THE ROLE OF REMOTE SENSING OF THE EARTH IN PRECISION AGRICULTURE
- Authors: Yakushev V.P.1, Yakushev V.V.1, Blokhina S.Y.1, Blokhin Y.I.1, Matveenko D.A.1
-
Affiliations:
- Agrophysical Research Institute
- Issue: Vol 93, No 10 (2023)
- Pages: 955-969
- Section: ИЗ РАБОЧЕЙ ТЕТРАДИ ИССЛЕДОВАТЕЛЯ
- URL: https://bakhtiniada.ru/0869-5873/article/view/232355
- DOI: https://doi.org/10.31857/S0869587323100110
- EDN: https://elibrary.ru/AACJGA
- ID: 232355
Cite item
Full Text
Abstract
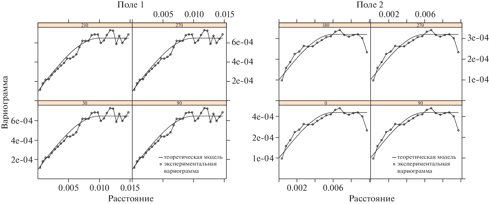
The paper provides a historical assessment of the increasing role of remote sensing data, the methods, services and tools used in their acquisition and applied in the information support of precision agriculture technologies. The main problems constraining the scalability of aerospace imagery application in precision crop production have been considered. The necessity to create a new research methodology, the formation of an appropriate physical, technical and experimental infrastructure to overcome them has been emphasized. The application of methodology for planning and conducting specialized experiments in conjunction with remote and ground-based monitoring of field experiments with test plots for detection within-field heterogeneity and the degree of its intensity has been depicted. For this purpose, has been created the functional that implements the capabilities of two new methods for within-field variability delineation and border marking based on aerospace images. The first one based on the main geostatistical tool – variogram analysis, and the other one is based on the systematic quantitative assessment of the dynamics of changes in the integral optical characteristics of the crop.
About the authors
V. P. Yakushev
Agrophysical Research Institute
Email: vyakushev@agrophys.ru
Russia, St. Peterburg
V. V. Yakushev
Agrophysical Research Institute
Email: mail@agrophys.com
Russia, St. Peterburg
S. Yu. Blokhina
Agrophysical Research Institute
Email: sblokhina@agrophys.ru
Russia, St. Peterburg
Yu. I. Blokhin
Agrophysical Research Institute
Email: blohin3k4@gmail.com
Russia, St. Peterburg
D. A. Matveenko
Agrophysical Research Institute
Author for correspondence.
Email: dmatveenko@inbox.ru
Russia, St. Peterburg
References
- FAO. The future of food and agriculture – Trends and challenges. Rome: Food and Agriculture Organization of the United Nations, 2017.
- Wheeler T., von Braun J. Climate change impacts on global food security // Science. 2013. V. 341. P. 508–513.
- Hendricks G.S., Shukla S., Roka F.M. et al. Economic and environmental consequences of overfertilization under extreme weather conditions // J. Soil Water Conserv. 2019. V. 74. P. 160–171.
- Доктрина продовольственной безопасности Российской Федерации до 2030 года. М., 2020.
- Указ Президента РФ от 01.12.2016 г. № 642 “О Стратегии научно-технологического развития Российской федерации”. http://pravo.gov.ru/proxy/ ips/?docbody=&firstDoc=1&lastDoc=1&nd=102416645.
- Концепция технологического развития на период до 2030 года (Распоряжение Правительства РФ от 20 мая 2023 г. № 1315-р).
- Chamara N., Islam M.D., Bai G.F. et al. Ag-IoT for crop and environment monitoring: Past, present, and future // Agric. Syst. 2022. V. 203. 103497.
- Singh P.K., Sharma A. An intelligent WSN-UAV-based IoT framework for precision agriculture application // Comput. Electr. Eng. 2022. V. 100. 107912.
- Pathmudi V.R., Khatri N., Kumar S. et al. A systematic review of IoT technologies and their constituents for smart and sustainable agriculture applications // Scientific African. 2023. V. 19. e01577.
- Mulla D.J. Twenty five years of remote sensing in precision agriculture: Key advances and remaining knowledge gaps // Biosystems Engineering. 2013. № 4. P. 358–371.
- Galioto F., Raggi M., Viaggi D. Assessing the potential economic viability of precision irrigation: a theoretical analysis and pilot empirical evaluation // Water. 2017. № 12. P. 990–1009.
- Якушев В.П., Якушев В.В. Перспективы “умного сельского хозяйства” в России // Вестник РАН. 2018. № 9. С. 773–784; Yakushev V.P., Yakushev V.V. Prospects for “Smart Agriculture” in Russia // Herald of the Russian Academy of Sciences. 2018. № 5. Р. 330–340.
- Ananev I.P., Zubets V.S., Belov A.V., Blokhin Yu.I. Mobile system for on-the-go measuring and mapping soil permittivity, electrical conductivity, moisture content, temperature and mechanical resistance // Proc. 3rd Global Workshop on Proximal Soil Sensing. 26–29 May 2013. P. 201–209.
- Блохин Ю.И., Якушев В.В., Блохина С.Ю. и др. Современные решения для формирования опорной информации с целью повышения точности определения агрофизических свойств почвы по спутниковым данным // Современные проблемы дистанционного зондирования Земли из космоса. 2020. № 4. С. 164–178.
- Якушев В.П., Якушев В.В., Блохина С.Ю. и др. Информационное обеспечение современных систем земледелия в России // Вестник РАН. 2021. № 8. С. 755–768.
- Блохина С.Ю. Применение дистанционного зондирования в точном земледелии // Вестник российской сельскохозяйственной науки. 2018. № 5. С. 10–16.
- Angelopoulou T., Tziolas N., Balafoutis A. et al. Remote sensing techniques for soil organic carbon estimation: A review // Remote Sens. 2019. № 6. 676.
- Viscarra Rossel R.A., Walvoort D.J.J., McBratney A.B. et al. Visible, near infrared, mid infrared or combined diffuse reflectance spectroscopy for simultaneous assessment of various soil properties // Geoderma. 2006. V. 131. P. 59–75.
- Bauer M.E., Cipra J.E. Identification of agricultural crops by computer processing of ERTS MSS data // LARS Technical Reports. 1973. Paper 20. http://docs.lib.purdue.edu/larstech/20
- Doraiswamy P.C., Moulin S., Cook P.W., Stern A. Crop yield assessment from remote sensing // Photogrammetric Engineering and Remote Sensing. 2003. V. 69. P. 665–674.
- Christy C.D. Real-time measurement of soil attributes using on-the-go near infrared reflectance spectroscopy // Computers and Electronics in Agriculture. 2008. V. 61. P. 10–19.
- Link A., Panitzki M., Reusch S. Hydro N-sensor: Tractor-mounted remote sensing for variable nitrogen fertilization // Proc. 6th Int. conf. on precision agric. 2002. P. 1012–1018.
- Chlingaryan A., Sukkarieh S., Whelan B. Machine learning approaches for crop yield prediction and nitrogen status estimation in precision agriculture: A review // Comput. Electron. Agric. 2018. V. 151. P. 61–69.
- Weiss M., Jacob F., Duveillerc G. Remote sensing for agricultural applications: A meta-review // Remote Sens. Environ. 2020. V. 236. 111402.
- Sishodia R.P., Ray R.L., Singh S.K. Applications of remote sensing in precision agriculture: a review // Remote Sens. 2020. № 19. 3136.
- Maes W.H., Steppe K. Perspectives for remote sensing with unmanned aerial vehicles in precision agriculture // Trends Plant Sci. 2019. V. 24. P. 152–154.
- Jung J., Maeda M., Chang A. et al. The potential of remote sensing and artificial intelligence as tools to improve the resilience of agriculture production systems // Current Opinion in Biotechnology. 2021. V. 70. P. 15–22.
- Sinde-Gonzalez I., Gil-Docampo M., Arza-Garcia M. et al. Biomass estimation of pasture plots with multitemporal UAV-based photogrammetric surveys // International Journal of Applied Earth Observations and Geoinformation. 2021. V. 101. 102355.
- Zheng H., Zhou X., He J. et al. Early season detection of rice plants using RGB, NIR-G-B and multispectral images from unmanned aerial vehicle (UAV) // Computers and Electronics in Agriculture. 2020. V. 169. 105223.
- Ye H., Huang W., Huang S. et al. Recognition of banana fusarium wilt based on UAV remote sensing // Remote Sensing. 2020. № 6. 938.
- Zhang J., Huang Y., Pu R. et al. Monitoring plant diseases and pests through remote sensing technology: A review // Comput. Electron. Agric. 2019. V. 165. 104943.
- Лысов А.К., Павлюшин В.А. Фитосанитарное проектирование агроэкосистем и дистанционное зондирование // Современные проблемы дистанционного зондирования Земли из космоса. 2022. № 5. С. 101–109.
- Шпанев А.М., Смук В.В. Изменение спектральных характеристик культурных и сорных растений под влиянием минеральных удобрений в агроценозах Северо-Запада России // Современные проблемы дистанционного зондирования Земли из космоса. 2022. № 3. С. 165–177.
- Kumar A., Taparia M., Rajalakshmi P. et al. UAV based remote sensing for tassel detection and growth stage estimation of maize crop using multispectral images // IGARSS 2020–2020 IEEE International Geoscience and Remote Sensing Symposium. 2020. P. 1588–1591.
- Lu B., Dao P.D., Liu J. et al. Recent advances of hyperspectral imaging technology and applications in agriculture // Remote Sens. 2020. V. 12. 2659.
- Денисов П.В., Середа И.И., Трошко К.А. и др. Возможности и опыт оперативного дистанционного мониторинга состояния озимых культур на территории России // Современные проблемы дистанционного зондирования Земли из космоса. 2021. № 2. С. 171–185.
- Якушев В.П., Дубенок Н.Н., Лупян Е.А. Опыт применения и перспективы развития технологий дистанционного зондирования Земли для сельского хозяйства // Современные проблемы дистанционного зондирования Земли из космоса. 2019. № 3. С. 11–23.
- Лупян Е.А., Прошин А.А., Бурцев М.А. и др. Центр коллективного пользования системами архивации, обработки и анализа спутниковых данных ИКИ РАН для решения задач изучения и мониторинга окружающей среды // Современные проблемы дистанционного зондирования Земли из космоса. 2015. № 5. С. 247–267.
- Якушев В.П., Якушев В.В., Блохина С.Ю. и др. Перспективы выявления идентификационных показателей состояния посевов по аэрокосмическим снимкам и специализированным полевым исследованиям // Современные проблемы дистанционного зондирования Земли из космоса. 2022. № 4. С. 113–127.
- Якушев В.П., Петрушин А.Ф., Якушев В.В. и др. Автоматизация процесса обнаружения и выделения границ внутриполевой изменчивости по аэрокосмическим снимкам и оптическим критериям // Современные проблемы дистанционного зондирования Земли из космоса. 2022. № 6. С. 151–162.
- Якушев В.П., Блохин Ю.И., Блохина С.Ю. и др. Теоретические основы дистанционной и наземной количественной оценки внутриполевой изменчивости для точного земледелия. СПб.: АФИ, 2023.
- Якушев В.П., Жуковский Е.Е., Петрушин А.Ф., Якушев В.В. Вариограммный анализ пространственной неоднородности сельскохозяйственных полей для целей точного земледелия (методическое пособие). СПб.: АФИ, 2010.
- Якушев В.П., Канаш Е.В., Русаков Д.В. и др. Корреляционные зависимости между вегетационными индексами, урожаем зерна и оптическими характеристиками листьев пшеницы при разном содержании в почве азота и густоте посева // Сельскохозяйственная биология. 2022. № 1. С. 98–112.
- Якушев В.П., Канаш Е.В., Якушев В.В. и др. Новые возможности автоматизации процесса обнаружения внутриполевой неоднородности по гиперспектральным снимкам и оптическим критериям // Современные проблемы дистанционного зондирования Земли из космоса. 2019. № 3. С. 24–32.
- Якушев В.П., Буре В.М., Митрофанова О.А. и др. Особенности обработки аэрокосмических снимков для оптимизации геостатистических исследований внутриполевой изменчивости в задачах точного земледелия // Современные проблемы дистанционного зондирования Земли из космоса. 2021. № 4. С. 128–139.
Supplementary files














