Metasomatism in the Precambrian Crust of the Siberian Craton: Results of a Study of Garnet(±orthopyroxene)-biotite-feldspar Xenolith Rocks From Yubileinaya and Sytykanskaya Kimberlite Pipes, Yakutia
- Authors: Seliutina N.E.1, Safonov O.G.1,2,3, Yapaskurt V.O.2, Varlamov D.A.1, Sharygin I.S.4, Konstantinov K.M.4,5, Kozlovskiy V.M.6
-
Affiliations:
- Korzhinskii Institute of Experimental Mineralogy RAS
- Lomonosov Moscow State University, Department of Geology
- Department of Geology, University of Johannesburg PO Box 524
- Institute of the Earth’s Crust SB RAS
- Irkutsk National Research Technical University
- Institute of Geology of Ore Deposits, Petrography, Mineralogy and Geochemistry RAS
- Issue: Vol 32, No 1 (2024)
- Pages: 91-118
- Section: Articles
- URL: https://bakhtiniada.ru/0869-5903/article/view/256418
- DOI: https://doi.org/10.31857/S0869590324010066
- ID: 256418
Cite item
Full Text
Abstract
Xenoliths in kimberlites are the most perspective objects for studying the composition and structure of the lower levels of the continental crust. Present work is aimed at estimation of P-T fluid conditions of metamorphism for garnet-biotite-feldspar and orthopyroxene-garnet-biotite-feldspar rocks represented as xenoliths in kimberlites of the Yubileynaya and Sytykanskaya pipes, Yakutian kimberlite province. Seven studied samples show inverse dependences of relative contents of garnet and orthopyroxene, orthopyroxene and biotite, garnet and plagioclase, plagioclase and potassium feldspar. This indicates a consistent series of transformations of the assemblage garnet + plagioclase + orthopyroxene ± quartz to the assemblage garnet + biotite + potassium feldspar. In this process, the replacement of plagioclase by potassium feldspar was the leading reaction. Now it is represented by specific reaction textures in the rocks, negative correlations of the mineral contents, as well as in petrochemical characteristics of the rocks. Modeling of xenolith mineral assemblages using the pseudosection approach (PERPLE_X) revealed two groups of rocks corresponding to different depth levels of the Siberian cratonic crust. For rocks where orthopyroxene is absent or is present as single relics, pressure estimates are 9.5–10 kbar, and it is 6–7 kbar for orthopyroxene-bearing samples. The xenolith rocks have close metamorphic peak temperatures of 750–800°C. They experienced 200–250°C cooling and 3–4 kbar decompression, regardless of the level of the crust at which they were initially located. This points to the metamorphic evolution of the rocks during their exhumation, probably associated with collisional processes during the amalgamation of individual terrains of the Siberian craton. Xenoliths enriched in K-feldspar might have been products of metamorphic reactions with participation of aqueous-(carbonic)-salt fluids, which were sourced from basaltic magmas in the lower crust. The most metasomatized rocks were located closest to the place of accumulation of crystallizing magmas.
Full Text
ВВЕДЕНИЕ
1Формирование континентальной коры является одной из ключевых проблем геологии (Taylor, McLennan, 1985; Rudnick, Fountain, 1995; Gerya, 2014). В рамках этой проблемы наиболее дискуссионным является вопрос о составе и структуре нижних уровней континентальной коры на глубинах более 20–25 км. Информация о нижней коре поступает из сопоставления геофизических данных с данными о составе и Р-Т эволюции пород гранулитовой фации метаморфизма, испытавших воздействия температур более 850–900°C и давлений до 12 кбар. Такие породы обнажаются на поверхности в составе обширных разновозрастных комплексов в складчатых областях по границам архейских кратонов (гранулитовые комплексы). В составе этих комплексов заметно преобладают супракрустальные породы. Эксгумация гранулитовых комплексов, записанная обычно в Р-Т трендах субизотермической декомпрессии (например, Harley, 1989), осуществлялась в ходе коллизии и/или аккреции более древних континентальных блоков.
Представительны ли породы эксгумированных гранулитовых комплексов для нижней континентальной коры? Причиной для этого вопроса являются исследования ксенолитов в изверженных породах различного состава (Kay, Kay, 1981; Taylor, McLennan, 1985; Rudnick, Taylor, 1987; Rudnick, 1992; Rudnick, Fountain, 1995; Gruber et al., 2021; Koreshkova, Downes, 2021). Среди ксенолитов, минеральные ассоциации которых отражают барические условия нижней коры, резко преобладают гранулиты основного состава, а объем супракрустальных фельзических пород среди ксенолитов обычно не превышает 20% (Kay, Kay, 1981; Taylor, McLennan, 1985; Rudnick, Taylor, 1987; Rudnick, 1992; Rudnick, Fountain, 1995; Gruber et al., 2021; Koreshkova, Downes, 2021). Происхождение гранулитов основного состава обычно связывают с преобразованиями пород, кристаллизовавшихся из базальтовых магм на границе кора–мантия (Bohlen, Mezger, 1989; Pearson, O’Reilly, 1991; Rudnick, Fountain, 1995; Shatsky et al., 2018, 2019; Perchuk et al., 2021; Koreshkova, Downes, 2021). Минеральные ассоциации не всегда позволяют восстановить всю Р-Т эволюцию этих пород из-за их продолжительного нахождения в основании коры. Некоторые исследования (Rudnick, Taylor, 1987; Pearson, O’Reilly, 1991; Pearson et al., 1995; Koreshkova et al., 2011; Shatsky et al., 2018; Perchuk et al., 2021) сообщают, что для ксенолитов основных гранулитов характерны тренды субизобарического снижения температуры (Bohlen, Mezger, 1989; Harley, 1989). Такие тренды интерпретируются либо как результат остывания самих базальтовых магм в ходе их аккумуляции в низах коры (Rudnick, Taylor, 1987; Pearson, O’Reilly, 1991; Pearson et al., 1995; Shatsky et al., 2018; Perchuk et al., 2021), либо как результат остывания после более поздних метаморфических событий (Koreshkova et al., 2011). Отдельные исследования также указывают на запись условий ультравысокотемпературного метаморфизма и субизобарических Р-Т трендов в ксенолитах нижнекоровых фельзических пород (например, Dawson et al., 1997; Schmitz, Bowring, 2003). Однако ни для основных, ни для фельзических ксенолитов неизвестны Р-Т тренды, связанные с заметной декомпрессией, подобной той, которая записана в породах эксгумированных региональных гранулитовых комплексов. Поэтому вопрос о связи гранулитов, транспортированных на поверхность в виде ксенолитов, и гранулитов в региональных эксгумированных комплексах является открытым. Однако он принципиален для понимания структуры и эволюции континентальной коры.
Наиболее перспективными для изучения ксенолитов пород нижней и средней коры являются кимберлиты, магмы которых быстро доставляют материал с разных глубин литосферы. Так, кимберлитовые трубки Якутской провинции являются источником многочисленных ксенолитов различных по составу пород, поднятых с разных уровней верхней мантии и коры Сибирского кратона (Шацкий и др., 2005; Moyen et al., 2017; Koreshkova, Downes, 2021). Подобно другим кимберлитовым провинциям (Kay, Kay, 1981; Rudnick, 1992; Rudnick, Fountain, 1995; Gruber et al., 2021), более 60–70% ксенолитов пород коры в кимберлитах Якутской провинции представлено гранулитами основного состава – гранат-пироксен-плагиоклазовыми (Grt2 + Cpx + Pl ± Opx ± Hbl ± Bt ± Sсp ± Ilm ± Rt ± Ap) и двупироксен-плагиоклазовыми (Cpx + Opx + Pl ± Hbl ± Rt ± Ap) породами (Бузлукова и др., 2004; Шацкий и др., 2005; Shatsky et al., 2016, 2018, 2019, 2022; Koreshkova et al., 2009, 2011; Moyen et al., 2017; Perchuk et al., 2021; Koreshkova, Downes, 2021). Они являются продуктами кристаллизации (и последующего метаморфизма) базальтовых магм, геохимические характеристики которых варьируют от внутриплитных Fe-толеитовых магм до магм, связанных с зонами субдукции (Koreshkova et al., 2011; Shatsky et al., 2019). Для гранат-пироксен-плагиоклазовых и двупироксен-плагиоклазовых гранулитов в ксенолитах характерны субизобарические Р-Т тренды эволюции (Koreshkova et al., 2011; Shatsky et al., 2018; Perchuk et al., 2021).
Породы метаосадочного происхождения составляют не более 10% от всего разнообразия ксенолитов из кимберлитовых трубок Якутской кимберлитовой провинции (например, Бузлукова и др., 2004). Они представлены главным образом породами, в которых преобладает ассоциация Grt + Bt + Pl + Kfs ± Qz, где количественные соотношения породообразующих минералов сильно варьируют (Бузлукова и др., 2004; Shatsky et al., 2016, 2018, 2019, 2022; Koreshkova et al., 2009). Разные авторы обращают внимание на присутствие реликтов ортопироксена в гранат-биотит-полевошпатовых породах в ксенолитах (Koreshkova et al., 2009; Shatsky et al., 2016).
Гранат-биотит-полевошпатовые породы в ксенолитах характеризуются обилием циркона, характеристики которого типичны для метаосадочных пород. М. Ю. Корешкова и др. (Koreshkova et al., 2009) определили, что U-Pb возраст двух генераций метаморфических цирконов из ксенолита гранат-биотит-полевошпатовой породы из трубки Удачная составляют 1936 ± 6 млн лет и 1894 ± 5 млн лет соответственно. Широкий спектр возрастов между 2900 и 1800 млн лет выявлен при анализе зерен циркона в подобных породах из трубки Комсомольская (Shatsky et al., 2016). Тем не менее на фоне этого спектра четко выделяются пики возрастов в интервале 1900–1800 млн лет (Shatsky et al., 2016). Пик возраста (1930 млн лет) получен для циркона из гранат-биотит-полевошпатовой породы из трубки Нюрбинская (Shatsky et al., 2022). Однако общий спектр возрастов, полученных для ксенолитов подобных пород из этой трубки, составляет 3100–1800 млн лет, что в (Shatsky et al., 2022) интерпретируется как проявление нескольких стадий переработки коры Сибирского кратона, которая существовала уже в эоархее. Полученные возрасты указывают на вовлечение гранат-биотит-полевошпатовых пород в процессы преобразования коры Сибирского кратона в неоархейское и палеопротерозойское время (Koreshkova et al., 2009; Moyen et al., 2017; Shatsky et al., 2016, 2019, 2022; Koreshkova, Downes, 2021), вероятно, в ходе амальгамации различных его террейнов (например, Rosen et al., 2006; Donskaya, 2020).
Оценки температуры образования минеральных ассоциаций ксенолитов гранат-биотит-полевошпатовых пород основаны главным образом на использовании гранат-биотитового термометра. Так, для ксенолитов из трубки Комсомольская на основе нескольких калибровок этого термометра были рассчитаны температуры 560–650°С (Shatsky et al., 2016). С использованием гранат-биотитового термометра М. Холдауэя (Holdaway, 2000) для подобных пород из ксенолитов из трубки Нюрбинская были получены температуры 670–720°С (Shatsky et al., 2022). Применение термометра “Ti-в-цирконе” (Fu et al., 2008) для ксенолитов из трубки Нюрбинская показало еще более высокие температуры 760–770°С (Shatsky et al., 2022), которые согласуются с расчетами в работах (Koreshkova et al., 2009; Shatsky et al., 2018) для ксенолитов гранат-биотит-полевошпатовых пород из трубок Удачная и Заполярная.
В отсутствие минеральных ассоциаций, калиброванных как геобарометры, барические условия образования гранат-биотит-полевошпатовых пород оценивались лишь приблизительно (например, Koreshkova et al., 2009). Поэтому, в отличие от метамагматических гранат-пироксен-плагиоклазовых и двупироксен-плагиоклазовых гранулитов, положение гранат-биотит-полевошпатовых пород в разрезе Сибирского кратона не вполне ясно. Гранат-биотит-полевошпатовые породы из трубки Нюрбинская по спектрам редкоземельных элементов (REE) близки к породам средней коры (Shatsky et al., 2022). Это согласуется с выводом М. Ю. Корешковой и др. (Koreshkova et al., 2009) о том, что минеральные ассоциации гранат-биотит-полевошпатовых пород формировались в диапазоне 6–7 кбар. Однако от пород средней коры их отличает заметное обогащение средними и тяжелыми REE, а также Zr, Hf и Sr (Shatsky et al., 2022). По мнению В. С. Шацкого и др. (Shatsky et al., 2016), гранат-биотит-полевошпатовые породы могут представлять собой материал как нижней, так и средней коры Сибирского кратона. Такой вывод авторы сделали на основе геохронологических данных, указывающих, что гранат-пироксен-плагиоклазовые основные гранулиты и гранат-биотит-полевошпатовые породы ксенолитов испытали одни и те же тектоно-термальные события в истории кратона (Shatsky et al., 2016, 2022). Это означает, что либо эти тектоно-термальные события охватывали и нижнюю, и среднюю кору кратона (см. также Koreshkova, Downes, 2021), либо гранат-биотит-полевошпатовые породы, минеральные ассоциации которых отражают условия средней коры (например, Koreshkova et al., 2009), изначально были сформированы в нижней коре и затем эксгумированы на ее более высокие уровни. Однако Р-Т тренды, отражающие эксгумацию, неизвестны для гранат-биотит-полевошпатовых пород из ксенолитов. На основе композиционной гомогенности минералов в этих породах делается вывод, что минеральные ассоциации гранат-биотит-полевошпатовых пород сохранили Р-Т условия лишь самого последнего (палеопротерозойского) тектоно-термального события (Koreshkova et al., 2009; Shatsky et al., 2016, 2022).
Настоящая статья посвящена изучению ксенолитов гранат-биотит-полевошпатовых и ортопироксен-гранат-биотит-полевошпатовых пород из трубок Юбилейная и Сытыканская Якутской кимберлитовой провинции. Такие ксенолиты из указанных трубок ранее не исследовались. Работа преследует три цели: (1) определение Р-Т условий метаморфизма этих пород, отражающих различные уровни глубины в разрезе Сибирского кратона, (2) построение Р-Т трендов метаморфизма этих пород, отражающих их геодинамическую историю, и (3) выявление флюидного режима и роли процессов высокотемпературного метасоматизма в эволюции указанных пород.
ГЕОЛОГИЧЕСКОЕ ПОЛОЖЕНИЕ
Фундамент Сибирского кратона представлен четырьмя тектоническими провинциями (супертеррейнами): Анабарской в центре, Оленекской на северо-востоке, Тунгусской на западе и Алданской на юго-востоке (Rosen et al., 1994, 2006; Розен и др., 2000; Pisarevsky et al., 2008; Donskaya, 2020) (рис. 1). В пределах Анабарской провинции, где расположены изученные в настоящей работе объекты, выделены Маганский гранулит-гнейсовый (2.9 млрд лет), Мархинский гранит-зеленокаменный (2.5 млрд лет) и Далдынский гранулит-гнейсовый террейны (3.1 млрд лет) (рис. 1; Rosen et al., 1994, 2006). Согласно О.М. Розену с соавторами (Розен и др., 2000), породы гранулит-гнейсовых террейнов представляют собой нижнюю кору, а породы гранит-зеленокаменной ассоциации формировались в верхней коре. Большая часть Сибирского кратона залегает под покровом осадочных пород (главным образом кембрийских карбонатных пород) и триасовых платобазальтов (Сибирские траппы) мощностью 13–15 км. Общая мощность коры кратона составляет 43–46 км (Suvorov et al., 2006), хотя отмечены ее вариации в пределах 32–54 км (Cherepanova et al., 2013). Анабарская тектоническая провинция окончательно сформировалась в палеопротерозое (2.0–1.8 млрд лет) в ходе амальгамации указанных выше террейнов (Rosen et al., 2006; Donskaya, 2020).
В Сибирском кратоне выделены четыре эпизода кимберлитового магматизма: силурийский–раннедевонский (420–400 млн лет), позднедевонский (~360 млн лет), триасовый (~235 млн лет) и юрский (~150 млн лет) (Tretiakova et al., 2017 и ссылки в этой работе), большинство кимберлитовых трубок расположено в Оленекской и Анабарской тектонических провинциях. В пределах Анабарской провинции расположены Малоботуобинское, Накынское, Далдынское, Алакит-Мархинское, Верхнемунское кимберлитовые поля. Кимберлитовые трубки Юбилейная (372 ± 4.8 млн лет; Sun et al., 2014) и Сытыканская (363 ± 13 млн лет; Kravchinsky et al., 2002), коровые ксенолиты которых нами изучены, находятся в Алакит-Мархинском кимберлитовом поле (рис. 1).
Рис. 1. Карта-схема, показывающая главные структурные элементы основания Сибирского кратона (Donskaya, 2020). Тунгусский, Тасеевский и Ангаро-Ленский террейны объединены в Тунгусскую провинцию (супертеррейн), Маганский, Далдынский и Мархинский террейны объединены в Анабарскую провинцию (супертеррейн), Олекминский, Западно-Алданский, Восточно-Алданский и Батомский террейны объединены в Алданскую провинцию (супертеррейн), основу Оленекской провинции (супертеррейна) составляет Бирректинский террейн.
МИНЕРАЛЬНЫЙ СОСТАВ И СТРУКТУРА ПОРОД КСЕНОЛИТОВ
Исследованные ксенолиты представлены угловатыми и слабо округлыми фрагментами размером от 3 до 10 см с порфиробластовой структурой, которая макроскопически выражена в крупных светло-красных зернах граната. На поверхности некоторых ксенолитов присутствуют темные корки толщиной до 5 мм, которые являются продуктами либо воздействия кимберлитового расплава, либо постмагматических преобразований. Изученные шлифы ксенолитов были изготовлены из пород центральных частей ксенолитов без видимых признаков воздействия окружающего кимберлита. Тем не менее продукты воздействия кимберлита или постмагматических преобразований присутствуют в шлифах (см. ниже).
Таблица 1. Относительные количества (об. %) главных породообразующих минералов в ксенолитах из трубок Юбилейная (ЮБ) и Сытыканская (СЫ)
Номер образца | Kfs | Pl | Grt | Bt | Opx |
СЫ-96-158Н | 34.9 | 20.2 | 31.0 | 13.9 | ~0.1 |
ЮБ-96-51Н | 47.1 | 8.0 | 22.6 | 22.3 | 0.0 |
СЫ-96-29Н | 17.9 | 43.7 | 13.0 | 24.0 | 1.4 |
СЫ-93-143Н | 32.1 | 25.4 | 18.9 | 15.3 | 8.2 |
СЫ-96-73Н | 24.7 | 42.3 | 10.9 | 10.5 | 11.6 |
ЮБ-97-82Н | 11.8 | 56.3 | 13.9 | 4.1 | 13.9 |
СЫ-97-2Н | 43.5 | 20.4 | 18.0 | 11.7 | 6.3 |
Примечание. Относительные количества рассчитывались на основе анализа BSE фотографий шлифов без учета акцессорных и вторичных минералов.
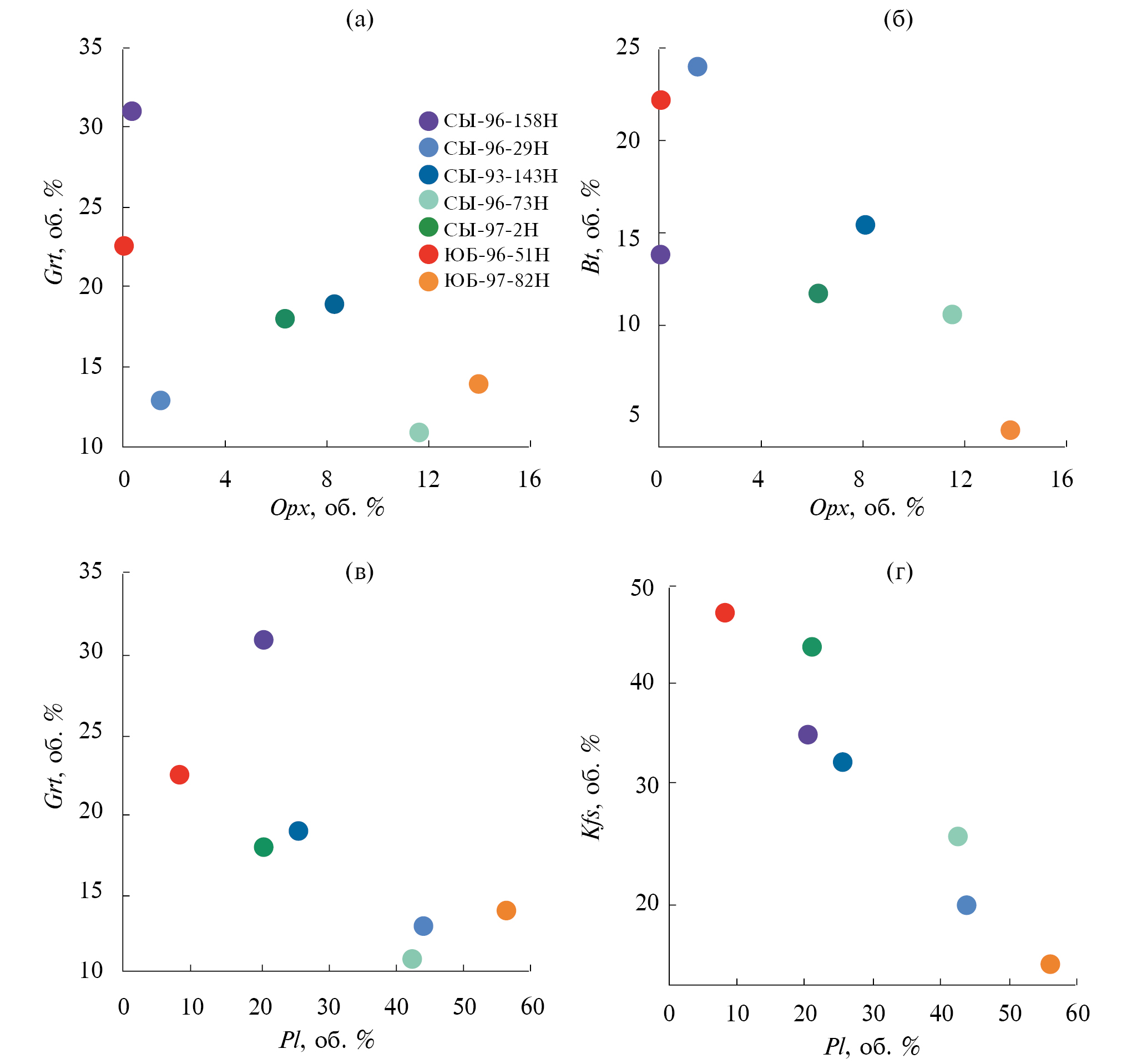
В изученных образцах ксенолитов наблюдаются широкие вариации количественных соотношений граната, ортопироксена, биотита, плагиоклаза и калиевого полевого шпата (табл. 1). Гранат присутствует во всех образцах (табл. 1). Наиболее богат им обр. СЫ-96–158Н (табл. 1). В этом образце ортопироксен отмечен лишь в виде единичных включений в гранате и в виде отдельных зерен в полевошпатовой основной массе породы. В обр. ЮБ-96–51Н (табл. 1) гранат также заметно доминирует, но ортопироксен в этой породе не обнаружен. В ряду семи изученных образцов проявляется обратная зависимость относительных содержаний граната и ортопироксена (рис. 2а). Наиболее бедны гранатом и богаты ортопироксеном образцы СЫ-96–73Н и ЮБ-97–82Н (табл. 1). Обратные зависимости также соблюдаются между содержаниями ортопироксена и биотита (рис. 2б), граната и плагиоклаза (рис. 2в). Проявлена отчетливая обратная зависимость между содержаниями плагиоклаза и калиевого полевого шпата (рис. 2г).
Рис. 2. Корреляции относительных содержаний породообразующих минералов в образцах ксенолитов (табл. 1): (а) Opx–Grt, (б) Opx–Bt, (в) Pl–Grt, (г) Pl–Kfs.
В большинстве изученных образцов содержание калиевого полевого шпата не опускается ниже 20 об. % (табл. 1, рис. 3а–3д). В наиболее богатых калиевым полевым шпатом породах (обр. СЫ-96–158Н) плагиоклаз сохраняется лишь в виде реликтов в крупных ксеноморфных зернах калиевого полевого шпата, причем эти реликты сами обычно интенсивно калишпатизированы по трещинам. Во всех изученных породах развиты многочисленные каймы калиевого полевого шпата различной мощности на зернах плагиоклаза, которые в образцах, богатых калиевым полевым шпатом, связаны обычно с крупными зернами этого минерала (рис. 3а–3д). Плагиоклаз часто содержит антипертитовые вростки калиевого полевого шпата, которые из-за их очень неравномерного распределения в зернах плагиоклаза интерпретируются как структуры замещения, а не распада. Даже в обр. ЮБ-97–82Н (табл. 1), где количество калиевого полевого шпата составляет всего ~12 об. %, он развит в виде кайм и антипертитовых вростков замещения в доминирующем плагиоклазе (рис. 3д). Кварц в породах присутствует в незначительных количествах. Отдельные зерна кварца в матрице породы, где они ассоциируют с полевыми шпатами, обнаружены только в обр. ЮБ-97–82Н, который наиболее богат плагиоклазом и ортопироксеном, но беден калиевым полевым шпатом и биотитом. Мелкие включения кварца в порфиробластах граната присутствуют в образцах СЫ-96–29Н (рис. 3б) и ЮБ-97–82Н, СЫ-93–143Н.
Рис. 3. Минеральный состав и структуры пород ксенолитов. (а) Обширное развитие калиевого полевого шпата и биотита в основной массе, обр. СЫ-96–158Н. Порфиробласты граната содержат включения биотита и единичные включения ортопироксена. (б) Включения ортопироксена, биотита и редкие включения кварца в ксеноморфных зернах граната, обрастающих зерна ортопироксена, обр. СЫ-96–29Н. В гранобластовой плагиоклаз-ортопироксеновой основной массе активно развиваются калиевый полевой шпат и биотит. Биотит также замещает ортопироксен в виде отдельных листочков, их агрегатов и симплектитов. (в) Атоллообразные зерна граната, обр. СЫ-93–143Н, окружающие ортопироксен-плагиоклаз-калишпатовые участки основной массы. (г) Пойкилобластовые срастания граната и ортопироксена, обр. СЫ-96–73Н. Калиевый полевой шпат совместно с биотитом замещают ортопироксен-плагиоклазовую основную массу породы. (д) Крупные порфиробласты ортопироксена и граната в плагиоклазовой основной массе, обр. ЮБ-97–82Н. Калиевый полевой шпат замещает плагиоклаз в виде кайм, мелких ксеноморфных зерен и многочисленных антипертитовых вростков. Количество биотита в образце заметно меньше по сравнению с другими породами.
В образцах СЫ-96–158Н и ЮБ-96–51Н (табл. 1), которые характеризуются наиболее высоким содержанием граната и калиевого полевого шпата (табл. 1), кварц в виде включений в гранате не обнаружен. Тем не менее округлые включения хлорита в гранате, окруженные мелкими трещинами, могут быть продуктами замещения кварца в ходе поздних изменений.
Вариации количеств минералов в изученных образцах ксенолитов (рис. 2а–2г) указывают на то, что, по-видимому, породы представляют собой закономерный ряд, в котором идет преобразование ассоциации Grt + Pl + Opx ± Qz до ассоциации Grt + Bt + Kfs, где определяющим является замещение плагиоклаза калиевым полевым шпатом.
Текстуры большинства пород массивные (рис. 3а–3д). Нечеткой гнейсовидностью обладает лишь обр. ЮБ-97–82Н (табл. 1), в котором чередуются прослои, обогащенные крупными (1–2 мм) зернами ортопироксена, с линзами, содержащими округлые зерна граната такого же размера, и прослои, в которых преобладают полевые шпаты (рис. 3д). Элементы сланцеватой текстуры, выраженные в ориентировке листочков биотита, проявлены в обр. СЫ-96–29Н (табл. 1). В породах обычны порфиробласты граната размером от 2 до 5 мм в зависимости от образца (рис. 3а, 3б). В некоторых образцах (СЫ-96–73Н) наряду с крупными зернами граната присутствуют зерна размером до 1 мм, которые обычно более ксеноморфны, чем крупные порфиробласты. Образцы СЫ-93–143Н и СЫ-96–29Н содержат “атолловые” порфиробласты граната, окружающие отдельные зерна ортопироксена или ортопироксен-плагиоклазовые участки матрицы породы (рис. 3б, 3в). В образцах ЮБ-97–82Н, СЫ-93–143Н, СЫ-96–73Н, содержащих значительное количество ортопироксена (табл. 1), зерна этого минерала по размерам сопоставимы с гранатом (рис. 3б–3д). В обр. ЮБ-97–82Н ортопироксен образует отдельные порфиробласты, размер которых в ряде случаев даже больше размера порфиробластов граната (рис. 3д). В других образцах ксеноморфные зерна ортопироксена формируют сростки с гранатом и крупные включения в нем, благодаря чему структура пород выглядит местами пойкилобластовой (рис. 3б, 3г). Ортопироксен также образует сростки с биотитом. Например, в обр. СЫ-93–143Н ортопироксен-биотитовые агрегаты формируют вытянутые линзы, придающие породе слабую полосчатость. Однако в большинстве случаев листочки биотита различного размера неориентированны и развиваются вдоль границ зерен полевых шпатов или вокруг порфиробластов граната и ортопироксена (рис. 3а–3д). В образцах СЫ-96–29Н (рис. 3б) и СЫ-96–73Н (рис. 3г) присутствуют биотитсодержащие симплектиты, схожие с биотит-кварцевыми структурами, широко известными в породах гранулитовой фации. Однако в случае образцов ксенолитов вместо кварца в симплектитах присутствует хлорит, заместивший кварц.
Порфиробласты граната и ортопироксена содержат разнообразные включения (рис. 3а–3д). Среди включений в гранате в образцах ЮБ-96–51Н и СЫ-96–158Н преобладают включения биотита и рудных минералов. Наряду с ними, в порфиробластах граната в обр. СЫ-96–158Н присутствуют отдельные мелкие включения хлоритизированного ортопироксена (рис. 3а). В других же образцах порфиробласты граната содержат минералы, слагающие основную массу породы: ортопироксен, биотит, плагиоклаз, калиевый полевой шпат, акцессорные минералы, а также срастания этих минералов (обр. ЮБ-97–82Н). В образцах, содержащих значительное количество ортопироксена, крупные зерна этого минерала также содержат включения биотита, плагиоклаза и граната (рис. 3б, 3г). Как отмечалось выше, кварц во многих образцах сохранился лишь в виде включений в гранате. В гранате из обр. СЫ-97–2Н обнаружены включения шпинели, отсутствующие в матрице породы. Включения калиевого полевого шпата часто пространственно приурочены к трещинам в гранате (обр. СЫ-96–158Н, СЫ-96–29Н), что может указывать на позднее образование этого минерала по отношению к гранату. Порфиробласты граната и ортопироксена во всех образцах разбиты многочисленными трещинами (рис. 3а–3д), по которым интенсивно развиваются вторичные минералы.
Характерными акцессорными минералами всех образцов являются циркон, монацит, апатит, ильменит, рутил. Рутил в некоторых образцах приурочен к листочкам биотита, причем как в матрице породы, так и во включениях в гранате (обр. СЫ-97–2Н, СЫ-93–143Н, ЮБ-97–82Н). Доминирующим Ti-оксидом в этих образцах является ильменит, образующий крупные зерна. И наоборот, в обр. СЫ-96–158Н как ильменит, так и рутил редки. В образцах СЫ-97–2Н, СЫ-93–143Н, СЫ-96–73Н присутствуют сульфиды (пирротин, пентландит, халькопирит), образующие взаимные сростки. В других образцах сульфиды не обнаружены.
Породы подвержены в той или иной мере преобразованиям, связанным либо с воздействием кимберлитовой магмы, либо с постмагматическими изменениями. По трещинам в породах развиваются агрегаты, основой которых являются серпентин и хлорит. Их агрегаты развиты также в трещинах в зернах граната и ортопироксена. С воздействием содержащих Mg и Fe растворов, по-видимому, связаны псевдоморфозы хлорита по округлым включениям кварца в гранате. Ильменит и рутил часто замещены гидроксидами железа и титанитом, а вокруг зерен сульфидов образуются продукты окисления. Степень развития вторичных продуктов различна для разных образцов. Например, в обр. СЫ-96–73Н, СЫ-93–143Н, СЫ-96–29Н она составляет менее 5 об. % и главным образом выражена в развитии хлорита по биотиту. Наиболее интенсивно (>20 об. %) продукты вторичных изменений развиты в обр. СЫ-96–158Н и ЮБ-96–51Н, что сказывается на их валовом составе.
АНАЛИТИЧЕСКИЕ МЕТОДЫ
Валовый химический состав пород на главные элементы (табл. 2) определялся методом рентгенфлюоресцентного анализа (РФА) на вакуумном спектрометре последовательного действия (с дисперсией по длине волны) PW 2400 производства компании PANalytical в ИГЕМ РАН (Москва). Для анализа использовались стеклянные диски, приготовленные сплавлением смеси безводного флюса (Li₂B₄O₇ + LiBO₂ + LiBr), порошков пород и LiNO₃. Содержание летучих компонентов определялось методом потери при прокаливании (П.п.п.) (табл. 2). Типичное отклонение от стандартов составляет менее 1 мас. % для главных элементов, присутствующих в концентрациях более 1 мас. %. Значения ниже 0.05 мас. % принимались равными нулю. Анализы образцов на редкие и рассеянные элементы проводились посредством масс-спектрометрии с индуктивно связанной плазмой (ИСП-МС, XSeriesI) и атомно-эмиссионного метода с индуктивно связанной плазмой (ИСП-АЭС, ICAP-61) в ИПТМ РАН.
Таблица 2. Измеренные (фактические) валовые, рассчитанные (эффективные) составы (мас. %) и содержания рассеянных элементов (ppm) в породах ксенолитов из трубок Юбилейная (ЮБ) и Сытыканская (СЫ).
Компоненты | СЫ-96-158Н | ЮБ-96-51Н | СЫ-93-143Н | СЫ-96-29Н | СЫ-96-73Н | СЫ-97-2Н | ЮБ-97-82Н | |||||||
ФС | ЭС | ФС | ЭС | ФС | ЭС | ФС | ЭС | ФС | ЭС | ФС | ЭС | ФС | ЭС | |
SiO₂ | 42.36 | 49.41 | 34.81 | 50.58 | 51.85 | 50.96 | 47.29 | 49.78 | 51.58 | 51.97 | 49.58 | 51.16 | 48.74 | 53.00 |
TiO₂ | 0.95 | 0.91 | 0.84 | 1.78 | 1.01 | 0.98 | 1.04 | 1.44 | 0.97 | 0.79 | 1.00 | 0.82 | 0.94 | 0.92 |
Al₂O₃ | 18.05 | 20.75 | 17.03 | 19.22 | 17.6 | 19.05 | 18.9 | 18.89 | 16.68 | 19.37 | 18.29 | 18.74 | 19.12 | 19.66 |
Fe₂O₃ | 15.44 | н.р. | 10.63 | н.р. | 10.63 | н.р. | 13.68 | н.р. | 11.4 | н.р. | 10.05 | н.р. | 13.19 | н.р. |
FeO | н.о. | 11.61 | н.о. | 9.82 | н.о. | 10.75 | н.о. | 11.72 | н.о. | 9.12 | н.о. | 9.78 | н.о. | 9.79 |
MnO | 0.346 | 0.23 | 0.165 | 0.14 | 0.152 | 0.17 | 0.219 | 0.19 | 0.154 | 0.19 | 0.131 | 0.14 | 0.246 | 0.19 |
MgO | 13.59 | 6.15 | 23.32 | 6.76 | 7.61 | 6.71 | 8.75 | 6.57 | 8.59 | 5.38 | 9.54 | 5.64 | 8.02 | 5.28 |
CaO | 1.19 | 2.13 | 0.46 | 1.10 | 2.23 | 2.14 | 2.55 | 2.92 | 2.77 | 3.75 | 1.56 | 1.92 | 2.97 | 4.26 |
Na₂O | 0.64 | 1.80 | 0.09 | 1.39 | 1.96 | 1.90 | 1.57 | 2.04 | 2.4 | 2.58 | 1.59 | 1.86 | 2.45 | 3.33 |
K₂O | 3.08 | 5.68 | 1.14 | 8.11 | 5.57 | 5.91 | 4.48 | 5.15 | 4.12 | 4.88 | 5.94 | 6.64 | 2.81 | 2.45 |
P₂O₅ | 0.08 | н.р. | 0.06 | н.р. | 0.12 | н.р. | 0.16 | н.р. | 0.04 | н.р. | 0.09 | н.р. | 0.08 | н.р. |
П.п.п. | 3.92 | 11.21 | 1.27 | 1.36 | 1.29 | 2.24 | 1.44 | |||||||
Li | 192 | 440 | 82.4 | 134 | 86.2 | 151 | 142 | |||||||
Be | 0.19 | 0.93 | 0.63 | 0.88 | 0.93 | 0.71 | 0.58 | |||||||
Sc | 56 | 31.5 | 23.7 | 13.7 | 25.0 | 18.4 | 32.5 | |||||||
V | 161 | 159 | 180 | 183 | 190 | 169 | 171 | |||||||
Cr | 133 | 119 | 207 | 161 | 177 | 172 | 145 | |||||||
Co | 30.2 | 28.6 | 29.2 | 32.3 | 26.6 | 26.8 | 27.8 | |||||||
Ni | 43.1 | 324 | 73.5 | 80.7 | 111 | 126 | 58.6 | |||||||
Cu | 9 | 11.2 | 24.4 | 6.4 | 65.3 | 46.9 | 10.9 | |||||||
Zn | 102 | 109 | 126 | 141 | 172 | 117 | 133 | |||||||
Ga | 15.4 | 17 | 22.6 | 25.9 | 25.5 | 26.3 | 24.3 | |||||||
Rb | 102 | 72.6 | 185 | 167 | 138 | 224 | 89.0 | |||||||
Sr | 288 | 63 | 929 | 955 | 693 | 763 | 812 | |||||||
Y | 97.9 | 39.6 | 33.4 | 34.4 | 30.2 | 22.7 | 57.3 | |||||||
Zr | 117.6 | 139.8 | 180 | 230 | 165 | 198 | 185 | |||||||
Nb | 14.9 | 14.3 | 14.5 | 21.8 | 13.1 | 20.6 | 16.1 | |||||||
Mo | 2.7 | 0.6 | 2.4 | 1.2 | 1.4 | 1.7 | 0.9 | |||||||
Cd | 0.3 | 0.23 | 0.15 | 0.25 | 0.13 | 0.19 | 0.28 | |||||||
Sn | 0.3 | 0.3 | 0.29 | 0.33 | 0.56 | 0.62 | 0.54 | |||||||
Cs | 0.61 | 0.56 | 0.85 | 2.7 | 0.82 | 2.0 | 0.48 | |||||||
Ba | 1267 | 250 | 2229 | 2148 | 1957 | 2676 | 1239 | |||||||
La | 56.5 | 31.2 | 50.0 | 53.6 | 39.6 | 46.6 | 45.2 | |||||||
Ce | 107 | 66.3 | 97.6 | 109 | 70.1 | 91.5 | 88.2 | |||||||
Pr | 12.1 | 7.2 | 10.2 | 11.6 | 6.6 | 9.0 | 8.9 | |||||||
Nd | 47.8 | 29.5 | 42.4 | 47.5 | 25.1 | 36.7 | 36.7 | |||||||
Sm | 10.8 | 6.5 | 7.6 | 9.1 | 4.0 | 7.1 | 7.5 | |||||||
Eu | 1.2 | 1 | 1.7 | 1.4 | 1.6 | 1.7 | 1.3 | |||||||
Gd | 12.6 | 7 | 5.7 | 6.8 | 3.2 | 5.5 | 7.1 | |||||||
Tb | 2.6 | 1.1 | 0.93 | 1.1 | 0.62 | 0.84 | 1.3 | |||||||
Dy | 17.6 | 6.6 | 5.7 | 6.5 | 4.5 | 4.4 | 9.0 | |||||||
Ho | 3.9 | 1.4 | 1.2 | 1.3 | 1.1 | 0.81 | 1.9 | |||||||
Er | 11.9 | 4.3 | 3.5 | 3.7 | 3.4 | 2.2 | 5.5 | |||||||
Tm | 1.6 | 0.64 | 0.51 | 0.53 | 0.55 | 0.30 | 0.80 | |||||||
Yb | 11.3 | 4.6 | 3.4 | 3.5 | 3.7 | 2.0 | 5.2 | |||||||
Lu | 1.61 | 0.66 | 0.53 | 0.54 | 0.61 | 0.30 | 0.79 | |||||||
Hf | 3.6 | 4.4 | 4.8 | 6.2 | 4.4 | 5.3 | 5.1 | |||||||
Ta | 0.85 | 0.81 | 0.76 | 1.4 | 0.56 | 1.3 | 0.88 | |||||||
W | 1.69 | 0.44 | 1.4 | 1.9 | 1.2 | 1.2 | 2.0 | |||||||
Tl | 0.82 | 0.85 | 1.4 | 0.95 | 0.80 | 2.3 | 0.65 | |||||||
Pb | 19.45 | 9.11 | 25.0 | 20.5 | 18.2 | 31.1 | 22.8 | |||||||
Th | 20.8 | 12 | 16.2 | 14.7 | 4.7 | 13.7 | 11.3 | |||||||
U | 1.6 | 3.1 | 1.1 | 2.2 | 0.43 | 1.8 | 1.0 | |||||||
Примечание. ФС – фактические составы, измеренные с помощью РФА, ИСП-МС и ИСП-АЭС; ЭС – рассчитанные эффективные составы; П.п.п. – потери при прокаливании. н.о. – компонент не определялся, н.р. – компонент не рассчитывался.
Взаимоотношения минералов и их химический состав (Supplementary3, ESM_1.xlsx–ESM_7.xlsx) исследовались с использованием следующих аналитических систем.
(1) Сканирующий электронный микроскоп Jeоl JSM-6480LV с энергодисперсионным микроанализатором Link INCA Energy 350 (в Лаборатории локальных методов анализа вещества кафедры петрологии и вулканологии МГУ). Анализы производились при ускоряющем напряжении 15 кВ, силе тока 15 нA, время анализа составляло 100 с для всех элементов. Погрешности измерения концентраций всех анализируемых элементов не более ±10 отн. % при концентрациях от 1 до 5 мас. %; до ±5 отн. % при концентрациях от 5 до 10 мас. % и до ±2 отн. % при концентрациях свыше 10 мас. %.
(2) Сканирующие электронные микроскопы Tescan VEGA-II XMU с энергодисперсионным спектрометром INCA Energy 450 и CamScan MV2300 (VEGA TS 5130MM) с энергодисперсионным спектрометром INCA Energy 350 (в Научном подразделении физических методов исследования вещества ИЭМ РАН). Анализы производились при ускоряющем напряжении 20 кВ, силе тока 10 нA, диаметре электронного пучка 160 нм (зона возбуждения до 3 мкм), время анализа составляло 100 с для всех элементов. Относительные ошибки измерения следующие: для массовых концентраций оксидов (элементов) свыше 10 мас. % – до 2 отн. %; 5–10 мас. % – до 5 отн. %; от 1 до 5 мас. % – до 10 отн. %.
СОСТАВЫ МИНЕРАЛОВ
Гранат
Гранат в ксенолитах характеризуется вариациями XMg = 0.21–0.39 и XCa = 0.017–0.057, а содержание MnO не превышает 1.5 мас. %. Зональность в порфиробластах граната во всех образцах очень слабо выражена (рис. 4а–4в). Магнезиальность обычно уменьшается к краям зерен на 1–5 мол. %, что зависит от того, с каким минералом контактирует гранат. В контакте с биотитом и ортопироксеном вариации магнезиальности максимальны, тогда как в контакте с полевыми шпатами магнезиальность практически не меняется. Зональность по магнезиальности хорошо проявлена вокруг включений Fe-Mg минералов в гранате. Однако вне зависимости от контактирующего минерала в зернах граната проявлено небольшое уменьшение содержания CaO к краям. Так, в наименее зональных зернах граната из обр. СЫ-93–143Н содержание не более 0.25 мас. %, тогда как в других образцах вариации содержания CaO между центральными и краевыми зонами порфиробластов составляют более 0.5 мас. % (см. Supplementary 1, ESM_1.xlsx–ESM_7.xlsx). Эти вариации выходят за предел аналитической ошибки измерения содержания CaO в гранате (~0.08 мас. % CaO) на использованном оборудовании. Уменьшение XCa в гранате к краям симметрично выражено в профилях через порфиробласты (рис. 4а–4в). Оно проявлено также в зернах, незональных по магнезиальности. Так что вариации содержания XCa (гроссуляровой составляющей) в гранате не являются следствием ошибок анализа, что отвечает закономерным изменениям состава граната на фоне меняющихся физико-химических условий.
Рис. 4. Зональность зерен граната в образцах ксенолитов СЫ-93–143Н (а), ЮБ-96–51Н (б) и СЫ-96–158Н (в) вдоль профилей, показанных красными пунктирными линиями на BSE фотографиях. Тонкая пунктирная линия – измеренные значения параметров, сплошная тонкая линия – средневзвешенное значение величин, взятое для трех измерений.
Биотит
Биотит в изученных образцах представлен флогопит-аннитовым твердым раствором с содержанием истонит-сидерофиллитовой составляющей не более 25 мол. %. Магнезиальность биотита в изученных образцах варьирует в пределах 0.63–0.72 в центральных частях зерен и 0.65–0.79 на контактах с гранатом, в том числе во включениях в гранате. Это указывает на влияние Fe-Mg обмена биотита с гранатом.
Рис. 5. Вариации состава биотита в породах ксенолитов: (а) XMg–TiO₂ (мас. %), (б) XMg–F (мас. %), (в) XMg–Cl (мас. %).
Содержание TiO₂ в биотите из изученных ксенолитов составляет 4.4–8.4 мас. % (рис. 5а). Обычно центральные части зерен биотита обогащены TiO₂ на 0.5–1.5 мас. % по сравнению с краевыми зонами. Содержание TiO₂ в биотите включений в гранате и ортопироксене обычно сопоставимо с содержанием этого компонента в центральных частях зерен биотита в основной массе пород. Именно во включениях отмечены максимальные для биотита содержания TiO₂.
Содержание фтора в биотите из изученных ксенолитов варьирует от 0.1 до 3.9 мас. % (рис. 5б). Краевые зоны листочков биотита из основной массы обычно на 0.5–2 мас. % богаче фтором по сравнению с центрами. Самые высокие концентрации фтора отмечены в краях зерен биотита из обр. СЫ-96–158Н. Содержание F во включениях биотита в гранате чуть выше, чем в центральных частях листочков в основной массе, что коррелирует с более высокой магнезиальностью включений. В целом для биотита из отдельных образцов соблюдается прямая корреляция между содержанием фтора и магнезиальностью.
Биотит из ксенолитов содержит хлор, содержание которого варьирует от первых долей мас. % до 0.5 мас. % (рис. 5в). Особо выделяется биотит из обр. СЫ-96–73Н, где содержание Cl как в биотите основной массы образца, так и во включениях биотита в гранате составляет более 0.3 мас. % (рис. 5в). Это коррелирует с меньшим содержанием фтора в биотите из этого образца (рис. 5б).
Содержание Fe3+ (Fe₂O₃) в биотите оценивалось по методике (Li et al., 2020). Расчетные данные, нанесенные на треугольную диаграмму Fe2+–Mg–Fe3+ для биотитов в ассоциациях, буфферированных по фугитивности кислорода (Wones, Eugster, 1965), показывают, что большинство точек составов расположено вблизи или ниже линии буфера NNO (рис. 6). Наиболее низкое содержание Fe3+ отмечено в биотитах из образцов СЫ-96–158Н и ЮБ-96–51Н, так что точки их составов лежат на стороне Fe2+–Mg треугольной диаграммы. Точки составов биотитов из образцов СЫ-97–2Н и СЫ-96–29Н соответствуют приблизительно уровню буфера NNO или лежат немного выше, выделяются точки состава биотита из обр. СЫ-96–73Н, расположенные между линиями буферов NNO и HM (рис. 6).
Рис. 6. Рассчитанные содержания Fe³⁺ в биотите из пород ксенолитов на треугольной диаграмме Fe²⁺–Mg–Fe³⁺ (форм. ед.) для биотитов в ассоциациях, буфферированных по фугитивности кислорода (Wones, Eugster, 1965).
Ортопироксен
Магнезиальность ортопироксена в изученных образцах варьирует в интервале 0.50–0.64 при содержании Al₂O₃ от 3–3.5 до 5.5–5.7 мас. %. Содержание Al₂O₃ обычно выше во включениях ортопироксена в гранате. Однако четкая зональность в зернах ортопироксена не обнаружена.
Плагиоклаз
Состав плагиоклаза в изученных ксенолитах меняется в интервале XCa = 0.36–0.50.
Апатит
Апатит в ксенолитах характеризуется повышенным содержанием как фтора (2–4 мас. %), так и хлора (0.05–0.4 мас. %). Наиболее богатые фтором апатиты бедны хлором.
ПЕТРОХИМИЧЕСКИЕ ХАРАКТЕРИСТИКИ ПОРОД
Хотя изученные в настоящей работе породы представляют собой ксенолиты из кимберлитовых трубок, расположенных на расстоянии порядка 100 км друг от друга (рис. 1), они имеют близкие валовые химические составы (табл. 2). Образцы СЫ-96–158Н и ЮБ-96–51Н отличаются пониженным содержанием SiO₂ при повышенных MgO и П.п.п (табл. 2). Такие характеристики валового состава этих двух образцов обусловлены обилием агрегатов серпентина, хлорита и других продуктов взаимодействия пород с вмещающим кимберлитом, заполняющих трещины и межзерновое пространство в образцах. На треугольной диаграмме SiO₂–Al₂O₃–(MgO + FeO) точки составов этих образцов смещены в сторону вершины (MgO + FeO) от группы точек составов других пяти образцов (рис. 7а), в которых вторичные минералы занимают значительно меньший объем.
Для того чтобы исключить из составов пород продукты их взаимодействия с кимберлитом, были рассчитаны эффективные составы пород посредством детального подсчета количественных соотношений минералов с использованием графического анализа изображений в обратнорассеянных электронах (BSE) изученных шлифов. Для пересчета объемных (площадных) соотношений фаз в массовые проценты использовались усредненные значения плотностей соответствующих минералов, а поскольку составы минералов в породах мало варьируют, для расчетов эффективных валовых составов брались средние составы минералов. При подсчете объемных соотношений фаз не учитывались площади, занимаемые продуктами взаимодействия с вмещающим кимберлитом (или продуктами вторичных изменений), которые на BSE-изображениях хорошо отличимы от породообразующих минералов благодаря темно-серому или черному оттенкам из-за высоких содержаний MgO и SiO₂. При подсчете количественных отношений учитывались участки зерен минералов, частично замещенные агрегатами вторичных минералов. Это важно при оценке количества ортопироксена, наиболее подверженного замещению агрегатами вторичных минералов, но в которых все же обычно сохраняются реликты ортопироксена.
Рис. 7. Вариации содержания главных породообразующих компонентов в составе пород ксенолитов. (а) Соотношения SiO₂, Al₂O₃ и MgO + FeO. (б) Соотношения CaO, Na₂O и K₂O; светло-фиолетовый прямоугольник обозначает пределы вариаций этих компонентов в плагиоклазах из изученных пород. (в) Корреляция содержания K₂O в породах ксенолитов (табл. 2) с относительным количеством калиевого полевого шпата в них (табл. 1). Серые точки обозначают составы, измеренные с помощью рентгеноспектрального флуоресцентного анализа, голубые точки – эффективные составы, рассчитанные из относительных количеств минералов без учета продуктов воздействия кимберлита (табл. 1).
Эффективные валовые составы изученных пород приведены в табл. 2 как средние значения из нескольких измерений в различных участках шлифов соответствующих образцов. На рис. 7а компактное поле точек эффективных составов почти перекрывается с полем точек измеренных валовых составов (без учета точек составов обр. СЫ-96–158Н и ЮБ-96–51Н). Это свидетельствует о близости измеренных и рассчитанных составов пород и о надежности примененного метода расчета для реконструкции эффективных валовых составов.
Важной характеристикой состава изученных пород являются широкие вариации содержания K₂O (табл. 2). Эта особенность показана на диаграмме Na₂O–CaO–K₂O (рис. 7б) в виде трендов точек как для измеренных, так и для рассчитанных эффективных валовых составов в сторону вершины K₂O. Оба тренда совпадают (без учета точек составов обр. СЫ-96–158Н и ЮБ-96–51Н) и отвечают близким значениям Na₂O/CaO, которые определяются главным образом отношением этих компонентов в плагиоклазах в породах. Это означает, что увеличение содержания K₂O в них компенсируется преимущественно снижением содержаний Na₂O и CaO. Замещение плагиоклаза калиевым полевым шпатом обуславливает тренды на рис. 7б. Прямая корреляция содержания K₂O с количеством калиевого полевого шпата в породах (рис. 7в) и обратная – с количеством плагиоклаза (рис. 2г) подтверждает этот вывод.
Итак, несмотря на вариации минерального состава (табл. 1, рис. 2а–2г), изученные породы ксенолитов имеют близкий химический состав в отношении породообразующих компонентов, а значит, имеют близкий состав протолита. На дискриминационной диаграмме P₂O₅/TiO₂–MgO/CaO (Werner, 1987) точки составов (измеренных и рассчитанных) изученных пород соответствуют полю парапород (рис. 8а). На дискриминационной диаграмме AF (Предовский, 1970) эти точки лежат на границе полей граувакк и смешанных продуктов выветривания основных и ультраосновных пород (исключая составы обр. СЫ-96–158Н и ЮБ-96–51Н) (рис. 8б).
Рис. 8. Петрохимические характеристики пород из ксенолитов. (а) Диаграмма P₂O₅/TiO₂–MgO/CaO (Werner, 1987), разделяющая пара- и ортопороды; (б) Диаграмма AF (Предовский, 1970), позволяющая определить петрохимический тип субстрата. Кружки – фактические измеренные составы, квадраты – эффективные рассчитанные составы (табл. 2). Точки фактических составов образцов СЫ-96–158Н и ЮБ-96–51Н не показаны на диаграмме (а), поскольку находятся вне диапазона отношения MgO/CaO (11.4 и 50.7 соответственно) из-за значительного содержания богатых MgO продуктов взаимодействия с кимберлитом. Поля осадочных и вулканогенно-осадочных пород: I – зернистые осадочные и смешанные породы, II – пелиты, III – хемогенные силициты. Поля изверженных пород: А – ультрабазиты, Б – базиты, В – сиениты, щелочные сиениты и их эффузивные аналоги, Г – диориты, плагиограниты и их эффузивные аналоги, Д – граниты и эффузивные аналоги.
Однако значение K₂O/Na₂O > 1 (кроме рассчитанного эффективного состава обр. ЮБ-97–82Н) и содержание Al₂O₃ > 17 мас. % (табл. 2) отличаются от типичных характеристик граувакк, отражая присутствие в протолите пород ксенолитов пелитовой составляющей. Иным объяснением K₂O/Na₂O > 1 в породах ксенолитов является замещение плагиоклаза калиевым полевым шпатом в ходе метаморфических преобразований (метасоматизма).
Спектры REE для изученных ксенолитов также схожи между собой (рис. 9). Породы обогащены LREE (LaN/YbN = 3.39–16.11) и характеризуются плоскими спектрами HREE (GdN/YbN = = 0.69–2.28). Обогащение HREE обр. СЫ-96–158Н (рис. 9) коррелирует с максимальным содержанием граната в этой породе (табл. 1). Для большинства образцов характерна отрицательная Eu-аномалия (Eu/Eu* = 0.32–0.55). Наиболее “глубокие” Eu-аномалии проявлены в образцах СЫ-96–158Н и ЮБ-96–51Н (рис. 9). Для образцов СЫ-93–143Н и СЫ-97–2Н она выражена слабее (Eu/Eu* = 0.79–0.82), а в спектре REE обр. СЫ-96–73Н проявляется положительная Eu-аномалия (Eu/Eu* = 1.34) (рис. 9).
Рис. 9. Нормированные к составу хондрита (McDonough, Sun, 1995) спектры REE пород ксенолитов. Для сравнения приведены спектры REE парапород Китойского и Иркутского блоков Шарыжалгайского выступа (Turkina, Sukhorukov, 2015) и Хапчанской серии Анабарского щита (Condie et al., 1991).
По спектрам REE изученные породы ксенолитов похожи на метаморфические породы с близким минеральным составом из гранулитовых комплексов, связанных с Сибирским кратоном. В качестве примера на рис. 9 приведены спектры REE парагнейсов Китойского и Иркутского блоков Шарыжалгайского выступа (Turkina, Sukhorukov, 2015) и Хапчанской серии Анабарского щита (Condie et al., 1991). Такое сравнение также демонстрирует, что на REE спектры пород ксенолитов не влияют преобразования, связанные с воздействием кимберлита.
МОДЕЛИРОВАНИЕ МИНЕРАЛЬНЫХ АССОЦИАЦИЙ ПОРОД
Поскольку породы ксенолитов были подвержены в той или иной мере воздействию кимберлитового расплава и вторичным изменениям, в расчетах использовались не валовые анализы, измеренные с помощью РФА, а рассчитанные эффективные валовые составы минеральных ассоциаций (табл. 2). Моделирование минеральных ассоциаций ксенолитов проводилось посредством метода минимизации энергии Гиббса (метода псевдосечений) с использованием программного комплекса PERPLEX_X (Connolly, 2005) в версии 6.7.7. В расчетах использовались стандартные термодинамические свойства конечных членов твердых растворов из базы данных Т. Холланда и Р. Пауэлла (Hоlland, Pоwell, 2011; файл hp11ver.dat). Для моделирования использовались модели твердых растворов биотита Bi(W), ортопироксена Opx(W) и граната Gt(W) из работы (White et al., 2014), модель твердого раствора полевого шпата “feldspar” (Elkins, Grove, 1990) и модель “melt(W)” для силикатного расплава (White et al., 2014).
Процедура моделирования включала следующие этапы: (1) построение диаграмм в координатах Р–Т с различными содержаниями H₂O и свободного O₂ (отражающего содержание Fe₂O₃) для предварительной оценки Р-Т условий, (2) построение изоплет минералов на псевдосечениях Р–Mi и Т–Mi, где Mi – содержание О2 или H₂O для уточнения содержания этих модельных компонентов, (3) построение уточненных Р–Т диаграмм. Для оценки Р-Т условий строились диаграммы с изоплетами X’Mg = Mg/(Mg + Ca + Fe) и X’Ca = Ca/(Ca + Mg + Fe) для граната (без учета Mn), XMg = Mg/(Mg + Fe) для биотита и ортопироксена и содержания анортитового компонента в плагиоклазе XCa = Ca/(Ca + Na + K), соответствующих составам сосуществующих минералов в породах.
Образец ЮБ-96–51Н. В этом образце ведущей является ассоциация Grt + Bt + Kfs + Pl без ортопироксена. Плагиоклаз интенсивно замещен калиевым полевым шпатом. Р-Т псевдосечение (рис. 10а) рассчитывалось при 0.9 мас. % H₂O в системе. Учитывая низкое содержание Fe3+ в биотите – главном силикате-концентраторе закисного железа, – свободный O₂ не брался в расчет. Суперпозиция изоплет для центральных зон профиробластов граната X’Mg = 0.35–0.36 и X’Ca = 0.045–0.05 и центров крупных листочков биотита XMg = 0.69–0.71 указывает на диапазоны 9.5–10 кбар и 750–780°C (рис. 10а). Этим условиям соответствует ассоциация Grt + Bt + Kfs + Pl + Qz + Rt. Хотя кварц в породе не обнаружен, его изначальное наличие в виде включений в гранате не исключено. В указанном Р-Т интервале расположены изоплеты XCa плагиоклаза <0.36, что меньше измеренных значений XCa плагиоклаза в данной породе (0.36–0.44). Вариации содержаний H₂O и O₂ не способствуют сближению изоплет XCa в плагиоклазе и намеченного Р-Т диапазона. Возможной причиной несоответствия рассчитанного состава плагиоклаза измеренным значениям могут быть эффекты, связанные с метасоматической калишпатизацией.
Рис. 10. Р-Т псевдосечения для образцов ксенолитов, рассчитанные для эффективных составов из табл. 2 и содержаний H₂O и O₂, указанных в тексте. (а) – ЮБ-96–51Н, (б) – СЫ-96–158Н, (в) – СЫ-96–29Н, (г) – СЫ-93–143Н, (д) – СЫ-96–73Н, (е) – СЫ-97–2Н, (ж) – ЮБ-97–82Н. Желтые полупрозрачные поля – максимальные Р-Т условия, зафиксированные составами центров порфиробластов граната. Зеленые полупрозрачные поля – минимальные Р-Т условия, отраженные в составах краев порфиробластов граната. Черные штриховые стрелки схематически обозначают вероятную Р-Т эволюцию пород (см. обсуждение в тексте).
Составы краевых частей граната X’Mg = 0.23–0.33 и X’Ca= 0.030–0.041 и XMg = 0.74–0.76, характерные для краевых зон листочков биотита, контактирующих с гранатом, отвечают интервалам 6–7 кбар и 550–600°C (рис. 10а).
Образец СЫ-96–158Н. В этом образце малое количество ортопироксена присутствует в виде реликтов как в основной массе породы, так и в виде включений в гранате (рис. 3а). Ведущей является ассоциация Grt + Bt + Kfs + Pl, где плагиоклаз замещается калиевым полевым шпатом. Р-Т псевдосечение (рис. 10б) рассчитывалось при содержании 0.7 мас. % H₂O в системе, а свободный O₂ не учитывался при расчетах по причине низкого содержания Fe3+ в биотите. Ни одно из фазовых полей рассчитанного псевдосечения для обр. СЫ-96–158Н не содержит ортопироксен (рис. 10б). Специальные расчеты при варьирующих содержаниях H₂O и O₂ в эффективном составе породы не помогли воспроизвести ортопироксен в ассоциации с Grt + Bt + Kfs + Pl. Этот результат подтверждает реликтовый характер ортопироксена в этой породе. Суперпозиция изоплет для центральных зон профиробластов граната X’Mg = 0.37–0.38 и X’Ca= = 0.040–0.045, центров крупных листочков биотита XMg = 0.67–0.68 и центральных частей наименее калишпатизированных зерен плагиоклаза XCa = 0.39–0.40 указывает на 9.5–10 кбар и 800–830°C (рис. 10б). Этим условиям соответствует минеральная ассоциация Grt + Bt + Kfs + Pl + Qz + Rt, сосуществующая с небольшим количеством расплава вблизи солидуса (рис. 10б). Кварц в породе также не обнаружен, хотя его наличие в виде включений в гранате не исключено.
Составы краевых зон граната X’Mg = 0.25–0.35 и X’Ca = 0.027–0.035 и листочков биотита в контакте с гранатом, XMg = 0.72–0.78, отвечают диапазонам 5.6–7 кбар и 580–610°C (рис. 10б).
Образец СЫ-96–29Н. В этом образце ортопироксен присутствует в небольшом количестве, а плагиоклаз заметно преобладает над калиевым полевым шпатом (табл. 1, рис. 3б). Р-Т псевдосечение для этого образца (рис. 10в) рассчитывалось при 0.55 мас. % H₂O в системе и 0.013 мас. % свободного O₂. Суперпозиция изоплет для центральных зон профиробластов граната X’Mg порядка 0.33 и X’Ca = 0.045–0.050, центров крупных листочков биотита XMg = 0.66–0.67 и центральных частей зерен плагиоклаза XCa = 0.43–0.44 указывает на 5.7–6.2 кбар и 700–740°C (рис. 10в). Этим условиям соответствует минеральная ассоциация Grt + Opx + Bt + Kfs + Pl + Qz + Ilm. Кварц отсутствует в основной массе породы, но обнаружен в виде включений в гранате. Малое содержание кварца в породе подтверждается тем, что оцененный Р-Т интервал находится вблизи границы бескварцевого поля Grt + Opx + Bt + Kfs + Pl + Ilm (рис. 10в).
Однако параметры состава ортопироксена, рассчитанные для оцененного Р-Т диапазона, не вполне соответствуют составам ортопироксена, измеренным в обр. СЫ-96–29Н. Изоплета XMg в ортопироксене 0.56, проходящая вблизи этого Р-Т интервала (рис. 10в), сопоставима лишь с наиболее железистыми составами ортопироксена в породе. Изоплеты 3.9–4.9 мас. % содержания Al₂O₃, характерного для ортопироксена в этом образце, расположены заметно выше по температуре (рис. 10в).
Составы краевых частей граната X’Mg < 0.31 и X’Ca = 0.041–0.046 и составы биотита с XMg > 0.70 отвечают давлениям менее 4 кбар и температурам менее 600°C (рис. 10в).
Образец СЫ-93–143Н. Преобладающей в этом образце ассоциацией является Grt + Opx + Bt + Kfs + Pl (табл. 1), причем калиевый полевой шпат преобладает над плагиоклазом, частично замещая его (рис. 3в). Р-Т псевдосечение для этого образца (рис. 10г) рассчитывалось при содержании 0.7 мас. % H₂O в системе. Из-за низкого содержания Fe3+ в биотите свободный O₂ не учитывался при расчетах. Суперпозиция изоплет для центральных зон профиробластов граната X’Mg = 0.35–0.36 и X’Ca = 0.045–0.050, центров крупных листочков биотита XMg = 0.70–0.71 и центральных частей зерен плагиоклаза XCa = 0.38–0.40 указывает на диапазоны 6.2–7.1 кбар и 700–730°C, соответствующие минеральной ассоциации Grt + Opx + Bt + Kfs + Pl + Qz (рис. 10г). Кварц присутствует в виде включений в гранате. В указанных интервалах температур и давлений находятся изоплеты XMg ортопироксена 0.58–0.59, что соответствует измеренным составам ортопироксена в породе. Тем не менее более железистые составы ортопироксена (XMg = 0.56–0.57), а также изоплеты содержания Al₂O₃, характерного для центральных частей зерен ортопироксена в этом образце, расположены заметно выше по температуре (рис. 10г).
Составы краевых частей граната X’Mg < 0.34 при X’Ca < 0.045 отвечают диапазону 4.2–5.4 кбар и температурам менее 600°C (рис. 10г).
Образец СЫ-96–73Н. Ведущей ассоциацией в этом образце также является Grt + Opx + Bt + Kfs + Pl (табл. 1). Плагиоклаз преобладает над калиевым полевым шпатом, а количество ортопироксена сравнимо с количеством граната и биотита (рис. 3г). Р-Т псевдосечение для этого образца (рис. 10д) рассчитывалось при 0.4 мас. % H₂O и 0.02 мас. % свободного O₂ в системе. Пересечение изоплет для центров профиробластов граната X’Mg = 0.31–0.32 и X’Ca = 0.054–0.059, крупных листочков биотита XMg = 0.65–0.66 и зерен плагиоклаза XCa = 0.43–0.44 соответствует 5.6–6.3 кбар и 680–750°C в фазовом поле минеральной ассоциации Grt + Opx + Bt + Kfs + Pl + Qz + Ilm (рис. 10д). Изоплеты XMg в ортопироксене 0.54–0.55 в этом Р-Т интервале сопоставимы с наиболее железистыми составами ортопироксена в породе. Однако изоплеты 3.6–4.6 мас. % содержания Al₂O₃, характерного для ортопироксена в этом образце, расположены выше по температуре (рис. 10д).
Составы краевых частей граната X’Mg = 0.24–0.28 при X’Ca < 0.050, сосуществующие с биотитом XMg = 0.70–0.73 отвечают давлениям менее 4.5 кбар и температурам менее 550°C (рис. 10д).
Образец СЫ-97–2Н. В ассоциации Grt + Opx + Bt + Kfs + Pl этого образца калиевый полевой шпат преобладает над плагиоклазом, а количество ортопироксена меньше суммарного количества граната и биотита (табл. 1). Р-Т псевдосечение для этого образца (рис. 10е) рассчитывалось при содержании 0.43 мас. % H₂O и 0.018 мас. % свободного O₂ в системе. Пересечение изоплет для центров профиробластов граната X’Mg = 0.36–0.37 и X’Ca = = 0.037–0.041, биотита XMg = 0.69–0.70 и плагиоклаза XCa = 0.39–0.40 соответствует давлению порядка 6.5 кбар и температурному интервалу 710–740°C вблизи границ фазовых полей Grt + Opx + Bt + Kfs + Pl + Qz + Ilm и Grt + Opx + Bt + Kfs + Pl + Qz + Rt (рис. 10е). Опять же в этом Р-Т диапазоне изоплеты XMg = 0.58–0.59 в ортопироксене сопоставимы с наиболее железистыми составами этого минерала в породе, а изоплеты содержания Al₂O₃ в нем (4.4–5.9 мас. %) расположены выше по температуре (рис. 10е).
Составы краевых частей граната с X’Mg < 0.34 и чуть более низкие X’Ca отвечают давлениям менее 4.5 кбар и температурам 500–600°C (рис. 10е).
Образец ЮБ-97–82Н. Этот образец наиболее богат плагиоклазом. Содержание ортопироксена в нем сопоставимо с количеством граната, а содержание биотита невелико (табл. 1, рис. 3д). Р-Т псевдосечение для этого образца (рис. 10ж) рассчитывалось при 0.4 мас. % H₂O и 0.005 мас. % свободного O₂ в системе. Пересечение изоплет для центров профиробластов граната X’Mg = 0.32–0.34 при X’Ca порядка 0.05, давлении ~6.8 кбар и температуре ~800°C в фазовом поле Grt + Opx + Bt + Kfs + Pl + Qz (рис. 10ж). При этих параметрах модельная минеральная ассоциация содержит ~4.5 об. % кварца, что является наибольшим для изученных образцов. Действительно, в отличие от других образцов, обр. ЮБ-97–82Н кварц присутствует не только в виде включений в гранате, но и в виде зерен в полевошпатовой основной массе. Однако изоплеты XMg > 0.7 в биотите и XCa = 0.38–0.40 в плагиоклазе, характерные для этого образца, расположены ниже по температуре от вышеуказанного Р-Т интервала (рис. 10ж), а изоплеты XMg ~ 0.54 и 3.0–3.5 мас. % Al₂O₃ в ортопироксене в этом Р-Т диапазоне сопоставимы лишь с наиболее железистыми составами этого минерала в обр. ЮБ-97–82Н. Наилучшая суперпозиция изоплет X’Ca в гранате, XMg в биотите и XCa в плагиоклазе соответствует давлениям менее 5 кбар и температурам менее 600°C. Такие параметры составов равновесны с составами краевых зон профиробластов граната в породе (рис. 10ж). Это подразумевает то, что, даже если пиковые условия метаморфизма породы достигали ~6.8 кбар и ~800°C, составы сосуществующих минералов были в значительной мере переуравновешены на ретроградной стадии.
ОБСУЖДЕНИЕ РЕЗУЛЬТАТОВ
Р-Т условия и эволюция метаморфизма пород
Моделирование минеральных ассоциаций ксенолитов выявило две группы пород по максимальным (пиковым) Р-Т условиям. Первую группу составляют образцы, где ортопироксен не обнаружен (обр. ЮБ-96–51Н) или присутствует в виде единичных зерен (обр. СЫ-96–158Н). Максимальные условия минеральных равновесий в этих образцах, 750–830°C и 9.5–10 кбар (рис. 10а, 10б), оценены по суперпозиции изоплет X’Mg и X’Ca центральных зон порфиробластов граната и XMg центров крупных изолированных листочков биотита в полевошпатовой основной массе пород, наименее подверженных ретроградному Fe-Mg обмену.
Аналогичный подход к оценке Р-Т параметров был применен к образцам СЫ-96–29Н, СЫ-93–143Н, СЫ-96–73Н, СЫ-97–2Н и ЮБ-97–82Н, содержащим ортопироксен. Он показал, что максимальные условия метаморфизма для этих пород, зафиксированные составами граната, биотита и плагиоклаза, укладываются в интервалы 6–7 кбар и 700–760°C (рис. 10в–10ж). Однако для всех указанных образцов было выявлено недостаточное соответствие состава ортопироксена этим Р-Т параметрам. Обычно с оцененными Р-Т интервалами сопоставимы лишь наиболее железистые составы ортопироксена в породах, а изоплеты содержания Al₂O₃ в ортопироксене расположены в стороне более высоких температур от области пересечения изоплет X’Mg и X’Ca граната и XMg биотита (рис. 10в-10ж). Подобная ситуация хорошо известна в практике петрологических исследований пород гранулитовой фации метаморфизма (Pattison, Bégin, 1994; Fitzsimons, Harley, 1994; Aranovich, Berman, 1997; Carson, Powell, 1997; Pattison et al., 2003), в том числе и ксенолитов метапелитов в кимберлитах (Dawson et al., 1997). В указанных работах отмечается, что из-за различия температур закрытия и скоростей диффузии Fe и Mg по сравнению с Al, содержание алюминия в ортопироксене в ассоциации с гранатом лучше сохраняет информацию о высокотемпературных этапах эволюции пород, а XMg минералов отражают лишь условия ретроградного Mg-Fe обмена при остывании. На это влияет модальное содержание ортопироксена в породах, поскольку в Fe-Mg обмен активнее вовлечен именно этот минерал (Fitzsimons, Harley, 1994). Действительно, наибольшие отклонения в положении изоплет XMg и Al₂O₃ в ортопироксене выявлены для обр. СЫ-96–29Н (рис. 10в), в котором содержание ортопироксена немногим превосходит 1 об. % (табл. 1). Таким образом, температуры пика метаморфизма ортопироксенсодержащих пород ксенолитов были, вероятно, несколько выше, чем те, которые фиксируются XMg в ортопироксене и гранате. Для образцов СЫ-96–29Н, СЫ-93–143Н, СЫ-96–73Н, СЫ-97–2Н и ЮБ-97–82Н изоплеты Al₂O₃ в ортопироксене соответствуют температурам 750–800°С (рис. 10в–10ж), сопоставимым с условиями равновесия для образцов ЮБ-96–51Н и СЫ-96–158Н (рис. 10а, 10б).
Итак, Р-Т условия метаморфизма пород ксенолитов гранат-биотит-полевошпатовых и ортопироксен-гранат-биотит-полевошпатовых пород из трубок Юбилейная и Сытыканская отражают два уровня глубины коры Сибирского кратона. Уровень ~30 км характеризуют ксенолиты пород (обр. СЫ-96–158Н и ЮБ-96–51Н), а ксенолиты пород (обр. СЫ-96–29Н, СЫ-93–143Н, СЫ-96–73Н, СЫ-97–2Н и ЮБ-97–82Н) соответствуют уровню ~20 км. Оценки давления для второй группы пород сопоставимы с выводом в работе (Koreshkova et al., 2009), что минеральная ассоциация гранат-биотит-ортопироксен-полевошпатовой породы из ксенолита из трубки Удачная отвечает интервалу 6–7 кбар. По своим минералогическим характеристикам эта порода близка к обр. СЫ-97–2Н из трубки Сытыканская (табл. 1). То, что выделенные группы пород представляют собой различные уровни глубины в коре, подтверждается различиями в модальном содержании граната в породах (рис. 2а, 2в). Ксенолиты образцов СЫ-96–158Н и ЮБ-96–51Н, представляющие более глубинный уровень, характеризуются большим содержанием граната, количество которого в породах увеличивается за счет уменьшения количества плагиоклаза и ортопироксена (рис. 2а, 2в) согласно реакции:
3(En-Fs) + 3An = 2(Prp-Alm) + Grs + 3Qz. (1)
С давлением также увеличивается количество биотита в породах за счет ортопироксена (рис. 2б) по реакции:
3(En-Fs) + Kfs + H2O = (Phl-Ann) + 3Qz. (2)
Итак, реакции (1) и (2) демонстрируют, что с увеличением глубины ассоциации с ортопироксеном закономерно трансформируются в гранат-биотитовые. Это хорошо иллюстрируется Р-Т диаграммой для обр. СЫ-93–143Н (рис. 10г), химический состав которого близок к среднему для изученных пород (табл. 1, 2). Для этого состава при температурах 750–800°C ортопироксен пропадает при давлении порядка 9 кбар.
Максимальные температуры в интервале 750–830°C для образцов ксенолитов из кимберлитовых трубок Алакит-Мархинского поля сопоставимы со значениями 760–770°С, полученными на основе термометра “Ti-в-цирконе” для ксенолитов гранат-биотит-полевошпатовыхх пород из трубки Нюрбинская в Накынском кимберлитовом поле (Shatsky et al., 2022), а также с оценками температур для подобных ксенолитов из трубки Заполярная в Верхнемунском кимберлитовом поле (Shatsky et al., 2018) и для гранат-биотит-ортопироксен-калишпатовой породы из ксенолита из трубки Удачная в Далдынском кимберлитовом поле (Koreshkova et al., 2009).
Минимальные значения Р-Т параметров для гранат-биотит-полевошпатовых и ортопироксен-гранат-биотит-полевошпатовых пород оценены по составам краевых зон порфиробластов граната и контактирующих зон листочков биотита (рис. 10а–10ж). Для всех образцов они находятся в интервале температур 550–600°C, а различие между двумя группами образцов заключается в давлении. Для образцов ЮБ-96–51Н и СЫ-96–158Н оно составляет 6–6.5 кбар (рис. 10а, 10б), а для остальных образцов – 3.5–5 кбар (рис. 10в–10ж). Таким образом, все породы ксенолитов испытали остывание на 200–250°C и декомпрессию на 3–4 кбар вне зависимости от уровня коры, на котором они находились изначально. Согласно положению изоплет X’Mg и X’Ca граната на псевдосечениях (рис. 10а–10ж) снижение этих характеристик состава к краям зерен граната отражает совместное снижение Р и Т. Для большинства порфиробластов граната в изученных породах характерно закономерное симметричное снижение XMg и XCa к краям (рис. 4а–4в). Однако исследования зональности некоторых зерен граната показали, что эти параметры не всегда снижаются к краям зерен одновременно. Зональность по XMg хорошо выражена лишь в тех случаях, если зерна граната контактируют с биотитом или ортопироксеном, а зональность по XCa наблюдается вне зависимости от наличия контакта с другими Fe-Mg минералами (рис. 4а–4в). Таким образом, зональность по XCa формировалась в зернах граната раньше и, вероятно, является ростовой, а вариации XMg являются результатом более позднего Fe-Mg обмена между минералами в ходе остывания. Эти наблюдения позволяют детализировать Р-Т тренды эволюции пород на основе положения изоплет X’Mg и X’Ca граната на Р-Т псевдосечениях. Снижение X’Ca при относительном постоянстве X’Mg отвечает субвертикальному наклону Р-Т тренда (рис. 10а–10ж). Изменение наклона на более пологий приводит к пересечению Р-Т трендом изоплет X’Mg в сторону снижения этого параметра в краях зерен граната в контакте с биотитом и/или ортопироксеном, отражая остывание (рис. 10а–10ж). Итак, ретроградная эволюция метаморфизма пород ксенолитов, вероятно, начиналась с субизотермической декомпрессии, которая сменялась более пологим Р-Т трендом (рис. 10а–10ж).
Насколько нам известно, Р-Т тренды, отражающие декомпрессию пород, ранее не описывались для коровых ксенолитов из кимберлитов. Все исследования, где сообщается об эволюции Р-Т параметров в ксенолитах, указывают на ее субизобарический характер (Rudnick, Taylor, 1987; Pearson, O’Reilly, 1991; Pearson et al., 1995; Dawson et al., 1997; Schmitz, Bowring, 2003; Koreshkova et al., 2011; Shatsky et al., 2018; Perchuk et al., 2021). Однако эти данные в подавляющем числе исследований касаются ксенолитов основных гранулитов, а для фельзических гранулитов данные о Р-Т трендах единичны (например, Dawson et al., 1997). Р-Т тренды субизотермической декомпрессии или более пологие тренды декомпрессии–остывания характерны для региональных эксгумированных гранулитовых комплексов (например, Harley, 1989). В породах гранулитовой фации они обычно выражаются в реакциях распада граната с образованием коронарных и симплектитовых структур с участием плагиоклаза, кордиерита и пироксенов. В изученных ксенолитах гранат-биотит-полевошпатовых и ортопироксен-гранат-биотит-полевошпатовых пород такие структуры отсутствуют, а регрессивные вариации Р-Т условий отражаются лишь в изменении состава сосуществующих минералов с незначительными вариациями количеств минералов в пределах одной ассоциации Grt + Bt + Kfs + Pl ± Opx ± Qz + Ilm/Rt. Это, очевидно, обусловлено валовым составом ксенолитов, который позволяет этой ассоциации существовать в широком интервале температур и давлений (рис. 10а–10ж). Согласно результатам моделирования, количество граната в ассоциации обр. ЮБ-96–51Н, обогащенного гранатом, калиевым полевым шпатом и биотитом (табл. 1), вдоль намеченного Р-Т тренда уменьшается в пределах не более 1.5 об. %. В таких же пределах варьирует количество граната в ассоциации ксенолита обр. ЮБ-97–82Н, богатого ортопироксеном и плагиоклазом (табл. 1).
Р-Т тренды субизотермической декомпресии и/или декомпресии–остывания в региональных гранулитовых комплексах отражают перемещение пород этих комплексов к поверхности. Наиболее популярны модели эксгумации гранулитовых комплексов в результате коллизии кратонов или составляющих их террейнов (Gerya, 2014 с обзором моделей). Полученные данные по ксенолитам гранат-биотит-полевошпатовых и ортопироксен-гранат-биотит-полевошпатовых пород близкого химического и минерального состава (табл. 1 и 2) подтверждают предположение В. С. Шацкого с соавторами (Shatsky et al., 2016), что эти породы представляют собой материал как нижней, так и средней коры Сибирского кратона. Близкие температуры пика метаморфизма для пород из трубок различных кимберлитовых полей, причем вне зависимости от уровня глубины, могут свидетельствовать о том, что тектоно-термальное событие, обусловившее формирование и эксгумацию этих пород, охватывало значительный объем коры кратона (Shatsky et al., 2016, 2022; Koreshkova, Downes, 2021). Ксенолиты коровых пород в кимберлитах Якутской провинции несут свидетельства нескольких тектоно-термальных событий в неоархее и палеопротерозое (Shatsky et al., 2016, 2019, 2022; Moyen et al., 2017; Koreshkova, Downes, 2021), некоторые из которых связаны с коллизионными процессами и могут быть ответственными за эксгумацию высокометаморфизованных пород из средней и нижней коры. Наиболее ранние события соответствуют периоду времени 2.8–2.4 млрд лет и, вероятно, сопровождали начало построения Сибирского кратона (например, Smelov, Timofeev, 2007). Оно наиболее ярко проявлено в образовании синколлизионных гранитоидов, высокотемпературном метаморфизме и мигматизации в юго-западной части Сибирского кратона (Turkina et al., 2012; Sukhorukov, Turkina, 2018; Sukhorukov et al., 2020). Исследования ксенолитов гранат-пироксен-плагиоклазовых гранулитов показывают, что неоархейское событие характеризовалось активным магматизмом в низах коры (Shatsky et al., 2016, 2018). Тектоно-термальные события в период 2.0–1.8 млрд лет являлись следствием амальгамации отдельных террейнов Сибирского кратона (Розен и др., 2000; Rosen et al., 2006; Paquette et al., 2017; Donskaya, 2020), а также, возможно, следствием участия кратона в построении суперконтинента Колумбия (Pisarevsky et al., 2008; Shatsky et al., 2016; Moyen et al., 2017; Paquette et al., 2017; Donskaya, 2020; Koreshkova, Downes, 2021). В ходе этого события формировались региональные коллизионные зоны, в которых широко представлены гранитоиды (например, Билляхская зона между Маганским и Далдынским террейнами, Котуйканская зона между Далдынским террейном и Хапчанским складчатым поясом; рис. 1). Эти коллизионные зоны служили тектоническими границами, по которым были эксгумированы отдельные блоки коры Сибирского кратона (Розен и др., 2000; Rosen et al., 2006; Donskaya, 2020). Примерами могут служить Хапчанский складчатый пояс, надвинутый на Далдынский террейн (Розен и др., 2000; Rosen et al., 2006; Donskaya, 2020), или Шарыжалгайский выступ в юго-западной части Сибирского кратона, различные блоки которого были эксгумированы как в неоархее, так и в палеопротерозое (Turkina et al., 2012; Sukhorukov, Turkina, 2018; Sukhorukov et al., 2020). Обобщение геохронологических данных по цирконам метаморфического генезиса из коровых ксенолитов кимберлитовых трубок Далдынского и Алакит-Мархинского кимберлитовых полей в работе (Koreshkova, Downes, 2021) демонстрирует, что метаморфизм в этот период охватывал как средние, так и нижние уровни коры Сибирского кратона, хотя возраст цирконов из нижнекоровых ксенолитов, по мнению этих авторов, немного моложе. В отличие от неоархейского события, палеопротерозойские события не сопровождались обильным добавлением ювенильного магматического материала в нижней коре (Shatsky et al., 2016, 2018).
Метасоматические процессы в породах ксенолитов
Максимальные Р-Т параметры метаморфизма для всех образцов, даже с учетом возможных более высоких температур, оцененных по содержанию Al₂O₃ в ортопироксене, находятся вне фазовых полей, включающих расплав (рис. 10а–10ж). Лишь минеральная ассоциация Grt + Bt + Kfs + Pl + Qz + Rt в обр. СЫ-96–158Н, согласно расчетам, могла сосуществовать с малым количеством расплава (рис. 10б). Это означает, что богатые калиевым полевым шпатом и бедные кварцем ассоциации ксенолитов являлись продуктами метасоматических преобразований, связанных с взаимодействием пород с водно-солевыми или водно-углекисло-солевыми флюидами с низкой активностью воды, препятствующей плавлению (например, Aranovich et al., 2013). Отрицательная корреляция содержаний калиевого полевого шпата и плагиоклаза в породах (рис. 2г) в сопоставлении с отрицательной корреляцией K₂O с CaO и Na₂O в валовых составах пород (рис. 7б) и положительной корреляцией K₂O с содержанием калиевого полевого шпата (рис. 7в) указывает на то, что развитие калиевого полевого шпата происходило главным образом именно за счет плагиоклаза. Об этом также могут свидетельствовать отрицательные Eu-аномалии в спектрах REE пород (рис. 9).
В изученных породах широко представлены реакционные структуры замещения плагиоклаза калиевым полевым шпатом в виде кайм различной мощности (рис. 3а–3г). Подобные реакционные структуры в гранитоидах обычно интерпретируются как продукты реакций плагиоклаза с солесодержащими флюидами (Putnis, Austreheim, 2013). Л.Л. Перчук с соавторами (Perchuk, Gerya, 1993; Перчук и др., 1994) впервые указали на текстурные свидетельства таких реакций для метаморфических пород, а вслед за этим подобные структуры были описаны в разнообразных гнейсах амфиболитовой и гранулитовой фаций метаморфизма (см. обзоры в Safonov, Aranovich, 2014; Aranovich, Safonov, 2018; Сафонов и др., 2019). Обширное замещение плагиоклаза калиевым полевым шпатом в изученных породах ксенолитов указывает на то, что равновесие минералов в них контролировалось не только температурой, давлением и содержанием (активностью) воды, но и активностями K и Na во флюидах (Safonov, Aranovich, 2014; Aranovich, Safonov, 2018 и ссылки в этих работах). Рост активности K во флюиде ведет к обогащению плагиоклаза анортитовым компонентом (Perchuk, Gerya, 1993; Перчук и др., 1994):
nAn(1 - n)Ab + mK(Cl,F) = nAn x (1 - n - m)Ab + mKfs + mNa(Cl,F), (3)
где K(Cl, F) и Na(Cl, F) взяты как наиболее представительные солевые компоненты флюида, присутствие которых выражено в повышенных содержаниях Cl и F в биотите и апатите изученных пород (рис. 5б, 5в). Реакция (3) может объяснить то, что для большинства образцов рассчитанные изоплеты XCa плагиоклаза, характерного для этих образцов, не вполне совпадают с интервалами пересечения изоплет X’Mg и X’Ca граната и XMg биотита. Примером может служить обр. ЮБ-96–51Н, для которого моделирование предсказывает, что в области пересечения изоплет X’Mg граната и биотита и X’Ca граната состав плагиоклаза должен быть богаче альбитовой составляющей по сравнению с составом плагиоклаза, измеренным в породе (рис. 10а). Напомним, что обр. ЮБ-96–51Н наиболее богат калиевым полевым шпатом (табл. 1, рис. 2г), а плагиоклаз в нем присутствует лишь в виде включений. Для образцов СЫ-96–29Н, СЫ-93–143Н и СЫ-97–2Н в области пересечения изоплет X’Mg граната и биотита и X’Ca граната попадают изоплеты XCa в плагиоклазе, соответствующие лишь наиболее богатым альбитом составам плагиоклаза в этих породах (рис. 10в, 10г, 10е), тогда как в этих породах распространены плагиоклазы более богатые анортитом. Эти примеры указывают на активное участие реакции (3) в формировании минеральных ассоциаций указанных пород. Иначе говоря, для моделирования минеральных равновесий в этих породах необходим учет дополнительных интенсивных параметров – активностей K и Na во флюидах (Safonov, Aranovich, 2014; Aranovich, Safonov, 2018; Сафонов и др., 2019 и ссылки в этих обзорах).
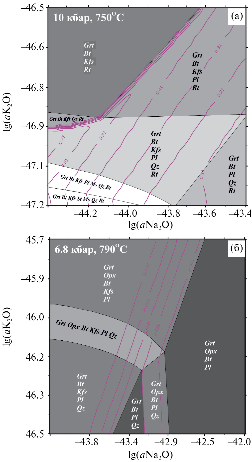
Диаграммы в координатах lg(aNa₂O)–lg(aK₂O), рассчитанные с помощью программного комплекса PERPLE_X (Connolly, 2005) в версии 6.7.7 по методике, описанной в (Safonov et al., 2014; Сафонов, Косова, 2017; Сафонов и др., 2019), демонстрируют преобразования ассоциации Grt + Bt + Pl + Kfs + Rt ± Qz в обр. ЮБ-96–51Н (рис. 11а) и ассоциации Grt + Opx + Bt + Pl + Kfs ± Qz в обр. ЮБ-97–82Н (рис. 11б) в зависимости от указанных интенсивных параметров при постоянных Р-Т, соответствующих пику метаморфизма этих пород. Рисунок 11а демонструрует, что в фазовых полях Grt + Bt + Pl + Kfs + Rt + Qz и Grt + Bt + Pl + Kfs + Rt увеличение aK₂O ведет к росту XCa плагиоклаза в пределах 0.2–0.4, что включает вариации состава плагиоклаза в этих образцах. Это подтверждает вывод о влиянии активности K (и Na) на состав плагиоклаза в них. Диаграмма также показывает, что образование калиевого полевого шпата за счет роста активности K приводит к исчезновению кварца и плагиоклаза (рис. 11а). Это факт хорошо соотносится с отсутствием кварца в основной массе обр. ЮБ-96–51Н (как и в большинстве изученных пород), где калиевый полевой шпат является преобладающим минералом, а плагиоклаз присутствует в нем только в виде реликтов. Лишь в обр. ЮБ-97–82Н, содержащем наименьшее количество калиевого полевого шпата (табл. 1), а значит, наименее подверженном метасоматическим преобразованиям, кварц присутствует как в виде включений в гранате, так и в полевошпатовой основной массе. Рисунок 11б также демонстрирует, что образование калиевого полевого шпата в этом образце c ростом aK₂O сопровождается исчезновением кварца и уменьшением количества плагиоклаза, XCa которого увеличивается. Аналогичные количественные взаимоотношения между калиевым полевым шпатом, плагиоклазом и кварцем отмечались в работе (Koreshkova et al., 2009) в образцах фельзических ксенолитов из трубки Удачная в Далдынском кимберлитовом поле. Породы, обогащенные (до 50 об. %) пертитовым калиевым полевым шпатом, содержат меньше плагиоклаза и незначительное количество кварца в виде включений в гранате.
Рис. 11. Диаграммы в координатах lg(aNa₂O)–lg(aK₂O), демонстрирующие преобразования ассоциации Grt + Bt + Pl + Kfs + Rt ± Qz в обр.ЮБ-96–51Н (а) и ассоциации Grt + Opx + Bt + Pl + Kfs ± Qz в обр. ЮБ-97–82Н (б) в зависимости от активностей Na₂O и K₂O при постоянных Р-Т, соответствующих пику метаморфизма этих пород (рис. 10а, 10ж). Фиолетовые изоплеты – XСa в плагиоклазе.
Метасоматизм проявляется не только в замещении плагиоклаза калиевым полевым шпатом, но и в образовании биотита за счет ортопироксена (и, возможно, частично за счет граната). Об этом свидетельствует обратная корреляция содержаний ортопироксена и биотита в породах (рис. 2б). Реакция (2) не в полной мере способна объяснить эту корреляцию, поскольку ее смещение вправо должно вести к разложению калиевого полевого шпата и появлению кварца. Корреляция отсутствует между содержаниями граната и биотита, указывая на то, что именно ортопироксен наиболее подвержен воздействию флюидов. Значительные вариации содержания Al₂O₃ в ортопироксене указывают на участие этого компонента в образовании биотита (а также граната; реакция (1). Учитывая, что биотит в породах обогащен F и Cl (рис. 5б, 5в), реакции его образования можно представить как:
(Prp-Alm) + 3(En-Fs) + H2O+2K(Cl,F) = Cl-F-(Phl-Ann) + (Phl-Ann), (4)
5(En-Fs) + Mg-Fe-Ts + H2O+2K (Cl,F) = Cl-F-( Phl-Ann) + (Phl-Ann), (5)
где [Cl-F-(Phl-Ann) + (Phl-Ann)] – K(Mg,Fe)3AlSi3 O10(OH, F, Cl)2 – твердый раствор галогенсодержащего биотита. Эти реакции в породах сопряжены с реакцией (3).
Несмотря на то, что во многих исследованиях отмечается обогащение коровых ксенолитов различного состава калиевым полевым шпатом и биотитом, роль активности калия в формировании их ассоциаций не рассматривалась. Существует лишь одна работа, обсуждающая этот вопрос для нижнекоровых ксенолитов. А. Монтанини и Д.Е. Харлов (Montanini, Harlov, 2006) описали процессы калишпатизации в ксенолитах нижнекоровых метагабброноритов из щелочных лав Западной Сардинии, Италия. Авторы объясняют эти процессы взаимодействием с флюидами, обогащенными солями K и Na, и реакциями, подобными уравнению (3). В качестве источника флюидов авторы рассматривают магмы, аккумулирующиеся в нижней коре (андерплейты).
Аналогичный вывод следует для ксенолитов из кимберлитовых трубок Якутии из сопоставления флюидных режимов метаморфизма основных гранулитов – продуктов кристаллизации магм, и супракрустальных фельзических пород. Основываясь на присутствии графита, а также специфике спектров REE в цирконе в некоторых образцах гранат-биотитовых и гранат-биотит-ортопироксеновых пород из ксенолитов из различных трубок, В.С. Шацкий и др. (Шацкий и др., 2005) и М.Ю. Корешкова и др. (Koreshkova et al., 2009) предполагают низкую фугитивность кислорода при формировании их минеральных ассоциаций. Рассчитанное низкое содержание Fe3+ в биотите изученных в нашей работе ксенолитов (за исключением обр. СЫ-97–73Н) (рис. 6), присутствие пирротина в некоторых породах свидетельствует в пользу предположения о низкой фугитивности кислорода при формировании этих пород. Он согласуется с выводом А.Л. Перчука с соавторами (Perchuk et al., 2021) об эволюции минеральных ассоциаций ксенолитов гранат-пироксеновых гранулитов из трубки Удачная на фоне снижения фугитивности кислорода в условиях малых объемов остаточной свободной флюидной фазы, представленной, вероятно, водно-солевой составляющей. Свидетельством этому является обогащение галогенами, особенно хлором, амфибола, скаполита и апатита в некоторых ксенолитах основных пород (Perchuk et al., 2021). Биотит и апатит гранат-биотит-полевошпатовых и ортопироксен-гранат-биотит-полевошпатовых пород также обогащены галогенами (рис. 5б, 5в). Скаполит также отмечался (3–7 об. %) в ксенолитах гранат-биотит-полевошпатовых пород (Shatsky et al., 2016). Он мог быть продуктом взаимодействия этих пород с водно-(углекисло)-солевыми флюидами, покидавшими кристаллизующиеся основные магмы. Все это указывает на возможную взаимосвязь флюидного режима метаморфизма гранат-биотит-полевошпатовых и ортопироксен-гранат-биотит-полевошпатовых пород с процессами дегазации основных магм, формировавших гранат-пироксен-плагиоклазовые гранулиты. Согласно полученным Р-Т данным, образцы ксенолитов СЫ-96–158Н и ЮБ-96–51Н, несущие признаки наиболее сильных метасоматических преобразований (большее количество калиевого полевого шпата и биотита за счет реакций 3–5), характеризуют большие давления (9.5–10 кбар). Эти значения давления аналогичны таковым, которыми оцениваются ассоциации ксенолитов гранат-пироксен-плагиоклазовых гранулитов (Бузлукова и др., 2004; Шацкий и др., 2005; Shatsky et al., 2016, 2018, 2019, 2022; Koreshkova et al., 2009, 2011; Moyen et al., 2017; Perchuk et al., 2021). Итак, наиболее метасоматизированные породы находились в непосредственной близости от места накопления кристаллизующихся базальтовых магм – источников флюидов. Породы, характеризующие менее глубинные условия в коре находились дальше от источника флюида, что способствовало сохранению ортопироксена и плагиоклаза в них.
Согласно оценкам Р-Т условий минеральных ассоциаций ксенолитов гранат-биотит-полевошпатовых и ортопироксен-гранат-биотит-полевошпатовых пород, метасоматические процессы в них сопровождали ретроградную стадию их метаморфической эволюции, связанную с подъемом пород к поверхности. Время этих процессов нельзя пока установить однозначно. Если метасоматизм в нижней–средней коре Сибирского кратона был связан с этапами активного базальтового магматизма в нижней коре, то наиболее подходящим для этого может служить тектоно-термальное событие в период времени 2.7–2.5 млрд лет, сопровождавшееся обильным добавлением ювенильного материала в кору (Shatsky et al., 2016, 2018, 2022). Однако, по нашему мнению, свидетельства метасоматизма в виде калишпатовых реакционных структур вряд ли бы сохранились при последующих этапах мощного преобразования коры Сибирского кратона в палеопротерозое (2.0–1.8 млрд лет). Скорее всего, метасоматические процессы сопровождали палеопротерозойский этап эволюции нижней–средней коры Сибирского кратона. Этот этап знаменовался активным гранитоидным магматизмом в коллизионных зонах (Donskaya, 2020), который мог быть связан с притоком флюидов. Свидетельством тому являются одновременные с гранитоидами (~2.0 млрд лет) процессы чарнокитизации плагиогнейсов, описанные в центральной части Анабарского щита (Nozhkin et al., 2022). Связь метасоматических процессов с палеопротерозойскими этапами эволюции коры Сибирского кратона не исключает того, что источником флюидов все же являлись основные магмы, аккумулировавшиеся внизу коры, пусть даже не столь обильно, как на неоархейских этапах (Shatsky et al., 2016, 2018, 2022; Moyen et al., 2017).
ВЫВОДЫ
Моделирование минеральных ассоциаций метаосадочных гранат-биотит-полевошпатовых и ортопироксен-гранат-биотит-полевошпатовых пород, представленных в виде ксенолитов из кимберлитовых трубок Сытыканская и Юбилейная Якутской кимберлитовой провинции, показало, что они представляют уровни глубины коры Сибирского кратона на ~30 и ~20 км. Породы ксенолитов имеют близкие температуры пика метаморфизма 750–800°С и, вне зависимости от уровня коры, на котором они находились изначально, на регрессивной стадии породы остывали на 200–250°C, что сопровождалось декомпрессией на 3–4 кбар. Это указывает на метаморфическую эволюцию пород в ходе их эксгумации, связанной, вероятно, с коллизионными процессами в ходе тектоно-термальных событий либо в неоархее 2.8–2.5 млрд лет, либо в палеопротерозое 2.0–1.8 млрд лет (Koreshkova et al., 2009; Shatsky et al., 2016, 2022; Koreshkova, Downes, 2021) в ходе амальгамации отдельных блоков Сибирского кратона (Розен и др., 2000; Rosen et al., 2006; Donskaya, 2020).
В ходе метаморфической эволюции метаосадочные породы не испытывали значительного плавления. Однако их минеральные ассоциации являются продуктами преобразований, связанными с взаимодействием пород с водно-(углекисло)-солевыми флюидами на регрессивной стадии метаморфизма. Источником флюидов могли быть кристаллизующиеся базальтовые магмы в основании коры. Их воздействие на породы вело к трансформации ассоциаций гранат + плагиоклаз + ортопироксен ± кварц в ассоциацию гранат + биотит + калиевый полевой шпат. В этом процессе ведущими были реакции замещения плагиоклаза калиевым полевым шпатом, что отразилось в породах в специфических реакционных структурах, в закономерных отрицательных взаимных корреляциях содержаний этих минералов и в петрохимических характеристиках пород (отрицательной корреляции K₂O с Na₂O и CaO). Интенсивность метасоматических реакций увеличивалась с глубиной и достигала максимума на глубинах порядка 30 км, где метаосадочные породы, вероятно, находились в близком контакте с магмами, производящими флюиды.
Благодарности. Материалами для настоящей статьи послужили образцы ксенолитов из коллекции ИЗК СО РАН, переданные институту Д.И. Саврасовым. Авторы благодарят В.С. Шацкого (ИГМ СО РАН) и М.Ю. Корешкову (Институт наук о Земле СПбГУ) за конструктивные замечания и предложения по ее улучшению.
Источники финансирования. Исследование выполнено при поддержке гранта РНФ № 18-17-00206-П (https://rscf.ru/project/21-17-28023/), а также частично в рамках темы Государственного задания ИЭМ РАН (FMUF-2022-0004). Было задействовано оборудование ЦКП “Геодинамика и геохронология” ИЗК СО РАН в рамках гранта № 075-15-2021-682 (пробподготовка).
1 Дополнительная информация для этой статьи доступна doi: 10.31857/S0869590324010091 для авторизованных пользователей
2 Символы минералов приведены согласно (Whitney, Evans, 2010).
3 В дополнительных материалах к русской и английской онлайн-версиям статьи на сайтах https://elibrary.ru/ и http://link.springer.com/ соответственно приведены Supplementary 1:
ESM_1. xlsx – Составы полевых шпатов;
ESM_2. xlsx – Составы биотита;
ESM_3. xlsx – Составы граната;
ESM_4. xlsx – Составы ортопироксена;
ESM_5. xlsx – Составы апатита;
ESM_6. xlsx – Составы ильменита;
ESM_7. xlsx – Составы рутила.
About the authors
N. E. Seliutina
Korzhinskii Institute of Experimental Mineralogy RAS
Author for correspondence.
Email: seliutinane@gmail.com
Russian Federation, Chernogolovka, Moscow region
O. G. Safonov
Korzhinskii Institute of Experimental Mineralogy RAS; Lomonosov Moscow State University, Department of Geology; Department of Geology, University of Johannesburg PO Box 524
Email: seliutinane@gmail.com
Department of Geology
Russian Federation, Chernogolovka, Moscow region; Moscow; Johannesburg, South AfricaV. O. Yapaskurt
Lomonosov Moscow State University, Department of Geology
Email: seliutinane@gmail.com
геологический факультет
Russian Federation, MoscowD. A. Varlamov
Korzhinskii Institute of Experimental Mineralogy RAS
Email: seliutinane@gmail.com
геологический факультет
Russian Federation, Chernogolovka, Moscow regionI. S. Sharygin
Institute of the Earth’s Crust SB RAS
Email: seliutinane@gmail.com
Russian Federation, Irkutsk
K. M. Konstantinov
Institute of the Earth’s Crust SB RAS; Irkutsk National Research Technical University
Email: seliutinane@gmail.com
Siberian School of Geosciences
Russian Federation, Irkutsk; IrkutskV. M. Kozlovskiy
Institute of Geology of Ore Deposits, Petrography, Mineralogy and Geochemistry RAS
Email: seliutinane@gmail.com
Russian Federation, Moscow
References
- Бузлукова Л.В., Шацкий В.С., Соболев Н.В. Оcобенности строения низов коры в районе кимберлитовой трубки Загадочная (Якутия) // Геология и геофизика. 2004. Т. 45. № 8. С. 992–1007.
- Перчук Л.Л., Геря Т.В., Корсман К. Модель чарнокитизации гнейсовых комплексов // Петрология. 1994. Т. 2. № 5. С. 451–480.
- Предовский А.А. Геохимическая реконструкция первичного состава метаморфизованных вулканогенно-осадочных образований докембрия. Апатиты: ГИ КНЦ РАН, 1970. 115 с.
- Розен О.М., Журавлев Д.З., Суханов М.К. и др. Изотопно-геохимические и возрастные характеристики раннепротерозойских террейнов, коллизионных зон и связанных с ними анортозитов на cеверо-востоке Сибирского кратона // Геология и геофизика. 2000. Т. 41. № 2. С. 163–180.
- Сафонов О.Г., Косова С.А. Флюидно-минеральные реакции и плавление ортопироксен-кордиерит-биотитового гнейса в присутствии флюидов H2O- CO2-NaCl и H2O- CO2-KCl в условиях гранулитового метаморфизма // Петрология. 2017. Т. 25. № 5. С. 461–490.
- Сафонов О.Г., Бутвина В.Г., Лиманов Е.В. и др. Минеральные индикаторы реакций с участием солевых компонентов флюидов в глубокой литосфере // Петрология. 2019. Т. 27. № 5. С. 525–556.
- Шацкий В.С., Бузлукова Л.В., Ягоутц Э. и др. Строение и эволюция нижней коры Далдын-Алакитского района Якутской алмазоносной провинции (по данным изучения ксенолитов) // Геология и геофизика. 2005. Т. 46. № 12. С. 1273–1289.
- Aranovich L.Y., Berman R.G. A new garnet-orthopyroxene thermometer based on reversed Al2O3 solubility in FeO-Al2O3-SiO2 orthopyroxene // Amer. Mineral. 1997. V. 82. P. 345–353.
- Aranovich L.Y., Safonov O.G. Halogens in high-grade metamorphism // Eds. D.E. Harlov, L.Y. Aranovich. The role of Halogens in Terrestrial and Extraterrestrial Geochemical Processes. Cham: Springer, 2018. Ch. 11. P. 713–757.
- Aranovich L.Y., Newton R.C., Manning C.E. Brine-assisted anatexis: еxperimental melting in the system haplogranite–H2O–NaCl–KCl at deep-crustal conditions // Earth Planet. Sci. Lett. 2013. V. 374. P. 111–120.
- Bohlen S.R., Mezger K. Origin of granulite terranes and the formation of the lowermost continental crust // Science. 1989. V. 244. P. 326–329.
- Carson C.J., Powell R. Garnet-orthopyroxene geothermometry and geobarometry: error propagation and equilibration effects // J. Metamorph. Geol. 1997. V. 15. P. 679–686.
- Cherepanova Y., Artemieva I.M., Thybo H. et al. Crustal structure of the Siberian craton and the West Siberian basin: an appraisal of existing seismic data // Tectonophysics. 2013. V. 609. P. 154–183.
- Condie K.C., Wilks M., Rosen O.M. et al. Geochemistry of metasediments from the Precambrian Hapschan series, eastern Anabar Shield, Siberia // Precamb. Res. 1991. V. 50. P. 37–47.
- Connolly J.A.D. Computation of phase equilibria by linear programming: a tool for geodynamic modeling and its application to subduction zone decarbonation // Earth Planet. Sci. Lett. 2005. V. 236. P. 524–541.
- Dawson J.B., Harley S.L., Rudnick R.L. et al. Equilibration and reaction in Archaean quartz‐sapphirine granulite xenoliths from the Lace kimberlite pipe, South Africa // J. Metamorph. Geol. 1997. V. 15. P. 253–266.
- Donskaya T.V. Assembly of the Siberian Craton: constraints from Paleoproterozoic granitoids // Precamb. Res. 2020. V. 348. 105869.
- Elkins L.T., Grove T.L. Ternary feldspar experiments and thermodynamic models // Amer. Mineral. 1990. V. 75. P. 544–559.
- Gerya T.V. Precambrian geodynamics: concepts and models // Gondwana Res. 2014. V. 25. P. 442–463.
- Gruber B., Chacko T., Pearson D.G. et al. Heat production and Moho temperatures in cratonic crust: evidence from crustal xenoliths from the Slave craton // Lithos. 2021. V. 380–381. 105889.
- Fitzsimons I.C.W., Harley S.L. The influence of retrograde cation exchange on granulite P-T estimates and a convergence technique for the recovery of peak metamorphic conditions // J. Petrol. 1994. V. 35. P. 543–576.
- Fu B., Page F., Cavosie A.J. et al. Ti-in-zircon thermometry: applications and limitations // Contrib. Mineral. Petrol. 2008. V. 156. P. 197–215.
- Harley S.L. The origins of granulites: a metamorphic perspective // Geol. Mag. 1989. V. 126. P. 215–247.
- Holdaway M.J. Application of new experimental and garnet Margules data to the garnet-biotite geothermometer // Amer. Mineral. 2000. V. 85. P. 881–892.
- Holland T.J.B., Powell R. An improved and extended internally consistent thermodynamic dataset for phases of petrological interest, involving a new equation of state for solids // J. Metamorph. Geol. 2011. V. 29. P. 333–383.
- Kay R.W., Kay S.M. The nature of the lower continental crust: inferences from geophysics, surface geology, and crustal xenoliths // Rev. Geophys. 1981. V. 19. P. 271–297.
- Koreshkova M.Y., Downes H. The age of the lower crust of the central part of the Columbia supercontinent: а review of zircon data // Gondwana Res. 2021. V. 96. P. 37–55.
- Koreshkova M.Y., Downes H., Nikitina L.P. et al. Trace element and age characteristics of zircons in granulite xenoliths from the Udachnaya kimberlite pipe, Siberia // Precamb. Res. 2009. V. 168. P. 197–212.
- Koreshkova M.Y., Downes H., Levsky L.K. et al. Petrology and geochemistry of granulite xenoliths from Udachnaya and Komsomolskaya kimberlite pipes, Siberia // J. Petrol. 2011. V. 52. P. 1857–1885.
- Kravchinsky V.A., Konstantinov K.M., Courtillot V. et al. Paleomagnetism of East Siberian traps and kimberlites: two newpoles and paleogeographic reconstructions at about 360 and 250 Ma // Geophys. J. Int. 2002. V. 48. P. 1–33.
- Li X., Zhang C., Behrens H. et al. Calculating biotite formula from electron microprobe analysis data using a machine learning method based on principal components regression // Lithos. 2020. V. 356. 105371.
- McDonough W.F., Sun S.S. The composition of the Earth // Chem. Geol. 1995. V. 120. P. 223–253.
- Montanini A., Harlov D. Petrology and mineralogy of granulite-facies mafic xenoliths (Sardinia, Italy): еvidence for KCl metasomatism in the lower crust // Lithos. 2006. V. 92. P. 588–608.
- Moyen J.F., Paquette J.L., Ionov D.A. et al. Paleoproterozoic rejuvenation and replacement of Archaean lithosphere: еvidence from zircon U-Pb dating and Hf isotopes in crustal xenoliths at Udachnaya, Siberian craton // Earth Planet. Sci. Lett. 2017. V. 457. P. 149–159.
- Nozhkin A.D., Turkina O.M., Sal’Nikova E.B. et al. Charnockites of the central part of the Anabar shield: distribution, petrogeochemical composition, age, and formation conditions // Geochem. Intern. 2022. V. 60. P. 711–723.
- Paquette J.L., Ionov D.A., Agashev A.M. et al. Age, provenance and Precambrian evolution of the Anabar shield from U-Pb and Lu-Hf isotope data on detrital zircons, and the history of the northern and central Siberian craton // Precamb. Res. 2017. V. 301. P. 134–144.
- Pattison D.R.M., Bégin N.J. Zoning patterns in orthopyroxene and garnet in granulites: implications for geothermometry // J. Metamorph. Geol. 1994. V. 12. P. 387–410.
- Pattison D.R.M., Chacko T., Farquhar J. et al. Temperatures of granulite-facies metamorphism: constraints from experimental phase equilibria and thermobarometry corrected for retrograde exchange // J. Petrol. 2003. V. 44. P. 867–900.
- Pearson N.J., O’Reilly S.Y. Thermobarometry and P-T-t paths: the granulite to eclogite transition in lower crustal xenoliths from eastern Australia // J. Metamorph. Geol. 1991. V. 9. P. 349–359.
- Pearson N.J., O’Reilly S.Y., Griffin W.L. The crust-mantle boundary beneath cratons and craton margins: a transect across the south-west margin of the Kaapvaal craton // Lithos. 1995. V. 36. P. 257–287.
- Perchuk L.L., Gerya T.V. Fluid control of charnockitization // Chem. Geol. 1993. V. 108. V. 175–186.
- Perchuk A.L., Sapegina A.V., Safonov O.G. et al. Reduced amphibolite facies conditions in the Precambrian continental crust of the Siberian craton recorded by mafic granulite xenoliths from the Udachnaya kimberlite pipe, Yakutia // Precamb. Res. 2021. V. 357. 106122.
- Pisarevsky S.A., Natapov L.M., Donskaya T.V. et al. Proterozoic Siberia: a promontory of Rodinia // Precamb. Res. 2008. V. 160. P. 66–76.
- Putnis A., Austrheim H. Mechanism of metasomatism and metamorphism on the local mineral scale: the role of dissolution-precipitation during mineral re-equilibration // Eds. D.E. Harlov, H. Austrheim. Metasomatism and the Chemical Transformation of Rock. The Role of Fluids in Terrestrial and Extraterrestrial Processes. Berlin Heidelberg: Springer, 2013. P. 141–170.
- Rosen O.M., Condie K.C., Natapov L.M. et al. Archean and Early Proterozoic evolution of the Siberian craton: a preliminary assessment // Archean Crustal evolution. Еd. К.С. Condie. Elsevier. Developments Precamb. Geol. 1994. V. 11. P. 411–459.
- Rosen O.M., Levskii L.K., Zhuravlev D.Z. et al. Paleoproterozoic accretion in the Northeast Siberian craton: isotopic dating of the Anabar collision system // Stratigraph. Geol. Correl. 2006. V. 14. P. 581–601.
- Rudnick R.L. Xenoliths – samples of the lower continental crust // Continental lower crust. Еds. D.M. Fountain, R.J. Arculus, R.W. Kay. 1992. V. 23. P. 269–316.
- Rudnick R.L., Fountain D.M. Nature and composition of the continental crust: a lower crustal perspective // Rev. Geophys. 1995. V. 33. P. 267–309.
- Rudnick R.L., Taylor S.R. The composition and petrogenesis of the lower crust: a xenolith study // J. Geophys. Res. Solid Earth. 1987. V. 92. P. 13981–14005.
- Safonov O.G., Aranovich L.Y. Alkali control of high-grade metamorphism and granitization // Geosci. Front. 2014. V. 5. P. 711–727.
- Safonov O.G., Kosova S.A., van Reenen D.D. Interaction of biotite-amphibole gneiss with H2O-CO2-(K, Na)Cl fluids at 550 MPa and 750 and 800°C: еxperimental study and applications to dehydration and partial melting in the middle crust // J. Petrol. 2014. V. 55. P. 2419–2456.
- Schmitz M.D., Bowring S.A. Utrahigh-temperature metamorphism in the lower crust during Neoarchean Ventersdorp rifting and magmatism, Kaapvaal Craton, southern Africa // GSA Bull. 2003. V. 115. P. 533–548.
- Shatsky V.S., Malkovets V.G., Belousova E.A. et al. Tectonothermal evolution of the continental crust beneath the Yakutian diamondiferous province (Siberian craton): U-Pb and Hf isotopic evidence on zircons from crustal xenoliths of kimberlite pipes // Precamb. Res. 2016. V. 282. P. 1–20.
- Shatsky V.S., Malkovets V.G., Belousova E.A. et al. Multi-stage modification of Paleoarchean crust beneath the Anabar tectonic province (Siberian craton) // Precamb. Res. 2018. V. 305. P. 125–144.
- Shatsky V.S., Wang Q., Skuzovatov S.Y. et al. The crust-mantle evolution of the Anabar tectonic province in the Siberian Craton: Coupled or decoupled? // Precamb. Res. 2019. V. 332. 105388.
- Shatsky V.S., Ragozin A.L., Wang Q. et al. Evidence of Eoarchean crust beneath the Yakutian kimberlite province in the Siberian craton // Precamb. Res. 2022. V. 369. 106512.
- Smelov A.P., Timofeev V.F. The age of the North Asian Cratonic basement: an overview // Gondwana Res. 2007. V. 12. P. 279–288.
- Sukhorukov V.P., Turkina O.M. The P-T path of metamorphism and age of migmatites from the northwestern Irkut block (Sharyzhalgai uplift of the Siberian Platform) // Russ. Geol. Geophy. 2018. V. 59. P. 673–689.
- Sukhorukov V.P., Savel’eva V.B., Jiang Y. et al. P-T path of metamorphism and U-Pb monazite and zircon age of the Kitoy terrane: implication for Neoarchean collision in SW Siberian Craton // Geosci. Front. 2020. V. 11. P. 1915–1934.
- Sun J., Liu C.Z., Tappe S. et al. Repeated kimberlite magmatism beneath Yakutia and its relationship to Siberian flood volcanism: insights from in situ U-Pb and Sr-Nd perovskite isotope analysis // Earth Planet. Sci. Lett. 2014. V. 404. P. 283–295.
- Suvorov V.D., Melnik E.A., Thybo H. et al. Seismic velocity model of the crust and uppermost mantle around the Mirnyi kimberlite field in Siberia // Tectonophysics. 2006. V. 420. P. 49–73.
- Taylor S.R., McLennan S.M. The continental crust: its composition and evolution. Oxford, London, Edinburgh, Boston, Palo Alto, Melbourne: Blackwell Scientific, 1985. 312 p.
- Tretiakova I.G., Belousova E.A., Malkovets V.G. et al. Recurrent magmatic activity on a lithosphere-scale structure: сrystallization and deformation in kimberlitic zircons // Gondwana Res. 2017. V. 42. P. 126–132.
- Turkina O.M., Sukhorukov V.P. Early Precambrian high-grade metamorphosed terrigenous rocks of granulite-gneiss terranes of the Sharyzhalgai uplift (southwestern Siberian craton) // Russ. Geol. Geophy. 2015. V. 55. P. 874–884.
- Turkina O.M., Berezhnaya N.G., Lepekhina E.N. et al. U-Pb (SHRIMP II), Lu-Hf isotope and trace element geochemistry of zircons from high-grade metamorphic rocks of the Irkut terrane, Sharyzhalgai Uplift: implications for the Neoarchaean evolution of the Siberian Craton // Gondwana Res. 2012. V. 21. P. 801–817.
- Werner C.D. Saxonian granulites – a contribution to the geochemical diagnosis of original rocks in high metamorphic complexes // Gerlands Beitraege zur Geophysik. 1987. V. 96. P. 271–290.
- White R.W., Powell R., Holland T.J. B. et al. New mineral activity–composition relations for thermodynamic calculations in metapelitic systems // J. Metamorph. Geol. 2014. V. 32. P. 261–286.
- Whitney D.L., Evans B.W. Abbreviations for names of rock-forming minerals // Amer. Mineral. 2010. V. 95. P. 185–187.
- Wones D.R., Eugster H.P. Stability of biotite: experiment, theory, and application // Amer. Mineral. 1965. V. 50. P. 1228–1272.
Supplementary files












