Composition and Age of Sources of the Lower–Middle Cambrian (?) Terrigenous Rocks from The Ernichny Formation in the Argun Massif, Eastern Part of the Central Asian Fold Belt
- Authors: Smirnova Y.N.1, Kurilenko A.V.2, Khubanov V.B.2, 2
-
Affiliations:
- Institute of Geology and Nature Management of FEB RAS
- Geological Institute of SB RAS
- Issue: Vol 31, No 5 (2023)
- Pages: 98-115
- Section: Articles
- URL: https://bakhtiniada.ru/0869-592X/article/view/141806
- DOI: https://doi.org/10.31857/S0869592X23050071
- EDN: https://elibrary.ru/WIKASF
- ID: 141806
Cite item
Full Text
Abstract
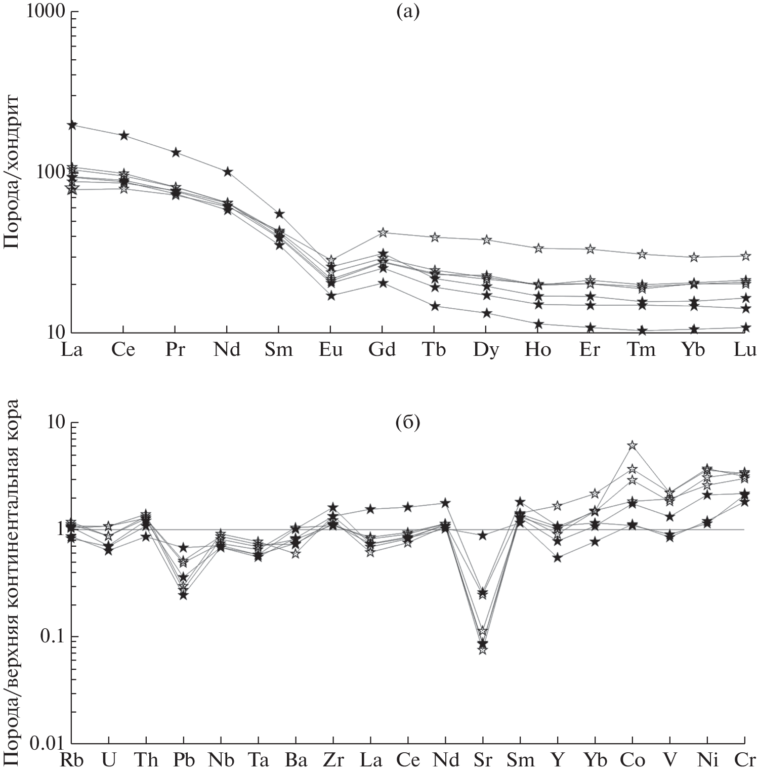
The paper presents the results of the mineralogical and geochemical studies of sandstones and siltstones of the Ernichny formation of the Argun series in the Argun continental massif, and the results of U–Pb (LA‑ICP-MS) dating for the detrital zircons from these rocks. It is established that the youngest detrital zircons from sandstone of the Ernichny Formation have age of 549–570 Ma. A maximum on the relative probability curve of zircon age corresponds to 566 Ma. These data determine the lower age limit of their accumulation on the border of the Ediacaran and Paleozoic age. According to the results of U–Pb dating of detrital zircon, the majority of detrital zircons from sandstones of Ernichny Formation are characterized by Neo- and Paleoproterozoic ages. The sources of zircons were Neo- and Paleoproterozoic igneous and metamorphic rocks that were widely developed within the Argun continental massif. In turn, the geochemical features of the terrigenous rocks of the Ernichny Formation, together with the presence of the poorly sorted and rounded clastic material in the studied samples, as well as the presence of interlayers of gravelstones, enabled us to establish that they were formed in a subduction-related setting.
About the authors
Yu. N. Smirnova
Institute of Geology and Nature Management of FEB RAS
Author for correspondence.
Email: smirnova@ascnet.ru
Russia, Blagoveshchensk
A. V. Kurilenko
Geological Institute of SB RAS
Email: smirnova@ascnet.ru
Russia, Ulan-Ude
V. B. Khubanov
Geological Institute of SB RAS
Email: smirnova@ascnet.ru
Russia, Ulan-Ude
Email: smirnova@ascnet.ru
References
- Голубев В.Н., Чернышев И.В., Котов А.Б., Сальникова Е.Б., Гольцман Ю.В., Баирова Э.Д., Яковлева С.З. Стрельцовский урановорудный район: изотопно-геохронологическая (U–Pb, Rb–Sr и Sm–Nd) характеристика гранитоидов и их место в истории формирования урановых месторождений // Геология рудных месторождений. 2010. Т. 52. № 6. С. 553–571.
- Гордиенко И.В., Метелкин Д.В., Ветлужских Л.И. Строение Монголо-Охотского складчатого пояса и проблема выделения Амурского микроконтинента // Геология и геофизика. 2019. Т. 60. № 3. С. 318–341.
- Козлов С.А., Богач Г.И., Томбасов И.А., Потемкина Л.В., Пинаева Т.А. Государственная геологическая карта Российской Федерации. Масштаб 1 : 1 000 000. Серия Алдано-Забайкальская. Лист N-50 (Сретенск). Третье поколение. Отв. ред. Руденко В.Е., Старченко В.В. СПб.: ВСЕГЕИ, 2010.
- Коссовская А.Г., Тучкова М.И. К проблеме минералого-петрохимической классификации и генезиса песчаных пород // Литология и полезн. ископаемые. 1988. № 2. С. 8–24.
- Куриленко А.В., Котляр Г.В., Кульков Н.П., Раитина Н.И., Ядрищенская Н.Г., Старухина Л.П., Маркович Е.М., Окунева Т.М., Дольник Т.А., Попеко Л.И., Беляева Г.В., Бяков А.С., Башурова Н.Ф., Тимохин А.В., Коровников И.В., Могучева Н.К., Изох Н.Г., Анисимова С.А., Клец Т.В., Иванова Р.М., Стукалина Г.А. Атлас фауны и флоры палеозоя–мезозоя Забайкалья. Новосибирск: Наука, 2002. 714 с.
- Моссаковский А.А., Руженцев С.В., Самыгин С.Г., Хераскова Т.Н. Центрально-Азиатский складчатый пояс: геодинамическая эволюция и история формирования // Геотектоника. 1993. № 6. С. 3–33.
- Озерский А.Ф., Винниченко Е.Л. Государственная геологическая карта Российской Федерации. Масштаб 1 : 200 000. Серия Приаргунская. Лист M-50-VI (Бол. Зерентуй). М.: МФ ВСЕГЕИ, 2015.
- Парфенов Л.М., Берзин Н.А., Ханчук А.И., Бодарч Г., Беличенко В.Г., Булгатов А.Н., Дриль С.И., Кириллова Г.Л., Кузьмин М.И., Ноклеберг У.Дж., Прокопьев А.В., Тимофеев В.Ф., Томуртогоо О., Янь Х. Модель формирования орогенных поясов Центральной и Северо-Восточной Азии // Тихоокеанская геология. 2003. Т. 22. № 6. С. 7–41.
- Решения IV Межведомственного регионального стратиграфического совещания по докембрию и фанерозою юга Дальнего Востока и Восточного Забайкалья. Комплект схем. Хабаровск: ХГГГП, 1994.
- Смирнова Ю.Н., Дриль С.И. Геохимия вендских (?) метаосадочных пород быркинской серии Аргунского супертеррейна // Геохимия. 2022. Т. 67. № 5. С. 445–462.
- Смирнова Ю.Н., Сорокин А.А. Возраст и обстановки формирования чаловской серии ордовика Аргунского массива, восточная часть Центрально-Азиатского складчатого пояса // Стратиграфия. Геол. корреляция. 2019. Т. 27. № 3. С. 3–23.
- Смирнова Ю.Н., Сорокин А.А., Попеко Л.И., Смирнов Ю.В. Геохимические особенности палеозойских терригенных отложений Ольдойского террейна восточной части Центрально-Азиатского складчатого пояса как отражение геодинамических условий седиментации // Геохимия. 2013. № 4. С. 344–365.
- Смирнова Ю.Н., Сорокин А.А., Попеко Л.И. Геохимические особенности, обстановки накопления и источники материала нижнепалеозойских отложений Мамынского террейна Центрально-Азиатского складчатого пояса // Литология и полезн. ископаемые. 2016. № 6. С. 564–582.
- Смирнова Ю.Н., Сорокин А.А., Попеко Л.И., Котов А.Б., Ковач В.П. Геохимия и области сноса юрских терригенных отложений Верхнеамурского и Зея-Депского прогибов восточной части Центрально-Азиатского складчатого пояса // Геохимия. 2017. № 2. С. 127–148.
- Смирнова Ю.Н., Овчинников Р.О., Смирнов Ю.В., Дриль С.И. Источники кластического материала и условия накопления осадочных пород даурской серии Аргунского континентального массива // Тихоокеанская геология. 2022. Т. 41. № 1. С. 13–31.
- Сорокин А.А., Кудряшов Н.М. Первые U–Pb-геохронологические и геохимические данные для поздневендских и раннепалеозойских кислых вулканитов Мамынского террейна (Центрально-Азиатский складчатый пояс) // Докл. АН. 2015. Т. 465. № 4. С. 473–478.
- Сорокин А.А., Котов А.Б., Кудряшов Н.М., Ковач В.П. Первые свидетельства проявления эдиакарского магматизма в истории геологического развития Мамынского террейна Центрально-Азиатского складчатого пояса // Тихоокеанская геология. 2015. Т. 34. № 6. С. 3–15.
- Тейлор С.Р., Мак-Леннан С.М. Континентальная кора: ее состав и эволюция. М.: Мир, 1988. 384 с.
- Хубанов В.Б., Буянтуев М.Д., Цыганков А.А. U–Pb изотопное датирование цирконов из PZ3–MZ магматических комплексов Забайкалья методом магнитно-секторной масс-спектрометрии с лазерным пробоотбором: процедура определения и сопоставления с SHRIMP данными // Геология и геофизика. 2016. Т. 57. № 1. С. 241–258.
- Шивохин Е.А., Озерский А.Ф., Куриленко А.В., Раитина Н.И., Карасев В.В. Государственная геологическая карта Российской Федерации. Масштаб 1 : 1 000000. Серия Алдано-Забайкальская. Лист M-50 (Борзя). Третье поколение. Отв. ред. Старченко В.В. СПб.: ВСЕГЕИ, 2010.
- Юдович Я.Э., Кетрис М.П. Основы литохимии. СПб.: Наука, 2000. 479 с.
- Bhatia M.R., Crook K.A.W. Trace element characteristics of graywackes and tectonic setting discrimination of sedimentary basins // Contrib. Miner. Petrol. 1986. V. 92. P. 181–193.
- Cullers R.L. Implications of elemental concentrations for provenance, redox conditions, and metamorphic studies of shales and limestones near Pueblo, CO, USA // Chem. Geol. 2002. V. 191. Iss. 4. P. 305–327.
- Feng Z., Zhang Q., Liu Y., Li L., Jiang L., Zhou J., Li W., Ma Y. Reconstruction of Rodinia supercontinent: evidence from the Erguna Block (NE China) and adjacent units in the eastern Central Asian orogenic Belt // Precambrian Res. 2022. V. 368. 106467.
- Floyd P.A., Leveridge B.E. Tectonic environment of the Devonian Gramscatho basin, south Cornwall: framework mode and geochemical evidence from turbiditic sandstones // J. Geol. Soc. London. 1987. V. 144. Iss. 4. P. 531–542.
- Ge W.C., Chen J.S., Yang H., Zhao G.C., Zhang Y.L., Tian D.X. Tectonic implications of new zircon U–Pb ages for the Xinghuadukou Complex, Erguna Massif, northern Great Xing’an Range, NE China // J. Asian Earth Sci. 2015. V. 106. P. 169–185.
- Gehrels G.E. AgePick, Available online: https://sites.google.com/a/laserchron.org/laserchron/home/. 2007.
- Gerdes A., Zeh A. Combined U–Pb and Hf isotope LA‑(MC-)ICP-MS analyses of detrital zircons: comparison with SHRIMP and new constraints for the provenance and age of an Armorican metasediment in Central Germany // Earth Planet. Sci. Lett. 2006. V. 249. Iss. 1–2. P. 47–61.
- Gou J., Sun D.Y., Ren Y.S., Liu Y.J., Zhang S.Y., Fu C.L., Wang T.H., Wu P.F., Liu X.M. Petrogenesis and geodynamic setting of Neoproterozoic and Late Paleozoic magmatism in the Manzhouli-Erguna area of Inner Mongolia, China: geochronological, geochemical and Hf isotopic evidence // J. Asian Earth Sci. 2013. V. 67–68. P. 114–137.
- Griffin W.L., Powell W.J., Pearson N.J., O’Reilly S.Y. Glitter: data reduction software for laser ablation ICP-MS // Laser Ablation–ICP-MS in the Earth Sciences. Current practices and outstanding issues. Ed. Sylvester P. Mineralogical Assoc. Canada Short Course Ser. 2008. V. 40. P. 308–314.
- Herron M.M. Geochemical classification of terrigenous sands and shales from core or log data // J. Sediment. Petrol. 1988. V. 58. № 5. P. 820–829.
- Jackson S.E., Pearson N.J., Griffin W.L., Belousova E.A. The application of laser ablation-inductively coupled plasma-mass spectrometry to in situ U–Pb zircon geochronology // Chem. Geol. 2004. V. 211. P. 47–69.
- Li Z.Z., Qin K.Z., Li G.M., Jin L.Y., Song G.X. Neoproterozoic and Early Paleozoic magmatic records from the Chalukou ore district, northern Great Xing’an Range, NE China: implications for tectonic evolution and Mesozoic Mo mineralization // J. Asian Earth Sci. 2018. V. 165. P. 96–113.
- Liu H., Li Y., Wan Z., Lai Ch.-K. Early Neoproterozoic tectonic evolution of the Erguna Terrane (NE China) and its paleogeographic location in Rodinia supercontinent: insights from magmatic and sedimentary record // Gondwana Res. 2020. V. 88. P. 185–200.
- Ludwig K.R. Isoplot 3.6. A geochronological toolkit for Microsoft Excel // Berkeley Geochronology Center Spec. Publ. 2008. № 4. P. 1–77.
- McDonough W.F., Sun S.S. The composition of the Earth // Chem. Geol. 1995. V. 120. P. 223–253.
- McLennan S.M., Hemming S., McDaniel D.K., Hanson G.N. Geochemical approaches to sedimentation, provenance, and tectonics // Geol. Soc. Am. Spec. Pap. 1993. V. 284. P. 21–40.
- Powerman V.I., Buyantuev M.D., Ivanov A.V. A review of detrital zircon data treatment, and launch of a new tool ‘Dezirteer’ along with the suggested universal workflow // Chem. Geol. 2021. V. 583. 120437.
- Sláma J., Košler J., Condon D.J., Crowley J.L., Gerdes A., Hanchar J.M., Horstwood M.S.A., Morris G.A., Nasdala L., Norberg N., Schaltegger U., Schoene B., Tubrett M.N., Whitehouse M.J. Plesovice zircon – a new natural reference material for U–Pb and Hf isotopic microanalysis // Chem. Geol. 2008. V. 249. P. 1–35.
- Sun L.X., Ren B.F., Zhao F.Q., Ji S.P., Geng J.Z. Late Paleoproterozoic magmatic records in the Erguna massif: evidences from the zircon U–Pb dating of granitic gneisses // Geol. Bull. China. 2013. V. 32. P. 341–352.
- Tang J., Xu W.L., Wang F., Wang W., Xu M.J., Zhang Y.H. Geochronology and geochemistry of Neoproterozoic magmatism in the Erguna Massif, NE China: petrogenesis and implications for the breakup of the Rodinia supercontinent // Precambrian Res. 2013. V. 224. P. 597–611.
- Wiedenbeck M., Allé P., Corfu F., Griffin W.L., Meier M., Oberli F., Von Quadt A., Roddick J.C., Spiegel W. Three natural zircon standards for U–Th–Pb, Lu–Hf, trace element and REE analyses // Geostandards Newslett. 1995. V. 19. Iss. 1. P. 1–23
- Wu F.Y., Sun D.Y., Ge W.C., Zhang Y.B., Grant M.L., Wilde S.A., Jahn B.M. Geochronology of the Phanerozoic granitoids in northeastern China // J. Asian Earth Sci. 2011. V. 41. Iss. 1. P. 1–30.
- Yang H., Liu Y., Zheng J., Liang Z., Wang X., Tang X., Su Y. Petrogenesis and geological significance of Neoproterozoic amphibolite and granite in Bowuleshan area, Erguna massif, Northeast China // Geol. Bull. China. 2017. V. 36. Iss. 2–3. P. 342–356.
Supplementary files








