Новые гликозиды акацетина и другие фенольные соединения из Agastache foeniculum и их влияние на моноаминоксидазы А и В
- Авторы: Оленников Д.Н.1, Кащенко Н.И.1
-
Учреждения:
- Институт общей и экспериментальной биологии СО РАН
- Выпуск: Том 60, № 6 (2024)
- Страницы: 645-656
- Раздел: Статьи
- URL: https://bakhtiniada.ru/0555-1099/article/view/285214
- DOI: https://doi.org/10.31857/S0555109924060084
- EDN: https://elibrary.ru/QFJSVU
- ID: 285214
Цитировать
Аннотация
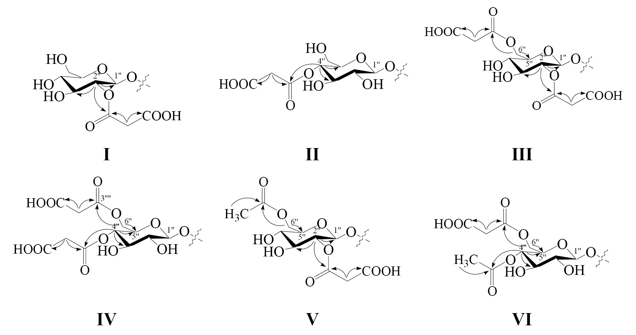
Ингибиторы моноаминоксидаз (МАО) являются эффективными терапевтическими средствами для лечения нейродегенеративных заболеваний. К их числу относятся флавоноиды, обнаруженные в видах Agastache. В ходе настоящего исследования из A. foeniculum было выделено и идентифицировано с применением УФ, ЯМР спектроскопии и масс-спектрометрии шесть новых ацилированных флавон-О-гликозидов – агастозидов A (акацетин 7-О-(2''-О-малонил)-β-D-глюкопиранозид), B (акацетин 7-О-(4''-О-малонил)-β-D-глюкопиранозид), C (акацетин 7-О-(2'',6''-ди-О-малонил)-β-D-глюкопиранозид), D (акацетин 7-О-(4'',6''-ди-О-малонил)-β-D-глюкопиранозид), E (акацетин 7-О-(2''-О-малонил-6''-О-ацетил)-β-D-глюкопиранозид) и F (акацетин 7-О-(4''-О-ацетил-6''-О-малонил)-β-D-глюкопиранозид). Использование флэш-хроматографии и жидкостной хроматографии-масс-спектрометрии позволило обнаружить еще 34 известных фенольных соединения. Исследование биологической активности показало, что гликозиды акацетина из A. foeniculum оказывали ингибиторное действиеие на МАО, причем наибольший эффект был отмечен для ацетильных и малонильных эфиров акацетин 7-О-глюкозида, которые могут быть перспективными соединениями для создания новых лекарственных средств.
Ключевые слова
Полный текст
Об авторах
Д. Н. Оленников
Институт общей и экспериментальной биологии СО РАН
Автор, ответственный за переписку.
Email: olennikovdn@mail.ru
Россия, Улан-Удэ, 670047
Н. И. Кащенко
Институт общей и экспериментальной биологии СО РАН
Email: olennikovdn@mail.ru
Россия, Улан-Удэ, 670047
Список литературы
- Lamptey R.N.L., Chaulagain B., Trivedi R., Gothwal A., Layek B., Singh J. // Int. J. Mol. Sci. 2022. V. 23. № 1851. https://doi.org/10.3390/ijms23031851
- Youdim M.B.H., Edmondson D., Tipton K.F.// Nature Rev. Neurosci. 2006. V. 7. P. 295–309. https://doi.org/10.1038/nrn1883
- Dhiman P., Malik N., Sobarzo-Sánchez E., Uriarte E., Khatkar A. // Molecules. 2019. V. 24. № 418. https://doi.org/10.3390/molecules24030418
- Chaurasiya N.D., Midiwo J., Pandey P., Bwire R.N., Doerksen R.J., Muhammad I., Tekwani B.L. // Molecules. 2020. V. 25. № 5358. https://doi.org/10.3390/molecules25225358
- Lee H.W., Ryu H.W., Baek S.C., Kang M.-G., Park D., Han H.-Y., Kim H. // Int. J. Biol. Macromol. 2017. V. 104. P. 547–553. https://doi.org/10.1016/j.ijbiomac.2017.06.076
- Абрамчук А.В., Карпухин М.Ю. // Аграрный вестник Урала. 2017. № 2. С. 6–9.
- Nechita M.-A., Toiu A., Benedec D., Hanganu D., Ielciu I., Oniga O., Nechita V.-I., Oniga I. // Plants. 2023. V. 12. № 2937. https://doi.org/10.3390/plants12162937
- Vogelmann J.E. // Biochem. Syst. Ecol. 1984. V. 12. P. 363–366. https://doi.org/10.1016/0305-1978(84)90067-X
- Чумакова В.В., Попова О.И., Чумакова В.В. // Растит. ресурсы. 2011. Т. 47. С. 51–55.
- Olennikov D.N., Kashchenko N.I. // Agronomy. 2023. V. 13. № 2410. https://doi.org/10.3390/agronomy13092410
- Olennikov D.N. // Separations. 2023. V. 10. № 255. https://doi.org/10.3390/separations10040255
- Olennikov D.N., Kashchenko N.I. // Appl. Biochem. Microbiol. 2023. V. 59. P. 530–538. https://doi.org/10.1134/S0003683823040099
- Olennikov D.N., Chirikova N.K. // Chem. Nat. Compd. 2019. V. 55. P. 1032–1038. https://doi.org/10.1007/s10600-019-02887-1
- Olennikov D.N. // Chem. Nat. Compd. 2022. V. 58. P. 816–821. https://doi.org/10.1007/s10600-022-03805-8
- Seo Y.H., Kang S.-Y., Shin J.-S., Ryu S.M., Lee A.Y., Choi G., Lee J. // J. Nat. Prod. 2019. V. 82. P. 3379–3385. https://doi.org/10.1021/acs.jnatprod.9b00697
- Park S., Kim N., Yoo G., Kim Y., Lee T.H., Kim S.Y., Kim S.H. // Biochem. Syst. Ecol. 2016. V. 67. P. 17–21. https://doi.org/10.1016/j.bse.2016.05.019
- Mizuno T., Seto H., Nakane T., Murai Y., Tatsuzawa F., Iwashina T. // Bull. Natl. Mus. Nat. Sci. B. 2023. V. 49. P. 57–64. https://doi.org/10.50826/bnmnsbot.49.2_57
- Kachlicki P., Piasecka A., Stobiecki M., Marczak Ł. // Molecules. 2016. V. 21. № 1494. https://doi.org/10.3390/molecules21111494
- Itokawa H., Suto K., Takeya K. // Chem. Pharm. Bull. 1981. V. 29. P. 1777–1779. https://doi.org/10.1248/cpb.29.1777
- Olennikov D.N., Kashchenko N.I. // Chem. Nat. Comp. 2016. V. 52. P. 996–999. https://doi.org/10.1007/s10600-016-1845-7
- Norazhar A.I., Lee S.Y., Faudzi S.M.M., Shaari K. // Appl. Sci. 2021. V. 11. № 3526. https://doi.org/10.3390/app11083526
- Duda S.C., Marghitas L.A., Dezmirean D., Duda M., Margaoan R., Bobis O. // Ind. Crops Prod. 2015. V. 77. P. 499–507. https://doi.org/10.1016/j.indcrop.2015.09.045
Дополнительные файлы







