Comparative Evaluation of Effectiveness of Biocatalytic Synthesis and Antibacterial Activity of Known Antibiotics and “Chimeric” Cephalosporin Compounds
- Autores: Sklyarenko A.V.1, Groshkova I.А.1, Gorbunov N.A.1, Vasiliev A.V.1, Kamaev A.V.1, Yarotsky S.V.1
-
Afiliações:
- National Research Center “Kurchatov Institute”
- Edição: Volume 60, Nº 3 (2024)
- Páginas: 266-273
- Seção: Articles
- URL: https://bakhtiniada.ru/0555-1099/article/view/271534
- DOI: https://doi.org/10.31857/S0555109924030055
- EDN: https://elibrary.ru/EWWSTE
- ID: 271534
Citar
Texto integral
Resumo
The processes of biocatalytic synthesis of cefamandole and cefazoline, as well as four “chimeric” cephalosporins carrying functional groups of these antibiotics in the C3 or C7 position of β-lactam, were carried out using immobilized cephalosporin-acid synthetase under mild standard conditions. A higher efficiency of biocatalytic acylation of β-lactams with a 1(H)-tetrazolylacetic acid residue compared to acylation with almond acid residue was demonstrated. The chemical structure of the obtained compounds was confirmed using the HPLC–MS method. The possibility of using directly reaction mixtures for evaluating the antibacterial activity of synthesized compounds without isolating the target products was demonstrated. The activity of the obtained cephalosporins against twelve microorganisms belonging to the genera Enterococcus, Acinetobacter, Serratia, Pseudomonas, Staphylococcus and Escherichia was evaluated by diffusion into agar. The activity of synthesized “chimeric” cephalosporins against four microorganisms was found: Escherichia coli VKPM B-6695, Staphylococcus aureus VKPM B-6646, Staphylococcus aureus VKPM B-8171 and Staphylococcus epidermidis VKPM B-12635.
Palavras-chave
Texto integral
Согласно отчету, опубликованному Allied Market Research®, в настоящее время цефалоспорины занимают около 30% мирового рынка антибиотиков [1]. В России полусинтетические цефалоспорины и пенициллины являются самым назначаемым классом препаратов при лечении госпитальных инфекций [2]. В связи с развитием резистентности микроорганизмов к антибиотикам [3, 4], насущной задачей является создание новых β-лактамных соединений с измененными свойствами, обладающих антимикробной активностью [5, 6]. Для этой цели могут быть использованы подходы комбинаторной химии, состоящие в получении “химерных” β-лактамых соединений путем объединения в одной молекуле частей, несущих функциональные группы нескольких антибиотиков [7, 8], в частности цефалоспоринов, с подтвержденной активностью. При этом для получения “химерных” соединений целесообразно применение методов биокаталитического синтеза, обеспечивающих наработку образцов реакционных смесей, содержащих цефалоспорины, в стандартизованных мягких условиях в водной среде [9]. Это позволяет рассчитывать на возможность тестирования антимикробной активности синтезированных цефалоспориновых соединений непосредственно в реакционной смеси, исключая стадии выделения и очистки препаратов, что было бы необходимо в случае использования методов химического синтеза [10].
Ранее методом кинетически-контролируемого синтеза с использованием в качестве биокатализатора иммобилизованной синтетазы цефалоспоринов-кислот (CASA, КФ 3.5.1.11) [11, 12], продуцируемой рекомбинантным штаммом Escherichia coli ВКПМ В-12316, были получены новые “химерные” цефалоспорины, несущие С3-модифицированное β-лактамное ядро цефамандола (CFM) и С7-заместители (ацильные части) различных антибиотиков [9]. Кроме того, были разработаны методы биокаталитического ацилирования 7-аминоцефалоспорановой кислоты (7-ACA) с образованием “химерных” цефалоспоринов, несущих ацильные части CFM и цефазолина (CEZ) и являющихся полупродуктами получения этих антибиотиков [13–15].
Цель настоящей работы – оценка эффективности биокаталитического синтеза и антибактериальной активности “химерных” цефалоспоринов (табл. 1), несущих в С3 или С7-положении β-лактама функциональные группы антибиотиков CFM и CEZ.
Таблица 1. Сопоставляемые цефалоспорины
Цефалоспорин (β-лактамная и ацильная части) | X | –R1 | –R2 | |
| CFM (7-TMCA_MA) | ОН | ||
Chimera (7-ACA_MA) | OH | |||
Chimera (TDA_MA) | OH | |||
CEZ (TDA_TzAA) | Н | |||
Chimera (7-ACA_TzAA) | H | |||
Chimera (7-TMCA_TzAA) | H | |||
Методика
Материалы. В работе использованы коммерческие образцы 7-ACA (7-аминоцефалоспорановая кислота, 97.0%) “Anhui BBCA Pharmaceutical” (Китай), TDA (7-амино-3-[2-метил-1,3,4-тиадиазол-5-ил)-тиометил]-3-цефем-4-карбоновая кислота, 98.0%), 7-ТМСА (1-метил-5-меркапто-1,2,3,4-тетразолил-7-аминоцефалоспорановая кислота, 96.5%) “Shandong Sihuan Pharmaceutical Co.” (Китай), натриевые соли цефазолина (98.0%) и цефамандола (99.0%), METzAA (метиловый эфир 1(H)-тетразолилуксусной кислоты, 98.0%), МЕМА (метиловый эфир D-миндальной кислоты, 99.0%), TzAA (1(H)-тетразолилуксусная кислота, 96.0%) “Sigma-Aldrich” (США), МА (миндальная кислота, 99.0%), “НеваТорг” (Россия), агар-агар бактериологический “Bacto, BD” (США), триптон микробиологический “Cell Culture” (Швейцария), экстракт дрожжевой (бактериологический) “HiMedia Laboratories” (Индия).
Получение биокатализатора иммобилизованной синтетазы цефалоспоринов-кислот (IECASA). Биокатализатор для осуществления процессов синтеза цефалоспоринов получали путем иммобилизации CASA, продуцируемой рекомбинантным штаммом E. coli ВКПМ В-12316 на макропористом эпокси-активированном носителе Seplite LX-1000EP (“Sunresin New Materials”, Китай) согласно разработанной ранее методике [16]. Были использованы образцы IECASA со стандартной синтетазной активностью 300–420 ME/г влажного биокатализатора, определенной по синтезу CEZ из 7-амино-3-[2-метил-1,3,4-тиадиазол-5-ил)-тиометил]-3-цефем-4-карбоновая кислоты (TDA) и метилового эфира 1(H)-тетразолилуксусной кислоты (МETzAA). Содержание сухих веществ в образцах составляло 36–38%.
За единицу синтетазной активности (1 МЕ) принимали количество катализатора, которое обеспечивает образование 1 мкмоля CEZ в минуту при его синтезе в растворе, содержащем 60 мМ TDA и 240 мМ МETzAA при рН 7.5 и 30°C [16].
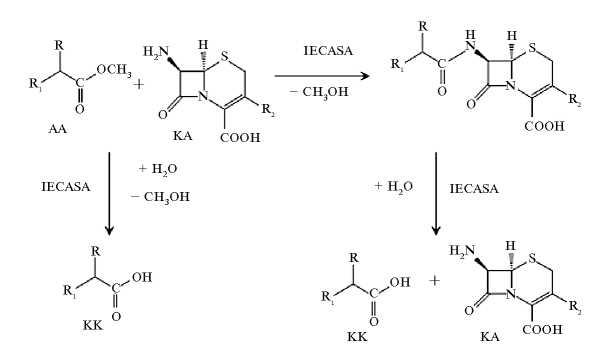
Биокаталитический синтез цефалоспоринов. Синтез “химерных” цефалоспоринов осуществляли методом кинетически-контролируемого синтеза (синтеза с ацильным переносом) [11, 17], схема которого показана на рис. 1. Ключевыми аминокислотами (КА), несущими β-лактамную часть синтезируемого цефалоспорина, служили 1-метил-5-меркапто-1,2,3,4-тетразолил-7-аминоцефалоспорановая кислота (7-ТМСА), TDA и 7-ACA, а ацилирующими агентами (АА) – активированные производные двух карбоновых кислот (КК), а именно: D-миндальной кислоты (МА) и 1(H)-тетразолилуксусной кислоты (TzAA) (см. табл. 1). В качестве активированных производных КК использовали их метиловые эфиры: метиловый эфир D-миндальной кислоты (MEMA) и МETzAA.
Рис. 1. Схема кинетически-контролируемого синтеза цефалоспоринов.
Методики приготовления исходных реакционных смесей, осуществления кинетически-контролируемого синтеза цефалоспоринов, катализируемого IECASA, и контроля процессов методом ВЭЖХ подробно описаны в работах [13–16]. Биокаталитический синтез цефалоспорина Chimera (TDA_MA) осуществлен впервые по аналогичной методике.
Процессы синтеза всех цефалоспоринов проводили в стандартных условиях: 30°C, 0.3 М фосфатно-натриевый буфер, содержание активного фермента в реакционной смеси СЕ = 10 МЕ/мл, начальные концентрации КА и АА С°KA = 60 мМ и С°AA = 200 мМ соответственно (мольный избыток АА над КА Х° = 3.3 М/М). В результате протекания гидролитических реакций (см. рис. 1) рН в реакционной смеси снижался по ходу процесса за счет образования КК от 7.2–7.9 в момент добавления биокатализатора до 6.6–6.1 в конце процесса, что отвечало оптимальному диапазону активности и стабильности фермента CASA [16]. Биокатализатор отделяли от реакционной смеси вакуумной фильтрацией на пористом стеклянном фильтре.
Динамический контроль состава реакционной смеси по четырем компонентам (целевой цефалоспорин, КА, АА и КК) осуществляли, анализируя отбираемые по ходу процесса пробы методом ВЭЖХ в изократическом режиме. Использовали хроматограф фирмы “Gilson” (США), хроматографическую колонку “Spherisorb ODS”, 250 × 4 мм с диаметром частиц 7.5 мкм. Мобильной фазой служила смесь, состоящая из 0.05 М фосфатно-аммонийного буфера и метанола в соотношениях, описанных в работах [13–16]. Расход мобильной фазы 1 мл/мин.
Для каждой пробы рассчитывали степень трансформации КА в цефалоспорин (в %), баланс по β-лактаму как сумму относительных концентраций (по отношению к С°KA) КА и продукта, а также баланс по КК как сумму относительных концентраций (по отношению к С°AA) АА, КК и продукта.
Определение молекулярной массы “химерных” цефалоспоринов. Молекулярную массу “химерных” цефалоспоринов, определяли методом ВЭЖХ-МС, используя реакционные смеси, полученные путем биокаталитического синтеза. Исследование проводили на жидкостном хроматографе фирмы “AgilentTechnologies” (США) модель 1290 с тройным масс-спектрометрическим детектором модели 6490 на обращенно-фазовой колонке PerfectSil 300 ODS C18, 250 × 4.6 мм с размером частиц 5 мкм. Разделение компонентов реакционной смеси, полученной при биокатилитическом синтезе цефалоспорина, проводили в режиме градиентного элюирования смесью водного 10 мМ раствора формиата аммония (А) и ацетонитрила, содержащего 0.1% (об./об.) муравьиной кислоты (В), при линейном увеличении содержания раствора А в смеси от 5 до 15% (об./об.) за 15 мин. Скорость потока составляла 1.0 мл/мин. Детектирование выполняли на масс-спектрометре модели 6495 фирмы “Agilent Technologieies” с электроспреем в режиме сканирования по полному ионному току в диапазоне m/z 100–1000.
Определение антибактериальной активности цефалоспоринов. Антибактериальную активность цефалоспоринов определяли методом диффузии в агар [18], осуществляя каждый тест в трех–пяти повторностях.
В качестве тест-культур использовали штаммы из Всероссийской коллекции промышленных микроорганизмов (ВКПМ): Enterococcus durans ВКПМ В-3166, Enterococcus faecium ВКПМ В-3491, Enterococcus faecalis ВКПМ В-4053, Acinetobacter calcoaceticus ВКПМ В-7141, Acinetobacter calcoaceticus ВКПМ В-2838, Acinetobacter calcoaceticus ВКПМ В-4389 (АТСС 33304), Serratia marcescens ВКПМ В-143, Pseudomonas aeruginosa ВКПМ В-8243 (АТСС 27853), Escherichia coli ВКПМ В-6695 (АТСС 25922), Staphylococcus aureus ВКПМ В-6646 (АТСС 6538Р) и Staphylococcus aureus ВКПМ В-8171 (АТСС 29213), Staphylococcus epidermidis ВКПМ В-12635 (АТСС 12228).
Чашки Петри с 2%-ной агаризованной двойной средой LB в асептических условиях засевали 500 мкл бактериальной культуры, предварительно выращенной в жидкой двойной среде LB до наступления стационарной фазы роста. После засева чашки выдерживали при комнатной температуре в течение 1 ч. В толще агара с помощью пипеток Пастера строго вертикально на равном расстоянии от центра и края чашки делали лунки диаметром 3 мм.
Для анализа антибактериальной активности цефалоспоринов использовали реакционные смеси, полученные методом биокаталитического синтеза, содержащие целевой цефалоспорин в концентрации (Сцеф, мМ) от 33 до 57 мМ (табл. 3), определенной методом ВЭЖХ. Образцы реакционных смесей разбавляли стерильной дистиллированной водой для получения исследуемых образцов с концентрациями цефалоспорина 0.50, 0.25, 0.13, 0.07 и 0.03 мM. В лунки вносили равные объемы (8 мкл) исследуемых образцов разбавленных реакционных смесей, содержащих цефалоспорины. Чашки инкубировали при температуре (37 ± 1)°C в течение 18 ч и измеряли диаметр зон подавления роста культуры вокруг лунок. Для каждого цефалоспорина выбирали наименьшую концентрацию, при которой наблюдалось достоверное подавление роста культуры (минимальная эффективная концентрация). Рассчитывали среднее значение диаметра зон подавления роста культуры при этой концентрации и по нему оценивали антибактериальную активность исследуемого цефалоспорина. Микроорганизм, рост которого не подавлялся при концентрации 0.5 мМ, считали резистентным к использованному цефалоспорину. Ошибка метода 15% при доверительной вероятности Р = 0.95.
Результаты и их обсуждение
В водной среде в стандартных условиях был осуществлен катализируемый IECASA кинетически-контролируемый синтез (рис. 1) шести цефалоспоринов (табл. 1), а именно: антибиотиков CFM (7-TMCA_MA) и CEZ (TDA_TzAA); химер Chimera (7-ACA_MA) и Chimera (7-ACA_TzAA), сочетающих β-лактамную часть 7-ACA c ацильными частями CFM и CEZ, а также химер Chimera (7-TMCA_TzAA) и Chimera (TDA_MA), сочетающих между собой β-лактамные и ацильные части CFM и CEZ.
На рис. 2 представлены кривые накопления цефалоспоринов в ходе их биокаталитического синтеза, катализируемого IECASA, в виде зависимости степени трансформации КА в целевой продукт от времени. Они имеют плато различной протяженности. Продолжительные плато, характерные для процессов синтеза цефалоспоринов, несущих ацильную часть TzAA (кривые 4–6, рис. 2), свидетельствуют о благоприятном для биокаталитического ацилирования соотношении скоростей синтетазного и гидролитических процессов (рис. 1). Кривые накопления продуктов синтеза цефалоспоринов, несущих ацильную часть MA, имеют более или менее выраженные максимумы (кривые 1–3, рис. 2) вследствие доминирования гидролитических процессов над процессом собственно синтеза. В табл. 3 приведены максимальные достигаемые концентрации целевых цефалоспоринов (Сцеф, мМ) в реакционных смесях (на плато или в максимуме кривых накопления продукта).
Рис. 2. Кривые накопления цефалоспоринов при синтезе с использованием биокатализатора IECASA: 1 – CFM (7-TMCA_МА), 2 – S-p CFM (7-ACA_МА), 3 – Chimera (TDA_МА), 4 – CEZ (TDA_TzAA), 5 – Sp-CEZ (7-ACA_TzAA), 6 – Chimera (7-TMCA_TzAA). Формулы цефалоспоринов приведены в табл. 2.
Показатели эффективности, характеризующие изученные процессы биокаталитического синтеза цефалоспоринов, рассчитанные на основании кривых накопления продуктов (рис. 2), приведены в табл. 2. Эффективность процесса биокаталитического синтеза в целом оценивали по максимальному выходу цефалоспорина по отношению к КА (ηмакс,%), который рассчитывали как среднюю на плато величину достигнутой максимальной степени трансформации КА в цефалоспорин. Величина ηмакс определялась соотношением скоростей синтетазной и обеих гидролитических реакций (рис. 1), катализируемых ферментом [11, 19]. Для каждого из изученных процессов было установлено сохранение по ходу биокаталитического синтеза практически 100% баланса как по β-лактаму, так и по КК (после полного растворения АА). Это свидетельствовало об отсутствии в системе побочных реакций, затрагивающих β-лактамное ядро или ацильную часть синтезируемого цефалоспорина и способных снижать ηмакс.
Таблица 2. Результаты экспериментов по синтезу цефалоспоринов, катализируемому IECASA
Структура цефалоспоринов | Обозначение | Молекулярная масса, Да | Сцеф, мМ | ηмакс,% | V°уд, мМ/мин⋅МЕ | |
расчет | ВЭЖХ–МС | |||||
CFM (7-TMCA_МА) | 462.5 | – | 36 ± 1 | 60.3 ± 1.5 | 0.22 ± 0.01 | |
Chimera (7-ACA_MA) | 406.4 | 410 | 33 ± 1 | 54.9 ± 1.5 | 0.21 ± 0.01 | |
Chimera (TDA_MA) | 478.5 | 473 | 37 ± 1 | 61.9 ± 1.9 | 0.34 ± 0.02 | |
CEZ (TDA_TzAA) | 454.5 | – | 54 ± 1 | 90.8 ± 1.7 | 0.70 ± 0.03 | |
Chimera (7-ACA_TzAA) | 382.4 | 383 | 57 ± 1 | 94.4 ± 1.8 | 0.66 ± 0.03 | |
Chimera (7-TMCA_TzAА) | 438.5 | 439 | 55 ± 1 | 91.4 ± 1.6 | 0.59 ± 0.03 | |
Собственно синтетазную способность IECASA в изучаемых процессах биокаталитического ацилирования соответствующих КА оценивали по удельной начальной скорости синтеза (V°уд, мМ/мин⋅МЕ), то есть в условиях, когда гидролитические процессы еще не оказывают существенного влияния на реакцию образования ациламидной связи цефалоспорина. Этот параметр рассчитывали как отношение начальной скорости образования цефалоспорина, определенной по начальному участку соответствующей кривой накопления (рис. 2), отнесенной к содержанию активного фермента в реакционной смеси.
Результаты, представленные на рис. 2 и в табл. 2, наглядно показали, что как эффективность изученных процессов ацилирования КА, так и собственно синтетазная способность IECASA в этих процессах определялась ацильным остатком синтезируемого цефалоспорина. Так все три продукта, несущие остаток TzAA, были получены практически с одинаковым высоким выходом ηмакс = 91–94% при близкой синтетазной способности IECASA = 0.6–0.7 мМ/мин⋅МЕ. Использование АА с ацильным остатком МА снижало эффективность процессов синтеза до ηмакс = 55–62%, а синтетазную способность IECASA до V°уд = 0.2–0.3 мМ/мин⋅МЕ.
Известные антибиотики CFM и CEZ были идентифицированы и количественно определены в реакционных смесях методом ВЭЖХ с использованием стандартных образцов. Структуры полученных “химерных” цефалоспоринов (табл. 2) были предположены на основании известной специфичности CASA при синтезе цефалоспоринов-кислот [11], механизма действия фермента в реакциях кинетически контролируемого синтеза [11, 13–16], а также по аналогии с процессами синтеза CFM и CEZ. Анализ методом ВЭЖХ-МС молекулярных масс компонентов реакционных смесей, полученных при биокаталитическом синтезе “химерных” цефалоспоринов, подтвердил предложенные структуры синтезированных продуктов (табл. 2).
Антимикробную активность цефалоспоринов изучали методом диффузии в агар [18] с использованием бактериальных культур из ВКПМ. Реакционные смеси, полученные при биокаталитическом синтезе “химерных” цефалоспоринов в мягких стандартных условиях в водной среде, были использованы для сравнительной оценки антибактериальной активности “химерных” соединений и известных антибиотиков CFM и CEZ. Помимо синтезированного цефалоспорина каждая реакционная смесь содержала соответствующие КА, АА и КК. Для каждой из реакционных смесей было установлено отсутствие влияния этих компонентов на рост тестируемых микроорганизмов. Существенно, что другие побочные продукты в реакционных смесях отсутствовали, что было подтверждено сохранением практически 100%-ного баланса как по β-лактаму, так и по КК в ходе процесса биокаталитического синтеза. Результаты проверки антимикробной активности CFM и CEZ, содержащихся в реакционных смесях, полученных биокаталитическим синтезом, были подтверждены с использованием стандартных образцов этих антибиотиков.
Методом диффузии в агар было установлено, что такие микроорганизмы как Enterococcus durans ВКПМ В-3166, Enterococcus faecium ВКПМ В-3491, Enterococcus faecalis ВКПМ В-4053, Acinetobacter calcoaceticus ВКПМ В-7141, Acinetobacter calcoaceticus ВКПМ В-2838, Acinetobacter calcoaceticus ВКПМ В-4389, Serratia marcescens ВКПМ В-143, Pseudomonas aeruginosa ВКПМ В-8243 нечувствительные к CFM и CEZ, не были чувствительны также ни к одному из синтезированных “химерных” цефалоспоринов, несущих ацильные части этих антибиотиков в сочетании с β-лактамными частями CFM, 7-ACA и CEZ.
Четыре микроорганизма, представленные в табл. 3, проявили чувствительность к изучаемым цефалоспоринам. В табл. 3 приведены минимальные эффективные концентрации каждого цефалоспорина и соответствующие им диаметры зон подавления роста культур. Все шесть изученных цефалоспоринов продемонстрировали активность в отношении Escherichia coli ВКПМ В-6695, причем эффективность действия “химерных” соединений Chimera (TDA_MA) и Chimera (7-TMCA_TzAA) была близка к эффективности CFM, а “химерные” цефалоспорины, имевшие β-лактамную часть 7-ACA были менее активны (табл. 3). Представляет большой интерес наличие активности изученных цефалоспоринов в отношении стафилококков. Рост штаммов Staphylococcus aureus ВКПМ В-6646 и Staphylococcus aureus ВКПМ В-8171 подавлялся всеми шестью изученными цефалоспоринами (табл. 3). Наиболее чувствителен к изучаемым цефалоспоринам штамм Staphylococcus aureus ВКПМ В-6646, при этом “химерные” цефалоспорины, несущие ацильный остаток TzAA, несколько менее активны, чем CEZ и соединения с ацильным остатком MA (табл. 3). Рост штамма Staphylococcus epidermidis ВКПМ В-12635 подавлялся только CEZ и “химерными” цефалоспоринами, имеющими β-лактамную часть 7-ACA (табл. 3).
Таблица 3. Антибактериальная активность цефалоспоринов, определенная методом диффузии в агар
Цефалоспорины | Зоны подавления роста культур* | |||||||
Escherichia coli ВКПМ В-6695 | Staphylococcus aureus ВКПМ В-6646 | Staphylococcus aureus ВКПМ В-8171 | Staphylococcus epidermidis ВКПМ В-12635 | |||||
Смин, мМ | d, мм | Смин, мМ | d, мм | Смин, мМ | d, мм | Смин, мМ | d, мм | |
CFM (7-TMCA_МА) | 0.25 | 10.0 ± 1.5 | 0.03 | 10.0 ± 1.5 | 0.13 | 7.0 ± 1.1 | ‒ | ‒ |
Chimera (7-ACA_MA) | 0.50 | 14.0 ± 2.0 | 0.03 | 9.0 ± 1.3 | 0.13 | 7.0 ± 1.1 | 0.13 | 7.0 ± 1.1 |
Chimera (TDA_MA) | 0.25 | 12.0 ± 1.8 | 0.03 | 11.0 ± 1.6 | 0.13 | 8.0 ± 1.2 | ‒ | ‒ |
CEZ (TDA_TzAA) | 0.13 | 7.0 ± 1.1 | 0.03 | 11.0 ± 1.6 | 0.13 | 9.0 ± 1.3 | 0.13 | 10.0 ± 1.5 |
Chimera (7-ACA_TzAA) | 0.50 | 12.0 ± 1.8 | 0.07 | 7.0 ± 1.1 | 0.13 | 6.0 ± 0.9 | 0.13 | 7.0 ± 1.1 |
Chimera (7-TMCA_TzAA) | 0.25 | 11.0 ± 1.6 | 0.03 | 6.0 ± 0.9 | 0.13 | 7.0 ± 1.1 | ‒ | ‒ |
* Смин ‒ минимальная эффективная концентрация цефалоспорина (наименьшая концентрация, при которой наблюдается достоверное подавление роста культуры), мМ; d ‒ среднее значение диаметра зон подавления роста культуры при минимальной эффективной концентрации цефалоспорина, мм.
Таким образом, методом биокаталитического синтеза получен набор “химерных” цефалоспоринов, несущих в С3 или С7-положении β-лактама функциональные группы антибиотиков CFM и CEZ. Предложенная химическая структура “химерных” соединений подтверждена путем определения их молекулярной массы методом ВЭЖХ–МС. Продемонстрирована возможность использования для оценки антибактериальной активности синтезированных соединений непосредственно реакционных смесей без выделения целевых продуктов. Обнаружена активность синтезированных “химерных” цефалоспоринов в отношении четырех штаммов микроорганизмов: Escherichia coli ВКПМ В-6695, Staphylococcus aureus ВКПМ В-6646, Staphylococcus aureus ВКПМ В-8171 и Staphylococcus epidermidis ВКПМ В-12635. Наличие у “химерных” цефалоспоринов, имеющих β-лактамную часть 7-ACA, антимикробной активности, сопоставимой с активностью известных антибиотиков, представляет особый интерес, поскольку позволяет получать цефалоспорин из 7-ACA в одну биокаталитическую стадию, избегнув химической модификации β-лактама по С3-положению.
Sobre autores
A. Sklyarenko
National Research Center “Kurchatov Institute”
Autor responsável pela correspondência
Email: ingagrosh@mail.ru
Rússia, Moscow
I. Groshkova
National Research Center “Kurchatov Institute”
Email: ingagrosh@mail.ru
Rússia, Moscow
N. Gorbunov
National Research Center “Kurchatov Institute”
Email: ingagrosh@mail.ru
Rússia, Moscow
A. Vasiliev
National Research Center “Kurchatov Institute”
Email: ingagrosh@mail.ru
Rússia, Moscow
A. Kamaev
National Research Center “Kurchatov Institute”
Email: ingagrosh@mail.ru
Rússia, Moscow
S. Yarotsky
National Research Center “Kurchatov Institute”
Email: ingagrosh@mail.ru
Rússia, Moscow
Bibliografia
- Verma T., Aggarwal A., Singh S., Sharma S., Sarma S.J. // J. Mol. Struct. 2022. V. 1248. P. 1‒13. https://doi.org/10.1016/j.molstruc.2021.131380
- Аркуша А.А. // Скиф. 2018. T.12. № 28. C. 7–19.
- Сидоренко С.В., Тишков В. И. // Успехи биологической химии. 2004. T. 44. C. 263‒306.
- Rodriguez-Herrera R., Puc L.E.C., Sobrevilla J.M.V., Luque D., Cardona-Felix C.S., Aguilar-Conzalez C.N. et al. // In: Enzymes in Food Biotechnology – Production, Applications, and Future Prospects. / Ed. M. Kuddus. Acad. Press. 2018. V. 36. P. 627‒643. https://doi.org/10.1016/B978-0-12-813280-7.00036-0
- Theuretzbacher U. // Curr. Opin. Pharmacol. 2011. V. 11. № 5. P. 433‒438. https://doi.org/10.1016/j.coph.2011.07.008
- Gaurav K., Karmakar S., Kundu S., Кundu K. // In: Antibiotic Resistant Bacteria – A Continuous Challenge in the New Millennium. / Ed. Dr. Marina Pana. InTech. 2012. P. 487‒502. https://doi.org/10.5772/29658
- Kurochkina V.B., Satarova D.E., Nys P.S. Moscow University Chemistry Bulletin. Biocatalysis. 2000. V. 41. № 6. Р. 139‒143.
- Курочкина В.Б., Ныс П.С. // Антибиотики и химиотерапия. 2002. № 2. С. 29‒37.
- Sklyarenko A.V., Groshkova I.A., Gorbunov N.A., Yarotsky S.V. // Appl. Biochem. Microbiol. 2023. T. 57. № 7. C. 1027‒1038. https://doi.org/10.1134/S0003683823070062
- Arroyo M., De la Mata I., García J.-L., Barredo J.-L. // Biotechnology of Microbial Enzymes. 2017. V. 17. P. 451‒473. https://doi.org/10.1016/B978-0-12-803725-6.00017-0
- Sklyarenko A.V., Eldarov M.A., Kurochkina V.B., Yarotsky S.V. // Appl. Biochem. Microbiol. 2015. V. 51. № 6. P. 627‒640. https://doi.org/10.1134/S0003683815060150
- Эльдаров М.А., Скляренко А.В., Думина М.В., Медведева Н.В., Жгун А.А., Сатарова Д.Э. и др. // Биомедицинская химия. 2015. T. 61. № 5. C. 646‒651. https://doi.org/10.18097/PBMC20156105646
- Sklyarenko A.V., Groshkova I.A., Sidorenko A.I., Yarotsky S.V. // Appl. Biochem. Microbiol. 2020. V. 56. № 5. P. 526‒537. https://doi.org/10.1134/S0003683820050130
- Sklyarenko A.V., Groshkova I.A., Krestyanova I.N., Yarotsky S.V. // Appl. Biochem. Microbiol. 2022. V. 58. № 3. P. 251‒260. https://doi.org/10.1134/S0003683822030127
- Sklyarenko A.V., Groshkova I.A., Gorbunov N.A., Yarotsky S.V. Appl. Biochem. Microbiol. 2023. T. 59. № 8. C. 1086‒1101. https://doi.org/10.1134/S0003683823080094
- Wang Lu, Sklyarenko A.V., Duanhua Li, Sidorenko A.I., Zhao C., Jinjun Li et al. // Bioprocess Biosyst. Eng. 2018. V. 41. № 12. P. 1851‒1867. https://doi.org/10.1007/s00449-018-2007-z
- Deaguero A.L., Blum J.K., Bommarius A.S. // In: Encyclopedia of Industrial Biotechnology: Bioprocess, Bioseparation, and Cell Technology. / Ed. M. C. Flickinger. John Wiley & Sons, 2012. P. 535‒567. https://doi.org/10.1002/9780470054581.eib640
- Кулешова С.И. // Ведомости Научного центра экспертизы средств медицинского применения. 2015. (3). C. 13‒17.
- Kurochkina V.B., Sklyarenko A.V. // In: Biotechnology: State of the Art and Prospects for Development / Ed. G.E. Zaikov. Nova Science Publishers, 2008. V. 20. P. 175‒204.
Arquivos suplementares























