 0.0010 | 1.1380 | 0.0154 | 0.1223 | 0.0010 | 0.59 | 744 | 6 | 772 | 7 | 854 | 32 | Discordant | 3.7 | ||
95 | Ю-123/097 | 164 | 229 | 1.4 | 14.7754 | 0.0011 | 1.3285 | 0.0188 | 0.1424 | 0.0012 | 0.58 | 858 | 6 | 858 | 8 | 859 | 33 | 858 | 13 | -0.0 | ** |
96 | Ю-123/098 | 164 | 263 | 1.6 | 14.5476 | 0.0011 | 1.2025 | 0.0170 | 0.1270 | 0.0010 | 0.58 | 770 | 6 | 802 | 8 | 891 | 32 | Discordant | 4.1 | ||
97 | Ю-123/099 | 230 | 316 | 1.4 | 14.9611 | 0.0011 | 1.0317 | 0.0152 | 0.1120 | 0.0009 | 0.56 | 684 | 5 | 720 | 8 | 833 | 34 | Discordant | 5.2 | ||
98 | Ю-123/100 | 213 | 289 | 1.4 | 15.0376 | 0.0010 | 1.2471 | 0.0184 | 0.1455 | 0.0012 | 0.54 | 876 | 7 | 860 | 8 | 822 | 32 | Discordant | -1.8 | ||
99 | Ю-123/101 | 292 | 460 | 1.6 | 15.3846 | 0.0010 | 1.1151 | 0.0151 | 0.1245 | 0.0010 | 0.59 | 756 | 6 | 761 | 7 | 774 | 32 | 757 | 11 | 0.6 | ** |
100 | Ю-123/102 | 246 | 351 | 1.4 | 15.5207 | 0.0010 | 1.0857 | 0.0152 | 0.1223 | 0.0010 | 0.58 | 744 | 6 | 746 | 7 | 756 | 33 | 744 | 11 | 0.4 | ** |
101 | Ю-123/103 | 117 | 342 | 2.9 | 7.7101 | 0.0019 | 4.0077 | 0.0511 | 0.2242 | 0.0018 | 0.63 | 1304 | 10 | 1636 | 10 | 2094 | 26 | Discordant | 25.4 | ||
102 | Ю-123/104 | 597 | 1367 | 2.3 | 14.5836 | 0.0010 | 1.3427 | 0.0170 | 0.1421 | 0.0011 | 0.63 | 856 | 6 | 864 | 7 | 886 | 30 | 859 | 12 | 0.9 | ** |
103 | Ю-123/105 | 100 | 187 | 1.9 | 15.2858 | 0.0011 | 1.1070 | 0.0172 | 0.1228 | 0.0010 | 0.54 | 747 | 6 | 757 | 8 | 788 | 36 | 748 | 12 | 1.4 | ** |
104 | Ю-123/106 | 79 | 155 | 2.0 | 5.9492 | 0.0027 | 1.2471 | 0.1577 | 0.4843 | 0.0042 | 0.07 | 2546 | 18 | 2541 | 13 | 2539 | 26 | Discordant | -0.2 | ||
105 | Ю-123/107 | 500 | 1007 | 2.0 | 14.5012 | 0.0010 | 1.3508 | 0.0174 | 0.1421 | 0.0011 | 0.62 | 856 | 6 | 868 | 8 | 898 | 30 | 860 | 12 | 1.3 | ** |
106 | Ю-123/108 | 11 | 48 | 4.3 | 2.5134 | 0.0081 | 5.2431 | 0.0933 | 0.0956 | 0.0011 | 0.65 | 589 | 6 | 1860 | 15 | 3901 | 30 | Discordant | 215.9 | ||
107 | Ю-123/109 | 269 | 354 | 1.3 | 15.8705 | 0.0010 | 1.2471 | 0.0155 | 0.1248 | 0.0010 | 0.65 | 758 | 6 | 745 | 8 | 708 | 34 | Discordant | -1.7 | ||
108 | Ю-123/110 | 194 | 293 | 1.5 | 15.1492 | 0.0011 | 1.1063 | 0.0162 | 0.1216 | 0.0010 | 0.56 | 740 | 6 | 756 | 8 | 807 | 34 | 743 | 11 | 2.2 | ** |
109 | Ю-123/111 | 251 | 207 | 0.8 | 14.0667 | 0.0012 | 1.3597 | 0.0204 | 0.1388 | 0.0011 | 0.55 | 838 | 6 | 872 | 9 | 960 | 34 | Discordant | 4.1 | ||
110 | Ю-123/112 | 429 | 806 | 1.9 | 13.7400 | 0.0011 | 1.6244 | 0.0216 | 0.1620 | 0.0013 | 0.60 | 968 | 7 | 980 | 8 | 1008 | 30 | 971 | 14 | 1.2 | ** |
111 | Ю-123/113 | 167 | 930 | 5.6 | 13.4138 | 0.0011 | 1.2471 | 0.0240 | 0.1765 | 0.0014 | 0.42 | 1048 | 8 | 1050 | 9 | 1056 | 30 | Discordant | 0.2 | ||
112 | Ю-123/114 | 110 | 164 | 1.5 | 9.2721 | 0.0017 | 1.2471 | 0.0622 | 0.3033 | 0.0025 | 0.16 | 1708 | 12 | 1732 | 12 | 1763 | 28 | 3495 | 28 | 1.4 | ** |
113 | Ю-123/115 | 338 | 753 | 2.2 | 13.6110 | 0.0011 | 1.6286 | 0.0219 | 0.1608 | 0.0013 | 0.60 | 962 | 7 | 981 | 8 | 1027 | 30 | 967 | 14 | 2.1 | ** |
114 | Ю-123/116 | 140 | 257 | 1.8 | 15.5763 | 0.0011 | 1.0548 | 0.0168 | 0.1192 | 0.0010 | 0.54 | 726 | 6 | 731 | 8 | 748 | 36 | 727 | 11 | 0.7 | ** |
115 | Ю-123/117 | 154 | 294 | 1.9 | 14.7167 | 0.0011 | 1.3717 | 0.0201 | 0.1465 | 0.0012 | 0.56 | 881 | 7 | 877 | 9 | 867 | 34 | 880 | 13 | -0.5 | ** |
116 | Ю-123/118 | 153 | 268 | 1.8 | 15.1999 | 0.0011 | 1.0886 | 0.0166 | 0.1201 | 0.0010 | 0.54 | 731 | 6 | 748 | 8 | 800 | 35 | 734 | 11 | 2.3 | ** |
117 | Ю-123/119 | 127 | 248 | 2.0 | 15.5280 | 0.0012 | 1.0457 | 0.0177 | 0.1178 | 0.0010 | 0.50 | 718 | 6 | 727 | 9 | 755 | 39 | 719 | 11 | 1.2 | ** |
118 | Ю-123/120 | 168 | 312 | 1.9 | 15.2486 | 0.0011 | 1.0760 | 0.0162 | 0.1191 | 0.0010 | 0.55 | 725 | 6 | 742 | 8 | 793 | 35 | 728 | 11 | 2.3 | ** |
Примечание. Rho – коэффициент корреляции между ошибками отношений 207Pb/235U–206Pb/238U: Rho = (σ(206Pb/238U)/(206Pb/238U))/(σ(207Pb/235U)/(207Pb/235U)), где σ – относительная ошибка того или иного отношения (Gerdes, Zeh, 2006; Powerman et al., 2021); CA – конкордантный возраст (Ludwig, 2008), D – дискордантность, вычислялась по формуле (Возраст(206Pb/238U)/Возраст(206Pb/207Pb)×100) – 100%. (**) – для построения кривой относительной вероятности цирконов и вычисления ее пиков использовались только те значения возрастов, которые характеризуются конкордантным возрастом (СА), при этом в них значения показателя дискордантности составляли не более 10%, а ошибка значений отношения возрастов 206Pb/238U и 207Pb/235U не более 3%.
ОБСУЖДЕНИЕ РЕЗУЛЬТАТОВ ИССЛЕДОВАНИЙ
Прежде всего обратимся к интерпретации результатов геохимических исследований. Для реконструкции основных источников сноса кластического материала в настоящее время разработана серия дискриминационных диаграмм (Bhatia, Crook, 1986; Floyd, Leveridge, 1987; Wronkiewicz, Condie, 1987; Тейлор, Мак-Леннан, 1988; Cullers, 2002 и др.). Среди них наиболее информативными являются диаграммы, в основе которых лежат содержания и соотношения микроэлементов, наименее подверженные вариациям при постседиментационных процессах.
Положение фигуративных точек состава осадочных пород надаровской и нортуйской свит на диаграмме La/Sc–Th/Co (Cullers, 2002) свидетельствует о присутствии в области сноса кислых магматических пород (рис. 8а). Данный вывод согласуется с доминированием в изученных образцах осадочных пород обломков кварца и полевых шпатов и присутствием среди акцессорных минералов сиалических разностей (циркон, гранат и апатит).
Рис. 8. Диаграммы La/Sc–Th/Co (Cullers, 2002) (а), Rb–K (Floyd, Leveridge, 1987) (б), Th–La–Sc (Cullers, 2002) (в) для осадочных пород надаровской и нортуйской свит Аргунского континентального массива
1 – алевролиты надаровской свиты; 2 – песчаники надаровской свиты; 3 – песчаники урулюнгуйской свиты (Смирнова и др., 2022); 4 – песчаники, алевропесчаники и алевролиты дырбылкейской свиты (Смирнова и др., 2022); 5 – алевролиты песчанистые нортуйской свиты
На диаграмме Rb–K (Floyd, Leveridge, 1987) фигуративные точки состава песчанистых алевролитов нортуйской свиты и алевролитов надаровской свиты лежат компактно в поле пород, источниками которых являются образования кислого и среднего состава (рис. 8б). Песчаники надаровской свиты характеризуются значительными вариациями содержаний K и Rb и попадают в поле пород, сформированных за счет размыва образований кислого, среднего и основного состава.
На смешанный состав исходных пород также указывают вариации микроэлементов, лежащих в основе диаграммы La–Th–Sc (Cullers, 2002) (рис. 8в). Значительное сходство по геохимическому составу осадочных пород надаровской и нортуйской свит с ранее изученными породами урулюнгуйской и дырбылкейской свит даурской серии свидетельствует о единых источниках сноса исходного материала для них (рис. 8).
Для выявления состава исходных пород также использовалась серия диаграмм Th–La, La–Th/Sc, Hf–La/Th, Co/Ni–Cr/Ni, [La/Yb]n–Eu/Eu* и [La/Yb]n–Ybn, на которых в качестве геохимических “эталонов” вынесены средние составы протерозойского гранита, позднепротерозойского андезита и позднепротерозойского базальта по данным (Condie, 1993). Осадочные породы надаровской и нортуйской свит на диаграммах, представленных на рис. 9, соответствуют отложениям, накопление которых происходило за счет размыва различных по кремнекислотности исходных пород.
Рис. 9. Диаграммы Th–La (а), La–Th/Sc (б), Hf–La/Th (в), Co/Ni–Cr/Ni (г), [La/Yb]n–Eu/Eu* (д), [La/Yb]n–Ybn (е) для осадочных пород надаровской и нортуйской свит Аргунского континентального массива
1 – алевролиты надаровской свиты; 2 – песчаники надаровской свиты; 3 – песчанистые алевролиты нортуйской свиты; 4–6 – состав по (Condie, 1993): 4 – протерозойские граниты, 5 – позднепротерозойские андезиты, 6 – позднепротерозойские базальты; 7 – поле состава позднепротерозойских образований Аргунского массива (Gou et al., 2013; Tang et al., 2013; Liu et al., 2020; Feng et al., 2022)
Для алевролитов надаровской свиты типичны наиболее низкие значения величины εNd(t) = –6.6 при раннепротерозойских значениях Nd-модельного возраста (tNd(DM) = 2.0 млрд лет), которые наиболее близки оценкам εNd(t) = –6.1…–5.4 и tNd(DM) = 2.2–2.0 млрд лет, выявленным ранее для песчаников урулюнгуйской свиты даурской серии (Смирнова и др., 2022) (рис. 6). Для алевролитов нортуйской свиты и осадочных пород дырбылкейской свиты даурской серии также установлены близкие значения величин εNd(t) и tNd(DM) (εNd(t) = –3.5, tNd(DM) = 1.8 млрд лет и εNd(t) = –4.2…–2.3, tNd(DM) = 1.9 – 1.7 млрд лет соответственно; Смирнова и др., 2022). Эти данные подтверждают ранее сделанный вывод о единстве источников сноса для осадочных пород рифейского возраста Аргунского массива. В качестве одного из поставщиков кластического материала для изученных осадочных пород даурской серии можно рассматривать позднерифейские гранитогнейсы массива Ухусишань (Wuhuxishan, входит в состав Аргунского континентального массива), характеризующиеся близкими значениями показателя εNd(t) = –2.3…–0.9 и палеопротерозойскими величинами Nd-модельного возраста (tNd(DM) = 1.8–1.6 млрд лет; Liu et al., 2020) (рис. 6). Вопрос об областях сноса для пород надаровской свиты, характеризующихся более древним Nd-модельным возрастом, открыт, так как в настоящее время отсутствуют данные, подтверждающие участие образований в структуре Аргунского массива с Nd-модельным возрастом tNd(DM) = 2.2–2.0 млрд лет.
В свою очередь, результаты U–Th–Pb датирования зерен детритового циркона позволили получить информацию о нижней возрастной границе накопления осадочных пород надаровской и нортуйской свит: так, наиболее молодые группы циркона из алевролитов этих свит имеют позднерифейский возраст (~775 и ~744 млн лет соответственно). Полученные данные противоречат принятому среднерифейскому возрасту надаровской свиты (Шивохин и др., 2010).
При сравнении возрастов наиболее молодых зерен циркона из отложений надаровской, дырбылкейской и нортуйской свит стоит отметить для них определенную последовательность. В алевролитах надаровской свиты, песчаниках дырбылкейской свиты и алевролитах нортуйской свиты пики на кривых относительной вероятности возрастов зерен детритового циркона составляют ~775, ~771 и ~744 млн лет соответственно (рис. 10). В то время как для песчаников урулюнгуйской свиты даурской серии получено наиболее древнее значение нижней возрастной границы накопления ~899 млн лет (Смирнова и др., 2022). Учитывая, что урулюнгуйская свита не охарактеризована органическими остатками (Шивохин и др., 2010), контакты между надаровской и урулюнгуйской свитами несогласные и в песчаниках отсутствуют зерна циркона позднерифейского возраста (Смирнова и др., 2022), выявленные в алевролитах надаровской свиты, не исключено, что накопление осадочных пород урулюнгуйской свиты происходило на более раннем этапе развития Аргунского массива и предшествовало формированию осадочных пород надаровской свиты.
Рис. 10. Кривые относительной вероятности возрастов зерен детритового циркона из (а) песчанистого алевролита нортуйской свиты (обр. Ю-123), (б) песчаника дырбылкейской свиты (обр. Ю-115-2) (Смирнова и др., 2022), (в) песчаника урулюнгуйской свиты (обр. Ю-112) (Смирнова и др., 2022), (г) алевролита надаровской свиты (обр. Ю-117) Аргунского континентального массива
Доминирующая часть зерен циркона в терригенных отложениях надаровской и нортуйской свит имеет позднерифейский возраст. Их источниками, вероятно, являлись позднерифейские образования, достаточно широко распространенные на территории Китая в пределах Аргунского континентального массива (Wu et al., 2011; Gou et al., 2013; Tang et al., 2013; Yang et al., 2017; Liu et al., 2020; Feng et al., 2022 и др.). Данному выводу не противоречит сходство по геохимическому составу осадочных пород нортуйской, надаровской свит и позднерифейских магматических образований Аргунского массива (рис. 9). Также в качестве источников сноса кластического материла, по-видимому, стоит рассматривать образования бухотуйского гранитового и уртуйского базальт-риолитового комплексов. Однако отсутствие данных об их микроэлементном и Nd-изотопном составе в настоящее время не позволяет сделать более точные выводы.
Кроме того, в изученных отложениях присутствуют в незначительном количестве цирконы ранне-, среднерифейского и архейского возраста. Вопрос об их источниках открыт, так как до сих пор в структуре Аргунского массива не выявлены с помощью современных геохронологических методов исследований образования данного возраста. Источниками раннепротерозойской группы зерен циркона, по-видимому, стоит рассматривать раннепротерозойские гранитогнейсы Аргунского массива, характеризующиеся возрастом 1.84 млрд лет (Feng et al., 2022).
Геохимические особенности осадочных пород надаровской и нортуйской свит, в совокупности с их гранулометрическим составом, слабой степенью окатанности обломочного материала и присутствием значительного количества детритового циркона позднепротерозойского возраста, свидетельствуют об активном тектоническом режиме накопления верхнепротерозойских осадочных пород северо-западной части Аргунского континентального массива.
ВЫВОДЫ
Полученные в результате исследований данные позволяют сформулировать следующие выводы:
- Особенности микроэлементного состава осадочных пород надаровской и нортуйской свит, в совокупности с их преимущественно аркозовым составом, доминированием среди обломков кварца и полевых шпатов, а также присутствием сиалических акцессорных минералов (циркон, гранат и апатит), свидетельствуют о том, что источниками кластического материала для отложений являлись магматические породы кислого состава при незначительном вкладе образований среднего и основного состава.
- Осадочные породы надаровской и нортуйской свит характеризуются раннепротерозойскими значениями Nd-модельного возраста (tNd(DM) = 2.0–1.8 млрд лет) при отрицательных величинах εNd(t) = –6.6…–3.5, что указывает на присутствие в области сноса образований раннепротерозойского возраста и/или более молодых изверженных пород, исходные расплавы которых сформировались за счет переработки континентальной коры раннепротерозойского возраста.
- По данным U–Th–Pb датирования зерен циркона установлено, что их доминирующая часть в алевролитах надаровской и нортуйской свит имеет позднерифейский возраст. Основными их источниками, по-видимому, являлись позднерифейские магматические комплексы Аргунского массива. В качестве дополнительных источников сноса кластического материала стоит рассматривать раннепротерозойские образования, выявленные в последние годы в строении Аргунского массива на территории Китая.
- Нижняя возрастная граница накопления терригенных отложений надаровской и нортуйской свит приходится на поздний рифей (~775 и ~744 млн лет соответственно).
Благодарности. Авторы благодарят сотрудников ЦКП “Амурский центр минералого-геохимических исследований” ИГиП ДВО РАН: А.С. Сегренёва, Е.С. Сапожник, Е.В. Ушакову, Е.Н. Воропаеву, О.Г. Медведеву, сотрудников ЦКП “Изотопно-геохимические исследования” ИГХ СО РАН: О.В. Зарубину, Н.В. Брянского, Т.Н. Галкину, а также персонал ЦКП “Геоспектр” ГИН СО РАН (г. Улан-Удэ) за проведение аналитических исследований. Авторы признательны рецензентам А.Б. Котову, В.Н. Подковырову и В.П. Ковачу за конструктивные замечания и дискуссию.
Источники финансирования. Исследования выполнены в рамках фундаментальных исследований ИГиП ДВО РАН (№ 122041800127-8 “Геодинамические обстановки, основные этапы тектонической эволюции и металлогения восточной части Центрально-Азиатского складчатого пояса”).
About the authors
Yu. N. Smirnova
Institute of Geology and Nature Management of FEB RAS
Author for correspondence.
Email: smirnova@ascnet.ru
Russian Federation, Blagoveshchensk
A. V. Kurilenko
Dobretsov Geological Institute of SB RAS; A.P. Karpinsky Russian Geological Research Institute
Email: smirnova@ascnet.ru
Russian Federation, Ulan-Ude; St. Petersburg
S. I. Dril
Vinogradov Institute of Geochemistry of SB RAS
Email: smirnova@ascnet.ru
Russian Federation, Irkutsk
V. B. Khubanov
Dobretsov Geological Institute of SB RAS
Email: smirnova@ascnet.ru
Russian Federation, Ulan-Ude
References
- Голубев В.Н., Чернышев И.В., Котов А.Б., Сальникова Е.Б., Гольцман Ю.В., Баирова Э.Д., Яковлева С.З. Стрельцовский урановорудный район: изотопно-геохронологическая (U–Pb, Rb–Sr и Sm–Nd) характеристика гранитоидов и их место в истории формирования урановых месторождений // Геология рудных месторождений. 2010. Т. 52. № 6. С. 553–571.
- Гордиенко И.В., Метелкин Д.В., Ветлужских Л.И. Строение Монголо-Охотского складчатого пояса и проблема выделения Амурского микроконтинента // Геология и геофизика. 2019. Т. 60. № 3. С. 318–341.
- Котов А.Б., Сорокин А.А., Сальникова Е.Б., Сорокин А.П., Ларин А.М., Великославинский С.Д., Беляков Т.В., Анисимова И.В., Яковлева С.З. Мезозойский возраст гранитоидов бекетского комплекса (Гонжинский блок Аргунского террейна Центрально-Азиатского складчатого пояса) // Докл. АН. 2009. Т. 429. № 6. С. 779–783.
- Котов А.Б., Мазукабзов А.М., Сковитина Т.М., Великославинский С.Д., Сорокин А.А., Сорокин А.П. Структурная эволюция и геодинамическая позиция Гонжинского блока (Верхнее Приамурье) // Геотектоника. 2013. № 5. С. 48–60.
- Лыхин Д.А., Пресняков С.Л., Некрасов Г.Е., Руженцев С.В., Голионко Б.Г., Балашова Ю.С. Вопросы геодинамики области сочленения Агинской и Аргунской зон Забайкалья (данные U–Pb SHRIMP-датирования пород Цугольского габбро-плагиогранитного массива) // Докл. АН. 2007. Т. 417. № 5. С. 668–672.
- Озерский А.Ф., Винниченко Е.Л. Государственная геологическая карта Российской Федерации масштаба 1 : 200000. Издание второе. Приаргунская серия. Лист М-50-XVII (Краснокаменск). Ред. Старченко В.В. СПб.: ВСЕГЕИ, 2002.
- Павлова В.В., Грознова Т.Н., Афанасов М.Н., Платонов Е.Г., Лейкум М.С. Государственная геологическая карта Российской Федерации масштаба 1 : 200000. Издание второе. Приаргунская серия. Лист М-50-XVI. Ред. Амантов В.А. СПб.: ВСЕГЕИ, 2001.
- Петрук Н.Н., Козлов С.А. Государственная геологическая карта Российской Федерации масштаба 1 : 1000000. Третье поколение. Дальневосточная серия. Лист N-51 (Сковородино). Ред. Вольский А.С. СПб.: ВСЕГЕИ, 2009.
- Петтиджон Ф. Дж., Поттер П., Сивер Р.М. Пески и песчаники. М.: Мир, 1976. 535 с.
- Сальникова Е.Б., Котов А.Б., Ковач В.П., Великославинский С.Д., Джан Б.-М., Сорокин А.А., Сорокин А.П., Ван К.-Л., Чан С.-Л., Ли Х.-Я., Толмачева Е.В. О возрасте гонжинской серии (Аргунский террейн Центрально-Азиатского складчатого пояса): результаты U–Pb и Lu–Hf-изотопных исследований детритовых цирконов // Докл. АН. 2012. Т. 444. № 5. С. 519–522.
- Смирнова Ю.Н., Сорокин А.А. Возраст и обстановки формирования чаловской серии ордовика Аргунского массива, восточная часть Центрально-Азиатского складчатого пояса // Стратиграфия. Геол. корреляция. 2019. Т. 27. № 3. С. 3–23.
- Смирнова Ю.Н., Овчинников Р.О., Смирнов Ю.В., Дриль С.И. Источники кластического материала и условия накопления осадочных пород даурской серии Аргунского континентального массива // Тихоокеанская геология. 2022. Т. 41. № 1. С. 13–31.
- Сорокин А.А., Смирнов Ю.В., Котов А.Б., Сальникова Е.Б., Сорокин А.П., Ковач В.П., Яковлева С.З., Анисимова И.В. Раннепалеозойский возраст исагачинской толщи чаловской серии Гонжинского террейна (восточная часть Центрально-Азиатского складчатого пояса) // Докл. АН. 2014. Т. 457. № 3. С. 323–326.
- Тейлор С.Р., Мак-Леннан С.М. Континентальная кора: ее состав и эволюция. М.: Мир, 1988. 384 с.
- Хубанов В.Б., Буянтуев М.Д., Цыганков А.А. U–Pb изотопное датирование цирконов из PZ3–MZ магматических комплексов Забайкалья методом магнитно-секторной масс-спектрометрии с лазерным пробоотбором: процедура определения и сопоставления с SHRIMP данными // Геология и геофизика. 2016. Т. 57. № 1. С. 241–258.
- Шивохин Е.А., Озерский А.Ф., Куриленко А.В., Раитина Н.И., Карасев В.В. Государственная геологическая карта Российской Федерации. Масштаб 1 : 1 000000. Третье поколение. Серия Алдано-Забайкальская. Лист M-50 (Борзя). Ред. Старченко В.В. СПб.: ВСЕГЕИ, 2010.
- Bhatia M.R., Crook K.A.W. Trace element characteristics of graywackes and tectonic setting discrimination of sedimentary basins // Contrib. Miner. Petrol. 1986. V. 92. P. 181–193.
- Condie K.C. Chemical composition and evolution of the upper continental crust: contrasting results from surface samples and shales // Chem. Geol. 1993. V. 104. Iss. 1–4. P. 1–37.
- Cullers R.L. Implications of elemental concentrations for provenance, redox conditions, and metamorphic studies of shales and limestones near Pueblo, CO, USA // Chem. Geol. 2002. V. 191. Iss. 4. P. 305–327.
- Feng Z., Zhang Q., Liu Y., Li L., Jiang L., Zhou J., Li W., Ma Y. Reconstruction of Rodinia supercontinent: evidence from the Erguna Block (NE China) and adjacent units in the eastern Central Asian orogenic Belt // Precambrian Res. 2022. V. 368. P. 106467.
- Floyd P.A., Leveridge B.E. Tectonic environment of the Devonian Gramscatho basin, south Cornwall: framework mode and geochemical evidence from turbiditic sandstones // J. Geol. Soc. London. 1987. V. 144. Iss. 4. P. 531–542.
- Gerdes A., Zeh A. Combined U–Pb and Hf isotope LA-(MC-)ICP-MS analyses of detrital zircons: Comparison with SHRIMP and new constraints for the provenance and age of an Armorican metasediment in Central Germany // Earth Planet. Sci. Lett. 2006. V. 249. P. 47–61.
- Gehrels G.E. AgePick, Available online: https://sites.google.com/a/laserchron.org/laserchron/home/. 2007.
- Goldstein S.J., Jacobsen S.B. Nd and Sr isotopic systematics of river water suspended material: implications for crustal evolution // Earth Planet Sci. Lett. 1988. V. 87. P. 249–265.
- Gou J., Sun D.Y., Ren Y.S., Liu Y.J., Zhang S.Y., Fu C.L., Wang T.H., Wu P.F., Liu X.M. Petrogenesis and geodynamic setting of Neoproterozoic and Late Paleozoic magmatism in the Manzhouli-Erguna area of Inner Mongolia, China: geochronological, geochemical and Hf isotopic evidence // J. Asian Earth Sci. 2013. V. 67–68. P. 114–137.
- Griffin W.L., Powell W.J., Pearson N.J., O’Reilly S.Y. Glitter: data reduction software for laser ablation ICP-MS // Laser Ablation–ICP-MS in the Earth Sciences. Current practices and outstanding issues. Ed. Sylvester P. Mineral. Assoc. Canada Short Course Ser. 2008. V. 40. P. 308–314.
- Herron M.M. Geochemical classification of terrigenous sands and shales from core or log data // J. Sediment. Petrol. 1988. V. 58. № 5. P. 820–829.
- Jackson S.E., Pearson N.J., Griffin W.L., Belousova E.A. The application of laser ablation-inductively coupled plasma-mass spectrometry to in situ U–Pb zircon geochronology // Chem. Geol. 2004. V. 211. P. 47–69.
- Jacobsen S.B., Wasserburg G.J. Sm–Nd isotopic evolution of chondrites and achondrites, II // Earth Planet. Sci. Lett. 1984. V. 67. P. 137–150.
- Liu H., Li Y., Wan Z., Lai Ch.-K. Early Neoproterozoic tectonic evolution of the Erguna Terrane (NE China) and its paleogeographic location in Rodinia supercontinent: insights from magmatic and sedimentary record // Gondwana Res. 2020. V. 88. P. 185–200.
- Ludwig K.R. Isoplot 3.6. A geochronological toolkit for Microsoft Excel // Berkeley Geochronology Center Spec. Publ. 2008. № 4. P. 1–77.
- Makishima A., Nagender B., Nakamura E. New sequential separation procedure for Sr, Nd and Pb isotope ratio measurement in geological material using MC–ICP-MS and TIMS // Geochem. J. 2008. V. 42. P. 237–246.
- McDonough W.F., Sun S.S. The composition of the Earth // Chem. Geol. 1995. V. 120. P. 223–253.
- Pin C., Briot D., Bassin C., Poitrasson F. Concomitant separation of strontium and samarium–neodymium for isotopic analysis in silicate samples, based on specific extraction chromatography // Anal. Chim. Acta. 1994. V. 298. P. 209–217.
- Powerman V.I., Buyantuev M.D., Ivanov A.V. A review of detrital zircon data treatment, and launch of a new tool ‘Dezirteer’ along with the suggested universal workflow // Chem. Geol. 2021. V. 583, 120437.
- Richard P., Shimizu N., Allegre C.J. 143Nd/146Nd A natural tracer: an application to oceanic basalts // Earth Plan. Sci. Lett. 1976. V. 31. P. 269–278.
- Sláma J., Košler J., Condon D.J., Crowley J.L., Gerdes A., Hanchar J.M., Horstwood M.S.A., Morris G.A., Nasdala L., Norberg N., Schaltegger U., Schoene B., Tubrett M.N., Whitehouse M.J. Plesovice zircon – a new natural reference material for U–Pb and Hf isotopic microanalysis // Chem. Geol. 2008. V. 249. P. 1–35.
- Tanaka T., Togashi S., Kamioka H., Amakawa H., Kagami H., Hamamoto T., Yuhara M., Orihashi Y., Yoneda S., Shimizu H., Kunimaru T., Takahashi K., Yanagi T., Nakano T., Fujimaki H., Shinjo R., Asahara Y., Tanimizu M., Dragusanu C. JNdi-1: a neodymium isotopic reference in consistency with LaJolla neodymium // Chem. Geol. 2000. V. 168. P. 279–281.
- Tang J., Xu W.L., Wang F., Wang W., Xu M.J., Zhang Y.H. Geochronology and geochemistry of Neoproterozoic magmatism in the Erguna Massif, NE China: petrogenesis and implications for the breakup of the Rodinia supercontinent // Precambrian Res. 2013. V. 224. P. 597–611.
- Wiedenbeck M., Allé P., Corfu F., Griffin W.L., Meier M., Oberli F., Von Quadt A., Roddick J.C., Spiegel W. Three natural zircon standards for U–Th–Pb, Lu–Hf, trace element and REE analyses // Geostandards Newslett. 1995. V. 19. Iss. 1. P. 1–23.
- Wronkiewicz D.J., Condie K.C. Geochemistry of Archean shales from the Witwatersrand Supergroup, South Africa: source-area weathering and provenance // Geochim. Cosmochim. Acta. 1987. V. 51. № 9. P. 2401–2416.
- Wu F.Y., Sun D.Y., Ge W.C., Zhang Y.B., Grant M.L., Wilde S.A., Jahn B.M. Geochronology of the Phanerozoic granitoids in northeastern China // J. Asian Earth Sci. 2011. V. 41. Iss. 1. P. 1–30.
- Yang H., Liu Y., Zheng J., Liang Z., Wang X., Tang X., Su Y. Petrogenesis and geological significance of Neoproterozoic amphibolite and granite in Bowuleshan area, Erguna massif, Northeast China // Geol. Bull. China. 2017. V. 36. Iss. 2–3. P. 342–356.
- Yang Y.H., Chu Z.Y., Wu F.Y., Xie L.W., Yang J.H. Precise and accurate determination of Sm, Nd concentrations and Nd isotopic compositions in geological samples by MC–ICP-MS // J. Anal. At. Spectrom. 2011. V. 26. P. 1237–1244.
Supplementary files












