A New Method for Express Detection of Antibiotic Resistance

Cover Page

Cite item

Full Text

Abstract

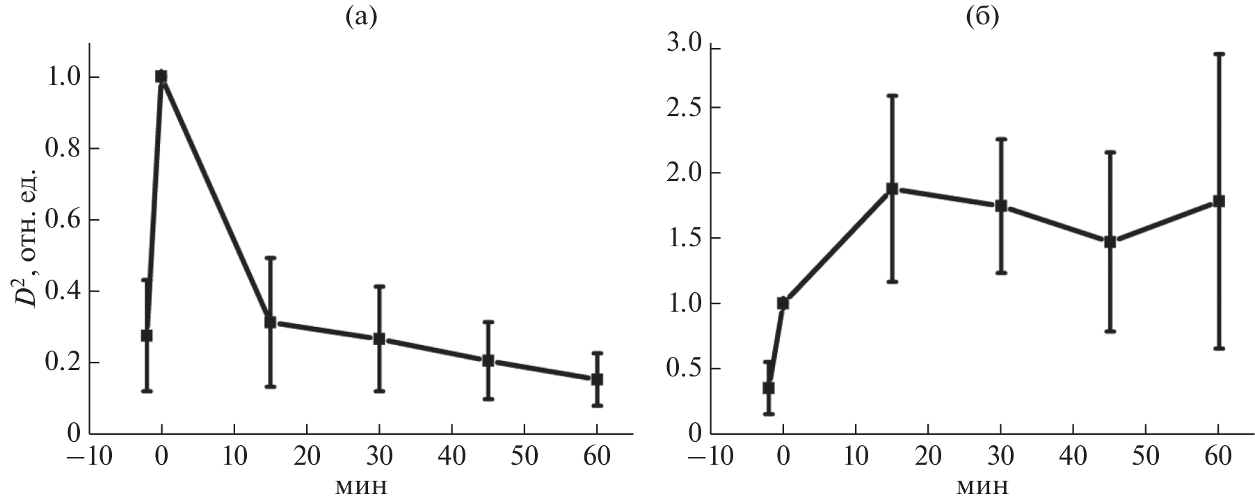
The oscillation mode of an atomic force microscope (AFM) was used to create a highly sensitive real-time detection system for antibiotic resistance. This mode allows to evaluate the sensitivity or resistance of Gram-negative (Escherichia coli) and Gram-positive (Staphylococcus aureus) bacteria to an antibiotic in 15–30 minutes. The analytical signal (changes in the amplitude-frequency characteristics of the cantilever) is based on the metabolic activity of bacteria. Bacteria was adding on the cantilever and was causing it to oscillate with high amplitude. If the bacteria are sensitive to the antibiotic, the amplitude drops statistically significant within 15–30 minutes, if the bacteria are resistant, then the amplitude either does not change or increases. The obtained results were comparable with the disk diffusion method.

About the authors

S. N. Pleskova

N.I. Lobachevsky Nizhny Novgorod State University,
Ministry of Science and Higher Education; R.E. Alekseev Nizhny Novgorod State Technical University,
Ministry of Science and Higher Education

Author for correspondence.
Email: pleskova@mail.ru
Russia, 603950, Nizhny Novgorod; Russia, 603115, Nizhny Novgorod

E. V. Lazarenko

N.I. Lobachevsky Nizhny Novgorod State University,
Ministry of Science and Higher Education; R.E. Alekseev Nizhny Novgorod State Technical University,
Ministry of Science and Higher Education

Email: pleskova@mail.ru
Russia, 603950, Nizhny Novgorod; Russia, 603115, Nizhny Novgorod

I. S. Sudakova

R.E. Alekseev Nizhny Novgorod State Technical University,
Ministry of Science and Higher Education

Email: pleskova@mail.ru
Russia, 603115, Nizhny Novgorod

R. N. Kriukov

N.I. Lobachevsky Nizhny Novgorod State University,
Ministry of Science and Higher Education

Email: pleskova@mail.ru
Russia, 603950, Nizhny Novgorod

N. A. Bezrukov

N.I. Lobachevsky Nizhny Novgorod State University,
Ministry of Science and Higher Education; R.E. Alekseev Nizhny Novgorod State Technical University,
Ministry of Science and Higher Education

Email: pleskova@mail.ru
Russia, 603950, Nizhny Novgorod; Russia, 603115, Nizhny Novgorod

References

  1. Crofts T.S., Gasparrini A.J., Dantas G. // Nat. Rev. Microbiol. 2017. V. 15. P. 422–434.
  2. Davies J., Davies D. // Microbiol. Mol. 2010. V. 74. № 3. P. 417–433.
  3. Liu B., Pop M. // Nucleic Acids Res. 2009. V. 37. № 1. P. 443–447.
  4. Nathwani D., Varghese D., Stephens J., Ansari W., Martin S., Charbonneau C. // Antimicrob. Resist. Infect. Control. 2019. V. 8. № 35. https://doi.org/10.1186/s13756-019-0471-0
  5. CLSI, Performance Standards for Antimicrobial Disk Susceptibility Tests, Approved Standard / Ed. 7, CLSI document M02-A11. Clinical and Laboratory Standards Institute, 2012.
  6. CLSI, Method for Antifungal Disk Diffusion Susceptibility Testing of Yeasts, Approved Guideline. / Ed. 2, CLSI document M44-A. Clinical and Laboratory Standards Institute, 2004.
  7. Balouiri M., Sadiki M., Ibnsouda S.K. // J. Pharm. Anal. 2016. V. 6. № 2. P. 71–79.
  8. Kasas S., Ruggeri F.S., Benadiba C., Maillard C., Stupar P., Tournu H. et al. // Proc. Natl. Acad. Sci. 2015. V. 112. № 2. P. 378–381.
  9. Venturelli L., Kohler A.C., Stupar P., Villalba M.I., Kalauzi A., Radotic K. et al. // J. Mol. Recognit. 2020. V. 33. № 12. P. 1–14.
  10. Pleskova S.N., Fomichev O.I., Kriukov R.N, Sudakova I.S. // Biophysics. 2021. V. 66. № 6. P. 950–955.
  11. Villalba M.I., Stupar P., Chomicki W., Bertacchi M., Dietler G., Arnal L. et al. // Small. 2018. V. 14. № 4. 1702671. https://doi.org/10.1002/smll.201702671
  12. Kasas S., Malovichko A., Villalba M.I., Vela M.E., Yantorno O., Willaert R.G. // Antibiotics. 2021. V. 10. № 3. 287. https://doi.org/10.3390/antibiotics10030287
  13. Pal S., Sayana A., Joshi A., Juyal D. // J. Family Med. Prim. Care. 2019. V. 8. № 11. P. 3600–3606.
  14. Lee D.S., Lee S.J., Choe H.S. // Biomed. Res. Int. 2018. V. 26. 7656752. https://doi.org/10.1155/2018/7656752
  15. Willaert R.G., Vanden Boer P., Malovichko A., Alioscha-Perez M., Radotic K., Bartolic D. et al. // Sci. Adv. 2020. V. 6. № 26. eaba3139. https://doi.org/10.1126/sciadv.aba3139
  16. Munita J.M., Cesar A. // Microbiol. Spectr. 2016. V. 4. № 2. 1128. https://doi.org/10.1128/microbiolspec.VMBF-0016-2015

Supplementary files

Supplementary Files
Action
1. JATS XML
2.

Download (150KB)
3.

Download (227KB)
4.

Download (95KB)

Copyright (c) 2023 С.Н. Плескова, Е.В. Лазаренко, И.С. Судакова, Р.Н Крюков, Н.А. Безруков

Согласие на обработку персональных данных с помощью сервиса «Яндекс.Метрика»

1. Я (далее – «Пользователь» или «Субъект персональных данных»), осуществляя использование сайта https://journals.rcsi.science/ (далее – «Сайт»), подтверждая свою полную дееспособность даю согласие на обработку персональных данных с использованием средств автоматизации Оператору - федеральному государственному бюджетному учреждению «Российский центр научной информации» (РЦНИ), далее – «Оператор», расположенному по адресу: 119991, г. Москва, Ленинский просп., д.32А, со следующими условиями.

2. Категории обрабатываемых данных: файлы «cookies» (куки-файлы). Файлы «cookie» – это небольшой текстовый файл, который веб-сервер может хранить в браузере Пользователя. Данные файлы веб-сервер загружает на устройство Пользователя при посещении им Сайта. При каждом следующем посещении Пользователем Сайта «cookie» файлы отправляются на Сайт Оператора. Данные файлы позволяют Сайту распознавать устройство Пользователя. Содержимое такого файла может как относиться, так и не относиться к персональным данным, в зависимости от того, содержит ли такой файл персональные данные или содержит обезличенные технические данные.

3. Цель обработки персональных данных: анализ пользовательской активности с помощью сервиса «Яндекс.Метрика».

4. Категории субъектов персональных данных: все Пользователи Сайта, которые дали согласие на обработку файлов «cookie».

5. Способы обработки: сбор, запись, систематизация, накопление, хранение, уточнение (обновление, изменение), извлечение, использование, передача (доступ, предоставление), блокирование, удаление, уничтожение персональных данных.

6. Срок обработки и хранения: до получения от Субъекта персональных данных требования о прекращении обработки/отзыва согласия.

7. Способ отзыва: заявление об отзыве в письменном виде путём его направления на адрес электронной почты Оператора: info@rcsi.science или путем письменного обращения по юридическому адресу: 119991, г. Москва, Ленинский просп., д.32А

8. Субъект персональных данных вправе запретить своему оборудованию прием этих данных или ограничить прием этих данных. При отказе от получения таких данных или при ограничении приема данных некоторые функции Сайта могут работать некорректно. Субъект персональных данных обязуется сам настроить свое оборудование таким способом, чтобы оно обеспечивало адекватный его желаниям режим работы и уровень защиты данных файлов «cookie», Оператор не предоставляет технологических и правовых консультаций на темы подобного характера.

9. Порядок уничтожения персональных данных при достижении цели их обработки или при наступлении иных законных оснований определяется Оператором в соответствии с законодательством Российской Федерации.

10. Я согласен/согласна квалифицировать в качестве своей простой электронной подписи под настоящим Согласием и под Политикой обработки персональных данных выполнение мною следующего действия на сайте: https://journals.rcsi.science/ нажатие мною на интерфейсе с текстом: «Сайт использует сервис «Яндекс.Метрика» (который использует файлы «cookie») на элемент с текстом «Принять и продолжить».