Development of Kinetic Microplate Immunoenzyme Determination of Dibutyl Phthalate
- Authors: Berlina A.N.1, Serebrennikova K.V.1, Komova N.S.1, Zherdev A.V.1, Dzantiev B.B.1
-
Affiliations:
- A.N. Bach Institute of Biochemistry. Research Center of Biotechnology of the Russian Academy of Sciences
- Issue: Vol 59, No 3 (2023)
- Pages: 309-317
- Section: Articles
- URL: https://bakhtiniada.ru/0555-1099/article/view/138778
- DOI: https://doi.org/10.31857/S0555109923030030
- EDN: https://elibrary.ru/AYNQGU
- ID: 138778
Cite item
Full Text
Abstract
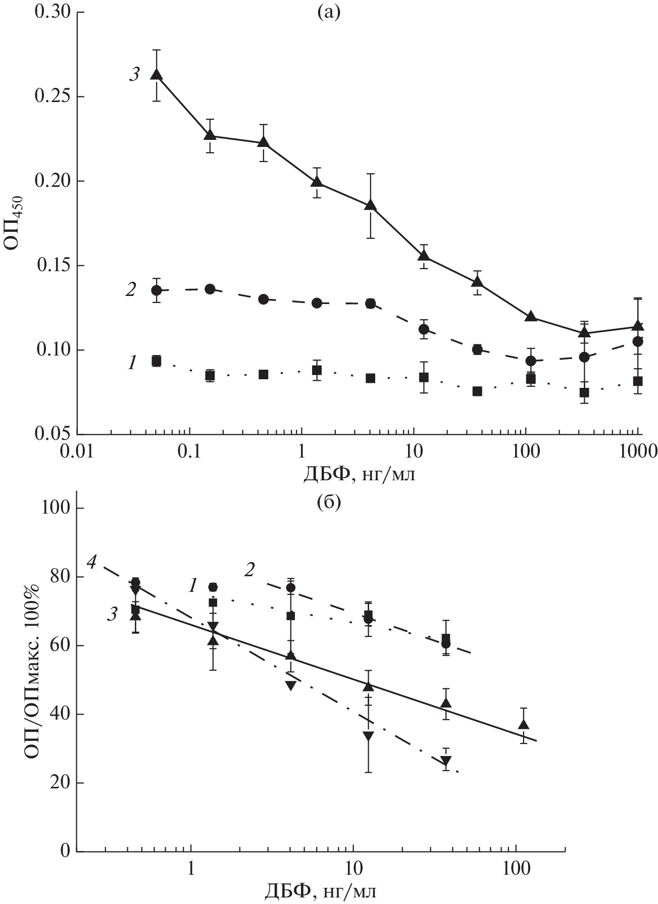
Phthalic acid esters are integral components of modern plastic products and packaging materials, which causes significant contamination of food products and the environment, leading to the need for simple productive monitoring methods. The article presents a rapid enzyme-linked immunosorbent assay (ELISA) for the determination of dibutyl phthalate (DBP) in fruit juices, based on the competitive interaction between free and bound antigen for the binding sites of specific antibodies. The analytical characteristics of the method were studied in various kinetic regimes of the competition stage. Optimal conditions have been established to ensure the minimum detection limit and high measurement accuracy. The duration of the competitive stage of ELISA was chosen 30 min; the range of determined concentrations of DBP was from 0.37 to 68.34 ng/mL with a detection limit of 0.08 ng/mL. The efficiency of the proposed ELISA for testing fruit juices was shown for the chosen DBP extraction mode.
About the authors
A. N. Berlina
A.N. Bach Institute of Biochemistry. Research Center of Biotechnologyof the Russian Academy of Sciences
Email: dzantiev@inbi.ras.ru
Russia, 119071, Moscow
K. V. Serebrennikova
A.N. Bach Institute of Biochemistry. Research Center of Biotechnologyof the Russian Academy of Sciences
Email: dzantiev@inbi.ras.ru
Russia, 119071, Moscow
N. S. Komova
A.N. Bach Institute of Biochemistry. Research Center of Biotechnologyof the Russian Academy of Sciences
Email: dzantiev@inbi.ras.ru
Russia, 119071, Moscow
A. V. Zherdev
A.N. Bach Institute of Biochemistry. Research Center of Biotechnologyof the Russian Academy of Sciences
Email: dzantiev@inbi.ras.ru
Russia, 119071, Moscow
B. B. Dzantiev
A.N. Bach Institute of Biochemistry. Research Center of Biotechnologyof the Russian Academy of Sciences
Author for correspondence.
Email: dzantiev@inbi.ras.ru
Russia, 119071, Moscow
References
- Chen Y., He Q., Shen D., Jiang Zh., Eremin S.A., Zhao S. // Food Control. 2019. V. 105. P. 38–44. https://doi.org/10.1016/j.foodcont.2018.11.052
- Huang Zh., Tu Ch., Liu H., Wang L., Zhu Z., Watanabe I. // J. Chromatogr. A. 2020. V. 1619. Article 460953. https://doi.org/10.1016/j.chroma.2020.460953
- Yan Y., Lu Y., Wang B., Gao Y., Zhao L., Liang H., Wu D. // ACS Appl. Mater. Interfaces. 2018. V. 10. № 31. P. 26539–26545. https://doi.org/10.1021/acsami.8b08934
- Tang M., Wu Y., Deng D., Wei J., Zhang J., Yang D., Li G. // Sens. Actuators B Chem. 2018. V. 258. P. 304–312. https://doi.org/10.1016/j.snb.2017.11.120
- Giuliani A., Zuccarini M., Cichelli A., Khan H., Reale M. // Int. J. Environ. Health Res. 2020. V. 17. № 16. Article 5655. https://doi.org/10.3390/ijerph17165655
- Zhou Y., Li J., Zhang L., Ge Z., Wang X., Hu X., Xu T., Li P. // Anal. Bioanal. Chem. 2019. V. 411. № 22. P. 5691–5701. https://doi.org/10.1007/s00216-019-01947-3
- Luo H., Liu C., He D., Sun J., Li J., Pan X. // Sci. Total Environ. 2022. V. 849. Article 157951. https://doi.org/10.1016/j.scitotenv.2022.157951
- Guo W., Li J., Luo M., Mao Y., Yu X., Elskens M., Baeyens W., Gao Y. // Water Res. 2022. V. 214. Article 118189. https://doi.org/10.1016/j.watres.2022.118189
- Zhu N., Zou Y., Huang M., Dong S., Wu X., Liang G., Han Z., Zhang Z. // Talanta. 2018. V. 186. P. 104–109. https://doi.org/10.1016/j.talanta.2018.04.023
- Baranovskaya V.S., Berlina A.N., Eremin S.A. // J. Anal. Chem. 2022. V. 77. № 4. P. 466–472. https://doi.org/10.1134/S1061934822040037
- Montuori P., Jover E., Morgantini M., Bayona J.M., Triassi M. // Food Addit. Contam. – Chem. Anal. Control Expo. Risk Assess. 2008. V. 25. № 4. P. 511–518. https://doi.org/10.1080/02652030701551800
- Adeniyi A.A., Okedeyi O.O., Yusuf K.A. // Environ. Monit. Assess. 2011. V. 172. № 1. P. 561–569. https://doi.org/10.1007/s10661-010-1354-2
- Luís C., Algarra M., Câmara J.S., Perestrelo R. // Toxics. 2021. V. 9. № 7. Article 157. https://doi.org/10.3390/toxics9070157
- Otero P., Saha S.K., Moane S., Barron J., Clancy G., Murray P. // J. Chromatogr. B: Anal. Technol. Biomed. Life Sci. 2015. V. 997. P. 229–235. https://doi.org/10.1016/j.jchromb.2015.05.036
- Barciela-Alonso M.C., Otero-Lavandeira N., Bermejo-Barrera P. // Microchem. J. 2017. V. 132. P. 233–237. https://doi.org/10.1016/j.microc.2017.02.007
- Sakaki J.R., Melough M.M., Provatas A.A., Perkins Ch., Chun O.K. // Toxicol. Rep. 2020. V. 7. P. 1020–1024. https://doi.org/10.1016/j.toxrep.2020.08.015
- Wang X., Chen Ch., Chen Y., Kong F., Xu Zh. // Food Agric. Immunol. 2020. V. 31. № 1. P. 811–836. https://doi.org/10.1080/09540105.2020.1774746
- Liu S., Cheng R., Chen Y., Shi H., Zhao G. // Sens. Actuators B Chem. 2018. V. 254. P. 1157–1164. https://doi.org/10.1016/j.snb.2017.08.003
- Zhang Z., Zeng K., Liu J. // Trends Anal. Chem. 2017. V. 87. P. 49–57. https://doi.org/10.1016/j.trac.2016.12.002
- Li J., Jin H., Wei M., Ren W., Wang J., Zhang Y., Wu L., He B. // Sens. Actuators B Chem. 2021. V. 331. Article 129401. https://doi.org/10.1016/j.snb.2020.129401
- Berlina A.N., Ragozina M.Y., Komova N.S., Serebrennikova K.V., Zherdev A.V., Dzantiev B.B. // Biosensors. 2022. V. 12. № 11. Article 1002. https://doi.org/10.3390/bios12111002
- Xu F., Ren K., Yang Y.-Z., Guo J.-P., Ma G.-P., Liu Y.-M., Lu Y.-Q., Li X.-B. // J. Integr. Agric. 2015. V. 14. № 11. P. 2282–2295. https://doi.org/10.1016/S2095-3119(15)61121-2
- Sanchis A., Salvador J.P., Marco M.P. // Trends Anal. Chem. 2018. V. 106. P. 1–10. https://doi.org/10.1016/j.trac.2018.06.015
- Sun R., Zhuang H. // Food Anal. Methods. 2015. V. 8. № 8. P. 1990–1999. https://doi.org/10.1007/s12161-014-0085-3
- Jaria G., Calisto V., Otero M., Esteves V.I. // Anal. Bioanal. Chem. 2020. V. 412. № 17. P. 3983–4008. https://doi.org/10.1007/s00216-020-02509-8
- Dou L., Zhang Y., Bai Y., Li Y., Liu M., Shao Sh., Li Q., Yu W., Shen J., Wang Zh. // J. Agric. Food Chem. 2022. V. 70. № 4. P. 976–991. https://doi.org/10.1021/acs.jafc.1c06750
- Huebner M., Weber E., Niessner R., Boujday S., Knopp D. // Anal. Bioanal. Chem. 2015. V. 407. № 29. P. 8873–8882. https://doi.org/10.1007/s00216-015-9048-9
- Chen Y., Li J., Lu P., Hu D., Xue W., Ding X. // Food Agric. Immunol. 2017. V. 28. № 5. P. 904–915. https://doi.org/10.1080/09540105.2017.1320356
- Liu Z., Zhang Z., Zhu G., Sun J., Zou B., Li M., Wang J. // Sci. Total Environ. 2016. V. 551–552. P. 484–488. https://doi.org/10.1016/j.scitotenv.2016.02.017
- Xiong Y., Leng Y., Li X., Huang X., Xiong Y. // TrAC Trends Analyt. Chem. 2020. V. 126. Article 115861. https://doi.org/10.1016/j.trac.2020.115861
- Zhang Zh., Zhu N., Zou Y., Wu X., Qu G., Shi J. // Talanta. 2018. V. 179. P. 64–69. https://doi.org/10.1016/j.talanta.2017.10.051
- Zhou L., Lei Y., Zhang D., Ahmed S., Chen S. // Sci. Total Environ. 2016. V. 541. P. 570–578. https://doi.org/10.1016/j.scitotenv.2015.09.110
- Yanagisawa N., Dutta D. // Biosensors. 2011. V. 1. № 2. P. 58–69. https://doi.org/10.3390/bios1020058
- Urusov A.E., Zherdev A.V., Petrakova A.V., Sadykhov E.G., Koroleva O.V., Dzantiev B.B. // Toxins. 2015. V. 7. №. 2. P. 238–254. https://doi.org/10.3390/toxins7020238
- Sotnikov D.V., Zherdev A.V., Zvereva E.A., Eremin S.A., Dzantiev B.B. // Appl. Sci. 2021. V. 11. № 14. Article 6581. https://doi.org/10.3390/app11146581
- Wang Y., He C.H., Zheng H., Zhang H.B. // Int/ J. Mol. Sci. 2012. V. 13. № 1. P. 84–96. https://doi.org/10.3390/ijms13010084
- Campanella B., Palleschi V., Legnaioli S. // ChemTexts. 2021. V. 7. № 1. P. 1–21. https://doi.org/10.1007/s40828-020-00129-4
- Kong J., Yu S. // Acta Biochim. Biophys. Sin. 2007. V. 39. № 8. P. 549–559. https://doi.org/10.1111/j.1745-7270.2007.00320.x
- Ramesh S., Yin T.S., Liew C.-W. // Ionics. 2011. V. 17. № 8. P. 705–713. https://doi.org/10.1007/s11581-011-0568-9
- Rajamanikyam M., Vadlapudi V., Parvathaneni S.P., Koude D., Sripadi P., Misra S., Amanchy R., Upadhyayula S.M. // EXCLI J. 2017. V. 16. P. 375–387. https://doi.org/10.17179/excli2017-145
- Ye X., Wang P., Wu Y., Zhou Y., Sheng Y., Lao K. // Environ. Sci. Pollut. Res. 2020. V. 27. № 33. P. 42082–42091. https://doi.org/10.1007/s11356-020-10136-0
- Xu Zh., Xiong X., Zhao Y., Xiang W., Wu Ch. // J. Hazard. Mater. 2020. V. 384. Article 121282. https://doi.org/10.1016/j.jhazmat.2019.121282
- Rastkari N., Jeddi M.Z., Yunesian M., Ahmadkhaniha R. // J. Environ. Health Sci. Eng. 2018. V. 16. № 1. P. 27–33. https://doi.org/10.1007/s40201-018-0292-8
- Zhu F., Zhang H., Qiu M., Wu N., Zeng K., Du D. // Sci. Total Environ. 2019. V. 695. Article 133793. https://doi.org/10.1016/j.scitotenv.2019.133793
- Xiong D., Zhu N., Zhu F., Yakubu S., Lv J., Liu J., Zhang Z. // J. Hazard. Mater. 2022. V. 425. Article 127991. https://doi.org/10.1016/j.jhazmat.2021.127991
- Kuang H., Liu L., Xu L., Ma W., Guo L., Wang L., Xu C. // Sensors. 2013. V. 13. № 7. P. 8331–8339. https://doi.org/10.3390/s130708331
- Wei C., Ding S., You H., Zhang Y., Wang Y., Yang X., Yuan J. // PLoS One. 2011. V. 6. № 12. Article e29196. https://doi.org/10.1371/journal.pone.0029196
Supplementary files






