Пищевая и потенциальная лечебно-профилактическая ценность овариальной жидкости сибирского осетра (Acipenser baerii) и стерляди (Acipenser ruthenus)
- Авторы: Михайлова М.В.1, Золотарёв К.В.1, Михайлов А.Н.1, Наход В.И.1, Згода В.Г.1, Харенко Е.Н.2
-
Учреждения:
- Научно-исследовательский институт биомедицинской химии имени В. Н. Ореховича (ИБМХ)
- Всероссийский научно-исследовательский институт рыбного хозяйства и океанографии (ФГБНУ “ВНИРО”)
- Выпуск: Том 60, № 1 (2024)
- Страницы: 101-109
- Раздел: Статьи
- URL: https://bakhtiniada.ru/0555-1099/article/view/259962
- DOI: https://doi.org/10.31857/S0555109924010111
- EDN: https://elibrary.ru/HBSIUS
- ID: 259962
Цитировать
Полный текст
Аннотация
Для оценки пищевой и потенциальной лечебно-профилактической ценности был произведен химический анализ образцов овариальной жидкости (ОЖ) — вторичного продукта выращивания двух распространенных в аквакультуре России видов семейства осетровые. Установлено, что доминирующий органический компонент ОЖ обоих видов — растворимый или диспергируемый в воде легко усваиваемый пищеварительным трактом белок. В ходе протеомного анализа образцов выявлено, что основным компонентом белковой фракции ОЖ является высокопитательный белок вителлогенин. В ходе аминокислотного анализа установлено, что образцы ОЖ обоих видов удовлетворяют потребности взрослого человека во всех незаменимых аминокислотах. Также выявлено, что 85 г высушенной ОЖ осетра или 55 г высушенной ОЖ стерляди покрывает суточную потребность взрослого человека в витаминах C, B1, B2, B3 (PP) и B6, ряде макро- (Na, K, Ca, Mg) и микроэлементов (Fe, Cu, Mn, Zn, Cr). При этом содержание Cu достоверно выше в ОЖ осетра, а содержание Fe достоверно выше в ОЖ стерляди, что отчасти подтверждается относительным содержанием белков-переносчиков Cu и Fe соответственно — церулоплазмина и трансферрина. Потенциальная лечебно-профилактическая ценность ОЖ состоит в значительном содержании различных белков, способных оказывать антиоксидантное действие в ОЖ обоих видов. Использование ОЖ в качестве биологически активной добавки к пище позволит увеличить прибыльность выращивания осетровых за счет получения дополнительного ценного продукта, а также расширит ассортимент натуральных БАД для специального и спортивного питания на рынке.
Полный текст
Овариальная жидкость (ОЖ) — тканевая жидкость яичников самок яйцекладущих животных. У рыб ОЖ, называемая также икорным золем, выполняет функции транспорта веществ для формирования яйцеклеток (икринок), запасающих питательные вещества для будущих эмбрионов [1], а также создания условий для успешного оплодотворения икринок при нересте [2]. Соответственно, чем более питательно ценна икра рыбы, тем более логично ожидать высокую пищевую ценность ОЖ, через которую постоянно происходит диффузия питательных веществ между кровью и икринками.
В настоящее время овариальная жидкость является вторичным продуктом аквакультуры ряда видов рыб, прежде всего осетровых, однако область применения его крайне ограниченна [3]. Некоторые производители косметики (например, MIRRA) включают ОЖ осетровых рыб в свои наружные средства на водной основе — лосьоны, сыворотки (https://mirra-lux-shop.ru/mirra-lines/caviar/manufacturer/mirra?ysclid=lwysonp9zc478663478). Однако анализ состава данных средств показывает, что ОЖ является далеко не ключевой составляющей; в составе имеются такие распространенные косметические компоненты, как масла кунжута и амаранта, сок алоэ и др., а ОЖ, по-видимому, добавляется с формальной целью включения продуктов в линейку продукции, в которой уже есть средства на основе бесспорно эффективной липидной фракции икры осетровых [4].
По результатам собственной оценки авторов при отборе образцов, половозрелая самка сибирского осетра (Acipenser baerii) содержит не менее 0.7 л, а стерляди (Acipenser ruthenus) — ок. 0.5 л ОЖ. При получении икры у половозрелой самки почти весь этот объем выходит вместе с икрой и, как правило, выбрасывается [5]. Осетровые являются одним из ключевых сегментов аквакультуры России: в 2021 г. объем выращивания составил 6.2 тыс. т (по данным Росрыболовства: https://fish.gov.ru/news/2022/02/09/obem-proizvodstva-akvakultury-v-rossii-vyros-na-85-do-357-tys-tonn/). Таким образом, потенциальный общий объем ОЖ, который можно получать из аквакультуры осетровых России, составляет с учетом веса половозрелых рыб 0.24 млн л/год в пересчете на осетра или 2.1 млн л/год в пересчете на стерлядь (согласно маркетинговому исследованию Агентства предпринимательского роста: https://investvolga.volgograd.ru/upload/docs/МИ%20Осетровая%20рыба%20.pdf). Производство премиальной косметической продукции, где ОЖ не является ключевым компонентом, не способно переработать значимую долю таких объемов.
Мировой рынок биологически активных добавок к пище (БАД) в 2022 г. составил 220.3 млрд долларов. При этом, согласно маркетинговым исследованиям, 76% потребителей предпочитают употреблять БАД из полностью натуральных компонентов [6]. Логично ожидать высокую пищевую ценность ОЖ осетровых, что делает перспективным исследование пищевой и, возможно, лечебно-профилактической ценности ОЖ распространенных в аквакультуре России видов семейства осетровые — сибирского осетра и стерляди. Если имеет место существенная пищевая и/или потенциальная лечебно-профилактическая ценность ОЖ, можно будет существенно увеличить прибыльность выращивания осетровых за счет получения дополнительного ценного продукта, а также расширить ассортимент натуральных БАД на рынке.
МЕТОДИКА
Образцы овариальной жидкости. На производственной базе ООО «ИБМХ-ЭкоБиоТех» (Тверская обл., Россия), пластиковыми пипетками было отобрано по 5 образцов (объемом по 300 мл) ОЖ половозрелых самок сибирского осетра и стерляди. Образцы помещали в короб из пенопласта с сухим льдом и в нем транспортировали в лабораторию. В лаборатории образцы центрифугировали при ускорении 2500 g в течение 15 мин для отделения от твердых примесей, затем надосадочную жидкость отбирали и хранили при –80°C до дальнейшей обработки.
Для исследования химического состава образцы ОЖ подвергали лиофильной (сублимационной) сушке в лабораторном сублиматоре СБ 3 (“СХ Техника”, Россия) в ранее подобранном режиме [7]: сушка при –35°C в течение 24 ч и досушка при 30°C в течение 5 ч.
Исследование базового химического состава. Содержание воды в образцах ОЖ определяли как долю потерянной массы образца при сушке плюс остаточную влажность высушенного образца; последнюю определяли методом волюмометрического титрования Карла Фишера на автоматическом титраторе DL31 (“Mettler Toledo”, Швейцария) и пересчитывали по исходному весу образца.
Содержание общего белка в высушенных образцах ОЖ определяли по содержанию общего азота (умножали на коэффициент 6.25); последний определяли методом Къельдаля на полуавтоматическом анализаторе Kjeltec System 1002 (“Tecator”, Швеция).
Содержание общего жира в высушенных образцах ОЖ определяли на автоматическом экстракторе SER148 (“VELP Scientifica”, Италия). Из навески образца (1 г) жир экстрагировали в 150 мл смеси ацетона и хлороформа (в соотношении 1 : 1 об./об.) в течение 90 мин, затем выпаривали растворители под вакуумом и взвешивали экстракт.
Содержание минеральных веществ (золы) определяли путем сжигания высушенной навески в муфельной печи при 600°C до постоянной массы.
Исследование аминокислотного состава. Аминокислотный состав белка высушенных образцов ОЖ определяли методом ВЭЖХ по адаптированной ранее опубликованной методике [8]. Для этого проводили гидролиз образцов (50 мг в 500 мкл 6 М HCl) в ампулах под вакуумом в течение 24 ч при 110°C, затем ампулы вскрывали, содержимое высушивали под вакуумом и растворяли в 50 мкл 0.1 М HCl. Далее проводили дериватизацию аминокислот: к раствору добавляли 1 мл метанольного раствора о-фталевого альдегида (концентрация 50 г/л), добавляли 9 мл 100 мМ боратного буфера (pH 10.2) и оставляли на 5 мин при комнатной температуре. Хроматографическое разделение и анализ аминокислот выполняли на хроматографе серии 1200 (“Agilent”, США) с УФ-детектором на диодной матрице, используя колонку Zorbax Eclipse AAA (“Agilent”, США). Длина колонки — 150 мм, диаметр — 4.6 мм, размер частиц — 5 мкм. В качестве подвижной фазы использовали смешанные в различных соотношениях фосфатный буфер (40 мМ, pH 7.8) (раствор А) и 80%-ный водный раствор ацетонитрила (раствор Б). Анализируемые растворы элюировали со скоростью 1 мл/мин с градиентом раствора Б в 5 этапов: 16 мин от 2 до 12% раствора Б (объемная доля в смеси), затем 18 мин до 36% раствора Б, 2 мин до 63% раствора Б; далее промывание 3 мин 63% раствором Б и уравновешивание 2 мин 2% раствором Б. Концентрации аминокислот измеряли ко калибровке площадей соответствующих пиков, используя стандарты производства Agilent, и пересчитывали их на содержание белка в образцах ОЖ по сухому весу.
Определение содержания витаминов. Содержание витаминов C, B1, B2, B3 (PP) и B6 в высушенных образцах ОЖ определяли одновременно методом ВЭЖХ [9] на хроматографе серии 1200 (“Agilent”, США) с УФ-детектором на диодной матрице. В качестве неподвижной фазы использовали гидрофильную колонку с электрофильно-нуклеофильным наконечником Pro C18 (“YMC-Pack”, Япония). Длина колонки — 250 мм, диаметр — 4,6 мм, размер частиц — 5 мкм. Сначала 0.5 г образца смешивали с 10 мл очищенной (дистиллированной и дополнительно очищенной от органики адсорбционным методом) воды и 1 мл 2 М NaOH, интенсивно встряхивали, после чего добавляли 12.5 мл фосфатного буфера (1 М, pH 5.5), доводили до объема 25 мл и фильтровали через нитроцеллюлозный мембранный фильтр Millipore (“Merck”, Германия) с размером пор 0.22 мкм.
Аналогичным образом готовили растворы стандартных образцов витаминов для калибровки. В качестве подвижной фазы использовали смешанные в различных соотношениях 0.025%-ный раствор трифторуксусной кислоты (раствор А) и ацетонитрил (раствор Б). Анализируемые растворы элюировали со скоростью 0.8 л/мин с градиентом раствора Б в 3 этапа: 5 мин без раствора Б (изократический режим), 6 мин до 25% раствора Б, затем 8 мин до 40% раствора Б. Последовательно определяли оптическую плотность при 275 нм для витаминов B1 (время удержания 3.8 мин), C (6.4 мин), B3 (PP) (7.5 мин), B6 (11.0 мин), B2 (16.0 мин). Концентрацию витаминов измеряли по калибровке площадей соответствующих пиков, используя стандарты производства Agilent, и пересчитывали их на содержание в образцах ОЖ по сухому весу.
Определение содержания макро- и микроэлементов. Содержание макроэлементов (Na, K, Ca, Mg) и микроэлементов (Fe, Cu, Mn, Zn, Cr) в высушенных образцах ОЖ определяли методом масс-спектрометрии на индуктивно-связанной плазме (ИСП-МС) по адаптированной ранее опубликованной методике [10]. Сначала 0.25 г образца заливали концентрированной HNO3 и инкубировали при 78°C в течение 8 ч, после чего инкубировали при комнатной температуре в течение 8 ч. Аликвоты отбирали по 0.5 мл, разбавляли в 12 раз и измеряли концентрации ионов металлов на масс-спектрометре 7500ce (“Agilent”, США) по калибровкам, полученным по стандартным образцам соответствующих металлов. Значения пересчитывали на содержание в образцах ОЖ по сухому весу.
Протеомный анализ. Из образцов нативной ОЖ (20 мкл; до сушки) экстрагировали белки смесью хлороформа и метанола (2: 1 об./об.), затем проводили ферментативный гидролиз белков трипсином с последующей центрифужной фильтрацией, как описано в работе [11].
Протеомный анализ образцов осуществляли с помощью оборудования центра коллективного пользования «Протеом человека» (ИБМХ, Москва, Россия), а именно хроматографической ВЭЖХ-системы Ultimate 3000 RSLCnano (“Thermo Scientific”, США), соединенной с масс-спектрометром Q-exactive HFX (“Thermo Scientific”, США). Пептидную смесь (1 мкг) загружали на обогащающую колонку Thermo Scientific Acclaim µ-Precolumn (длина 3 мм, диаметр 0,5 мм, размер частиц 5 мкм) при потоке 10 мкл/мин в течение 4 мин в изографическом режиме с использованием подвижной фазы состава 2% — ацетонитрил, 98% — 0.1%-ный (исходно) раствор муравьиной кислоты в деионизованной воде. Далее пептиды разделяли на ВЭЖХ-колонке Acclaim Pepmap C18 (длина 150 мм, диаметр 75 мкм, размер частиц 2 мкм; “Thermo Scientific”, США). В качестве подвижной фазы использовали смешанные в различных соотношениях 0.1%-ный раствор муравьиной кислоты в деионизованной воде (раствор А) и смесь, состоящую из 80% ацетонитрила и 20% 0.1%-ного раствора муравьиной кислоты в деионизованной воде (раствор Б). Разделение производили при скорости потока 0.3 мкл/мин в 6 этапов: 1) 4 мин промывка смесью, содержащей 98% раствора А и 2% раствора Б; 2) 90 мин разделение в градиенте раствора Б до 35%; 3) 10 мин разделение в градиенте раствора Б до 99%; 4) 10 мин промывка смесью, содержащей 1% раствора А и 99% раствора Б; 5) 6 мин разделение в отрицательном градиенте раствора Б до 2%; 6) 10 мин уравновешивание смесью, содержащей 98% раствора А и 2% раствора Б.
Масс-спектрометрический анализ проводили на масс-спектрометре Q-exactive HFX в режиме положительной ионизации с использованием источника NESI (“Thermo Scientific”, США). Для масс-спектрометрического анализа были установлены следующие параметры настроек: напряжение на эмиттере 2.1 кВ, температура капилляра 240°C. Панорамное сканирование проводили в диапазоне соотношений масса/заряд (m/z) от 300 до 1500 при разрешении 120000. При тандемном сканировании разрешение устанавливали 15000 в диапазоне m/z от 100 до верхней границы, которая определяется автоматически исходя из массы прекурсора, но не более 2000. Изоляцию прекурсорных ионов проводили в окне ±1 Да. Максимальное число разрешенных для изоляции ионов в режиме MS2 было установлено не более 40, при этом граница отсечения для выбора прекурсора для тандемного анализа была установлена как 50000 единиц, а нормализованная энергия соударения (NCE) равнялась 29. Для тандемного сканирования учитывали только ионы от z = 2+ до z = 6+ по зарядному состоянию. Максимальное время накопления для прекурсорных ионов составило 50 мс, для фрагментных ионов 110 мс. Величину AGC для прекурсоров и фрагментных ионов устанавливали 1 × 106 и 2 × 105 соответственно. Все измеренные прекурсоры динамически исключали из тандемного MS/MS-анализа на 90 с.
Обработку масс-спектров и идентификацию пептидов проводили с помощью программы SearchGUI v.3.3.1 при достоверности соответствия структуры, соответствующей уровню значимости p < 0.05. Идентификацию белков по характеристическим пептидам проводили с использованием базы данных UniProt Release 2020_05 по рыбам семейства осетровые (Sturgeon, Acipenser). Для поиска были заданы следующие поисковые параметры: расщепляющий фермент — трипсин, точность определения масс моноизотопных пептидов ±5 ppm, точность определения масс в спектрах MS/MS ±25 ppm и возможность пропуска одного сайта расщепления.
Статистическая обработка результатов. Данные количественного анализа были представлены как среднее арифметическое ± среднеквадратичное отклонение в исследуемых группах образцов — сибирский осетр и стерлядь. При сравнении интервалов значений достоверность различий между группами выявлялась по U-критерию Манна–Уитни при уровне значимости p < 0.05. Статистическую обработку выполняли с помощью программы IBM SPSS Statistics 26.
РЕЗУЛЬТАТЫ И ИХ ОБСУЖДЕНИЕ
Базовый химический состав. Результаты исследования базового химического состава представлены в табл. 1. Статистически значимых различий по содержанию показателей у осетра и стерляди не выявлено. Вода является доминирующим компонентом ОЖ, что объяснимо для любых физиологических, в частности, тканевых жидкостей.
Таблица 1. Базовый химический состав образцов ОЖ сибирского осетра и стерляди
Вид рыбы | Содержание | |||
вода,% в нативной ОЖ | белок,% * | жир,٪ * | зола,% * | |
Сибирский осетр (n = 5) | 98.8 ± 0.4 | 28.6 ± 3.0 | 5.56 ± 0.60 | 50.0 ± 15.1 |
Стерлядь (n = 5) | 99.1 ± 0.3 | 36.7 ± 7.6 | 8.64 ± 3.06 | 52.9 ± 16.9 |
* Содержание рассчитано в % от сухой массы.
В сухом веществе существенно содержание золы, прежде всего, неорганических солей. Их катионы и анионы попадают туда в результате диффузии из окружающей рыбу воды (как напрямую, так и через кровь), поэтому ОЖ морских видов рыб имеет более высокую осмолярность, чем у пресноводных. Кроме того, существует корреляция между осмолярностью ОЖ и вероятностью оплодотворения икры при нересте, по-видимому, обусловленная создаваемым ионами осмотическим давлением, усиливающим привлечение сперматозоидов [2]. В свете возможного лечебно-профилактического применения ОЖ необходимо отметить, что противопоказанием будет являться гипертоническая болезнь или склонность к ней, а гипотоническое состояние — наоборот, показанием к применению. Высушенная ОЖ может также применяться в качестве приправы к пище вместо соли.
Основным органическим компонентом сухого вещества ОЖ является белок. Поскольку этот белок растворимый или диспергируемый в воде, он легко будет усваиваться пищеварительным трактом. Что касается жира, то его содержание также существенно. При необходимости высушенную ОЖ можно обезжиривать, например, путем экстракции сверхкритическим CO2. Этот технологический подход широко применяется в фармацевтике и производстве БАД, поскольку позволяет экстрагировать жир из биологических субстанций без использования токсичных органических растворителей и относительно недорого при малотоннажном производстве [12].
Аминокислотный состав. Для более полной оценки пищевой ценности ОЖ с точки зрения белковой составляющей было проведено исследование аминокислотного состава по незаменимым аминокислотам, результаты которого представлены в табл. 2. Статистически достоверные различия по содержанию аминокислот в белке ОЖ выявлены для треонина, валина и изолейцина (больше у осетра), а также для лейцина и тирозина (больше у стерляди), при этом суммарное содержание незаменимых аминокислот достоверно не отличалось.
Таблица 2. Аминокислотный состав белка ОЖ сибирского осетра и стерляди (по незаменимым аминокислотам), сопоставленный с потребностями взрослого человека [16]
Аминокислота | Содержание, г/100 г белка | Потребность взрослого человека по [13], г/100 г белка | |
сибирский осетр (n = 5) | стерлядь (n = 5) | ||
Метионин + цистеин | 5.12 ± 0.34 | 4.81 ± 0.29 | 2.2 |
Лизин | 8.38 ± 0.40 | 7.90 ± 0.38 | 4.5 |
Триптофан | 0.79 ± 0.12 | 0.90 ± 0.09 | 0.6 |
Треонин | 6.08 ± 0.37* | 5.42 ± 0.26 | 2.3 |
Валин | 6.06 ± 0.21* | 5.49 ± 0.30 | 3.9 |
Изолейцин | 5.09 ± 0.31* | 4.08 ± 0.29 | 3.0 |
Лейцин | 7.52 ± 0.46 | 9.12 ± 0.33* | 5.9 |
Тирозин | 3.89 ± 0.24 | 5.17 ± 0.18* | 3.8 (суммарно) |
Фенилаланин | 1.76 ± 0.16 | 1.91 ± 0.13 | |
Гистидин | 4.74 ± 0.36 | 4.10 ± 0.39 | 1.5 |
∑ незаменимых аминокислот | 49.43 ± 0.88 | 48.90 ± 1.02 | 27.7 |
* Достоверно более высокое значение по сравнению с соответствующим для данной аминокислоты, согласно U-критерию Манна–Уитни при p < 0.05.
Результаты аминокислотного анализа сопоставлены с минимальными значениями содержания незаменимых аминокислот в употребляемом в пищу белке, необходимыми для полноценной жизнедеятельности взрослого человека, согласно опубликованной научной оценке [13]. В результате выявлено, что белок ОЖ обоих исследуемых видов удовлетворяет потребности взрослого человека во всех незаменимых аминокислотах, а по некоторым из них (метионин + цистеин, треонин, гистидин) кратно превышает минимальное содержание. Таким образом, ОЖ осетра и стерляди может быть рекомендована в качестве белковой добавки при дефиците незаменимых аминокислот.
Витаминно-минеральный состав. Результаты определения содержания витаминов, макро- и микроэлементов представлены в табл. 3. Статистически достоверные различия по содержанию биологически активных веществ и элементов выявлены для K, Mg, Cu (больше у осетра), а также Na, Fe, витаминов C, B2, B3 (PP) (больше у стерляди).
Результаты анализа витаминно-минерального состава сопоставлены с суточными физиологическими потребностями взрослого человека согласно утвержденным Роспотребнадзором методическим рекомендациям МР 2.3.1.2432–08. В результате установлено, что 85 г высушенной ОЖ осетра или 55 г высушенной ОЖ стерляди покрывает суточную потребность взрослого человека в исследуемых витаминах, макро- и микроэлементах. Таким образом, ОЖ осетра и стерляди может быть рекомендована в качестве витаминно-минеральной добавки при дефиците соответствующих витаминов, микро- и макроэлементов.
Протеомные профили. С целью уточнения полученных представлений о пищевой ценности белка исследуемых образцов ОЖ был проведен их протеомный анализ, то есть выявление всех известных белков и относительного содержания их в образцах. Протеомные профили ОЖ осетра и стерляди, составленные из всех выявленных белков, включают 87 белков, из которых 65 достоверно обнаруживались (интенсивность сигнала с учетом среднеквадратичного отклонения отлична от нуля при уровне значимости p < 0.05) у обоих видов (см. дополнительный материал к статье). Такое распределение белков достаточно типично для близкородственных видов рыб [14].
В результате протеомного анализа был выявлен ряд белков, имеющих физиологическое значение для рыб. Так, в ОЖ обоих видов обнаружены белки системы комплемента C1, C3, C4, C6, C7, C8, C9, а также C-реактивный белок и коллектин, запускающие данную систему, кластерин и пропердин, участвующие в ее работе, витронектин, участвующий в ее регуляции. Система комплемента является частью как врожденного, так и приобретенного иммунитета организма и присутствует не только в крови, но и в других биологических жидкостях [15]. Белки системы комплемента также обнаруживались ранее в ходе протеомного анализа ОЖ чавычи [16], радужной форели [17] и судака [18]. Кроме того, в ОЖ обоих видов обнаружены такие белки, значимые для иммунитета, как интелектин, связывающий бактерии в различных тканях у рыб [19], белок 14–3–3, участвующий в дифференцировке антител [20], а также субъединицы различных антител. Среди физиологически значимых белков у обоих видов обнаружен также тетранектин, являющийся регулятором роста тканей на разных стадиях жизненного цикла [21], α1-антитрипсин, являющийся ингибитором протеаз и ослабляющий последствия воспалительных процессов в тканях [22], а также так называемый “белок-антифриз” LS-12, ингибирующий рост кристаллов льда при температурах ниже 0°C [23].
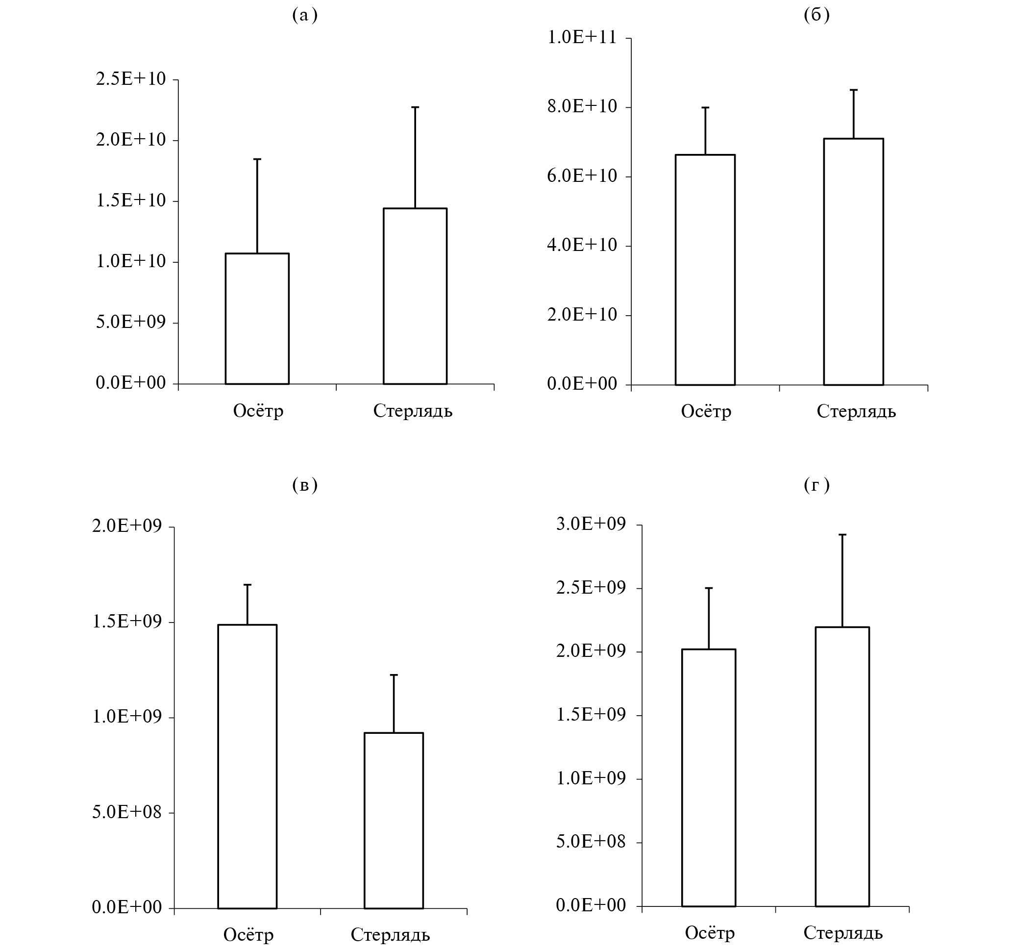
В образцах ОЖ обоих видов обнаружен ряд белков, отражающих функцию ОЖ как транспортера питательных веществ, необходимых для развития будущих эмбрионов рыб. Так, фетуин B [24], аполипопротеин B и аполипопротеин E [25] транспортируют жирные кислоты и липиды. Ряд белков, выполняющих транспортные функции, характеризуют ОЖ исследуемых видов с точки зрения их пищевой и потенциальной лечебно-профилактической ценности (рис. 1). Так, вителлогенин (рис. 1а) является транспортным белком для переноса питательного белкового и липидного материала у яйцекладущих животных; из него затем формируется высокопитательный и легко усваиваемый желток яйцеклетки [26]. Согласно результатам проведенного протеомного анализа, вителлогенин является доминирующим белком в ОЖ обоих видов. Доминирующая позиция вителлогенина в протеомном профиле ОЖ обнаруживалась также ранее у чавычи [16], радужной форели [17] и судака [18]. Таким образом, можно утверждать, что основным компонентом белковой фракции ОЖ является легко усваиваемый высокопитательный белок, что дает дополнительное основание считать ОЖ осетровых источником питательного белка.
Рис. 1. Относительное содержание (выражено в виде интенсивности сигнала масс-спектрометрического детектора) белков или их групп, характеризующих ОЖ исследуемых видов с точки зрения их пищевой и потенциальной лечебно-профилактической ценности: а — вителлогенин (питательный белок); б — трансферрин (переносчик Fe) в — церулоплазмин (переносчик Cu); г — антиоксидантные белки (суммарно). * Достоверно более высокое значение по сравнению с соответствующим для данного белка/группы, согласно U-критерию Манна–Уитни при p < 0.05 (n = 5).
Трансферрин (рис. 1б) и церулоплазмин (рис. 1в) являются белками-переносчиками Fe [27] и Cu [28] соответственно в плазме крови и других биологических жидкостях. Значительное содержание этих белков в ОЖ обоих исследуемых видов, обнаруженное в ходе протеомного анализа, говорит о выполнении ОЖ транспортной функции по обеспечению будущих эмбрионов потомства, в том числе этими необходимыми для развития элементами, а также свидетельствует о том, что значительное содержание Fe и Cu в ОЖ (табл. 3) является, прежде всего, результатом направленного транспорта этих элементов, а не только пассивной диффузии ионов из воды. Соответственно, пищевая ценность ОЖ с точки зрения содержания Fe и Cu не должна критически зависеть от концентрации их ионов в среде обитания рыбы, что свидетельствует об ОЖ осетровых как о стабильном источнике Fe и Cu, если рыбы получают в течение своего жизненного цикла полноценный корм. Трансферрин обнаруживался также ранее в ходе протеомного анализа ОЖ чавычи [16], радужной форели [17] и судака [18]. Выявленные в ходе протеомного анализа статистически достоверные различия по относительному содержанию церулоплазмина в ОЖ сибирского осетра и стерляди (рис. 1в) сходны с различиями по содержанию непосредственно Cu в образцах ОЖ (табл. 3), что подтверждает неслучайный характер данных различий.
Таблица 3. Витаминно-минеральный состав высушенной ОЖ сибирского осетра и стерляди, сопоставленный с суточными потребностями взрослого человека согласно методическим рекомендациям МР 2.3.1.2432-08.
Вещество / элемент | Содержание, мг/100 г | Потребность взрослого человека, мг/сут | |
сибирский осетр (n = 5) | стерлядь (n = 5) | ||
Витамин C | 222.5 ± 91.7 | 519.8 ± 82.3* | 90 |
Витамин B1 | 22.80 ± 10.02 | 25.22 ± 8.34 | 1.5 |
Витамин B2 | 90.97 ± 15.8 | 210.8 ± 35.7* | 1.8 |
Витамин B3 (PP) | 23.61 ± 12.45 | 79.28 ± 21.43* | 20 |
Витамин B6 | 51.39 ± 18.36 | 52.25 ± 11.87 | 2 |
Na | 5430 ± 824 | 7399 ± 756* | 1300 |
K | 12544 ± 2173* | 4868 ± 1947 | 2500 |
Ca | 2932 ± 768 | 3579 ± 671 | 1000; 1200 после 60 лет |
Mg | 4140 ± 638* | 2290 ± 497 | 400 |
Fe | 115.2 ± 26.4 | 188.3 ± 35.2* | 10 для мужчин; 18 для женщин |
Cu | 68.96 ± 7.41* | 56.47 ± 4.80 | 1 |
Mn | 4.14 ± 1.03 | 3.60 ± 0.77 | 2 |
Zn | 84.13 ± 18.72 | 111.44 ± 21.62 | 12 |
Cr | 0.082 ± 0.019 | 0.118 ± 0.027 | 0.05 |
*Достоверно более высокое значение по сравнению с соответствующим для данного витамина/элемента, согласно U-критерию Манна–Уитни при p < 0.05.
В ходе протеомного анализа ОЖ обоих исследуемых видов выявлен ряд белков с антиоксидантными свойствами: глутатионпероксидаза [29], пероксиредоксин [30], селенопротеин P [31], глутаредоксин и тиоредоксин [32]. Значительное суммарное содержание этих ферментов в ОЖ обоих исследуемых видов (рис. 1г) свидетельствует о выполнении ОЖ защитной противовоспалительной и детоксифицирующей функции, а также позволяет утверждать, что ОЖ исследуемых видов имеет потенциальную лечебно-профилактическую ценность в отношении воспалительных процессов, происходящих, например, в слизистой оболочке пищеварительного тракта на всем пути до гидролиза белковых компонентов ОЖ при ее употреблении. Быстрая растворимость высушенной ОЖ в слюне, оценка чего была проведена авторами органолептически, позволяет антиоксидантным соединениям действовать уже в ротовой полости. Существенная антиоксидантная активность высушенной ОЖ сибирского осетра и стерляди была выявлена ранее химико-аналитическим (кулонометрическим) способом и составила 65.0 ± 4.1 Кл/г и 63.2 ± 3.8 Кл/г соответственно, что составляет около 18% от антиоксидантной активности плодов томата — признанного источника антиоксидантов [33].
В ходе данного исследования была выявлена пищевая ценность ОЖ сибирского осетра и стерляди, заключающаяся в высоком содержании (по сухому весу) легко усваиваемого высокопитательного белка, а также ряда водорастворимых витаминов, макро- и микроэлементов. В ходе данного исследования была выявлена потенциальная лечебно-профилактическая ценность ОЖ сибирского осетра и стерляди, заключающаяся в значительном содержании антиоксидантных белков, а также в возможности ее применения для профилактики заболеваний, связанных с авитаминозом и недостаточным потреблением ряда макро- и микроэлементов. Ранее при моделировании окислительного стресса на культуре фибробластов было показано, что добавление в культуральную среду высушенной ОЖ сибирского осетра после окислительного воздействия приводило к ослаблению стрессового состояния в клетках [34]. Таким образом, ОЖ сибирского осетра и стерляди может быть основой для востребованной на рынке натуральной белково-витаминной БАД с дополнительным лечебно-профилактическим эффектом, что позволит увеличить прибыльность выращивания осетровых за счет получения дополнительного ценного продукта.
ФИНАНСИРОВАНИЕ РАБОТЫ. Работа выполнена в рамках Программы фундаментальных научных исследований в Российской Федерации на долгосрочный период (2021–2030 годы) (№ 122030100170-5).
СОБЛЮДЕНИЕ ЭТИЧЕСКИХ СТАНДАРТОВ. В данной работе отсутствуют исследования человека или животных.
КОНФЛИКТ ИНТЕРЕСОВ. Авторы данной работы заявляют, что у них нет конфликта интересов.
Об авторах
М. В. Михайлова
Научно-исследовательский институт биомедицинской химии имени В. Н. Ореховича (ИБМХ)
Email: fireaxe@mail.ru
Россия, Москва, 119121
К. В. Золотарёв
Научно-исследовательский институт биомедицинской химии имени В. Н. Ореховича (ИБМХ)
Автор, ответственный за переписку.
Email: fireaxe@mail.ru
Россия, Москва, 119121
А. Н. Михайлов
Научно-исследовательский институт биомедицинской химии имени В. Н. Ореховича (ИБМХ)
Email: fireaxe@mail.ru
Россия, Москва, 119121
В. И. Наход
Научно-исследовательский институт биомедицинской химии имени В. Н. Ореховича (ИБМХ)
Email: fireaxe@mail.ru
Россия, Москва, 119121
В. Г. Згода
Научно-исследовательский институт биомедицинской химии имени В. Н. Ореховича (ИБМХ)
Email: fireaxe@mail.ru
Россия, Москва, 119121
Е. Н. Харенко
Всероссийский научно-исследовательский институт рыбного хозяйства и океанографии (ФГБНУ “ВНИРО”)
Email: fireaxe@mail.ru
Россия, Москва, 105187
Список литературы
- Lahnsteiner F., Weismann T., Patzner R. A. // Tissue Cell. 1997. V. 29. № 3. P. 305–314. https://doi.org/10.1016/s0040-8166(97)80006-7
- Zadmajid V., Myers J. N., Sørensen S. R., Ernest Butts I. A. // Theriogenology. 2019. V. 132. P. 144–152. https://doi.org/10.1016/j.theriogenology.2019.03.021
- Сытова М. В., Харенко Е. Н. // Рыбпром. 2007. № 3. С. 41–43.
- Ahmmed M.K., Ahmmed F., Carne A., Tian H. S., Bekhit A. E.-D.A. // Fish Roe Biochemistry, Products, and Safety. / Ed. A.E.-D.A. Bekhit. Amsterdam: Elsevier, 2022. P. 93–142. https://doi.org/10.1016/B978-0-12-819893-3.00005-9
- Харенко Е. Н., Дмитриева Е. А., Сытова М. В. // Рыбное хозяйство. 2011. № 3. С. 79–85.
- Lam M., Khoshkhat P., Chamani M., Shahsavari S., Dorkoosh F. A., Rajabi A., Maniruzzaman M., Nokhodchi A. // J. Drug Deliv. Sci. Tech. 2022. V. 67. P. 102985. https://doi.org/10.1016/j.jddst.2021.102985
- Дмитриева Е.А., Харенко Е. Н., Сытова М. В. // Хранение и переработка сельхозсырья. 2012. № 3. С. 12–15.
- Mikhailova M.V., Zolotarev K. V., Mikhailov A. N., Sanzhakov M. A., Farafonova T. E. // International Journal of Management and Humanities. 2019. V. 4. № 4. P. 1–5. https://doi.org/10.35940/ijmh.C0442.124419
- Heudi O., Kilinç T., Fontannaz P. // J. Chromatogr. A. 2005. V. 1070. № 1–2. P. 49–56. https://doi.org/10.1016/j.chroma.2005.02.033
- Mikhailova M., Zolotarev K., Nakhod V., Farafonova T., Mikhailov A. // E3S Web of Conferences. 2022. V. 363. P. 03017. https://doi.org/10.1051/e3sconf/202236303017
- Капица И. Г., Казиева Л. Ш., Вавилов Н. Э., Згода В. Г., Копылов А. Т., Медведев А. Е., Бунеева О. А. // Биомедицинская химия. 2023. Т. 69. № 1. С. 46–54. https://doi.org/10.18097/PBMC20236901046
- Yousefi M., Rahimi-Nasrabadi M., Pourmortazavi S. M., Wysokowski M., Jesionowski T., Ehrlich H., Mirsadeghi S. // TrAC Trends Anal. Chem. 2019. V. 118. P. 182–193. https://doi.org/10.1016/j.trac.2019.05.038
- Pillai R. R., Kurpad A. V. // Br. J. Nutr. 2012. V. 108. Suppl 2. P. S44–S49. https://doi.org/10.1017/S0007114512002401
- Das P., Sahoo L., Das S. P., Bit A., Joshi C. G., Kushwaha B. et al. // Front. Genet. 2020. V. 11. P. 386. https://doi.org/10.3389/fgene.2020.00386
- Janeway C. A. Jr., Travers P. Immunobiology: The Immune System in Health and Disease. 5th ed. N.Y.: Garland Science, 2001. 450 p.
- Johnson S. L., Villarroel M., Rosengrave P., Carne A., Kleffmann T., Lokman P. M., Gemmell N. J. // PLoS One. 2014. V. 9. № 8. P. e104155. https://doi.org/10.1371/journal.pone.0104155
- Nynca J., Arnold G. J., Fröhlich T., Ciereszko A. // Reprod. Fertil. Dev. 2015. V. 27. № 3. P. 504–512. https://doi.org/10.1071/RD13224
- Nynca J., Zarski D., Fröhlich T., Köster M., Bobe J., Ciereszko A. // Aquac. 2022. V. 548. Part 2. P. 737656. https://doi.org/10.1016/j.aquaculture.2021.737656
- Russell S., Hayes M. A., Lumsden J. S. // Fish Shellfish Immunol. 2009. V. 26. № 1. P. 154–163. https://doi.org/10.1016/j.fsi.2008.03.001
- Xu Z., Zan H., Pone E. J., Mai T., Casali P. // Nat. Rev. Immunol. 2012. V. 12. № 7. P. 517–531. https://doi.org/10.1038/nri3216
- McDonald K., Glezeva N., Collier P., O’Reilly J., O’Connell E., Tea I. et al. // Sci. Rep. 2020. V. 10. № 1. P. 7507. https://doi.org/10.1038/s41598-020-64558-4
- Gettins P. G. W. // Chem. Rev. 2002. V. 102. № 12. P. 4751–4804. https://doi.org/10.1021/cr010170+
- Fletcher G. L., Hew C. L., Davies P. L. // Annu. Rev. Physiol. 2001. V. 63. P. 359–390. https://doi.org/10.1146/annurev.physiol.63.1.359
- Fang L., Hu X., Cui L., Lv P., Ma X., Ye Y. // J. Assist. Reprod. Genet. V. 36. № 6. P. 1101–1107. https://doi.org/10.1007/s10815-019-01454-5
- Grummer R. R., Carroll D. J. // J. Anim. Sci. 1988. V. 66. № 12. P. 3160–3173. https://doi.org/10.2527/jas1988.66123160x
- Robinson R. // PLoS Biol. 2008. V. 6. № 3. P. e77. https://doi.org/10.1371/journal.pbio.0060077
- Crichton R. R., Charloteaux-Wauters M. // Eur. J. Biochem. 1987. V. 164. № 3. P. 485–506. https://doi.org/10.1111/j.1432-1033.1987.tb11155.x
- Hellman N. E., Gitlin J. D. // Annu. Rev. Nutr. 2002. V. 22. P. 439–458. https://doi.org/10.1146/annurev.nutr.22.012502.114457
- Mills G. C. // J. Biol. Chem. 1957. V. 229. № 1. P. 189–197. https://doi.org/10.1016/S0021-9258(18)70608-X
- Rhee S. G., Kil I. S. // Annu. Rev. Biochem. 2017. V. 86. P. 749–775. https://doi.org/10.1146/annurev-biochem-060815-014431
- Mostert V. // Arch. Biochem. Biophys. 2000. V. 376. № 2. P. 433–438. https://doi.org/10.1006/abbi.2000.1735
- Holmgren A. // J. Biol. Chem. 1989. V. 264. № 24. P. 13963–13966. https://doi.org/10.1016/S0021-9258(18)71625-6
- Mikhailova M., Zolotarev K., Mikhailov A., Lapin A., Nakhod V. // E3S Web of Conferences. 2023. V. 381. P. 01075. https://doi.org/10.1051/e3sconf/202338101075
- Михайлова М. В., Беляева Н. Ф., Козлова Н. И., Золотарев К. В. , Михайлов А. Н., Подушка С. Б. // Biomedical Chemistry: Research and Methods. 2018. Т. 1. № 2. С. e00011. https://doi.org/10.18097/BMCRM00011
Дополнительные файлы




