Immobilization of Glucose Oxidase on Sodium Alginate Microspheres
- Autores: Stadolnikova P.Y.1, Tikhonov B.B.1, Prutenskaya E.A.1, Sidorov A.I.1, Sulman M.G.1
-
Afiliações:
- Tver State Technical University
- Edição: Volume 59, Nº 1 (2023)
- Páginas: 56-64
- Seção: Articles
- URL: https://bakhtiniada.ru/0555-1099/article/view/138742
- DOI: https://doi.org/10.31857/S0555109923010129
- EDN: https://elibrary.ru/CVHSNC
- ID: 138742
Citar
Texto integral
Resumo
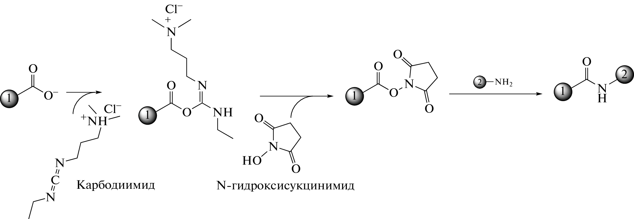
Glucose oxidase from Aspergillus niger was immobilized by covalent cross-linking on the surface of alginate microspheres obtained by emulsification/internal gelation method. The catalytic properties of the free and immobilized enzyme were compared. The size of the resulting microspheres was less than 200 μm. Experiments have shown that the immobilized enzyme has an activity 40% lower than the free glucose oxidase, but it has a high activity in a wider range of temperatures and pH values. Kinetic parameters for native glucose oxidase: limit reaction rate – 0.341 mM · min–1, Michaelis constant – 5.41 mM; for immobilized: limit reaction rate – 0.203 mM · min–1, Michaelis constant – 11.43 mM. In infrared Fourier spectra of diffusion reflection of semi-products of biocatalyst synthesis, peaks corresponding to the formed covalent bonds between the enzyme and the carrier were revealed. Synthesized biocatalyst can be used in food industry as bakery improver, in chemical and pharmaceutical industry for production of gluconic acid and in analytical chemistry for determination of glucose concentration.
Palavras-chave
Sobre autores
P. Stadolnikova
Tver State Technical University
Autor responsável pela correspondência
Email: p.stadolnikova@mail.ru
Russia, 170026, Tver
B. Tikhonov
Tver State Technical University
Email: p.stadolnikova@mail.ru
Russia, 170026, Tver
E. Prutenskaya
Tver State Technical University
Email: p.stadolnikova@mail.ru
Russia, 170026, Tver
A. Sidorov
Tver State Technical University
Email: p.stadolnikova@mail.ru
Russia, 170026, Tver
M. Sulman
Tver State Technical University
Email: p.stadolnikova@mail.ru
Russia, 170026, Tver
Bibliografia
- Ferri S., Kojima K., Sode K. // J. Diabetes Sci. Technol. 2011. V. 5. № 5. P. 1068–1076.
- Dubey M.K., Zehra A., Aamir M., Meena M., Ahirwal L., Singh S. et al. // Front. Microbiol. 2017. V. 8. P. 1–22.
- Wilson R., Turner A.P.F. // Biosens. Bioelectron. 1992. V. 7. P. 165–185.
- Bankar S.B., Bule M.V., Singhal R.S., Ananthanarayan L. // Biotechnol. Advances. 2009. V. 27. № 4. P. 489–501.
- Kornecki J.F., Carballares D., Tardioli P.W., Rodrigues R.C., Berenguer-Murcia Á. et al. // Catal. Sci. Technol. 2020. V. 10. P. 5740–5771.
- Tikhonov B., Sulman E., Stadol’nikova P., Sulman A., Golikova E., Sidorov A., Matveeva V. // Catal. Ind. 2019. V. 11. P. 251–263.
- Dagdelen A.F., Gocmen D. // J. Food Qual. 2007. V. 30. P. 1009–1022.
- Schmidt A., Dordick J.S., Hauer B., Kiener A., Wubbolts M., Witholt B. // Nature. 2001. V. 409. P. 258–268.
- Smith A.M., Moxon S., Morris G.A. Wound Healing Biomaterials: Vol. Two, Functional Biomaterials. Biopolymers as wound healing materials / Ed. Magnus S. Ågren. Woodhead Publishing, 2016. P. 261–287.
- Dong L. C., Wang G., Xiao Y., Xu Y., Zhou X., Jiang H., Luo Q. // Chem. Biochem. Eng. Q. 2011. V. 25. № 3. P. 395–402.
- Tang L., Yang R., Hua X., Yu C., Zhang W., Zhao W. // Food Chem. 2014. V. 161. P. 1–7.
- Gheorghita R., Anchidin-Norocel L., Filip R., Dimian M., Covasa M. // Polymers. 2021. V. 13. P. 1–33.
- Ching S.H., Bansal N., Bhandari B. // Crit. Rev. Food Sci. Nutr. 2017. V. 57. № 6. P. 1133–1152.
- Uyen N.T.T., Hamid Z.A.A., Tram N.X.T., Ahmad N.B. // Int. J. Biol. Macromol. 2019. V. 153. P. 1–34.
- Dhamecha D., Movsas R., Sano U., Menon J.U. // Int. J. Pharm. 2019. V. 569. P. 1–13.
- Alnoch R.C., Santos L.A., Almeida J.M., Krieger N., Mateo C. // Catalysts. 2020. V. 10. № 6. P. 1–29.
- Viscusi G., Gorrasi G. // Int. J. Biol. Macromol. 2021. V. 184. P. 271–281.
- Liu Q., Rauth A.M., Wu X.Y. // Int. J. Pharm. 2007. V. 339. P. 148–156.
- Arisanti C.I.S., Rachmawati H., Pamudji J.S., Sumirtapura Y.C. // J. Pharm. Sci. App. 2012. V. 1. № 1. P. 47–61.
- Juric S., Dermic E., Topolovec–Pintaric S., Bedek M., Vincekovic M. // J. Integr. Agric. 2019. V. 18. № 11. P. 2534–2548.
- Üçüncü T.E., Terzioğlu K., Türe H. // Chem. Ecol. 2017. V. 33. № 7. P. 652–668.
- Liu L., Wua F., Ju X.-J., Xie R., Wang W., Niu C.H., Chu L.-Y. // J. Colloid Interf. Sci. 2013. V. 404. P. 85–90.
- Uyen N.T.T., Hamid Z.A.A., Nurazreena A. // Mater. Today: Proc. 2019. V. 17. P. 792–797.
- Bӧrner R.A., Aliaga M.T.A., Mattiasson B. // Biotechnol. Lett. 2013. V. 35(3). P. 397–405.
- Cai S., Zhao M., Fang Y., Nishinari K., Phillips G.O., Jiang F. // Food Hydrocoll. 2014. V. 39. P. 295–300.
- Kim E.S., Lee J.-S., Lee H.G. // Food Sci. Biotechnol. 2016. V. 25(5). P. 1337–1343.
- Poncelet D., Lencki R., Beaulieu C., Halle J.P., Neufeid R.J., Fournier A. // Appl. Microbiol. Biotechnol. 1992. V. 38. P. 39–45.
- Reis C.P., Neufeld R.J., Vilela S., Ribeiro A.J., Veiga F. // J. Microencapsul. 2006. V. 23(3). P. 245–257.
- Silva C.M., Ribeiro A.J., Figueiredo M., Ferreira D., Veiga F. // AAPS J. 2006. V. 7(4). P. 903–913.
- Ching S.H., Bansal N., Bhandari B. // Crit. Rev. Food Sci. Nutr. 2017. V. 57. № 6. P. 1133–1152.
- Machado A.H.E., Lundberg D., Ribeiro A.J., Veiga F.J., Lindman B., Miguel M.G., Olsson U. // Langmuir. 2012. V. 28 № 9. P. 4131–4141.
- Zhang Z., Ortiz O., Goyal R., Kohn J. Handbook of Polymer Applications in Medicine and Medical Devices. Part 4: Polymeric Biomaterials. / Ed. K. Modjarrad, S. Ebnesajjad. William Andrew, 2014. P. 303–335.
- Leong J.-Y., Lam W.-H., Ho K.-W., Voo W.-P., Lee M.F.-X., Lim H.-P. et al. // Particuology. 2016. V. 24. P. 44–60.
- Wang X., Zhu K.-X., Zhou H.-M. // Int. J. Mol. Sci. 2011. V. 12. № 5. P. 3042–3054.
- Тихонов Б.Б., Стадольникова П.Ю., Сидоров А.И., Сульман М.Г. // Вестник ТвГУ. Серия: Химия. 2021. № 2(44). С. 18–25.
- Song H., Yu W., Gao M., Liu X., Ma X. // Carbohydr. Polym. 2013. V. 96. № 1. P. 181–189.
- Mark D., Haeberle S., Zengerle R., Ducree J., Vladisavljevic G.T. // J. Colloid Interf. Sci. 2009. V. 336. № 2. P. 634–641.
- The Protein Protocols Handbook: Second Edition / Ed. John M. Walker. Humana Press Inc., 2002. 1147 p.
- Zhao Y., Teresa Carvajal M., Won Y.-Y., Harris. M.T. // Langmuir. 2007. V. 23. № 25. P. 12489–12496.
- Poncelet D., Poncelet De Smet B., Beaulieu C., Huguet M.L., Fournier A., Neufeld R.J. // Appl. Microbiol. Biotechnol. 1995. V. 43. P. 644–650.
Arquivos suplementares









