Melanin Production by the Medicinal Mushroom Inonotus obliquus F-1375 in Submerged Liquid Cultivation and its Antiretroviral Properties
- Authors: Teplyakova T.V.1, Markovich N.A.1, Gashnikova N.M.1, Gashnikova M.P.1
-
Affiliations:
- State Research Center of Virology and Biotechnology “Vector”
- Issue: Vol 59, No 4 (2023)
- Pages: 376-382
- Section: Articles
- URL: https://bakhtiniada.ru/0555-1099/article/view/138793
- DOI: https://doi.org/10.31857/S0555109923040165
- EDN: https://elibrary.ru/QZRDYO
- ID: 138793
Cite item
Full Text
Abstract
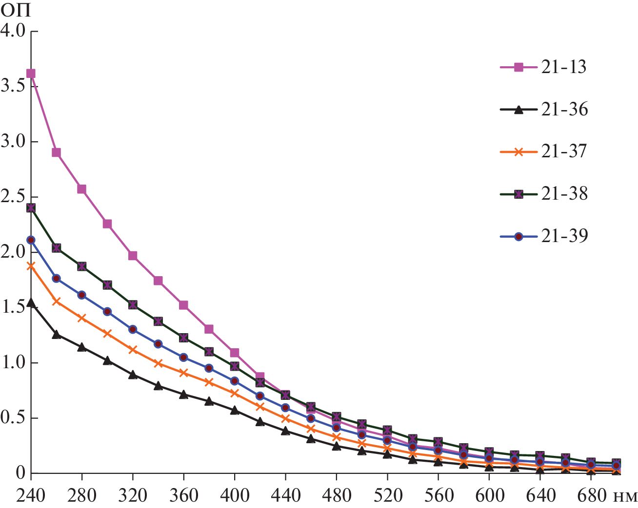
We have explored the effect of a new strain of the mushroom Inonotus obliquus (Ach.:Pers.) Pilat (Basidiomycota) F-1375 on melanin production in a glucose-tryptone medium, adding the preparation of betulin, chemically pure tyrosine, under electric lighting and under dark conditions. The betulin preparation in the examined concentrations had practically no effect on the production of melanin, while high concentrations of tyrosine stimulated the production of melanin both under illumination and in the dark. All studied samples of mushroom melanin are non-toxic: both isolated from natural (TC50 = 96 ± 8 μg/mL) and cultured in a liquid medium with the addition of betulin and tyrosine (TC50 from 164 to 400 μg/mL); active against HIV-1 in MT-4 cell culture (IC50 1 to 4.3 μg/mL, SI 17 to 192). The selectivity indices of the learned preparations of melanin of cultivated Inonotus obliquus F-1375 against the human immunodeficiency virus subtype A were at the level of 33-192, which makes it possible to recommend them for the development of antiviral agents. Melanin from mushroom Inonotus obliquus F-1375 cultured in the electrical light with the addition of 10 and 20 mM tyrosine has the highest selectivity index for retrovirus HIV-1 (SI 192).
About the authors
T. V. Teplyakova
State Research Center of Virology and Biotechnology “Vector”
Author for correspondence.
Email: teplyakova@vector.nsc.ru
Russia, 630559, Novosibirsk Oblast,
Rospotrebnadzor, Koltsovo
N. A. Markovich
State Research Center of Virology and Biotechnology “Vector”
Author for correspondence.
Email: namark@yandex.ru
Russia, 630559, Novosibirsk Oblast,
Rospotrebnadzor, Koltsovo
N. M. Gashnikova
State Research Center of Virology and Biotechnology “Vector”
Email: namark@yandex.ru
Russia, 630559, Novosibirsk Oblast,
Rospotrebnadzor, Koltsovo
M. P. Gashnikova
State Research Center of Virology and Biotechnology “Vector”
Email: namark@yandex.ru
Russia, 630559, Novosibirsk Oblast,
Rospotrebnadzor, Koltsovo
References
- El-Mekkawy S., Meselhy M.R., Nakamura N., Tezuka Y., Hattori M., Kakiuchi N., Shimotohno K., Kawahata T., Otake T. // Phytochem. 1998. V. 49. № 6. P. 1651–1657. https://doi.org/10.1016/s0031-9422(98)00254-4
- Choengpanya K., Ratanabunyong S., Seetaha S., Tabtimmai L., Choowongkomon K. // Saudi J. Biol. Sci. 2021. V. 28. № 5. P. 2807–2815. https://doi.org/10.1016/j.sjbs.2021.02.012
- Duru K.C., Kovaleva E.G., Danilova I.G., van der Bijl P. // Phytother. Res. 2019. V. 33. № 8. P. 1966–1980. https://doi.org/10.1002/ptr.6384
- Lindequist U., Niedermeyer T.H.J., Julich W.D. // Evid. Based Complement Alternat. Med. 2005. V. 2. № 3. P. 285–299. https://doi.org/10.1093/ecam/neh107
- Duru M.E., Çayan G.T. // Rec. Nat. Prod. 2015. V. 9. № 4. P. 456–483.
- El Dine R.S., El Halawany A.M., Ma C.M., Hattori M. // J. Nat. Prod. 2008. V. 71. № 6. P. 1022–1026. https://doi.org/10.1021/np8001139
- El Dine R.S., El Halawany A.M., Nakamura N., Ma Ch.-M., Hattori M. // Chem. Pharm. Bull. 2008. V. 56. № 5. P. 642–646. https://doi.org/10.1248/cpb.56.642
- Burmasova M.A., Utebaeva A.A., Sysoeva E.V., Sysoeva M.A. // Biomolecules. 2019. V. 9. № 6. P. 248. https://doi.org/10.3390/biom9060248
- Сушинская Н.В., Курченко В.П., Горовой Л.Ф., Сенюк О.Ф. // Успехи медицинской микологии. 2005. Т. 6. С. 255–259.
- Щерба В.В., Бабицкая В.Г., Курченко В.П., Иконникова Н.В., Кукулянская Т.А. // Прикл. биохимия микробиология. 2000. Т. 36. № 5. С. 569–574.
- Пaтeнт PФ. 2020. № 2716590.
- Пaтeнт PФ. 2013. № 2480227 C2.
- Пaтeнт PФ. 2021. № 2747018.
- Щерба В.В., Бабицкая В.Г., Иконникова Н.В., Бисько Н.А. // Успехи медицинской микологии. 2005. Т. 6. С. 263–265.
- Ильичева Т.Н., Ананько Г.Г., Косогова Т.А., Олькин С.Е., Омигов В.В., Таранов О.С., Теплякова Т.В. // Химия растительного сырья. 2020. № 2. С. 283–289. https://doi.org/10.14258/JCPRM
- Носик Д.Н., Носик Н.Н., Теплякова Т.В., Лобач О.А., Киселева И.А., Кондрашина Н.Г., Бочкова М.С., Ананько Г.Г. // Вопросы вирусологии. 2020. Т. 65. № 5. С. 276–283. https://doi.org/10.36233/0507-4088-2020-65-5-4
- Pannecouque C., Daelemans D., De Clercq E. // Nat. Protoc. 2008. V. 3. № 3. P. 427–434. https://doi.org/10.1038/nprot.2007.517
- Бабицкая В.Г., Щерба В.В., Иконникова Н.В. // Прикл. биохимия микробиология. 2000. Т. 36. №4. С. 439–444.
- Кукулянская Т.А., Курченко Н.В., Курченко В.П., Бабицкая В.Г. // Прикл. биохимия микробиология. 2002. Т. 38. № 1. С. 68–72.
- Бабицкая В.Г., Щерба В.В. // Прикл. биохимия микробиология. 2002. Т. 38. № 3. С. 286–291.
- Poyedinok N., Mykhaylova O., Tugay T., Tugay A., Negriyko A., Dudka I. // Appl. Biochem. Biotechnol. 2015. V. 176. № 2. P. 333–343. https://doi.org/10.1007/s12010-015-1577-3
- Zheng W., Zhang M., Zhao Y., Miao K., Jiang H. // Bioresource Technol. 2009. V. 100. № 19. P. 4481–4487. https://doi.org/10.1016/j.biortech.2009.04.027
- Zheng W., Zhao Y., Zhang M., Wei Z., Miao K., Sun W. // Med Mycol. 2009. V. 47. № 8. P. 814–823. https://doi.org/10.3109/13693780802653933
- Poyedinok N., Mykhaylova O., Sergiichuk N., Tugay T., Tugay A., Lopatko S., Matvieieva N. // Appl. Biochem. Biotechnol. 2020. V. 191. № 3. P. 1315–1325. https://doi.org/10.1007/s12010-020-03281-2
- Chen Q.-X., Song K.-K., Qiu L., Liu X.-D., Huang H., Guo H.-Y. // Food Chem. 2005. V. 91. № 2. P. 269–274. https://doi.org/10.1080/14756360310001613094
- Yan Z.-F., Yang Y., Tian F.-H., Mao X.-X., Li Y., Li C.-T. // Evid. Based Complement Alternat. Med. 2014. 2014:259836. https://doi.org/10.1155/2014/259836
- Бурмасова М.А., Сысоева М.А. // Хим.-фарм. журн. 2017. Т. 51. № 4. С. 46–48.
Supplementary files



