SURFACTIN: BIOLOGICAL ACTIVITY AND THE POSSIBILITY OF AGRICULTURE APPLICATION (REVIEW)
- Authors: Kisil O.V.1, Trefilov V.S.2, Sadykova V.S.1, Zvereva M.E.2, Kubareva Е.А.3
-
Affiliations:
- Gause Institute of New Antibiotics
- Department of Chemistry, Lomonosov Moscow State University
- Belozersky Institute of Physico-Chemical Biology, Lomonosov Moscow State University
- Issue: Vol 59, No 1 (2023)
- Pages: 3-16
- Section: Articles
- URL: https://bakhtiniada.ru/0555-1099/article/view/138735
- DOI: https://doi.org/10.31857/S0555109923010026
- EDN: https://elibrary.ru/CPUHKX
- ID: 138735
Cite item
Full Text
Abstract
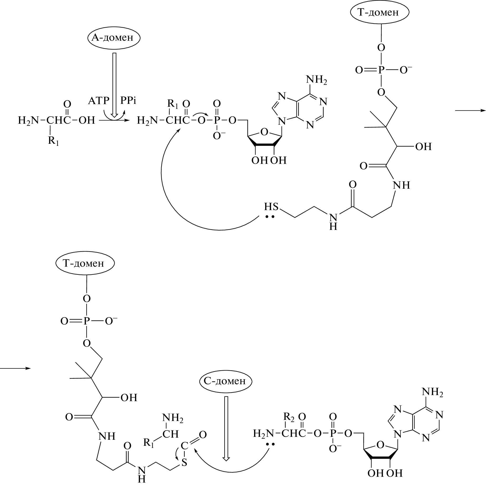
Relevant information about surfactin, a cyclic lipopeptide which is one of the strongest bacterial biosurfactants, is summarized in the review. Mechanisms of surfactin biosynthesis and spectrum of surfactin’s native and synthetic isoforms are demonstrated. Surfactin biological activity and its role in regulation of the all processes of strain-producers are analyzed. The application potential of surfactin and its biological derivatives, which were obtained with the usage of surfactin producing strains of the genus Bacillus, for plants protection and stimulation of plant immunity is pointed out.
Keywords
About the authors
O. V. Kisil
Gause Institute of New Antibiotics
Author for correspondence.
Email: olvv@mail.ru
Russia, 119021, Moscow
V. S. Trefilov
Department of Chemistry, Lomonosov Moscow State University
Email: olvv@mail.ru
Russia, 119991, Moscow
V. S. Sadykova
Gause Institute of New Antibiotics
Email: olvv@mail.ru
Russia, 119021, Moscow
M. E. Zvereva
Department of Chemistry, Lomonosov Moscow State University
Email: olvv@mail.ru
Russia, 119991, Moscow
Е. А. Kubareva
Belozersky Institute of Physico-Chemical Biology, Lomonosov Moscow State University
Email: olvv@mail.ru
Russia, 119991, Moscow
References
- Fracchia L., Banat J.J., Cavallo M., Ceres C., Banat I.V. // AIMS Bioengineering. 2015. V. 2. № 3. P. 144–162. https://doi.org/10.3934/bioeng.2015.3.144
- Wu Y.S., Ngai S.C., Goh B.H., Chan K.G., Lee L.H., Chuah L.H. // Front Pharmacol. 2017. V. 8. Art. 76. https://doi.org/10.3389/fphar.2017.00761
- Arima K., Kakinuma A., Tamura G. // Biochem. Biophys. Res. Commun.1968. V. 31. P. 488–494. https://doi.org/10.1016/0006-291X(68)90503-2
- Lilge L., Ersig N., Hubel P., Aschern M., Pillai E., Klausmann P., Pfannstiel J., Henkel M., Heravi K.M., Hausmann R. // Microorganisms. 2022. V. 10. № 4. P. 779. https://doi.org/10.3390/microorganisms10040779
- Bartal A., Vigneshwari A., Boka B., Voros M., Takacs I., Kredics L., Manczinger L., Varga M., Vágvolgyi C., Szekeres A. // Molecules. 2018. V. 23. № 10 Art. 2675. https://doi.org/10.3390/molecules23102675
- Stein T. // Mol. Microbiol. 2005. V. 56. № 4. P. 845–857. https://doi.org/10.1111/j.1365-2958.2005.04587.x
- Caulier S., Nannan C., Gillis A., Licciardi F., Bragard C., Mahillon J. // Front. Microbiol. 2019. V. 10. Art. 302. https://doi.org/10.3389/fmicb.2019.00302
- Hsieh F.C., Li M.C., Lin T.C., Kao S.S. // Curr. Microbiol. 2004. V. 49. P. 186–191. https://doi.org/10.1007/s00284-004-4314-7
- Long X., He N., He Y., Jiang J., Wu T. // Bioresour. Technol. 2017. V. 241. P. 200–206. https://doi.org/10.1016/j.biortech.2017.05.120
- Marcelino L., Puppin-Rontani J., Coutte F., Machini M.T., Etchegaray A., Puppin-Rontani R.M. // Amino Acids. 2019. V. 51. P. 1233–1240. https://doi.org/10.1007/s00726-019-02750-1
- Banat I.M., Franzetti A., Gandolfi I., Bestetti G., Martinotti M.G., Fracchia L., Smyth T.J., Marchant R. // Appl. Microbiol. Biotechnol. 2010. V. 87. № 2. P. 427–444. https://doi.org/10.1007/s00253-010-2589-0
- Varvaresou A., Iakovou K. // Lett. Appl. Microbiol. 2015. V 61. № 3. P. 214–223. https://doi.org/10.1111/lam.12440
- Kakinuma A., Hori M., Isono M., Tamura G., Arima K. // Agric. Biol. Chem. 1969. V. 33. P. 971–972. https://doi.org/10.1080/00021369.1969.10859408
- Kakinuma A., Sugino H., Isono M., Tamura G., Arima K. // Biol. Chem. 1969. V. 33. P. 973–976. https://doi.org/10.1080/00021369.1969.10859409
- Liu J.F., Mbadinga S.M., Yang S.Z., Gu J.D., Mu B.Z. // Int. J. Mol. Sci. 2015 V. 16. № 3. P. 4814–4837. https://doi.org/10.3390/ijms16034814
- Liu J., Zou A., Mu B. // Colloids and Surfaces A: Physicochemical and Engineering Aspects. 2010. V. 361. P. 90–95. https://doi.org/10.1016/j.colsurfa.2010.03.021
- Vass E., Besson F., Majer Z., Volpon L., Hollosi M. // Biochem. Biophys. Res Commun. 2001. V. 282. № 1. P. 361–367. https://doi.org/10.1006/bbrc.2001.4469
- Bonmatin J.-M., Laprevote O., Peypoux F. // Comb. Chem. High Throughput Screen. 2003. V. 6. № 6. P. 541–556. https://doi.org/10.2174/138620703106298716
- Aleti G, Sessitsch A, Brader G. // Comput. Struct. Biotechnol. J. 2015. V. 13. P. 192–203. https://doi.org/10.1016/j.csbj.2015.03.003
- Kecskemeti A., Bartal A., Boka B., Kredics. L, Manczinger L., Shine K., Alharby N.S., Khaled J.M., Varga M., Vagvolgyi C., Szekeres A. // Molecules. 2018. V. 23. Art. 2224. https://doi.org/10.3390/molecules23092224
- Aleti G., Lehner S., Bacher M., Compant S., Nikolic B., Plesko M., Schuhmacher R., Sessitsch A., Brader G. // Environ. Microbiol. 2016. V. 18. № 8. P. 2634–2645. https://doi.org/10.1111/1462-2920.13405
- Liu J.F., Yang J., Yang S.Z., Ye R.Q., Mu B.Z. // Appl. Biochem. Biotechnol. 2012. V. 166. № 8. P. 2091–2100. https://doi.org/10.1007/s12010-012-9636-5
- Liu X., Tao X., Zou A., Yang S., Zhang L., Mu B. // Protein Cell. 2010. V. 1. № 6. P. 584–594. https://doi.org/10.1007/s13238-010-0072-4
- Kracht M., Rokos H., Ozel M., Kowall M., Pauli G., Vater J. // J. Antibiot. (Tokyo). 1999. V. 52. № 7. P. 613–619. https://doi.org/10.7164/antibiotics.52.613
- Eeman M., Berquand A., Dufrene Y.F., Paquot M., Dufour S., Deleu M. // Langmuir. 2006. V. 22. № 26. P. 11337–11345.
- Liu X., Yang S., Mu B. // Process Biochemistry. 2009. V. 44. № 1. P. 1144–1151. https://doi.org/10.1016/j.procbio.2009.06.014
- Morikawa M., Hirata Y., Imanaka T. // Biochim. Biophys Acta. 2000. V. 1488. № 3. P. 211–218. https://doi.org/10.1016/s1388-1981(00)00124-4
- Dufour S., Deleu M., Nott K., Wathelet B., Thonart P., Paquot M. // Biochim. Biophys Acta. 2005. V. 1726. № 1. P. 87–95. https://doi.org/10.1016/j.bbagen.2005.06.015
- Jiang J., Gao L., Bie X., Lu Z., Liu H., Zhang C., Lu F., Zhao H. // BMC Microbiol. 2016. V. 16. Art. 31. https://doi.org/10.1186/s12866-016-0645-3
- Medema M.H., Kottmann R., Yilmaz P., Cummings M., Biggins J.B., Blin K., de Bruijn I., Chooi Y.H., Claesen J., Coates R.C. // Nat. Chem. Biol. 2015. V. 11. P. 625–631. https://doi.org/10.1038/nchembio.1890
- Theatre A., Cano-Prieto C., Bartolini M., Laurin Y., Deleu M., Niehren J., Fida T., Gerbinet S., Alanjary M., Medema M.H., Leonard A., Lins L., Arabolaza A., Gramajo H., Gross H., Jacques P. // Front. Bioeng. Biotechnol. 2021. V. 9. Art. 623701. https://doi.org/10.3389/fbioe.2021.623701
- Koumoutsi A., Chen X.H., Henne A., Liesegang H., Hitzeroth G., Franke P., Vater J., Borriss R. // J. Bacteriol. 2004. V. 186. № 4. P. 1084–1096. https://doi.org/10.1128/JB.186.4.1084-1096.2004
- Willenbacher J., Mohr T., Henkel M., Gebhard S., Mascher T., Syldatk C., Hausmann R. // J. Biotechnol. 2016. V. 224. P. 14–17. https://doi.org/10.1016/j.jbiotec.2016.03.002
- Jiao S., Li X., Yu H., Yang H., Li X., Shen Z. // Biotechnol. Bioeng. 2017. V. 114. P. 832–842. https://doi.org/10.1002/bit.26197
- Quadri L.E., Weinreb P.H., Lei M., Nakano M.M., Zuber P., Walsh C.T. // Biochemistry. 1998. V. 37. № 6. P. 1585–1595. https://doi.org/10.1021/bi9719861
- Nakano M.M., Corbell N., Besson J., Zuber P. // MGG Mol. Gen. Genet. 1992. V. 232. P. 313–321. https://doi.org/10.1007/BF0028001
- Li X., Yang H., Zhang D., Li X., Yu H., Shen Z. // J. Ind. Microbiol. Biotechnol. 2015. V. 42. P. 93–103. https://doi.org/10.1007/s10295-014-1527-z
- Rahman F.B., Sarkar B., Moni R., Rahman M.S. // Biotechnol. Rep. 2021. V. 32. P. e00686. https://doi.org/10.1016/j.btre.2021.e00686
- Seydlova G., Svobodova J. // Cent. Eur. J. Med. 2008. V. 3. P. 123–133. https://doi.org/10.2478/s11536-008-0002-5
- Ishigami Y., Osman M., Nakahara H., Sano Y., Ishiguro R., Matsumoto M. // Colloids Surf. B. 1995. V. 4. P. 341–348.
- Chen B., Wen J., Zhao X., Ding J., Qi G. // Front. Microbiol. 2020 V. 11. Art. 631. https://doi.org/10.3389/fmicb.2020.00631
- Ongena M., Jourdan E., Adam A., Paquot M., Brans A., Joris B., Arpigny J.L., Thonart P. // Environ Microbiol. 2007. V. 9. № 4. P.1084–1090. https://doi.org/10.1111/j.1462-2920.2006.01202.x
- Deleu M., Lorent J., Lins L., Brasseur R., Braun N., El Kirat K., Nylander T., Dufrene Y.F., Mingeot-Leclercq M.P. // Biochim. Biophys. Acta. 2013. V. 1828. № 2. P. 801–815. https://doi.org/10.1016/j.bbamem.2012.11.007
- Li T, Li L, Du F, Sun L, Shi J, Long M, Chen Z. // Molecules. 2021. V. 26. № 11. Art. 3438. https://doi.org/10.3390/molecules26113438
- Tran C., Cock I.E., Chen X., Feng Y. // Antibiotics (Basel). 2022. V. 11. № 1. Art. 88. https://doi.org/10.3390/antibiotics11010088
- Maget-Dana R., Ptak M. // Biophys. J. 1995. V. 68. P. 1937–1943. https://doi.org/10.1016/S0006-3495(95)80370-X
- Maget-Dana R., Ptak M. // J. Colloid Interface Sci. 1992. V. 153. P. 285–291. https://doi.org/10.1016/0021-9797(92)90319-H
- Liu J., Li W., Zhu X., Zhao H., Lu Y., Zhang C., Lu Z. // Appl. Microbiol. Biotechnol. 2019 V. 103. № 11. P. 4565–4574. https://doi.org/10.1007/s00253-019-09808-w
- Stoll A., Salvatierra-Martínez R., Gonzalez M., Araya M. // Microorganisms. 2021 V. 9. № 11. Art. 2251. https://doi.org/10.3390/microorganisms9112251
- Marahiel M.A., Nakano M.M., Zuber P. // Mol. Microbiol. 1993. V. 7. № 5. P. 631–636. https://doi.org/10.1111/j.1365-2958.1993.tb01154.x
- Raaijmakers J.M., De Bruijn I., Nybroe O., Ongena M. // FEMS Microbiol. Rev. 2010. V. 34. № 6. P. 1037–1062. https://doi.org/10.1111/j.1574-6976.2010.00221.x
- Sachdev D.P., Cameotra S.S. // Appl. Microbiol. Biotechnol. 2013. V. 97. P. 1005–1016. https://doi.org/10.1007/s00253-012-4641-8
- Chowdhury S.P., Hartmann A., Gao X., Borriss R. // Front. Microbiol. 2015. V. 6. Art. 780. https://doi.org/10.3389/fmicb.2015.00780
- Hofemeister J., Conrad B., Adler B., Hofemeister B., Feesche J., Kucheryava N., Steinborn G., Franke P., Grammel N., Zwintscher A., Leenders F., Hitzeroth G., Vater J. // Mol. Genet. Genomics. 2004. V. 272. № 4. P. 363–378. https://doi.org/10.1007/s00438-004-1056-y
- Morikawa M. // J. Biosci Bioeng. 2006. V. 101. № 1. P. 1–8. https://doi.org/10.1263/jbb.101
- Therien M., Kiesewalter H.T., Auria E., Charron-Lamoureux V., Wibowo M., Maroti G., Kovacs A.T., Beauregard P.B. // Biofilm. 2020. V. 2. Art. 100021. https://doi.org/10.1016/j.bioflm.2020.100021
- Asaka O., Shoda M. // Appl. Environ. Microbiol. 1996. V. 62. № 11. P. 4081–4085. https://doi.org/10.1128/aem.62.11.4081-4085.1996
- Toure Y., Ongena M., Jacques P., Guiro A., Thonart P. // J. Appl. Microbiol. 2004. V. 96. № 5. P. 1151–1160. https://doi.org/10.1111/j.1365-2672.2004.02252.x
- Bais H.P., Fall R., Vivanco J.M. // Plant Physiol. 2004. V. 134. № 1. P. 307–319. https://doi.org/10.1104/pp.103.028712
- Zeriouh H., de Vicente A., Perez-García A., Romero D. // Environ. Microbiol. 2014. V. 16. № 7. P. 2196–2211. https://doi.org/10.1111/1462-2920.12271
- Luo C., Zhou H., Zou J., Wang X., Zhang R., Xiang Y., Chen Z. // Appl. Microbiol. Biotechnol. 2015. V. 99. № 4. P. 1897–1910. https://doi.org/10.1007/s00253-014-6195-4
- Fan H., Zhang Z., Li Y., Zhang X., Duan Y., Wang Q. // Front. Microbiol. 2017. V. 8. Art. 1973. https://doi.org/10.3389/fmicb.2017.01973
- Nifakos K., Tsalgatidou P.C., Thomloudi E.E., Skagia A. Kotopoulis D., Baira E., Delis C., Papadimitriou K., Markellou E. Venieraki A., Katinakis P. // Plants (Basel). 2021. V. 10. № 8. Art. 1716. https://doi.org/10.3390/plants10081716
- García-Gutierrez L. Zeriouh H., Romero D., Cubero J., de Vicente A., Perez-García A. // Microb. Biotechnol. 2013. V. 6. № 3. P. 264–274. https://doi.org/10.1111/1751-7915.12028
- Desoignies N., Schramme F., Ongena M., Legrève A. // Mol. Plant Pathol. 2013 V. 14. № 4. P. 416–421. https://doi.org/10.1111/mpp.12008
- Cawoy H., Mariutto M., Henry G., Fisher C., Vasilyeva N., Thonart P., Dommes J., Ongena M. // Mol. Plant Microbe Interact. 2014. V. 27. № 2. P. 87–100. https://doi.org/10.1094/MPMI-09-13-0262-R
- Waewthongrak W., Leelasuphakul W., McCollum G. // PLoS One. 2014. V. 9. № 10. Art. e109386. https://doi.org/10.1371/journal.pone.0109386
- Rahman A., Uddin W., Wenner N.G. // Mol. Plant Pathol. 2015. V. 16. № 6. P. 546–558. https://doi.org/10.1111/mpp.12209
- Yamamoto S., Shiraishi S., Suzuki S. // Lett. Appl. Microbiol. 2015. V. 60. № 4. P. 379–386. https://doi.org/10.1111/lam.12382
- Rodriguez J., Tonelli M.L., Figueredo M.S., Ibanez F., Far A. // Eur. J. Plant Pathol. 2018. V. 152. P. 845–851. https://doi.org/10.1007/s10658-018-1524-6
- Черепанова Е.А., Благова Д.К., Бурханова Г.Ф., Сарварова Е.С., Максимов И.В. // Экобиотех. 2019. Т. 2. № 3. С. 339–346. https://doi.org/10.31163/2618-964X-2019-2-3-339-346
- Li Y., Heloir M.C., Zhang X., Geissler M., Trouvelot S., Jacquens L., Henkel M., Su X. Fang X., Wang Q., Adrian M. // Mol. Plant Pathol. 2019. V. 20. № 8. P. 1037–1050. https://doi.org/10.1111/mpp.12809
- Debois D., Fernandez O., Franzil L. Jourdan E., de Brogniez A., Willems L., Clément C., Dorey S., De Pauw E., Ongena M. // Environ. Microbiol. Rep. 2015. V. 7. № 3. P. 570–582. https://doi.org/10.1111/1758-2229.12286
- Поликсенова В.Д. // Вестник БГУ. Сер. 2. 2009. № 1. С. 48–60.
- Straight P.D., Willey J.M., Kolter R. // J. Bacteriol. 2006 V. 188. № 13. P. 4918–4925. https://doi.org/10.1128/JB.00162-06
- Pérez-García A., Romero D., de Vicente A. // Curr. Opin. Biotechnol. 2011. V. 22. № 2. P. 187–193. https://doi.org/10.1016/j.copbio.2010.12.003
Supplementary files




