Geochemical Thermometry of Ore-Bearing Gabbronorites from the Apophisis of the Yoko-Dovyren Massif: Composition, Amount of Olivine, and Conditions of Sulphide Saturation in the Parental Magma
- 作者: Pshenitsyn I.V.1, Ariskin A.A.1,2, Sobolev S.N.1
 - 
							隶属关系: 
							
- Vernadsky Institute of Geochemistry and Analytical Chemistry, Russian Academy of Sciences
 - Faculty of Geology, Moscow State University
 
 - 期: 卷 32, 编号 1 (2024)
 - 页面: 119-136
 - 栏目: Articles
 - URL: https://bakhtiniada.ru/0869-5903/article/view/256419
 - DOI: https://doi.org/10.31857/S0869590324010071
 - ID: 256419
 
如何引用文章
全文:
详细
The temperature and compositional parameters of the parental magma of the ore-bearing apophysis DV10 from the Yoko-Dovyren massif are estimated based on the results of thermodynamic modeling the equilibrium crystallization of melts of 24 samples, following the method of geochemical thermometry. Thermometric calculations were carried out using the COMAGMAT-5.3 program with a step of 0.5 mol. % to a maximum degree of crystallization 75–85% under oxygen fugacity controlled by the QFM buffer. The model order of mineral crystallization corresponds to the sequence: olivine (Ol) + + Cr-Al spinel (Spl) → plagioclase (Pl) → high-Ca pyroxene (Cpx) → orthopyroxene (Opx). Silicate-sulfide immiscibility was modeled to occur mostlybefore the onset of plagioclase crystallization, being consistent with sulfide saturation of the parental magma. The results of calculations demonstrate the convergence and intersection of the model liquid lines of descent at temperatures of about 1185°C. When applied to the average composition of the DV10 apophysis, this temperature indicates the existence of a suspension of the original crystals (52.1 wt. % cumulus olivine (Fo83.6), 2.3 wt. % plagioclase (An79.7), 0.24% clinopyroxene (Mg# 88.8), 1 wt. % aluminochromite (Cr# 0.62)) and about 0.2% sulfide liquid in a moderately magnesian melt (53.6 wt. % SiO2, 7.4 wt. % MgO). At that the solubility of sulfide sulfur (SCSS) was estimated to be 0.083 wt. %. This heterogeneous system had a viscosity of 4.71 log. units (Pa · s) and an integral density of 2929 kg/m3. Such rheological properties do not contradict the possibility of the migration and emplacement of the protocumulus mush from the main Dovyren chamber. However, a more probable scenario includes a localized accumulation of olivine in the trough-like part of the DV10 subchamber, which preceded or occurred in parallel to the accumulation of segregated sulfides.
全文:
ВВЕДЕНИЕ
Комплексный подход к природе магматогенных Cu-Ni-сульфидных месторождений сводится к решению взаимосвязанных задач, включая региональную геологию, проблемы строения мафит-ультрамафитовых интрузивов, особенности минералогии, геохимии и изотопного состава рудоносных пород, а также вопросы динамики формирования сульфидных масс, оценки условий силикатно-сульфидной несмесимости и параметров исходных и контаминированных магм (Арискин и др., 2017; Ariskin et al., 2018b, 2018c; Радько, 1991; Лихачев, 2006; Рябов и др., 2001; Naldrett, 2004, 2011; Maier, 2005; Ripley, Li, 2013; Krivolutskaya, 2016; Barnes et al., 2017, 2019; Kostitsyn et al., 2023). При этом петрологические аспекты, касающиеся истории сульфидного насыщения магматических расплавов, как правило, отходят на второй план и оказываются в тени характеристик, по своей природе наблюдаемых или непосредственно измеряемых, которые могут быть представлены в виде геологических карт, разрезов, изображений структуры пород и минеральных ассоциаций, таблиц состава пород и минералов. Такая подчиненность обусловлена тем, что задачи геологоразведочных работ подразумевают привязку наблюдаемых минералого-геохимических и структурных признаков к конкретным пространственным координатам. Что касается оценок P-T параметров и композиционных характеристик сульфидоносных систем, то они основаны на петрологических реконструкциях, которые нередко безотносительны к локализации рудопроявлений и фактически являются производными от данных прямых измерений для ассоциирующих и слабо минерализованных пород (Арискин и др., 2017; Ariskin et al., 2018b, 2018c).
К числу таких оценочных параметров относятся температура, состав и реологические свойства родительских магм, оценки растворимости сульфидной серы (SCSS – Sulfur Concentration at Sulfide Saturation) и начала выделения сульфидов (температура и состав расплава, состав равновесного с сульфидами оливина), а также состав первичных несмесимых сульфидов, включая основные металлы (Cu-Ni-Fe-Co), ЭПГ, золото, серебро и другие халькофильные элементы. Очевидно, что они должны учитываться при рассмотрении физических механизмов переноса и отложения сульфидов (Радько, 1991) как фактор, во многом предопределяющий наблюдаемые минералого-геохимические особенности сульфидного вещества (Спиридонов, 2010). Связано это с тем, что накоплению сульфидов в пространстве магматических камер или магмоподводящих системах предшествуют образование и сегрегация первичных микроглобулярных обособлений, микроэлементный состав которых отвечает за пробность (теноры) формирующихся Cu-Ni-ЭПГ сульфидных руд (Barnes et al., 2017, 2019). Таким образом, начало сульфидной ликвации и характеристики исходных протосульфидных расплавов можно рассматривать как отправную точку рудообразующих процессов, связанных с разными стадиями появления в магмах несмесимых сульфидов широкого диапазона составов (Naldrett, 2004; Maier, 2005; Лихачев, 2006).
На протяжения последних 10 лет в нашей группе разрабатываются физико-химические подходы к решению подобных задач, используя ультрамафит-мафитовые тела Довыренского интрузивного комплекса в Северном Прибайкалье (Бурятия, Россия) как демонстрационный объект при расшифровке истории сульфидов в рудоносных породах (Арискин и др., 2009, 2018, 2020; Пшеницын и др., 2020; Пшеницын и др., 2022). Особый интерес представляют габбро-перидотитовые интрузивные тела, подстилающие Йоко-Довыренский расслоенный массив и несущие богатую минерализацию, вплоть до глобулярных и сидеронитовых руд (Кислов, 1998; Орсоев и др., 2018). Одним из таких тел является “придонный апофиз DV10”, название которого подчеркивает пространственную связь с породами базальной зоны Йоко-Довыренского массива в центральной части (Пшеницын и др., 2020, 2022; Арискин и др., 2021). Уникальность этого субпластового объекта заключается в том, что он имеет рудоносный раздув мощностью около 300 м, в нижней зоне которого установлена тесная ассоциация глобулярной (или “капельной”), глобулярно-сидеронитовой и сидеронитовой сульфидной вкрапленности. Наличие переходных разностей этих типов минерализации, относительно слабая степень вторичного изменения пород, а также возможность опробования этого рудоносного тела от нижнего до верхнего контакта сделали апофиз DV10 крайне удачным объектом для установления условий магматического сульфидного рудообразования в такой своеобразной субкамере.
В работах (Пшеницын и др., 2020, 2022) были представлены результаты петролого-геохимических и минералогических исследований сульфидоносных пород и сульфидных руд из апофиза DV10, включая данные по хемостратиграфии рудоносных и слабо минерализованных пород для ЭПГ и теллура. Положительные корреляции концентраций Au, Pt и Pd от серы и теллура в образцах подтвердили ортомагматический источник и сульфидную природу прекурсора благородных металлов. При этом пересчеты состава пород на 100%-сульфид показали, что наиболее примитивные и богатые благородными металлами сульфиды отвечают изолированным сульфидным глобулам из эндоконтакта раздува, в то время как сульфиды из залегающих выше сидеронитовых руд заметно беднее этими элементами. Эти геохимические реконструкции были подкреплены моделированием при помощи программы КОМАГМАТ-5.2 (Арискин и др., 2017; Ariskin et al., 2018a), что позволило оценить средние содержания золота, ЭПГ и теллура в протосульфидном расплаве (в ppm): 2.9 Au, 14.4 Pt, 25.1 Pd, 44.3 Te.
Проведенные расчеты носили предварительный характер, поскольку не включали полную выборку составов пород из апофиза DV10 и были ориентированы в большей мере на ЭПГ-геохимию исходных несмесимых сульфидов, а не на оценки состава магматического расплава. Кроме того, при моделировании использовалась первая версия программ семейства КОМАГМАТ, которая не учитывала эффекты сопряженной кристаллизации шпинели и выделения сульфидов (Ariskin et al., 2018a). Недавно мы представили обновленный вариант этой программы – версию 5.3, включающую уточненные геотермометры для моделирования несмесимых Fe-Ni сульфидов и возможность котектической кристаллизации Al-Cr шпинели одновременно с породообразующими силикатами и оксидами (магнетит и/или ильменит) (Арискин и др., 2023).
В настоящей статье приводятся новые данные по оливиновым габброноритам из апофиза DV10, которые дополняют выборку составов, использованных для моделирования их кристаллизации при помощи новой программы КОМАГМАТ-5.3. По результатам этих расчетов проведены оценки исходной температуры (1185°С) и состава оливина (Fo83.6) родительской магмы, реконструирована стратиграфия протокумулусной системы по раздуву этого рудоносного тела. Отдельный блок информации включает оценки растворимости сульфидной серы (SCSS) в исходном расплаве, указывающие на изначальное присутствие сульфидов. Полученные данные позволяют предполагать, что параллельно накоплению сульфидов в мульдообразной части апофиза скопилось значительное количество кумулусного оливина, и потому средневзвешенный состав тела нельзя рассматривать в качестве исходной магмы. Более реалистичной оценкой является состав пикродолерита из нижнего контакта, вероятно, содержавший около 32 мас. % вкрапленников оливина.
ОБЪЕКТ ИССЛЕДОВАНИЙ И ПЕТРОХИМИЧЕСКИЕ ОСОБЕННОСТИ ПОРОД
Строение апофиза DV10 и отбор образцов. Подобно другим габброперидотитам, подстилающим основание Йоко-Довыренского массива, апофиз DV10 отделен от главного массива горизонтом ороговикованных алевролитов и представляет крутопадающее субпластовое тело средней мощностью около 200 м (рис. 1). Максимальной мощности около 300 м оно достигает в центральной части; в СВ направлении (в области сочленения с базальными породами Йоко-Довыренского массива) апофиз сужается до первых десятков метров, а в ЮЗ окончании мощность его тела не превышает 150 м (Пшеницын и др., 2022). Сложен апофиз меланократовыми оливиновыми габброноритами, в отдельных участках встречаются лейкократовые габбронориты (Ariskin et al., 2018b). Характерной особенностью максимального раздува тела является присутствие в его придонной части богатых сульфидных руд, варьирующих от сидеронитовых до густо вкрапленных, окруженных ореолом менее богатой сульфидной вкрапленности. Другая особенность связана с проявлениями глобулярных (каплеобразных) сульфидов, которые обнаружены на нижнем контакте и латеральном удалении до 200 м от главной рудной залежи (Пшеницын и др., 2020).
Рис. 1. Особенности геологического положения и сульфидной минерализации апофиза DV10 (Пшеницын и др., 2020). (а) Строение Йоко-Довыренского массива и участок опробования DV10; (б) точки опробования апофиза DV10; (в) cодержание серы и схематичное представление четырех типов сульфидной минерализации (A, Б, В, Г) в породах раздува апофиза DV10 (показаны с разрывом в интервале 30–80 м от нижнего контакта, причем для нижних 30 м использован логарифмический масштаб): А – крупные глобулы в оливиновых габброноритах из базальных горизонтов, Б – габбронориты с глобулярно-сидеронитовой вкрапленностью, В – сидеронитовые руды, Г – глобулы из закалочных пикродолеритов из нижнего контакта.
В 2016 и 2019 гг. было проведено опробование апофиза DV10 – от нижнего до верхнего контакта, в результате которого отобрано 28 образцов, характеризующих сводный разрез мощностью 280 м. Наиболее детально изучены рудоносные породы в основании апофиза (нижние 30 м от контакта), которые можно разделить на четыре типа (Пшеницын и др., 2022): (1) пикродолериты эндоконтакта с сульфидными каплями; (2) оливиновые габбронориты с сульфидными глобулами; (3) рудоносные оливиновые габбронориты с глобулами неправильной формы, переходящими в домены сидеронитовой вкрапленности и (4) сидеронитовые руды с матрицей оливиновых габброноритов. При помощи методов рентгеновской компьютерной томографии установлено, что эти переходы между рудоносными породами следуют морфоструктурному тренду зависимости объемного содержания сульфидов от их степени связанности в интеркумулусе. Именно эти наблюдения были скоррелированы с результатами термодинамических расчетов для нескольких образцов, которые позволили установить, что наиболее примитивные сульфиды слагают глобулы, обнаруженные в пикродолерите из нижнего контакта (Пшеницын и др., 2022). В табл. 1 представлена полная выборка РФА анализов пород из апофиза DV10 с привязками к стратиграфическому разрезу. Новые данные были использованы для термометрических расчетов по программе КОМАГМАТ-5.3.
Рис. 2. Тройные диаграммы нормативного минерального состава и валового химического состава пород апофиза DV10. Породы нижней части тела показаны синими кружками, верхней – красными; фиолетовым кружком показан средневзвешенный состав данного тела.
На рис. 2 составы изученных пород представлены на двух диаграммах – нормативных пропорций минералов и в петрохимических координатах A₂O₃–SiO₂–MgO. Эти данные показывают, что практически все породы лежат в поле меланократовых оливиновых габброноритов, причем в петрохимических координатах фигуративные точки составов формируют сублинейный тренд, характерный для линий оливинового контроля (коннод оливин–расплав). Более тонкие особенности подобных соотношений будут рассмотрены ниже. Обращаем внимание, что на рис. 2 и всех последующих графиках красными и синими символами мы разделяем породы по стратиграфическому положению: 1 – слабоминерализованные породы из верхней части апофиза и 2 – породы из нижних 30 м тела, где были выделены описанные выше четыре типа минерализации. Таблица 1 также разделена по этому принципу на две части для удобства последующего восприятия полученных результатов.
ГЕОХИМИЧЕСКАЯ ТЕРМОМЕТРИЯ ПОРОД АПОФИЗА DV10
Основы метода. Традиционная интерпретация ультрамафитов и габброидов из расслоенных интрузивов предполагает их кумулусное происхождение, что позволяет рассматривать такие породы как механическую смесь аккумулированных и котектических по природе кристаллов с некоторым количеством захваченного (интеркумулусного/порового) расплава (Wager, Brown, 1968). Известно, что в структурах интрузивных пород записана информация об относительно медленном (по сравнению с вулканитами) остывании, причем составы кумулусных фаз демонстрируют, как правило, незначительные вариации – обычно в пределах долей или первых процентов. Это указывает на близкие к равновесным соотношения между кумулусом и поровым расплавом, по крайней мере на заключительных стадиях затвердевания пород. Если допустить, что равновесные соотношения характеризовали и протокумулусные смеси, с которых началась история in situ кристаллизации этих кумулатов, то, используя методы термодинамического моделирования, можно реконструировать первичные характеристики подобных равновесий. Наиболее важные представляют температуру, составы первичных кристаллов, а также относительные количества кумулусных фаз и магматического расплава, включая его состав. Эта идеология, известная как “Метод геохимической термометрии” (Френкель и др., 1987; Арискин, Бармина, 2000), была успешно использована при генетической интерпретации ряда ультрамафит-мафитовых интрузивов (Ariskin, 1999; Криволуцкая и др., 2001; Бармина и др., 2002; Ariskin et al., 2003, 2018а; Gongalsky et al., 2016). В основе этих реконструкций лежит допущение, что при известных (или оцененных независимыми методами) давлении и окислительно-восстановительных условиях все перечисленные выше характеристики могут быть получены решением обратной задачи с использованием современных моделей кристаллизации магм.
Главная проблема практического применения этих подходов заключается в необходимости выбора образцов, которые потенциально представляют одно и то же магматическое равновесие, т. е. характеризовались близкими значениями исходной температуры и состава интеркумулусного расплава, на стадии, предшествующей его окончательной in situ кристаллизации; соответственно, узким диапазоном состава минералов этого протокумулуса. Обычно критерием такого выбора является условие близкой пространственной ассоциации пород, например в пределах нескольких метров, будь то приконтактовые зоны или отдельные ритмические пачки в пределах интрузивов. Для более грубой оценки иногда используются средние составы стратиграфических единиц, как показано на примере Скергаардского интрузива (Ariskin et al., 2003).
Термометрические реконструкции проводятся в определенной последовательности, которая включает: (1) моделирование равновесной кристаллизации 100% (т. е. виртуальных) расплавов пород, (2) построение температурно-концентрационных зависимостей для модельных расплавов и (3) поиск области пересечения этих эволюционных линий, которая по определению должна характеризовать вероятную температуру первичного равновесия кристаллы–магматический расплав и его состав. Последующая работа сводится к анализу точечных данных по всей выборке составов, поскольку при известной (найденной таким образом) температуре результаты расчетов позволяют определить пропорции и средний состав минералов исходного кумулуса в каждом конкретном образце (Арискин, Бармина, 2000).
В наших работах использовались разные версии программ семейства КОМАГМАТ (Ariskin, 1999; Ariskin et al., 2018a; Арискин и др., 2023). Однако это условие необязательно. Можно попытаться использовать любой другой алгоритм, позволяющий моделировать равновесную кристаллизацию магматических расплавов, например современные версии программ MELTS или Petrolog (Gualda, 2012; Danyushevsky, Plechov, 2011).
Результаты расчетов для пород апофиза DV10. Как следует из рассмотренных основ метода, термометрические расчеты наиболее эффективны для группы пород, отличающихся пропорциями кумулусных минералов и расплава, но не их исходными составами. Полагая, что все они образовались из фаз одной и той же протокумулусной ассоциации, при равновесной кристаллизации этих пород линии эволюции состава остаточных расплавов (а также котектических минералов) должны пересечься на диаграммах состав–температура для всех компонентов. Если допустить, что апофиз DV10 образовался как результат одноактной протрузии или последовательного внедрения близких по составу магм из главного плутона, то данные, представленные в табл. 1, можно использовать для оценки параметров исходной магмы. И это несмотря на то, что валовые составы пород демонстрируют достаточно широкие вариации (рис. 2), а измеренные составы оливина варьируют от 75.5% Fo на нижнем контакте до 83.5% Fo в верхних 2/3 разреза (Пшеницын и др., 2022). Наличие закалочных фаций из верхнего и нижнего контакта тела является дополнительным плюсом этой выборки.
Таблица 1. Составы пород апофиза DV10
Компоненты  | DV921-2  | DV902-1  | DV903-1  | DV905-1  | DV904-1*  | DV922-1  | DV906-2  | DV908-1*  | DV907-1*  | DV913-3*  | DV909-2*  | DV915-2*  | DV926-2*  | DV910-1  | 
279**  | 276  | 274  | 271  | 270  | 250  | 220  | 190  | 180  | 130  | 120  | 110  | 80  | 30  | |
Химический состав, мас. %  | ||||||||||||||
SiO₂  | 46.53  | 46.32  | 47.28  | 46.68  | 44.93  | 44.52  | 46.28  | 41.88  | 46.93  | 46.10  | 43.97  | 44.97  | 44.15  | 46.45  | 
TiO₂  | 0.36  | 0.41  | 0.44  | 0.53  | 0.34  | 0.30  | 0.40  | 0.20  | 0.43  | 0.44  | 0.27  | 0.33  | 0.28  | 0.44  | 
A₂O₃  | 8.06  | 8.05  | 8.77  | 7.25  | 8.45  | 6.53  | 8.26  | 5.66  | 8.00  | 8.36  | 5.95  | 7.27  | 8.18  | 7.60  | 
FeO  | 10.31  | 11.01  | 10.89  | 11.82  | 12.18  | 11.06  | 11.02  | 12.89  | 11.13  | 12.31  | 11.95  | 11.89  | 10.71  | 11.33  | 
MnO  | 0.18  | 0.19  | 0.19  | 0.20  | 0.20  | 0.18  | 0.19  | 0.18  | 0.18  | 0.19  | 0.19  | 0.20  | 0.19  | 0.18  | 
MgO  | 26.38  | 26.11  | 24.03  | 25.86  | 26.10  | 30.72  | 25.29  | 32.71  | 25.43  | 23.98  | 31.85  | 28.06  | 28.95  | 26.43  | 
CaO  | 5.97  | 5.85  | 6.05  | 5.26  | 5.71  | 4.65  | 5.98  | 4.01  | 5.65  | 6.00  | 3.97  | 5.36  | 5.77  | 5.11  | 
Na₂O  | 0.87  | 0.83  | 1.11  | 1.08  | 0.83  | 0.53  | 1.17  | 0.61  | 0.90  | 1.09  | 0.67  | 0.73  | 0.53  | 1.17  | 
K₂O  | 0.52  | 0.51  | 0.54  | 0.55  | 0.50  | 0.41  | 0.70  | 0.28  | 0.59  | 0.65  | 0.25  | 0.43  | 0.34  | 0.54  | 
P₂O₅  | 0.06  | 0.08  | 0.09  | 0.10  | 0.07  | 0.05  | 0.07  | 0.04  | 0.09  | 0.08  | 0.04  | 0.05  | 0.04  | 0.09  | 
Cr₂O₃  | 0.56  | 0.48  | 0.45  | 0.51  | 0.49  | 0.76  | 0.48  | 0.64  | 0.45  | 0.23  | 0.66  | 0.50  | 0.51  | 0.50  | 
NiO  | 0.15  | 0.13  | 0.12  | 0.12  | 0.13  | 0.19  | 0.13  | 0.27  | 0.14  | 0.16  | 0.16  | 0.13  | 0.14  | 0.13  | 
S  | 0.04  | 0.03  | 0.04  | 0.04  | 0.07  | 0.10  | 0.04  | 0.63  | 0.08  | 0.41  | 0.07  | 0.09  | 0.21  | 0.03  | 
Сумма  | 100.00  | 100.00  | 100.00  | 100.00  | 100.00  | 100.00  | 100.00  | 100.00  | 100.00  | 100.00  | 100.00  | 100.00  | 100.00  | 100.00  | 
П.п.п.  | 2.54  | 3.71  | 3.20  | 2.44  | 3.45  | 4.11  | 3.43  | 2.54  | 3.14  | 2.70  | 1.64  | 3.16  | 6.77  | 2.80  | 
Халькофильные элементы, включая благородные металлы  | ||||||||||||||
Cu, ppm  | 47  | 28  | 39  | 48  | 38  | 520  | 36  | 327  | 101  | 851  | 34  | 215  | 212  | 31  | 
Te, ppb  | 240  | 94  | 408  | 217  | 118  | 121  | 139  | 159  | ||||||
Zn, ppm  | 80  | 86  | 78  | 111  | 90  | 84  | 75  | 81  | 81  | 88  | 85  | 91  | 73  | 83  | 
Co, ppm  | 125  | 151  | 197  | 121  | 141  | 151  | 157  | 113  | ||||||
Mo, ppm  | <5  | <5  | <5  | –  | 1  | 0  | <5  | <5  | 1  | <5  | <5  | <5  | <5  | |
Ag, ppm  | 0.03  | 0.16  | 0.28  | 0.02  | 0.31  | 0.03  | 0.55  | 0.16  | ||||||
Au, ppb  | 11  | 7  | 9  | 8  | 7  | 7  | 4  | 6  | ||||||
Pd, ppb  | 30  | 31  | 117  | 26  | 92  | 14  | 33  | 83  | ||||||
Pt, ppb  | 9  | 5  | 23  | 9  | 15  | 9  | 8  | 7  | ||||||
Компоненты  | DV921-2  | DV902-1  | DV903-1  | DV905-1  | DV904-1*  | DV922-1  | DV906-2  | DV908-1*  | DV907-1*  | DV913-3*  | DV909-2*  | DV915-2*  | DV926-2*  | DV910-1  | 
279**  | 276  | 274  | 271  | 270  | 250  | 220  | 190  | 180  | 130  | 120  | 110  | 80  | 30  | |
Химический состав, мас. %  | ||||||||||||||
SiO₂  | 45.22  | 46.70  | 45.01  | 44.47  | 42.06  | 44.05  | 47.96  | 31.25  | 26.90  | 47.13  | 48.49  | 46.66  | 44.73  | 49.34  | 
TiO₂  | 0.45  | 0.41  | 0.40  | 0.35  | 0.33  | 0.38  | 0.47  | 0.15  | 0.12  | 0.48  | 0.51  | 0.48  | 0.35  | 0.57  | 
A₂O₃  | 7.62  | 7.41  | 7.22  | 6.87  | 7.32  | 6.26  | 9.04  | 4.13  | 2.00  | 9.02  | 9.53  | 8.47  | 6.87  | 10.11  | 
FeO  | 13.39  | 11.48  | 13.47  | 11.57  | 15.47  | 13.87  | 11.26  | 26.47  | 34.15  | 11.94  | 11.18  | 11.79  | 12.36  | 11.43  | 
MnO  | 0.20  | 0.19  | 0.21  | 0.19  | 0.18  | 0.21  | 0.19  | 0.17  | 0.10  | 0.19  | 0.19  | 0.19  | 0.20  | 0.19  | 
MgO  | 24.83  | 26.36  | 26.14  | 29.59  | 23.69  | 28.07  | 22.51  | 23.71  | 22.09  | 22.22  | 21.30  | 23.78  | 28.45  | 18.85  | 
CaO  | 4.59  | 5.25  | 5.07  | 5.02  | 5.12  | 4.52  | 6.46  | 3.09  | 1.19  | 6.57  | 6.40  | 6.23  | 5.04  | 6.68  | 
Na₂O  | 0.71  | 0.81  | 0.63  | 0.44  | 0.39  | 0.48  | 1.07  | 0.36  | 0.08  | 1.22  | 1.09  | 1.15  | 0.72  | 1.35  | 
K₂O  | 0.68  | 0.59  | 0.54  | 0.40  | 0.65  | 0.52  | 0.61  | 0.16  | 0.07  | 0.71  | 0.78  | 0.67  | 0.47  | 0.84  | 
P₂O₅  | 0.07  | 0.09  | 0.07  | 0.07  | 0.06  | 0.10  | 0.09  | 0.02  | 0.08  | 0.08  | 0.09  | 0.08  | 0.06  | 0.09  | 
Cr₂O₃  | 1.20  | 0.53  | 0.53  | 0.61  | 1.04  | 0.46  | 0.21  | 0.43  | 0.41  | 0.21  | 0.21  | 0.26  | 0.59  | 0.23  | 
NiO  | 0.16  | 0.13  | 0.16  | 0.11  | 0.26  | 0.27  | 0.10  | 0.94  | 1.40  | 0.10  | 0.11  | 0.10  | 0.10  | 0.10  | 
S  | 0.88  | 0.05  | 0.54  | 0.29  | 3.43  | 0.82  | 0.04  | 9.11  | 11.50  | 0.12  | 0.12  | 0.13  | 0.06  | 0.22  | 
Сумма  | 100.00  | 100.00  | 100.00  | 100.00  | 100.00  | 100.00  | 100.00  | 100.00  | 100.08  | 100.00  | 100.00  | 100.00  | 100.00  | 100.00  | 
П.п.п.  | 2.33  | 2.63  | 3.67  | 6.77  | 6.01  | 3.37  | 3.11  | 7.42  | 9.70  | 1.56  | 3.17  | 1.31  | 3.29  | 1.20  | 
Халькофильные элементы, включая благородные металлы  | ||||||||||||||
Cu, ppm  | 915  | 46  | 676  | 176  | 824  | 1029  | 72  | 6685  | 3699  | 183  | 249  | 87  | 96  | 355  | 
Te, ppb  | 220  | 150  | 980  | 460  | 2  | 2  | 134  | 130  | ||||||
Zn, ppm  | 114  | 89  | 104  | 74  | 90  | 116  | 83  | 302  | 99  | 96  | 87  | 84  | 87  | 100  | 
Co, ppm  | 123  | 136  | 147  | 145  | 130  | 90  | ||||||||
Mo, ppm  | –  | –  | –  | –  | 1  | <5  | –  | |||||||
Ag, ppm  | –  | –  | –  | –  | 2  | 0.06  | –  | |||||||
Au, ppb  | 4  | 12  | 8  | 21  | 31  | 24  | 6  | 7  | ||||||
Pd, ppb  | 272  | 231  | 440  | 412  | 426  | 1775  | 13  | 64  | ||||||
Pt, ppb  | 192  | 65  | 30  | 185  | 168  | 52  | 7  | 74  | ||||||
*Составы пород из табл. 4 в статье (Пшеницын и др., 2022); ** h, м.
Для термометрических расчетов по программе КОМАГМАТ-5.3 были взяты 24 образца из табл. 1, за исключением 4, наиболее богатых серой, рудных образцов. Особенности моделирования таких сильно пересыщенных сульфидом систем обсуждаются в разделе “Обсуждение результатов”. Расчеты кристаллизации пород проводилось для номинально сухих условий при давлении 1 атм и летучести кислорода, отвечающей буферу QFM. Эти параметры близки условиям кристаллизации довыренской магмы, которые оценены ранее независимыми методами (P ≤ 0.5–1 кбар, содержание воды в расплаве <0.5 мас. %, летучесть кислорода ≤ QFM), см. (Арискин и др., 2017). Вычисления проводились с шагом 0.5 мол. % до максимальной степени кристаллизации 75–85%.
На рис. 3 показан расчетный порядок выделения минеральных фаз при равновесной кристаллизации расплавов для трех типичных слабоминерализованных пород из табл. 1 (с содержанием серы менее ~0.4 мас. %). Во всех случаях он отвечает последовательности оливин (Ol) + алюмохромистая шпинель (Spl) → плагиоклаз (Pl) → высоко-Са пироксен (Cpx) → ортопироксен (Opx), которая хорошо согласуется со сменой главных кумулусных ассоциаций довыренских пород (Ariskin et al., 2016). При этом надо иметь в виду, что показанные здесь максимальные температуры для оливина около 1290°С представляют не ожидаемые температуры при 100% плавлении данных пород (они варьируют от 1480 до 1500°С), а температуры частичной кристаллизации этих виртуальных расплавов, отвечающие наиболее примитивной довыренской магме как смеси высокомагнезиального расплава с оливином Fo88. Это наиболее магнезиальный оливин, установленный по результатам расчетов для примитивных оливиновых кумулатов Йоко-Довыренского массива (Арискин и др., 2017; Ariskin et al., 2018b). Тогда как минералогические особенности оливиновых габброноритов из апофиза DV10 и анализ траекторий кристаллизации (см. ниже) указывают на менее примитивную субкотектическую (Ol + Pl) магму. Этот факт подчеркивается формальной границей в 1185°С, смысл которой будет ясен из последующего рассмотрения.
По результатам вычислений сульфидная ликвация в породах моделируется как до, так и после появления на ликвидусе плагиоклаза. Таким образом, все изученные образцы можно разделить на три группы пород: (1) в которых ликвация сульфидов начинается раньше или почти одновременно с плагиоклазом, (2) позже кристаллизации плагиоклаза при температуре ниже 1185°С или же (3) породы, демонстрирующие протяженную сульфидно-оливиновую котектику. Этим группам соответствуют образцы DV907-1, DV903-1 и DV913-3 соответственно (рис. 3). При этом важно отметить, что большинство слабоминерализованных пород апофиза относятся к первой группе, которая отвечает насыщению исходной магмы сульфидной серой.
Что касается третьей группы образцов с повышенным содержанием сульфидов (в качестве примера на рис. 3 показаны результаты моделирования для обр. DV913-3 с содержанием серы 0.41 мас. %), то их особенностью является сульфидная ликвация, сопряженная с кристаллизацией оливина при виртуальных температурах намного выше начала выделения плагиоклаза, т. е. отражающих предшествующее накопление сульфидов в протокумулусной системе. По этой причине в образцах с более высоким и максимальным содержанием серы сульфид нередко появлялся в качестве первой фазы, выпадающей из расплава – одновременно с ликвидусным оливином. Столь сильное пересыщение сульфидом (из-за высокой степени аккумуляции в породах) прямо указывает на сегрегацию сульфидных жидкостей из некоторого вышележащего объема магмы или кумулатов. Этот факт и находит отражение в расчетах, когда КОМАГМАТ-5 сразу сбрасывает избыточный сульфидный компонент до температуры начала кристаллизации первого силикатного минерала – в данном случае оливина. К этой проблеме мы вернемся в последующих разделах.
Рис. 3. Порядок равновесной кристаллизации расплавов типичных сульфидоносных пород из апофиза DV10. Расчеты по программе КОМАГМАТ-5.3 (Арискин и др., 2023; comagmat.web.ru/apps-comagmat) проведены в приближении номинально сухих систем при P = 1 атм и условиях буфера QFM. Виртуальные начальные температуры во всех трех случаях отвечают 1290°С – максимальному значению, установленному для наиболее примитивной/магнезиальной из возможных довыренских магм (Ariskin et al., 2018a). Вероятная температура для исходной магмы апофиза DV10 (по результатам геохимической термометрии) показана серой линией – 1185°С.
Интерпретация полученных данных. Результаты геохимической термометрии приведены на рис. 4. Как видно на графиках, траектории кристаллизующихся расплавов сходятся в компактную область составов, отвечающую температуре около 1185°C. Такое сгущение расчетных линий свидетельствует о том, что практически все образцы представляют собой кумулаты, кристаллизовавшиеся из смеси одного исходного расплава и ассоциации равновесных кристаллов оливина и плагиоклаза. Из графиков на рис. 4 следует, что этот расплав был близок к насыщению клинопироксеном.
Рис. 4. Линии температурной эволюции состава расплавов по результатам моделирования равновесной кристаллизации пород апофиза DV10 при помощи программы КОМАГМАТ-5.3. Наиболее компактное сгущение траекторий для большинства компонентов отвечает температуре около 1185°С. Красными линиями показаны траектории для пород из верхней части апофиза (от 280 до 80 м), синими – из нижней (от 30 до 0 м). Белыми кружками показаны оценки для среднего состава исходного расплава из табл. 2. На графиках не показаны траектории четырех высокоминерализованных образцов (DV908-1, DV926-2, DV107-1, DV625-M) ввиду больших погрешностей при кристаллизации пород с высоким содержанием серы. FeO на графике отвечает общему (двух- и трехвалентному) железу в породах.
Средний состав исходного магматического расплава, рассчитанный как среднее интервальное для всех модельных траекторий при температуре 1185°C (за исключением рудоносных пород (обр. DV908-1, DV926-2, DV107-1, DV625-M)), приведен в табл. 2. По петрохимическим характеристикам он отвечает умеренно-калиевому андезибазальту. Такой расплав равновесен с оливином ~Fo83.6, количество которого в исходной протокумулусной смеси (в среднем по разрезу) составляет 52.8 ± 7.8 мас. %. Среднее содержание вкрапленников плагиоклаза (2.3 ± 2.4 мас. %) подчеркивает субкотектический (Ol + Pl) характер этой ассоциации, тогда как присутствие 0.24% клинопироксена свидетельствует о близости исходной магмы к насыщению этим минералом.
Для сравнения в табл. 2 приведены оценки параметров расплава и фазового состава магмы при температуре 1185°С для пикродолеритов из верхнего и нижнего контакта апофиза, а также габбронорита из верхнего контакта силла Верблюд (Ariskin et al., 2018b). В целом эти данные демонстрируют близость состава исходного расплава, оливина и плагиоклаза, за исключением того, что пикродолерит из верхнего контакта апофиза указывает на несколько более магнезиальную систему (оливин – Fo85).
Таблица 2. Расплавы и фазовые составы магмы при температуре 1185°С для средневзвешенного апофиза, его закалочных фаций и обр. DV35-2
Компоненты  | Средневзвешенный состав апофиза DV10  | Исходный расплав (n = 24)  | Нижний пикродолерит апофиза (обр. DV627-1-2)  | Верхний пикродолерит апофиза (обр. DV921-2)  | Габбронорит из верхнего контакта силла Верблюд (обр. DV35-2)  | 
Состав исходного расплава при 1185°С, мас. % (σ)  | |||||
SiO₂  | 44.71 (2.68)  | 53.61 (0.77)  | 54.67  | 54.62  | 53.39  | 
TiO₂  | 0.35 (0.08)  | 0.86 (0.11)  | 0.84  | 0.80  | 0.76  | 
A₂O₃  | 7.39 (1.13)  | 14.99 (0.23)  | 15.01  | 14.98  | 14.76  | 
FeO  | 11.75 (2.67)  | 8.03 (0.56)  | 8.72  | 7.46  | 8.35  | 
MnO  | 0.19 (0.01)  | 0.16 (0.01)  | 0.16  | 0.15  | 0.15  | 
MgO  | 27.56 (2.44)  | 7.41 (0.16)  | 7.10  | 7.58  | 7.78  | 
CaO  | 5.22 (0.81)  | 10.77 (0.54)  | 9.81  | 11.04  | 11.64  | 
Na₂O  | 0.81 (0.26)  | 1.91 (0.35)  | 2.02  | 1.80  | 1.69  | 
K₂O  | 0.47 (0.13)  | 1.16 (0.25)  | 1.25  | 1.15  | 1.03  | 
P₂O₅  | 0.07 (0.01)  | 0.16 (0.03)  | 0.13  | 0.14  | 0.15  | 
Cr₂O₃  | 0.51 (0.14)  | 0.07 (0.001)  | 0.067  | 0.072  | 0.073  | 
NiO  | 0.16 (0.22)  | 0.01 (0.004)  | 0.006  | 0.016  | 0.012  | 
Фазовый состав исходной магмы (мас. %)  | |||||
Расплав  | 43.9  | 66.8  | 44.1  | 61.4  | |
Кристаллы  | 56.1  | 33.2  | 55.9  | 38.6  | |
Ol (Fo)  | 52.1 (Fo83.6)  | 32.2 (Fo82.1)  | 49.5 (Fo84.8)  | 36.4 (Fo83.8)  | |
Pl (An)  | 2.3 (An79.7)  | 0.06 (An75.9)  | 3.5 (An79.1)  | 1.8 (An80.2)  | |
Cpx (Mg#)  | 0.24 (Mg# 88.8)  | –  | 1.8 (Mg# 88.5)  | 0.05 (Mg# 87.7)  | |
Spl (Cr#)  | 1.01 (Cr# 0.62)  | 0.4 (Cr# 0.64)  | 1.1 (Cr# 0.64)  | 0.37 (Cr# 0.63)  | |
Sf  | 0.23  | 0.41  | 0.02  | –  | |
SCSS  | 0.087  | 0.092  | 0.075  | 0.126  | |
Замечательной особенностью метода геохимической термометрии является возможность реконструировать исходную протокумулусную структуру объекта, т. е. восстановить пропорции кумулусных фаз и интеркумулусного расплава на каждом стратиграфическом уровне – на стадии, предшествующей началу затвердевания этих гетерогенных систем. Это обусловлено тем, что нахождение вероятной температуры исходной магмы или интрузивной взвеси кристаллов и расплава позволяет вернуться к расчетам для каждого образца и извлечь из файла результатов информацию о фазовом состоянии породы при данной температуре. Для наглядности на рис. 5 (слева) показан график относительного количества кумулусных минералов по разрезу апофиза при 1185°С. Как видно, оливин является доминирующей минеральной фазой, а общее содержание кристаллов в некоторых случаях превышает 70 мас. %. Кумулусный плагиоклаз в небольшой доле присутствует практически во всех породах, в единичных случаях расчеты указывают на присутствие клинопироксена.
Рис. 5. Фазовые характеристики протокумулатов для рудоносных и минерализованных пород апофиза DV10 по результатам геохимической термометрии. Слева – пропорции минералов кумулуса и интеркумулусного расплава по вертикальному разрезу (средневзвешенные оценки для всего апофиза показаны в табл. 2 в колонке “Исходный расплав”). Справа – сравнение измеренных составов оливина (Пшеницын и др., 2022) с составом исходного оливина в табл. 2.
На рис. 5 (справа) реальные вариации состава оливина из пород апофиза DV10 сопоставляются с оценкой состава исходного оливина по результатам геохимической термометрии (Fo83.6±0.9). Хорошо видно, что максимальные наблюдаемые содержания Fo в оливине попадают в интервал вероятного исходного состава, тогда как наиболее сильные отклонения в сторону менее магнезиального оливина коррелируют с увеличением количества интеркумулусного расплава. Это обусловлено переуравновешиванием состава исходного оливина по мере остывания и кристаллизации протокумулусных систем (Арискин, Бармина, 2000). Таким образом, приведенное сравнение можно рассматривать как дополнительный аргумент в пользу реальности реконструкции исходной магмы апофиза DV10, которая отвечала равновесию оливина ~Fo83.6 с габброноритовым расплавом при ~1185°С.
ОБСУЖДЕНИЕ РЕЗУЛЬТАТОВ
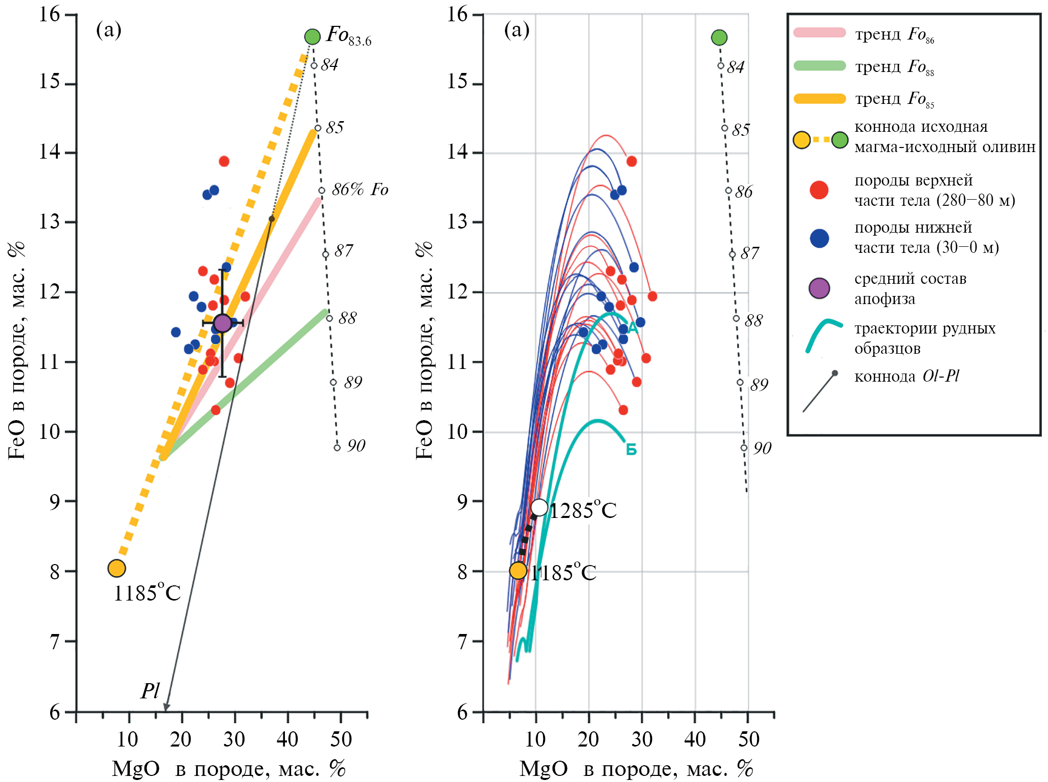
Составы довыренских магм. Опираясь на петрологические реконструкции, ранее обосновано существование двух главных типов магм, сформировавших придонные породы камеры Йоко-Довыренского массива (Ariskin et al., 2018a). Температура пикритоидной магмы, из которой кристаллизовались наиболее примитивные оливиновые кумулаты срединной части массива (пикродолериты контакта и плагиоклазовые лерцолиты), оценивается примерно в 1290°C, а сама она представляла смесь высокомагнезиального расплава с вкрапленниками оливина, по составу близкими Fo88. Менее примитивные оливиновые кумулаты, несущие метку более низкотемпературного расплава (1240–1230°C) в равновесии с оливином ~Fo86, также проявлены в виде плагиоклазовых лерцолитов, находящихся в переслаивании с кумулатами первого типа. Эти соотношения приведены на диаграмме ковариаций содержаний FeO и MgO в породах, которые демонстрируют два явных тренда, отвечающих двум разным коннодам оливин–расплав (рис. 6а).
При попытках распространить подобные графические реконструкции на составы пород из габбро-перидотитовых силлов, подстилающих Йоко-Довыренский массив (см. Supplementary к Ariskin et al., 2018a), вырисовывается тренд еще более фракционированных кумулатов, но уже не оливиновых, а оливин-плагиоклазовых в равновесии с оливином, близким к Fo85 (рис. 6а).
Составы пород из рудоносного апофиза DV10 только частично перекрываются с этим низкотемпературным трендом, но в большинстве случаев (за исключением трех образцов, см. рис. 6) находятся заметно выше. Этому две причины. Первая, даже грубая аппроксимация в координатах FeO–MgO, указывает на оливин ~Fo83–84, что близко к составу исходного оливина Fo83.6 по результатам геохимической термометрии (табл. 2). Это позволяет сделать вывод, что рудоносный апофиз DV10 представляет продукт кристаллизации наиболее низкотемпературной гетерогенной субстанции (1185°С или чуть ниже) из разнообразия довыренских магм, которые формировали тело Довыренского интрузивного комплекса. Вторая причина – значительная часть пород из нижней части разреза содержит не менее 0.5 мас. % серы, что эквивалентно избытку около 1 мас. % железа, соответственно, вертикальному отскоку фигуративных точек состава на диаграмме FeO–MgO.
Рис. 6. Линии оливинового контроля для пород Довыренского интрузивного комплекса и расчетные траектории равновесной кристаллизации пород апофиза DV10. На обоих графиках красными точками показаны породы верхней части апофиза DV10 (от 280 до 80 м), синими точками – породы нижней части (от 30 до 0 м). Пробы глобулярно-сидеронитовых (обр. DV628-2) и сидеронитовых руд (обр. DV625-M, DV625-I и DV107-1) не показаны по причине избытка сульфидного железа и при оценке среднего состава апофиза не учитывались.
(а) Четыре реконструкции коннод исходного равновесия оливин–расплав, которые отвечают: зеленая и розовая линии – двум типам примитивных родительских магм Йоко-Довыренского массива с исходными температурами ~1285°С (равновесие с оливином Fo88) и ~1240°С (Fo86, см. Ariskin et al., 2018a), желтая линия – породы силла Верблюд, которые указывают на более фракционированный характер магмы, в равновесии с оливином ~Fo85 (Арискин и др., 2013, 2015). Желтый пунктир представляет равновесие оливин–расплав в исходной магме апофиза DV10 по результатам геохимической термометрии. Фиолетовым кружком со стандартными отклонениями показан средний состав апофиза DV10 за исключением сильно минерализованных пород. Стрелкой показана коннода, соединяющая составы плагиоклаза (0% FeO и MgO) и оливина (Fo83.6); ее начало (после пунктира) отмечено кружком, который отвечает соотношению кристаллов Ol и Pl в исходной магме при ~1185°С (см. табл. 2).
(б) Модельные траектории эволюции состава расплавов пород апофиза DV10 по результатам моделирования равновесной кристаллизации при помощи программы КОМАГМАТ-5.3 (Арискин и др., 2023). Жирными кривыми А и Б показаны модельные линии эволюции расплава для рудных образцов.
При этом надо учитывать, что метод использования коннод оливин–расплав в координатах FeO–MgO предполагает однозначные реконструкции только для систем, насыщенных оливином. В случае оливин-плагиоклазовой котектики необходим анализ трехмерных диаграмм с привлечением данных по содержаниям A₂O₃ или СаО или учет трехфазового характера котектической ассоциации Ol + Pl + расплав на диаграмме FeO–MgO. Таким образом, при интерпретации валовых составов пород на этой диаграмме необходимо учитывать не только конноды оливин–расплав, но также и линию равновесия плагиоклаз–расплав, представляющую исходную котектику (см. стрелку на рис. 6а). В этом случае множество составов пород апофиза DV10 группируются не вдоль линий оливин–расплав, а располагаются внутри треугольной плоскости, связывающей составы оливина, плагиоклаза и интеркумулусного расплава. Это справедливо для большинства образцов апофиза DV10, за исключением наиболее минерализованных пород и трех образцов с минимальным содержанием FeO при тех же содержаниях MgO (см. рис. 6а).
Три этих наиболее магнезиальных образца представляют разрез апофиза выше рудоносного горизонта. Это позволяет предполагать, что основная часть этого тела несет признаки локальной неоднородности, присутствия протокумулатов более высокой магнезиальности по сравнению с большинством слагающих пород. С учетом малого количества подобных образцов это незначительно сказывается на оценке среднего состава апофиза и положении этой фигуративной точки на диаграмме FeO–MgO, т. е. внутри фазового треугольника Ol–Pl–расплав.
Рис. 7. Генетическая интерпретация пород апофиза DV10 на диаграмме A₂O₃–SiO₂–MgO. Фигуративные точки составов лежат внутри конодного треугольника оливин (Fo83.6)–плагиоклаз (An79.7)–исходный расплав, но тяготеют к линии оливинового контроля как результат накопления кумулусного оливина. Красными точками показаны породы верхней части апофиза DV10 (от 280 до 80 м), синими – породы нижней части (от 30 до 0 м). Пунктирная коннода соединяет исходный расплав при 1185°С (желтый кружок) с составом исходного оливина Fo83.6 (зеленый кружок).
На рис. 7 показаны породы апофиза в координатах A₂O₃–SiO₂–MgO, лежащие на конноде исходная магма–исходный оливин (см. подпись к рис. 6). По сути, этот график дублирует рис. 2 (справа), но теперь мы можем придать ему генетическое значение, дополнив его результатами геохимической термометрии. Как видно, породы апофиза слегка отклоняются от конноды, которая отвечает чистой оливиновой котектике. Это вполне согласуется с содержаниями в 2.3% плагиоклаза и 0.24% клинопироксена в исходной магме (табл. 2).
Сульфидное насыщение исходных расплавов. В работах (Арискин и др., 2017; Ariskin et al., 2018c) установлена недосыщенность наиболее примитивных родительских магм сульфидной серой при температурах 1290–1240°С. Термодинамические расчеты для соответствующих кумулатов показали, что сульфидно-силикатная несмесимость впервые наступает на посткумулусной стадии в продолжающихся кристаллизоваться системах, когда магнезиальность остаточных расплавов отвечает равновесию с оливином Fo86 и ниже. Это объясняет появление убогой минерализации плагиодунитов в разрезе Йоко-Довыренского массива – на стратиграфическом уровне 180–250 м от нижнего контакта (участок Большой–Центральный), см. (Ariskin et al., 2016). Несмотря на рассеянный характер этой минерализации, результаты моделирования кристаллизации плагиодунитов демонстрируют некоторую пересыщенность сульфидной серой, подобно данным для образцов DV907-1 и DV913-3 на рис. 3. Это однозначно указывает на частичную аккумуляцию сульфидов, вероятно, как результат ограниченной поровой миграции первых порций несмесимых сульфидных жидкостей из вышележащих горизонтов.
В случае более фракционированных и относительно низкотемпературных магм, представляющих магматические расплавы в равновесии с оливином Fo84–85, выделение, сегрегация и пространственное перераспределение несмесимых сульфидов могло проявиться уже на ранних стадиях формирования последовательности кумулатов (Ariskin et al., 2018с). Это подтверждают результаты изучения и моделирования кристаллизации пород апофиза DV10, где накопление сульфидов происходило в низах субкамеры в умеренно магнезиальном расплаве (53.6 мас. % SiO₂, 7.4 мас. % MgO), равновесном с оливином ~Fo83 (табл. 2).
Сравнение с ранее полученными данными. При проецировании состава пород апофиза DV10 на график с линиями оливинового контроля (рис. 6а) не удалось однозначно реконструировать состав исходного непереуравновешенного оливина (см. раздел “Составы довыренских магм”). Результаты термодинамического моделирования позволяют предложить генетическую интерпретацию выявленной закономерности. На рис. 6б показаны модельные траектории эволюции расплава для всех изученных пород. Хорошо видно, что за исключением двух рудных образцов (жирные траектории А и Б) равновесная кристаллизация действительно приводит эти расплавы в компактную область составов, отвечающую параметрам исходной магмы при температуре 1185°С (табл. 2). По конфигурации линий данный график напоминает диаграмму на рис. 4 взаимосвязи FeO в расплаве–температура, при этом появляется возможность сравнить точку исходной магмы апофиза DV10 при 1185°С с другим составом родительской магмы, установленной для плагиоперидотитов в базальной части Йоко-Довыренского массива (Арискин и др., 2017).
Белый кружок со значением температуры 1285°С на рис. 6б отвечает самому магнезиальному исходному расплаву первого типа (равновесному с оливином Fo88), см. (Ariskin et al., 2018с). Как видно, эти расплавы формируют единую линию эволюции/фракционирования наиболее примитивной магмы, которая, очевидно, являлась исходной или родительской для множества дифференцированных пород Довыренского интрузивного комплекса. Это можно рассматривать как дополнительный аргумент в пользу того, что апофиз DV10 является именно таковым от основной камеры Йоко-Довыренского массива, а не самостоятельной инъекцией в форме изолированного силла (Пшеницын и др., 2022).
Значительные отклонения модельных линий эволюции расплавов для пород с высоким содержанием серы (обр. DV628-2 – капельно-сидеронитовая руда, DV107-1 – сидеронитовая руда) обусловлены неустойчивостью вычислений и трудностью сохранения баланса масс при высоких содержаниях сульфидов, поскольку в программе КОМАГМАТ-5 сульфидное железо представлено виртуальным оксидом, который входит в состав термодинамического компонента FeO. По этой причине при расчетах эволюции рудоносных пород в режиме равновесной кристаллизации программа КОМАГМАТ-5.3 фактически сбрасывает весь сульфид в начале вычислений вплоть до температуры появления на ликвидусе первого породообразующего минерала, обычно оливина. Соответственно, дальнейшая эволюция модельной системы буферизируется массой выделившегося сульфида, а его количество практически не меняется по мере кристаллизации силикатной части породы. Оставшаяся часть железа в виде FeO и Fe2O3 эволюционирует в расплаве по законам кристаллизации силикатных фаз.
Реологические свойства и проблема текучести протокумулусных систем. Сравнение средневзвешенного состава апофиза DV10 (табл. 2) и эндоконтактовых пикродолеритов (обр. DV627-1-2 и DV921-2) показывает, что различия валового состава этих систем не связаны с отличием в составе исходных расплавов, а определяются вариациями фазового состава магматических суспензий и внедренной кристаллической каши, прежде всего количеством вкрапленников оливина ~Fo83.6 и комплементарного расплава. При этом термин “исходная магма”, скорее, применим к породам нижнего эндоконтакта (~33% вкрапленников оливина), но никак не отвечает пикродолериту из верхнего контакта и средневзвешенному составу тела, где количество кристаллической фазы составляет около 56% (табл. 2, табл. 3). Эти соотношения ставят вопросы о причинах и механизмах аккумуляции оливина в апофизе DV10, которые связаны с текучестью сильно закристаллизованных суспензий и необходимостью оценки их реологических свойств, включая плотность и эффективную вязкость.
В табл. 3 приведено общее количество минералов кумулуса (φ) и их пропорции в среднем по разрезу апофиза DV10, его закалочных фаций и (для сравнения) протокумулусных характеристик оливинового габбронорита (обр. DV35-2) из нижнего контакта силла Верблюд, см. рис. 2 в (Пшеницын и др., 2020). На основании этих параметров даны оценки вязкости исходного расплава (в приближении ньютоновской жидкости), эффективной вязкости протокумулусных систем (при температуре 1185°С), а также их плотности. Расчеты реологических свойств проводились с помощью программы Conflow (вер. 1.0.5), которая разработана для решения задач, в основном касающихся флюидной динамики при эруптивных извержениях и транспорта магм в субвулканических подводящих каналах (Mastin, 2002).
Для расплавов, содержащих менее 70 мас. % SiO₂, программа Conflow вычисляет вязкость, используя известное соотношение (Shaw, 1972) в форме простого уравнения Аррениуса, в котором логарифм вязкости обратно пропорционален абсолютной температуре. Плотности расплавов в программе Conflow рассчитываются с использованием методов (Ghiorso, Sack 1995) и (Haar et al., 1984). При этом плотность магм представляет средневзвешенную оценку на основе плотностей газа, расплава и кристаллов (пропорционально объемной доле в смеси). Для учета влияния количества кристаллов на эффективную вязкость магмы, в Conflow использует калибровку (Marsh, 1981) применительно к уравнению Эйнштейна, в которой вязкость гетерогенной системы увеличивается экспоненциально по мере того, как объемная доля кристаллов в расплаве приближается к 60% (соответственно плотнейшей упаковке из сферических зерен):
(1)
где ηмагма – вязкость магмы, ηрасплав – вязкость магматического расплава, φ – объемная доля кристаллической фазы, φ0 = 0.6 – максимальная доля кристаллов. Именно таким образом, задавая состав расплава и количество минералов в протокумулусной смеси из табл. 2 при 1185°С и 1 MПa, и в безводных условиях (см. выше условия моделирования при помощи программы КОМАГМАТ-5.3), были получены значения реологических характеристик в табл. 3.
Эти данные показывают, что вязкость расплава в изученных системах варьирует в узких пределах, незначительно понижаясь для расплава ортокумулата, обр. DV35-2. При этом плотность исходных гетерогенных систем (расплав + Ol ± Pl ± Cpx) зависит от количества оливина (ρ ~ 3189 кг/м3), возрастая всего на 7–12 отн. %. Контраст между вязкостью магматического расплава и эффективной вязкостью протокумулусных каш гораздо выше. В случае усредненных характеристик апофиза DV10 имеем logη = 2.21 и 4.71 Па · с соответственно. Это эквивалентно возрастанию вязкости системы более чем на два порядка. Здесь надо учитывать, что расчетное количество кристаллов 56.1% близко к верхнему пределу применимости уравнения Эйнштейна (Marsh, 1981). В случае пикродолерита из нижнего контакта апофиза DV10 имеем возрастание вязкости примерно на порядок (от 2.23 для расплава до 3.09 Па · с для смеси), но и доля кристаллов оливина здесь ниже почти вдвое (табл. 3).
Таблица 3. Фазовый состав и реологические свойства протокумулусных систем для довыренских силлов и апофизов
Параметры  | Исходный расплав (n = 24)  | Нижний пикродолерит апофиза (обр. DV627-1-2)  | Верхний пикродолерит апофиза (обр. DV921-2)  | Габбронорит из нижнего контакта силла Верблюд (обр. DV35-2)  | 
j* (%)  | 56.1  | 33.2  | 55.9  | 38.6  | 
Ol  | 52.1  | 32.2  | 49.05  | 36.6  | 
Pl  | 2.3  | 0.06  | 3.5  | 1.8  | 
Cpx  | 0.24  | –  | 1.8  | 0.05  | 
Вязкость расплава (logη, Па · с)  | 2.21  | 2.23  | 2.29  | 2.16  | 
Вязкость гетерогенной смеси (logη, Па · с)  | 4.71  | 3.09  | 4.98  | 3.24  | 
Плотность расплава (кг/м3)  | 2625  | 2609  | 2611  | 2631  | 
Плотность гетерогенной смеси (кг/м3)  | 2929  | 2801  | 2929  | 2843  | 
*Доля кристаллической фазы.
Открытым остается вопрос о возможности формирования апофиза DV10 в результате внедрения исходной магмы с характеристиками суспензии, содержащей около 56% кристаллической фазы. Определенный ответ сложно получить при отсутствии данных об условиях, которые могли контролировать такое внедрение, включая стрессовое давление, тектонический режим, свойства вмещающих толщ и продолжительность интрудирования. Тем не менее оценка средней вязкости исходной протокумулусной каши (logη = 4.71 Па · с) представляется максимально допустимой и накладывает дополнительные ограничения на возможность интрузии подобных суспензий. Ведь эта оценка получена на основании данных по всему вертикальному разрезу апофиза DV10, которые указывают на стабильно высокое содержание оливина (рис. 5, слева). При этом заслуживает внимания, что данный разрез построен поперек раздува или мульды апофиза DV10 (см. рис. 1б), которая явилась своего рода карманом или ловушкой для аккумуляции сульфидов, сегрегированных по периферии этой магматической субкамеры (Пшеницын и др., 2022). Такая морфология (не исключено, блюдцеобразной формы) могла привести к тому, что при достаточно долгом времени остывания магматического тела в его срединной части скопились не только сульфиды, но также значительное количество оливина, поступившего с суспензиями, перемещавшимися вдоль наклонных стенок субкамеры. Вероятно, это и привело к образованию и последующей кристаллизации аномально богатых оливином кумулатов. Подобные соображения уже высказывались применительно к базальным частям довыренской камеры, вскрытая мощность которой сужается к периферии и расширяется по направлению к центру, где широко представлены плагиоклазсодержащие дуниты (Ariskin et al., 2018с). Допуская такой механизм перераспределения продуктов кристаллизации магмы, следует ожидать, что комплементарные участки субкамеры по латерали должны характеризоваться меньшим количеством кумулусного оливина, что согласуется с содержанием чуть выше 30% для пикродолерита из нижнего эндоконтакта (табл. 3). Мы принимаем эту оценку как наиболее вероятную с точки зрения фазового состава исходной магмы апофиза DV10. Таким образом, эффективная вязкость этой родительской магмы составляла порядка 103 Па · с (табл. 3).
ВЫВОДЫ
Результаты моделирования равновесной кристаллизации расплавов для 24 пород апофиза DV10 показывают, что порядок выделения минеральных фаз кристаллизующейся магмы отвечает последовательной смене минералов кумулуса: оливин + алюмохромистая шпинель → плагиоклаз → высоко-Ca пироксен → ортопироксен. При этом силикатно-сульфидная несмесимость в протокумулусных системах проявляется вблизи появления на ликвидусе плагиоклаза. Большинство минерализованных пород апофиза демонстрируют траектории первого типа – это предполагает насыщение исходной магмы сульфидной серой. Данный вывод подкреплен прямыми наблюдениями субмиллиметровых и более крупных сульфидных глобул в эндоконтакте апофиза.
Результаты геохимической термометрии модельных траекторий кристаллизации демонстрируют схождение линий эволюции состава расплавов в компактный диапазон при температуре около 1185°C. Оценка среднего состава магматического расплава при этой температуре отвечает умеренно магнезиальному андезибазальту (53.6 мас. % SiO₂, 7.4 мас. % MgO) и богатой оливином суспензии, содержащей 52.1 мас. % кумулусного оливина (Fo83.6), 2.3 мас. % плагиоклаза (An79.7), 0.24 мас. % клинопироксена (Mg# 88.8), 1 мас. % алюмохромита (Cr# 0.62). Растворимость сульфидной серы при этих параметрах (SCSS) составляла 0.083 мас. %, такая магма была насыщена сульфидной серой.
Исходная гетерогенная система (расплав + кристаллы) имела вязкость около 4.7 лог. ед. (Па · с) при интегральной плотности ~2.9 г/см3. Такие параметры не противоречат возможности миграции и интрудирования протокумулусной каши из главной довыренской камеры. Однако наиболее вероятным представляется локализованное накопление оливина в мульдообразной части субкамеры апофиза DV10, которое предшествовало или происходило параллельно накоплению сегрегированных сульфидов.
В качестве аппроксимации фазового состава исходной магмы апофиза DV10 принимаются результаты для пикродолерита из нижнего контакта, указывающие на количество вкрапленников оливина около 32 мас. %. Наименее магнезиальный состав и температура транспортирующего расплава для этой магмы (1185°С) позволяют рассматривать ее как наиболее фракционированный материал из серии довыренских магм, в максимальной степени насыщенный сульфидами.
Источники финансирования. Статья подготовлена в рамках госзадания ГЕОХИ РАН по теме FMUS-2019-0004.
作者简介
I. Pshenitsyn
Vernadsky Institute of Geochemistry and Analytical Chemistry, Russian Academy of Sciences
							编辑信件的主要联系方式.
							Email: lotecsi@gmail.com
				                					                																			                												                	俄罗斯联邦, 							Moscow						
A. Ariskin
Vernadsky Institute of Geochemistry and Analytical Chemistry, Russian Academy of Sciences; Faculty of Geology, Moscow State University
														Email: lotecsi@gmail.com
				                					                																			                								
геологический факультет
俄罗斯联邦, Moscow; MoscowS. Sobolev
Vernadsky Institute of Geochemistry and Analytical Chemistry, Russian Academy of Sciences
														Email: lotecsi@gmail.com
				                					                																			                												                	俄罗斯联邦, 							Moscow						
参考
- Арискин А.А., Данюшевский Л.В., Фиорентини М.Л. и др. Петрология, геохимия и происхождение сульфидоносных и ЭПГ-минерализованных троктолитов из зоны Конникова в Йоко-Довыренском расслоенном интрузиве // Геология и геофизика. 2020. Т. 61. № 5–6. С. 748–773.
 - Арискин А.А., Бармина Г.С. Моделирование фазовых равновесий при кристаллизации базальтовых магм. М.: Наука, 2000. 365 с.
 - Арискин А.А., Бычков К.А., Николаев Г.С. Моделирование микроэлементного состава сульфидной жидкости в кристаллизующейся базальтовой магме: развитие концепции R-фактора // Геохимия. 2017. Т. 55. № 5. С. 453–462.
 - Арискин А.А., Бычков К.А., Николаев Г.С., Бармина Г.С. Обновленный КОМАГМАТ-5: моделирование эффектов выделения сульфидов при кристаллизации алюмохромистой шпинели // Петрология. 2023. Т. 31. № 5. С. 552–569.
 - Арискин А.А., Конников Э.Г., Данюшевский Л.В. и др. Довыренский интрузивный комплекс: проблемы петрологии и сульфидно-никелевой минерализации // Геохимия. 2009. Т. 47. № 5. С. 451–480.
 - Арискин А.А., Николаев Г.С., Данюшевский Л.В. и др. Геохимические свидетельства фракционирования платиноидов иридиевой группы на ранних стадиях дифференциации довыренских магм // Геология и геофизика. 2018. Т. 59. № 5. С. 573–588.
 - Арискин А.А., Пшеницын И.В., Дубинина Е.О. и др. Изотопный состав серы в плагиоперидотитах рудоносного апофиза Йоко-Довыренского интрузива в Северном Прибайкалье // Петрология. 2021. T. 29. № 6. С. 569–587.
 - Бармина Г.С., Арискин А.А. Оценка химических и фазовых характеристик исходной магмы троктолитового интрузива Киглапейт (Лабрадор, Канада) // Геохимия. 2002. T. 2. № 10. С. 1071–1083.
 - Кислов Е.В. Йоко-Довыренский расслоенный массив. Улан-Удэ: Изд. Бурятского НЦ, 1998. 265 с.
 - Криволуцкая Н.А., Арискин А.А., Служеникин С.Ф., Туровцев Д.М. Геохимическая термометрия пород Талнахского интрузива: оценка состава расплава и степени раскристаллизованности исходной магмы // Петрология. 2001. Т. 9. № 5. С. 451–479.
 - Лихачев А.П. Платино-медно-никелевые и платиновые месторождения. М.: Эслан, 2006. 496 с.
 - Орсоев Д.А., Мехоношин А.С., Канакин С.В. и др. Габбро-перидотитовые силлы верхнерифейского Довыренского интрузивного комплекса (Северное Прибайкалье, Россия) // Геология и геофизика. 2018. Т. 59. № 5. С. 589–605.
 - Пшеницын И.В., Арискин А.А., Николаев Г.С. и др. Морфология, минералогия и состав сульфидных капель в пикродолеритах из придонных апофиз Йоко-Довыренского расслоенного интрузива // Петрология. 2020. Т. 28. № 3. С. 280–297.
 - Пшеницын И.В., Арискин А.А., Николаев Г.С. и др. Геохимия и петрология протосульфидных расплавов в рудоносном апофизе Йоко-Довыренского интрузива // Геохимия. 2022. Т. 67. № 3. С. 205–226.
 - Радько В.А. Модель динамической дифференциации интрузивных траппов Сибирской платформы // Геология и геофизика. 1991. № 11. С. 19–27.
 - Рябов В.В., Шевко А.Я., Гора М.П. Магматические образования Норильского района. Новосибирск: Нонпарель. Т. 1 (Петрология траппов, 2-е изд.). 2001. 407 с.
 - Спиридонов Э.М. Рудно-магматические системы Норильского рудного поля // Геология и геофизика. 2010. Т. 51. С. 1356–1378.
 - Френкель М.Я., Арискин А.А., Бармина Г.С. и др. Геохимическая термометрия магматических пород – принципы метода и примеры применения // Геохимия. 1987. № 11. С. 1546–1562.
 - Ariskin A.A. Phase equilibria modeling in igneous petrology: use of COMAGMAT model for simulating fractionation of ferro-basaltic magmas and the genesis of high-alumina basalt // J. Volcanol. Geoth. Res. 1999. V. 90. № 1–2. P. 115–162.
 - Ariskin A.A., Barmina G.S., Koptev-Dvornikov E.V. et al. Intrusive COMAGMAT: From Simple Magma Differentiation Models to Complex Algorithms Simulating the Structure of Layered Intrusions // Adv. in G., A. C., and Planet. Sci. 2023. V. 276. P. 101–119.
 - Ariskin A.A., Bychkov K.A., Nikolaev G.S., Barmina G.S. The COMAGMAT-5: Modeling the effect of Fe-Ni sulfide immiscibility in crystallizing magmas and cumulates // J. Petrol. 2018a. V. 59. № 2. P. 283–298.
 - Ariskin A.A., Danyushevsky L.V., Nikolaev G.S. et al. The Dovyren Intrusive Complex (Southern Siberia, Russia): Insights into dynamics of an open magma chamber with implications for parental magma origin, composition, and Cu-Ni-PGE fertility // Lithos. 2018b. V. 302–303. P. 242–262.
 - Ariskin A.A, Nikolaev G.S., Danyushevsky L.V. et al. Genetic interpretation of the distribution of PGE and chalcogens in sulfide-mineralized rocks from the Yoko-Dovyren layered intrusion // Geochem. Int. 2018c. V. 56. № 13. P. 1322–1340.
 - Ariskin A.A., Kislov E.V., Danyushevsky L.V. et al. Cu-Ni-PGE fertility of the Yoko-Dovyren layered massif (Northern Transbaikalia, Russia): thermodynamic modeling of sulfide compositions in low mineralized dunites based on quantitative sulfide mineralogy // Mineralium Deposita. 2016. V. 51. P. 993–1011.
 - Barnes S.J., Le Vaillant M., Godel B., Lesher C.M. Droplets and bubbles: solidification of sulphide-rich vapour-saturated orthocumulates in the Norilsk–Talnakh Ni-Cu-PGE ore-bearing intrusions // J. Petrol. 2019. V. 60. P. 1–31.
 - Barnes S.J., Mungall J.E., Le Vaillant M. et al. Sulfide-silicate textures in magmatic Ni-Cu-PGE sulfide ore deposits: Disseminated and net-textured ores // Amer. Mineral. 2017. V. 102. P. 473–506.
 - Danyushevsky L.V., Plechov P.Y. Petrolog3: Integrated software for modeling crystallization processes // Geochem. Geophys. Geosyst. Geochem. Soc. 2011. V. 12. № 7. P. 1–32.
 - Ghiorso M.S., Sack R.O. Chemical mass transfer in magmatic processes IV. A revised and internally consistent thermodynamic model for the interpolation and extrapolation of liquid-solid equilibria in magmatic systems at elevated temperatures and pressures // Contrib. Mineral. Petrol. 1995. V. 119. № 2–3. P. 197–212.
 - Gongalsky B.I., Krivolutskaya N.A., Ariskin A.A., Nikolaev G.S. The Chineysky gabbronorite-anorthosite layered massif (Northern Transbaikalia, Russia): its structure, Fe-Ti-V and Cu-PGE deposits, and parental magma composition // Mineralium Deposita. 2016. V. 51. № 8. P. 1013–1034.
 - Gualda G.A.R., Ghiorso M.S., Lemons R.V., Carley T.L. Rhyolite-MELTS: A modified calibration of MELTS optimized for silica-rich, fluid-bearing magmatic systems // J. Petrol. 2012. V. 53. № 5. P. 875–890.
 - Haar L., Gallagher J.S., Kell G.S. NBS/NRC Steam Tables Thermodynamic and Transport Properties and Computer Programs for Vapor and Liquid States of Water in SI Units // Washington, [D.C.]: Hemisphere Pub. Corp. 1984. V. 57. № 9. P. 317–320.
 - Kostitsyn Y.A., Krivolutskaya N.A., Somsikova A.V. et al. Geochemical Features of Potentially Ore-Bearing Mafic Intrusions at the Eastern Norilsk Region and Their Relationships with Lavas (NW Siberian Traps Province) // Minerals. 2023. V. 13. № 2. P. 213.
 - Krivolutskaya N.A., Sobolev A.V. Siberian traps and Pt-Cu-Ni deposits in the Noril’sk area. 2016. Springer, 364 p.
 - Maier W.D. Platinum-group element (PGE) deposits and occurrences: Mineralization styles, genetic concepts, and exploration criteria // J. African Earth Sci. 2005 V. 41. P. 165–191.
 - Marsh B.D. On the crystallinity, probability of occurrence, and rheology of lava and magma // Contrib. Mineral. Petrol. 1981. V. 78. P. 85–98.
 - Mastin L.G. Insights into volcanic conduit flow from an opensource numerical model // Geochem. Geophys. Geosyst. 2002. V. 3. № 7. P. 1–18.
 - Naldrett A.J. Fundamentals of magmatic sulfide deposits // Magmatic Ni-Cu and PGE deposits: geology, geochemistry and genesis: reviews in economic geology. 2011. V. 17. P. 1–50.
 - Naldrett A.J. Magmatic sulfide deposits: geology, geochemistry and exploration. Heidelberg, Berlin: Springer-Verlag, 2004. 727 p.
 - Ripley E.M., Li C. Sulfide saturation in mafic magmas: is external sulfur required for magmatic Ni-Cu-(PGE) ore genesis // Econom. Geol. 2013. V. 108. P. 45–58.
 - Shaw H.R. Viscosities of magmatic silicate liquids: An empirical method of prediction // Amer. J. Sci. 1972. V. 272. № 9. P. 870–893.
 - Wager L.R., Brown G.M. Layered Igneous Rocks. Edinburgh: Oliver & Boyd, 1968. 588 p.
 
补充文件
				
			
						
						
						
						
					
				








