АЭРОЗОЛЬНОЕ ЗАГРЯЗНЕНИЕ МОСКОВСКОГО МЕГАПОЛИСА ПОЛИАРОМАТИЧЕСКИМИ УГЛЕВОДОРОДАМИ: СЕЗОННАЯ ИЗМЕНЧИВОСТЬ И ТОКСИКОЛОГИЧЕСКИЕ РИСКИ
- Авторы: Семёнова А.В.1, Поповичева О.Б.2, Завгородняя Ю.А.1, Чичаева М.А.1, Ковач Р.Г.1, Кошелева Н.Е.1, Минкина Т.М.1,3, Касимов Н.С.1
-
Учреждения:
- Московский государственный университет имени М.В. Ломоносова
- НИИ ядерной физики им. Д.В. Скобельцына МГУ имени М.В. Ломоносова
- Южный федеральный университет
- Выпуск: Том 93, № 7 (2023)
- Страницы: 669-683
- Раздел: ПРОБЛЕМЫ ЭКОЛОГИИ
- URL: https://bakhtiniada.ru/0869-5873/article/view/140574
- DOI: https://doi.org/10.31857/S0869587323070071
- EDN: https://elibrary.ru/RQONHB
- ID: 140574
Цитировать
Полный текст
Аннотация
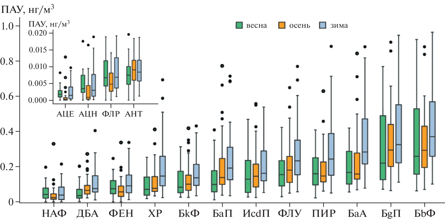
Изучение загрязнения атмосферы крупных городов полициклическими ароматическими углеводородами (ПАУ) относится к приоритетным задачам оценки качества воздуха и экологических рисков для здоровья населения. Авторами проведён анализ химического состава аэрозолей, отобранных в весенний (2018), осенний и зимний (2019–2020) сезоны на Аэрозольном комплексе МГУ, который располагается на условно фоновой территории московского мегаполиса. Методами газовой хроматографии, масс-спектрометрии и высокоэффективной жидкостной хроматографии определены 16 приоритетных соединений ПАУ. Медианное значение суммарной концентрации 16 ПАУ (Σ16ПАУ) увеличивается от весеннего сезона (1.43 нг/м3) к осеннему (1.68 нг/м3) и далее – к зимнему (2.47 нг/м3). На основании диагностических отношений ПАУ определён доминирующий вклад транспорта, промышленных предприятий и отопительной системы в общий объём выбросов. Розы загрязнений указывают на расположение источников максимальных концентраций низко-, средне- и высокомолекулярных ПАУ. Выделяются эпизоды загрязнений: весной 2018 г. под воздействием переноса дымовых шлейфов сельскохозяйственных пожаров, осенью 2019 г. в результате петрогенных эмиссий и увеличения сжигания биомассы в жилом секторе вокруг Москвы. В зимний и осенний сезоны зафиксированы наибольшие значения канцерогенного (0.45 и 0.42) и мутагенного (0.58 и 0.55) эквивалентов по бенз(а)пирену в сравнении с весенним (0.26 и 0.38). Пожизненный риск развития рака лёгких, рассчитанный по данным за три сезона, составляет 0.5 случая на 1 млн человек.
Об авторах
А. В. Семёнова
Московский государственный университет имени М.В. Ломоносова
Email: vestnik.ran@yandex.ru
Россия, Москва
О. Б. Поповичева
НИИ ядерной физики им. Д.В. Скобельцына МГУ имени М.В. Ломоносова
Email: vestnik.ran@yandex.ru
Россия, Москва
Ю. А. Завгородняя
Московский государственный университет имени М.В. Ломоносова
Email: vestnik.ran@yandex.ru
Россия, Москва
М. А. Чичаева
Московский государственный университет имени М.В. Ломоносова
Email: vestnik.ran@yandex.ru
Россия, Москва
Р. Г. Ковач
Московский государственный университет имени М.В. Ломоносова
Email: vestnik.ran@yandex.ru
Россия, Москва
Н. Е. Кошелева
Московский государственный университет имени М.В. Ломоносова
Email: vestnik.ran@yandex.ru
Россия, Москва
Т. М. Минкина
Московский государственный университет имени М.В. Ломоносова; Южный федеральный университет
Email: vestnik.ran@yandex.ru
Россия, Москва; Россия, Ростов-на-Дону
Н. С. Касимов
Московский государственный университет имени М.В. Ломоносова
Автор, ответственный за переписку.
Email: vestnik.ran@yandex.ru
Россия, Москва
Список литературы
- Ali-Taleshi M.S., Bakhtiari A.R., Moeinaddini M. et al. Single-site source apportionment modeling of PM2.5-bound PAHs in the Tehran metropolitan area, Iran: Implications for source-specific multi-pathway cancer risk assessment // Urban Climate. 2021. V. 39. 100928.
- Yang L., Zhang H., Zhang X. et al. Exposure to atmospheric particulate matter-bound polycyclic aromatic hydrocarbons and their health effects: A review // International journal of environmental research and public health. 2021. № 4. 2177.
- IARC Working Group on the Evaluation of Carcinogenic Risks to Humans et al. Some non-heterocyclic polycyclic aromatic hydrocarbons and some related exposures // IARC Monographs on the evaluation of carcinogenic risks to humans. 2010. V. 92. P. 1–853.
- List, Priority Pollutant. United States environmental protection agency, 2014.
- USEPA. Provisional Guidance for Quantitative Risk Assessment of Polycyclic Aromatic Hydrocarbons, 1993.
- Byambaa B., Yang L., Matsuki A. et al. Sources and characteristics of polycyclic aromatic hydrocarbons in ambient total suspended particles in Ulaanbaatar City, Mongolia // International journal of environmental research and public health. 2019. № 3. 442.
- Abdel-Shafy H.I., Mansour M.S. A review on polycyclic aromatic hydrocarbons: source, environmental impact, effect on human health and remediation // Egyptian journal of petroleum. 2016. № 1. P. 107–123.
- Tsiodra I., Grivas G., Tavernaraki K. et al. Annual exposure to PAHs in urban environments linked to wintertime wood-burning episodes // Atmospheric Chemistry & Physics Discussions. 2021. P. 1–24.
- Nelson J., Chalbot M.C.G., Tsiodra I. et al. Physicochemical characterization of personal exposures to smoke aerosol and PAHs of wildland firefighters in prescribed fires // Exposure and Health. 2021 V. 13. P. 105–118.
- Tobiszewski M., Namieśnik J. PAH diagnostic ratios for the identification of pollution emission sources // Environmental pollution. 2012. V. 162. P. 110–119.
- Wang R., Huang Q., Cai J., Wang J. Seasonal variations of atmospheric polycyclic aromatic hydrocarbons (PAHs) surrounding Chaohu Lake, China: Source, partitioning behavior, and lung cancer risk // Atmospheric Pollution Research. 2021. № 5. 101056.
- Alves C.A., Vicente A.M., Custódio D. et al. Polycyclic aromatic hydrocarbons and their derivatives (nitro-PAHs, oxygenated PAHs, and azaarenes) in PM2.5 from Southern European cities // Science of the total environment. 2017. V. 595. P. 494–504.
- Маринайте И.И., Горшков А.Г., Тараненко Е.Н. и др. Распределение полициклических ароматических углеводородов в природных объектах на территории рассеивания выбросов Иркутского алюминиевого завода (г. Шелехов, Иркутская обл.) // Химия в интересах устойчивого развития. 2013. № 2. С. 143–154.
- Wang Y., Zhang H., Zhang X. et al. PM-Bound Polycyclic Aromatic Hydrocarbons and Nitro-Polycyclic Aromatic Hydrocarbons in the Ambient Air of Vladivostok: Seasonal Variation, Sources, Health Risk Assessment and Long-Term Variability // International Journal of Environmental Research and Public Health. 2022. № 5. 2878.
- Lammel G., Dvorská A., Klánová J. et al. Long-range atmospheric transport of polycyclic aromatic hydrocarbons is worldwide problem-results from measurements at remote sites and modelling // Acta Chimica Slove-nica. 2015. № 3. P. 729–735.
- Hrdina A.I., Kohale I.N., Kaushal S. et al. The Parallel Transformations of Polycyclic Aromatic Hydrocarbons in the Body and in the Atmosphere // Environmental Health Perspectives. 2022. № 2. 025004.
- Saarnio K., Sillanpää M., Hillamo R. et al. Polycyclic aromatic hydrocarbons in size-segregated particulate matter from six urban sites in Europe // Atmospheric Environment. 2008. № 40. P. 9087–9097.
- Eiguren-Fernandez A., Miguel A.H., Froines D. et al. Seasonal and spatial variation of polycyclic aromatic hydrocarbons in vapor-phase and PM2.5 in Southern California urban and rural communities // Aerosol Science and Technology. 2004. № 5. P. 447–455.
- Elansky N.F., Ponomarev N.A., Verevkin Y.M. Air quality and pollutant emissions in the Moscow megacity in 2005–2014 // Atmospheric Environment. 2018. V. 175. P. 54–64.
- Доклад “О состоянии окружающей среды в городе Москве в 2018 году” // Под ред. А.О. Кульбачевского. М., 2019.
- Доклад “О состоянии окружающей среды в городе Москве в 2019 году” // Под ред. А.О. Кульбачевского. М., 2020.
- СанПиН 1.2.3685-21 “Гигиенические нормативы и требования к обеспечению безопасности и (или) безвредности для человека факторов среды обитания”, 2021.
- Popovicheva O., Padoan S., Schnelle-Kreis J. et al. Spring aerosol in urban atmosphere of megacity: Analytical and statistical assessment for source impact // Aerosol and Air Quality Research. 2020. № 4. P. 702–717.
- Popovicheva O.B., Volpert E., Sitnikov N.M. et al. Black carbon in spring aerosols of Moscow urban background // Geography, environment, sustainability. 2020. № 1. P. 233–243.
- Zappi A., Popovicheva O., Tositti L. et al. Factors influencing aerosol and precipitation ion chemistry in urban background of Moscow megacity // Atmospheric Environment. 2023. V. 294. 119458.
- Поповичева О.Б., Чичаева М.А., Касимов Н.С. Влияние ограничительных мер во время пандемии COVID-19 на аэрозольное загрязнение атмосферы московского мегаполиса // Вестник Российской академии наук. 2021. № 4. P. 351–361; Popovicheva O.B., Chichaeva M.A., Kasimov N.S. Impact of Restrictive Measures during the COVID-19 Pandemic on Aerosol Pollution of the Atmosphere of the Moscow Megalopolis // Herald of the Russian Academy of Sciences. 2021. № 2. P. 213–222.
- Kosheleva N.E., Vlasov D.V., Timofeev I.V. et al. Benzo[a]pyrene in Moscow road dust: pollution levels and health risks // Environmental Geochemistry and Health. 2022. V. 45. P. 1–26.
- Чубарова Н.Е., Незваль Е.И., Беликов И.Б. и др. Климатические и экологические характеристики московского мегаполиса за 60 лет по данным Метеорологической обсерватории МГУ // Метеорология и гидрология. 2014. № 9. С. 49–64.
- Bityukova V.R., Mozgunov N.A. Spatial features transformation of emission from motor vehicles in Moscow // Geography, environment, sustainability. 2019. № 4. P. 57–73.
- Битюкова В.Р., Саульская Т.Д. Изменение антропогенного воздействия производственных зон Москвы за последние десятилетия // Вестник Московского университета. Серия 5. География. 2017. № 3. С. 24–33.
- Cheng Z., Luo L., Wang S. et al. Status and characteristics of ambient PM2.5 pollution in global megacities // Environment international. 2016. V. 89. P. 212–221.
- Diapouli E., Kalogridis A.C., Markantonaki C. et al. Annual variability of black carbon concentrations originating from biomass and fossil fuel combustion for the suburban aerosol in Athens, Greece // Atmosphere. 2017. № 12. 234.
- Shukurov K., Postylyakov O., Borovski A. et al. Study of transport of atmospheric admixtures and temperature anomalies using trajectory methods at the AM Obukhov Institute of Atmospheric Physics // In Proceedings of IOP Conference Series: Earth and Environmental Science. 2019. № 1. 012048.
- Stein A.F., Draxler R.R, Rolph G.D. et al. NOAA’s HYSPLIT atmospheric transport and dispersion mo-deling system // Bulletin of the American Meteorolo-gical Society. 2015. V. 96. P. 2059–2077
- Lim H., Sadiktsis I., de Oliveira Galvão M. et al. Polycyclic aromatic compounds in particulate matter and indoor dust at preschools in Stockholm, Sweden: Occurrence, sources and genotoxic potential in vitro // Science of the Total Environment. 2021. V. 755. 142709.
- Gusev A., Batrakova N. Assessment of PAH pollution levels, key sources and trends: contribution to analysis of the effectiveness of the POPs Protocol. Progress report. MSC-E Technical Report 2/2020. June 2020.
- Nisbet I.C.T., Lagoy P.K. Toxic equivalency factors (TEFs) for polycyclic aromatic hydrocarbons (PAHs) // Regulatory toxicology and pharmacology. 1992. № 3. P. 290–300.
- WHO guidelines for indoor air quality: selected pollutants. World Health Organization. Regional Office for Europe, 2010.
- OEHHA, 2003. Air Toxics Hot Spots Risk Assessment Guidelines: The Air Toxics Hot Spots Program Guidance Manual for Preparation of Health Risk Assessments in urban aerosol of Augsburg, Germany // Environmental Pollution. V. 159. P. 1861–1868.
- Bandowe B.A.M., Meusel H., Huang R.J. et al. PM2.5-bound oxygenated PAHs, nitro-PAHs and parent-PAHs from the atmosphere of a Chinese megacity: Seasonal variation, sources and cancer risk assessment // Science of the Total Environment. 2014. V. 473. P. 77–87.
- Lin Y., Ma Y., Lammel Qiu X. et al. Sources, transformation, and health implications of PAHs and their nitrated, hydroxylated, and oxygenated derivatives in PM2.5 in Beijing // Journal of Geophysical Research: Atmospheres. 2015. № 14. P. 7219–7228.
- Marinaite I., Penner I., Molozhnikova E. et al. Polycyclic Aromatic Hydrocarbons in the Atmosphere of the Southern Baikal Region (Russia): Sources and Relationship with Meteorological Conditions // Atmosphere. 2022. № 3. 420.
- Pietrogrande M.C., Abbaszade G., Schnelle-Kreis J. et al. Seasonal variation and source estimation of organic compounds in urban aerosol of Augsburg, Germany // Environmental Pollution. 2011. № 7. P. 1861–1868.
- Rogula-Kozłowska W., Kozielska B., Klejnowski K. Hazardous compounds in urban PM in the central part of Upper Silesia (Poland) in winter // Archives of Environmental Protection. 2013. № 1. P. 53–65.
- Jariyasopit N., Tung P., Su K. et al. Polycyclic aromatic compounds in urban air and associated inhalation cancer risks: A case study targeting distinct source sectors // Environmental pollution. 2019. V. 252. P. 1882–1891.
- Mirante F., Alves C., Pio C. et al. Organic composition of size segregated atmospheric particulate matter, during summer and winter sampling campaigns at representative sites in Madrid, Spain // Atmospheric Research. 2013. V. 132. P. 345–361.
- Martellini T., Giannoni M., Lepri L. et al. One year intensive PM2.5 bound polycyclic aromatic hydrocarbons monitoring in the area of Tuscany, Italy. Concentrations, source understanding and implications // Environmental Pollution. 2012. V. 164. P. 252–258.
- Katsoyiannis A., Sweetman A.J., Jones K.C. PAH molecular diagnostic ratios applied to atmospheric sources: a critical evaluation using two decades of source inventory and air concentration data from the UK // Environmental science & technology. 2011. № 20. P. 8897–8906.
- Akyüz M., Çabuk H. Gas-particle partitioning and seasonal variation of polycyclic aromatic hydrocarbons in the atmosphere of Zonguldak, Turkey // Science of the total environment. 2010. № 22. P. 5550–5558.
- Yunker M.B., Macdonald R.W., Vingarzan R. et al. PAHs in the Fraser River basin: a critical appraisal of PAH ratios as indicators of PAH source and composition // Organic geochemistry. 2002. № 4. P. 489–515.
- Ravindra K., Sokhi R., van Grieken R. Atmospheric polycyclic aromatic hydrocarbons: source attribution, emission factors and regulation // Atmospheric environment. 2008. № 13. P. 2895–2921.
- Pies C., Hoffmann B., Petrowsky J. et al. Characterization and source identification of polycyclic aromatic hydrocarbons (PAHs) in river bank soils // Chemosphere. 2008. № 10. P. 1594–1601.
Дополнительные файлы












