ABA-degrading strains of bacteria of the genus Pseudomonas and their influence on wheat growth
- Authors: Ryabova A.S.1, Kuzmina L.Y.1, Gilvanova E.A.1, Galimsyanova N.F.1, Martynenko E.V.1, Vysotskaya L.B.1, Kudoyarova G.R.1
-
Affiliations:
- Ufa Federal Research Center of the Russian Academy of Sciences RAS
- Issue: Vol 60, No 5 (2024)
- Pages: 507-513
- Section: Articles
- URL: https://bakhtiniada.ru/0555-1099/article/view/283940
- DOI: https://doi.org/10.31857/S0555109924050088
- EDN: https://elibrary.ru/QTGPPW
- ID: 283940
Cite item
Full Text
Abstract
Three new representatives of the genus Pseudomonas have been identified that are capable of utilizing abscisic acid and positively influencing the growth and development of plants. Their physiological and biochemical properties have been studied. Based on the analysis of the 16S rRNA gene, they were identified as P. veronii IB K11-1 (99.86% similarity), P. frederiksbergensis IB Ta10m (100%), strain TaE2 was assigned to Pseudomonas sp. It was found that bacteria, when growing on a mineral-salt medium with ABA, reduced the hormone content by 50-60% with an increase in population density by two orders of magnitude. In a laboratory experiment, it was shown that the introduction of bacterial biomass (108 CFU/g of substrate) into the rhizosphere of wheat plants 10 days after treatment led to a decrease in the abscisic acid content in the roots by 18–30% and an increase in plant weight by up to 30%. Thus, new strains of growth-stimulating ABA-degrading bacteria have been identified and characterized for the first time, which may be promising for the creation of biological products that increase plant resistance to biotic and abiotic stresses.
Full Text
Бактерии, способные стимулировать рост растений, все шире применяются в растениеводстве для повышения урожайности. Для того чтобы повысить эффективность применения бактериальных препаратов, важно более глубоко изучить их влияние на растения [1]. Прежде всего, механизм стимулирующего рост действия бактерий связывают со способностью улучшать снабжение растений питательными веществами [2], повышать устойчивость к биотическим [3] и абиотическим факторам [4]. Еще одно важное свойство бактерий – их способность продуцировать фитогормоны стимулирующего типа действия и катаболизировать гормоны – ингибиторы. Продукция бактериями фитогормонов первого типа изучена гораздо глубже. Особенно много публикаций описывают синтез бактериями ауксинов, которые стимулируют рост растений, ветвление корней, [5] поглощение элементов минерального питания, а также фитогормонов цитокининов [6] и гиббереллинов [7].
Способность бактерий катаболизировать гормоны-ингибиторы в большей степени изучена на действии дезаминаз, катализирующих распад предшественника этилена аминоциклопропан-1-карбоксилата (АЦК) [8, 9]. Изучению способности бактерий разрушать абсцизовую кислоту (АБК) уделялось очень мало внимания. Этот гормон определяет способность растений к адаптации к условиям окружающей среды путем регулирования газообмена, поддержания водного баланса, определяет переход растений в состояние покоя, созревания и прорастания семян [10], принимает участие в формировании защитных реакций растений против фитопатогенных микроорганизмов [11]. Тем не менее, избыточная продукция АБК в стрессовых условиях способствует ингибированию роста растений. Так, выступая в качестве антагониста ауксинов, АБК ингибирует ветвление корней [12]. Показано, что подавление роста растений в загущенных посевах объясняется повышенной продукцией этого гормона [13]. Абсцизовая кислота выделяется корнями растений в почву и как устойчивое соединение накапливается в ней до концентраций, оказывающих негативное влияние на сами растения. Обнаружено, что ее содержание в почве может меняться и с помощью радиоактивной метки показано ее разрушение [14].
Имеются данные о снижении концентрации абсцизовой кислоты в растениях под влиянием ряда бактерий, являющимися продуцентами или ингибиторами других фитогормонов. Однако не всегда этот феномен объясняется метаболизмом АБК самими бактериями. Так, например, Variovorax paradoxus 5C-2, обладающая АЦК-дезаминазной активностью [15], или Promicromonospora sp. SE188, потребляющая 1-аминоциклопропан-1-карбоксилат [7], снижали концентрацию АБК в растениях. В тоже время, обе бактерии в чистой культуре не использовали АБК в качестве единственного источника углерода. В этом случае влияние бактерий на уровень АБК в растениях, очевидно, был связан с их воздействием на метаболизм гормонов у растений [16].
До недавнего времени были известны лишь несколько штаммов микроорганизмов, разрушающих абсцизовую кислоту. Первым идентифицированным штаммом, использующим абсцизовую кислоту в качестве единственного источника углерода и энергии, был Corynebacterium sp. 433-3-2 [17]. Позднее были выявлены еще два штамма АБК-метаболизирующих бактерий Novosphingobium sp. P6W и Rhodococcus sp. P1Y [18]. Недавно как АБК-катаболизирующий был заявлен штамм Pseudomonas plecoglossicida 2.4-D [13]. Других сведений о представителях этого рода, утилизирующих фитогормон АБК, в литературе не удалось обнаружить, хотя бактерии этого рода довольно часто входят в состав уже применяемых биопрепаратов.
Метаболические пути превращения молекул АБК при потреблении бактериями остаются еще слабоизученными. Идентификация продуктов распада меченой дейтерием АБК позволила обнаружить, что циклогексеновая часть молекулы остается не затронутой, а также выявлено три продукта, полученные путем частичного или полного усечения ацильного фрагмента молекулы [19]. Исследованные продукты представляли собой дегидровомифолиол [20] и родококковую кислоту [21]. Исследователи сходятся во мнении, что метаболизм абсцизовой кислоты бактериальными штаммами может проходить разными путями, описание которых носит предположительный характер.
Несмотря на очень скудные сведения о бактериях АБК-деструкторах, они могут быть перспективными в качестве регуляторов содержания АБК в растениях и в почве, способствовать более мягкому прохождению растениями воздействия биотических и абиотических факторов. Создание и применение биопрепаратов, снижающих содержание АБК в растении и в почве, включает в себя поиск новых АБК-катаболизирующих бактерий с рост регулирующими свойствами.
Цель настоящей работы – изучение свойств выделенных штаммов бактерий рода Pseudomonas, способных утилизировать АБК, и оценка их влияния на рост и развитие растений пшеницы.
МЕТОДИКА
Объекты исследования. В качестве объектов исследования были использованы бактерии из коллекции Уфимского института биологии УФИЦ РАН. В результате предварительно проведенного скрининга из 112 представителей, относящихся к разным родам, среди которых Arthrobacter, Bacillus, Paenibacillus, Dietzia, Pedobacter, Pseudomonas, Janthinobacterium, Rugamonas, Serratia [22], для исследования были отобраны АБК-потребляющие штаммы IB K11-1 (UIB-255), IB Ta10m (UIB-256) и IB TaE2 (UIB-257).
Штаммы IB Ta10m и IB TaЕ2 были выделены из пещеры Таврида (Россия) из ископаемых зоогенных отложений и минерального образования мондмильх соответственно. Штамм IB K11-1 был выделен из уплотненного грунта пещеры Киндерлинская (Южный Урал, Россия).
Физиолого-биохимические свойства бактерий изучали, руководствуясь методическими рекомендациями по идентификации микроорганизмов [23].
Выделение ДНК, амплификация и секвенирование гена 16S рРНК. Идентификацию чистых культур проводили методом анализа гена 16S рРНК. Выделение ДНК проводили с использованием набора FastDNA Spin Kit “MP Bio” (США). Амплификацию фрагментов бактериальных генов 16S рРНК проводили с использованием универсальных бактериальных праймеров 27F (5'-AGAGTTTGATC(A/C)TGGCTCAG-3') и 1492R (5'-АСGG(C/T)TACCTTGTTACGACTT-3') на приборе C1000 TouchTM Thermal Cycler “Bio-Rad Laboratories” (США). Определение нуклеотидных последовательностей проводили с применением набора реактивов GenSeq-100 “Синтол” (Россия) на автоматическом секвенаторе “Нанофор 05” (“Синтол”, Россия). Сборку и множественное выравнивание полученных нуклеотидных последовательностей осуществляли с использованием программ Sequence Scanner v 2.0 и MEGA 7.0 (http://www.megasoftware.net). Поиск гомологичных последовательностей произведен при использовании ресурсов баз данных EzBioCloud (http://www.ezbiocloud.net/eztaxon) и GenBank (http:/www.ncbi.nlm.nih.gov).
Получение бактериальной суспензии. Бактерии для инокуляции минеральной среды с АБК и обработки пшеницы выращивали на среде Кинг Б. Культивирование осуществляли в 50 мл питательной среды в колбах Эрленмейера на шейкере-инкубаторе “Innova 40R” (США) при 25°С и 160 об./мин в течение суток. Бактериальные клетки отделяли от супернатанта на центрифугах “Eppendorf MiniSpin plus” (Германия) или “Sigma 2-16PK” (Германия) при 8000 g. Полученную микробную биомассу разбавляли в стерильной минерально-солевой среде (МСМ) [18] до оптической плотности 0.05–0.1 (титр вносимой суспензии 104 КОЕ/мл) при длине волны 600 нм на спектрофотометре СФ-56 “ЛЮМО-Спектр” (Россия). Для инокуляции минеральной среды с АБК использовали 20 мкл бактериальной суспензии. При обработке пшеницы суспензию разводили в стерильной водопроводной воде.
Культивирование бактерий на минеральной среде с АБК. Способность бактериальных штаммов использовать абсцизовую кислоту в качестве единственного источника углерода и энергии изучали при культивировании в жидкой среде МСМ. Абсцизовую кислоту “Servicebio” (Китай) добавляли в стерильную среду до конечной концентрации 0.25 мг/мл.
Инкубацию 5 мл питательной среды МСМ с АБК и соответствующим инокулятом проводили в пробирках в условиях аэрации на шейкере-инкубаторе Innova в течение 14 сут в условиях, описанных выше. Пробы культуральной жидкости отбирали в конце опыта для определения в них остаточного содержания АБК.
Определение АБК в культуральной жидкости. После центрифугирования культуральной жидкости АБК экстрагировали из супернатанта при помощи диэтилового эфира по модифицированной схеме с уменьшением объема [5]. Иммуноферментный анализ (ИФА) проводили по протоколу, описанному ранее [24].
Вегетационные опыты. Растения твердой пшеницы Triticum durum Desf., сорта Башкирская 27 выращивали на светоплощадке с освещенностью 450 мкмоль/м2/с фотосинтетической активной радиации с 14-часовым световым периодом, влажностью воздуха 30–50% общего содержания воды. Семена пшеницы после стерилизации смесью этанола с перекисью водорода проращивали в стерильных чашках Петри. Двухсуточные проростки высаживали в вегетационные сосуды по 20 в один горшок с 0.7 кг стерильного песчаного субстрата, пропитанного 100%-ным питательным раствором Хогланда-Арнона (Х-А). Растения в течение эксперимента поливали 1 раз в сут, в качестве подкормки вносили равные объемы питательного раствора Х-А, после чего в каждый горшок по весу добавляли воду, в зависимости от транспирационных потерь, до влажности субстрата 80% от полной влагоемкости (ПВ). При таком режиме полива влажность песка в горшках изменялась в пределах от 80% (после полива) до 40% (перед поливом) от ПВ и не предполагала воздействия на растения водного дефицита. Инокуляцию растений бактериями проводили в день посадки проростков путем внесения в прикорневую зону суспензии отмытых бактериальных клеток до конечной концентрации 108 КОЕ/г субстрата. Концентрация выбрана на основании анализа результатов влияния P. plecoglossicida 2.4-D на рост растений салата при плотной посадке [13]. Было показано, что при выращивании на пропитанном питательным раствором стерильном песке концентрация 108 была более эффективной, по сравнению c 106 КОЕ/г субстрата.
Статистический анализ. Для анализа полученных данных использовали программу Microsoft Excel 2010. Для определения достоверных различий между средними значениями (P ≤ 0.05) применяли однофакторный дисперсионный анализ (ANOVA) с использованием критерия Дункана.
РЕЗУЛЬТАТЫ И ИХ ОБСУЖДЕНИЕ
Физиолого-биохимические свойства штаммов. Клетки бактерий представляли собой грамотрицательные подвижные палочки. Флуоресцирующий пигмент на среде Кинг Б выделял только штамм IB K11-1. Все штаммы оказались положительными по оксидазе, каталазе и уреазе, способными к денитрификации и гидролизу аргинина и отрицательными по гидролизу эскулина. Из 3 штаммов желатин не гидролизовал только IB Ta10m. Все штаммы использовали в качестве источника углерода глюкозу, d-маннит, L-арабинозу, сахарозу, целлобиозу, цитрат и ацетат, но не сукцинат. Не использовали раффинозу IB K11-1 и IB Ta10m, лактозу – IB Ta10m, пропионат – IB K11-1.
Температурный диапазон роста штаммов составлял 4–30°С. Рост всех культур происходил в диапазоне рН – 5.5–8.0, концентрации NaCl – 0–3% для штамма IB TaЕ2 и 0–5% для IB K11-1 и IB Ta10m.
Идентификация штаммов. Анализ гена 16S рРНК исследуемого штамма IB K11-1 выявил высокую степень гомологии таксономического маркера на уровне 99.86% с Pseudomonas veronii CFML 92-134T (= DSM 11331Т = CIP 104663T) (NR_028706). Таксономический статус штамма IB K11-1 также подтверждался общностью его физиолого-биохимических характеристик. Штамм IB K11-1 не потреблял пропионат и эритрит в отличие от типового штамма [25].
Уровень сходства последовательностей гена 16S рРНК типового P. frederiksbergensis JAJ28T (= DSM 13022T) (NR_117177) и штаммов IB Ta10m и IB TaE2 составлял 100 и 99.8% соответственно. Штамм IB Ta10m отличался от типового штамма P. frederiksbergensis JAJ28T [26] лишь по двум признакам – наличием активностьи уреазы и отсутствием способности к гидролизузу желатина. Штамм IB TaE2 утилизировал лактозу, раффинозу, но не пропионат, а также был способен к гидролизу мочевины. Совокупность отличий не позволили отнести его к виду P. frederiksbergensis.
Нуклеотидные последовательности гена 16S рРНК исследованных культур P. veronii IB K11-1 длиной 1444 п.н., P. frederiksbergensis IB Ta10m (1429 п.н.) и Pseudomonas sp. IB TaЕ2 (1473 п.н.) депонированы в международной базе данных GenBank под номерами PP237770, PP316701 и PP316703 соответственно.
Рост бактерий на абсцизовой кислоте. Для исследований были отобраны штаммы бактерий, способные расти на среде, где АБК была единственным источником углерода [22]. Как видно из табл. 1 численность бактерий этих штаммов увеличивалась на два порядка. Представляет интерес то, что способность этих штаммов к деструкции АБК была неодинаковой: через 14 сут инкубации концентрация гормона в культуральной жидкости снижалась почти на 60% в случае P. veronii IB К11-1, на 50% – на среде с P. frederiksbergensis IB Ta10m, наименьший процент снижения уровня АБК был отмечен у Pseudomonas sp. IB TaЕ2. Таким образом, корреляции между способностью бактерий снижать уровень АБК и поддержанием роста штаммов бактерий на этой среде не была выявлена.
Таблица 1. Численность АБК-деградирующих бактерий рода Pseudomonas и потребление абсцизовой кислоты в качестве единственного источника углерода и энергии на 14 сут культивирования
Штамм | Концентрация АБК, мг/л | Численность бактерий, КОЕ/мл КЖ* | |
исходная | конечная | ||
Неинокулированная среда ММС + АБК | 250 ± 4* | 0 | 0 |
P. veronii IB К11-1 | 105 ± 4 | 4.7 × 104 ± 1.5 × 103 | 1.1 × 107 ± 1.2 × 106 |
P. frederiksbergensis IB Ta10m | 130 ± 5 | 2.1 × 104 ± 2.6 × 103 | 5.0 × 106 ± 2.3 × 105 |
Pseudomonas sp. IB TaЕ2 | 185 ± 15 | 3.6 × 104 ± 9.9 × 103 | 4.8 × 106 ± 1.8 × 105 |
* Среднее значение ± доверительный интервал по t-критерию Стьюдента при P < 0.05.
Известно, что в ходе метаболизма абсцизовой кислоты выделяются различные продукты [17, 19], которые микроорганизмы могут использовать с разной эффективностью. Можно предположить, что хотя бактерии P. veronii IB К11-1 обладали большей способностью к деструкции АБК, продукты этого процесса в меньшей степени способствовали поддержанию роста бактерий по сравнению с Pseudomonas sp. IB TaЕ2, которые разрушали в 2 раза меньше АБК.
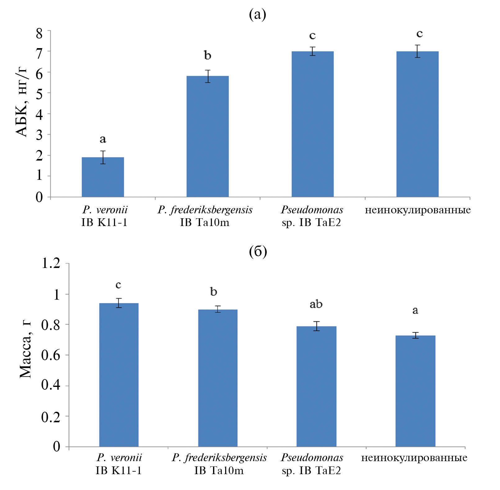
Влияние бактерий на содержание АБК в растениях. Важно было проверить, как изученные бактерии влияли на содержание АБК в растениях пшеницы. Из результатов, представленных на рис. 1а, видно, что через 10 сут после посадки в горшки трехсуточных проростков и внесения в ризосферу суспензии бактериальных клеток (до 108 КОЕ/г почвы), инокуляция Pseudomonas sp. IB TaE2 не оказывала влияния на содержание АБК в корнях растений. В тоже время, присутствие в ризосфере растений бактерий P. frederiksbergensis IB Ta10m снижало уровень АБК в корнях на 18%, а бактерий P. veronii IB K11-1 – почти на 30%. Легко заметить, что сравнение снижения уровня АБК в корнях и культуральной жидкости бактерий выявляет корреляцию между ними. Наибольшее снижение уровня АБК в корнях вызывали бактерии, обладающие наиболее выраженной способностью к деструкции АБК. По данным литературы, АБК, продуцируемая растениями, поступает в почву, где она может разрушаться, а ее содержание в корнях достигает равновесного состояния с концентрацией этого гормона в почве [13, 14]. Этим можно объяснить тот факт, что присутствие в ризосфере бактерий, способных наиболее эффективно разрушать АБК, сопровождалось наибольшим снижением уровня этого гормона в корнях.
Рис. 1. Содержание АБК (нг/г сырой массы) в корнях (а) и масса растений пшеницы (б) через 10 сут после посадки трехсуточных проростков в горшки и внесения в ризосферу суспензии (до 108 КОЕ/г почвы) штаммов-деструкторов АБК Pseudomonas veronii IB К11-1, P. frederiksbergensis IB Ta10m и Pseudomonas sp. IB TaЕ2, контроль – неинокулированные растения. Представлены средние значения ± стандартные ошибки. Разными буквами обозначены достоверно отличающиеся значения (P ≤ 0.05, ANOVA, критерий Дункана).
Влияние на рост растений пшеницы. На следующем этапе было важно сравнить способность бактерий влиять на рост растений. Инокуляция как P. frederiksbergensis IB Ta10m, так и P. veronii IB K11-1 увеличивали массу растений пшеницы на 23–29%, в то время как тенденция стимулирующего рост действия штамма IB TaE2 была статистически недостоверной (рис. 1б).
Для объяснения стимулирующего рост влияния бактерий часто привлекают данные по оценке способности бактерий продуцировать ауксины. Все три изученных штамма продуцировали ауксины, и эти гормоны могли внести определенный вклад в стимулирование роста растений (рис. 2). Однако уровень продукции ауксинов бактериями мало отличался, в то время как они оказывали различное влияние на массу растений. Более достоверно проявлялась связь с ростом растений как способность бактерий катаболизировать АБК и снижать уровень этого гормона у инокулированных растений. Так, стимулирующее рост влияние бактерий наиболее заметно проявлялось при действии P. frederiksbergensis IB Ta10m и P. veronii IB K11-1, которые оказались способны достоверно снижать уровень АБК в корнях растений. Как упоминалось выше, АБК является антагонистом ауксинов и, следовательно, может подавлять ветвление корней [12], что должно отрицательно сказаться на способности корневой системы поглощать воду, элементы минерального питания и поддерживать рост растений. Эти свойства АБК позволяют объяснить, каким образом снижение ее уровня в корнях может оказывать положительное влияние на рост растения.
Рис. 2. Содержание ауксина (нг/мл) в культуральной жидкости штаммов Pseudomonas veronii IB К11-1, P. frederiksbergensis IB Ta10m и Pseudomonas sp. IB TaЕ2 на среде Кинг Б на 3 сут культивирования. Обозначения как на рис. 1.
Таким образом, выявлены три новых представителя рода Pseudomonas – P. frederiksbergensis IB Ta10m, P. veronii IB K11-1, Pseudomonas sp. IB TaЕ2, способных утилизировать абсцизовую кислоту и положительно влиять на рост растений. Изучение механизмов влияния этих бактерий-деструкторов АБК на растения можно рассматривать как перспективное направление в создании биопрепаратов, повышающих устойчивость растений при неблагоприятных условиях среды.
ФИНАНСИРОВАНИЕ. Работа выполнена при финансовой поддержке гранта РНФ № 23-26-00104 “Влияние бактерий, способных катаболизировать абсцизовую кислоту, на рост растений в загущенных посевах”.
СОБЛЮДЕНИЕ ЭТИЧЕСКИХ СТАНДАРТОВ. В данной работе отсутствуют исследования человека или животных.
КОНФЛИКТ ИНТЕРЕСОВ. Авторы заявляют об отсутствии конфликта интересов.
About the authors
A. S. Ryabova
Ufa Federal Research Center of the Russian Academy of Sciences RAS
Email: alenarya@rambler.ru
Ufa Institute of Biology
Russian Federation, Ufa, 450054L. Yu. Kuzmina
Ufa Federal Research Center of the Russian Academy of Sciences RAS
Author for correspondence.
Email: alenarya@rambler.ru
Ufa Institute of Biology
Russian Federation, Ufa, 450054E. A. Gilvanova
Ufa Federal Research Center of the Russian Academy of Sciences RAS
Email: alenarya@rambler.ru
Ufa Institute of Biology
Russian Federation, Ufa, 450054N. F. Galimsyanova
Ufa Federal Research Center of the Russian Academy of Sciences RAS
Email: alenarya@rambler.ru
Ufa Institute of Biology
Russian Federation, Ufa, 450054E. V. Martynenko
Ufa Federal Research Center of the Russian Academy of Sciences RAS
Email: alenarya@rambler.ru
Ufa Institute of Biology
Russian Federation, Ufa, 450054L. B. Vysotskaya
Ufa Federal Research Center of the Russian Academy of Sciences RAS
Email: alenarya@rambler.ru
Ufa Institute of Biology
Russian Federation, Ufa, 450054G. R. Kudoyarova
Ufa Federal Research Center of the Russian Academy of Sciences RAS
Email: alenarya@rambler.ru
Ufa Institute of Biology
Russian Federation, Ufa, 450054References
- Samain E., Ernenwein C., Aussenac T., Selim S. // Physiol. Mol. Plant Pathol. 2022. V. 119. P. 1–12. https://doi.org/10.1016/j.pmpp.2022.101830
- Chieb M., Gachomo E.W. // BMC Plant Biol. 2023. V. 23. N. 407. P. 1–23. https://doi.org/10.1186/s12870-023-04403-8
- Burkhanova G.F., Veselova S.V., Sorokan A.V., Blagova D.K., Nuzhnaya T.V., Maksimov I.V. // Appl. Biochem. Microbiol. 2017. V. 53. № 3. P. 346–352. https://doi.org/10.1134/S0003683817030048
- Kudoyarova G., Arkhipova T., Korshunova T., Bakaeva M., Loginov O., Dodd I.C. // Front. Plant Sci. 2019. V. 10. № 1368. P. 1–11. https://doi.org/10.3389/fpls.2019.01368
- Kudoyarova G.R., Vysotskaya L.B., Arkhipova T.N., Kuzmina L.Yu., Galimsyanova N.F., Sidorova L.V. et al. // Acta Physiol. Plant. 2017. V. 39. № 253. P. 1–8. https://doi.org/10.1007/s11738-017-2556-9
- Liu F., Xing S., Ma H., Du Z., Ma B. // Appl. Microbiol. Biotechnol. 2013. V. 97. P. 9155–9164. https://doi.org/10.1007/s00253-013-5193-2
- Kang S.M., Khan A.L., Hamayun M., Hussain J., Joo G.J., You Y.H., Kim J.G., Lee I.J. // J. Microbiol. 2012. V. 50. P. 902–909.
- Chen L., Dodd I.C., Theobald J.C., Davies W.J., Belimov A.A. // J. Exp. Bot. 2013. V. 64. № 69. P. 1565–1573. https://doi.org/10.1093/jxb/ert031
- Glick B.R. // Microbiol. Res. 2014. V. 169. № 1. P. 30–39. https://doi.org/10.1016/j.micres.2013.09.009
- Chen K., Li G.J., Bressan R.A., Song C., Song C.P., Zhu J.K., Zhao Y. // J. Integr. Plant. Biol. 2020. V. 62. № 1. P. 25–54. https://doi.org/10.1111/jipb.12899
- Максимов И.В. // Физиология растений. 2009. Т. 56. № 6. С. 824–835.
- Akhiyarova G., Veselov D., Ivanov R., Sharipova G., Ivanov I., Dodd I.C., Kudoyarova G. // Int. J. Plant Biol. 2023. V. 14. № 1. P. 77–90. https://doi.org/10.3390/ijpb14010007
- Vysotskaya L., Martynenko E., Ryabova A., Kuzmina L., Starikov S., Chetverikov S. et al. // Biomolecules. 2023. V. 13. № 1668. P. 1–14. https://doi.org/10.3390/biom13111668
- Hartung W., Sauter A., Turner N.C., Fillery I., Heilmeier H. // Plant and Soil. 1996. V. 184. №. 1. P. 105–110. https://doi.org/10.1007/BF00029279
- Jiang F., Chen L., Belimov A.A., Shaposhnikov A.I., Gong F., Meng X. et al. // J. Exp. Bot. 2012. V. 63. №. 18. P. 6421–6430. https://doi.org/10.1093/jxb/ers301
- Akhyamova Z., Martynenko E., Arkhipova T., Seldimirova O., Galin I., Belimov A. et al. // Microorganisms. 2022. V. 11. №. 5. P. 1–13. https://doi.org/10.3390/microorganisms11051227
- Hasegawa S., Poling S.M., Maier V.P., Bennett R.D. // Phytochemistry. 1984. V. 23. №. 12. P. 2769–2771.
- Belimov A.A., Dodd I.C., Safronova V.I., Dumova V.A., Shaposhnikov A.I., Ladatko A.G., Davies W.J. // Plant Physiol Biochem. 2014. V. 74. P. 84–91. https://dx.doi.org/10.1016/j.plaphy.2013.10.032
- Ермеккалиев Т.С., Гоголева Н.Е., Гоголев Ю.В., Коннова Т.А., Шевченко В.П., Нагаев И.Ю. и др. // Химико-фармацевтический журнал. 2021. Т. 55. № 7. С. 60–64. https://doi.org/10.30906/0023-1134-2021-55-7-60-64
- Yuzikhin O.S., Gogoleva N.E., Shaposhnikov A.I., Konnova T.A., Osipova E.V., Syrova D.S. et al. // Biomolecules. 2021. V. 11. №. 3. P. 1–15. https://doi.org/10.3390/biom11030345
- Yuzikhin O.S., Shaposhnikov A.I., Konnova T.A., Syrova D.S., Hamo H., Ermekkaliev T.S. et al. // Biomolecules. 2022. V. 12. №. 10. P. 1–20. https://doi.org/10.3390/biom12101508
- Рябова А.С., Кузьмина Л.Ю., Мартыненко Е.В., Четвериков С.П., Мильман П.Ю., Высоцкая Л.Б. // Экобиотех. 2023. Т. 6. № 3. С. 190–199. https://doi.org/10.31163/2618-964X-2023-6-3-190-199
- Герхардт Ф. Методы общей бактериологии. М.: Мир, 1984. Т. 3. 264 с.
- Vysotskaya L.B., Korobova, A.V., Veselov S.Y., Dodd I.C., Kudoyarova G.R. // Funct. Plant Biol. 2009. V. 36. №. 1. P. 66–72. https://doi.org/10.1071/FP08187
- Elomari M., Coroler L., Hoste B., Gillis M., Izard D., Leclerc H. // Int. J. Syst. Bacteriol. 1996. V. 46. №. 4. P. 1138–1144. https://doi.org/10.1099/00207713-46-4-1138
- Andersen S.M., Johnsen K., Sørensen J., Nielsen P., Jacobsen C.S. // Int. J. Syst. Evol. Microbiol. 2000. V. 50. №. 6. P. 1957–1964. https://doi.org/10.1099/00207713-50-6-1957
Supplementary files




