Tunnel Breakdown Bipolar Transistor
- Authors: Rekhviashvili S.S.1, Gaev D.S.2
-
Affiliations:
- Institute of Applied Mathematics and Automation KBSC RAS
- Kabardino-Balkarian State University
- Issue: Vol 53, No 6 (2024)
- Pages: 553-558
- Section: ПРИБОРЫ
- URL: https://bakhtiniada.ru/0544-1269/article/view/282110
- DOI: https://doi.org/10.31857/S0544126924060072
- ID: 282110
Cite item
Full Text
Abstract
The article considers a bipolar transistor operating under tunnel breakdown of the collector junction. The equivalent circuit of the transistor is built from two low-voltage Zener diodes connected towards each other. Integrated circuits on complementary transistors with tunnel breakdown can be manufactured on a single crystal using CMOS technology. Experimental and theoretical studies of the physical model of the transistor are carried out. The processes of injection and extraction of charge carriers under tunnel breakdown of the collector junction lead to a decrease in the role of barrier capacitances of p-n junctions and a significant increase in the switching speed of the transistor. It is revealed that the standard SPICE model of the diode does not quantitatively reproduce the experimental data for Zener diodes with tunnel breakdown. A new expression is proposed that correctly describes the volt-ampere characteristic for this case in a wide voltage range. The transistor breakdown condition is obtained and the breakdown voltage is calculated.
Full Text
ВВЕДЕНИЕ
В электронике давно применяется лавинный транзистор, исходная рабочая точка которого устанавливается в области лавинного пробоя коллекторного перехода [1]. При больших значениях обратного смещения (это, как правило, десятки вольт) в коллекторном переходе происходит процесс ударной ионизации, который вызывает лавинообразный рост концентрации свободных носителей заряда. В условиях лавинного пробоя формируется однородное распределение электрического поля по всей площади коллекторного перехода, что обеспечивает устойчивость работы транзистора. Образующаяся лавина из основных носителей заряда сводит к минимуму рекомбинационные потери тока в базе транзистора, поэтому коэффициент передачи тока эмиттера в схеме с общей базой в активном режиме в данном случае близок к единице. Главными особенностями лавинного транзистора являются s-образная вольт-амперная характеристика (ВАХ) и отрицательное дифференциальное сопротивление в цепи “коллектор-эмиттер”, что обеспечивает сверхбыстрое переключение тока в этой цепи. На практике лавинные транзисторы используются в основном для создания импульсных генераторов и мультивибраторов, а также находят применение в измерительной и лазерной технике [2, 3]. К основным недостаткам лавинных транзисторов можно отнести нагрев, склонность к необратимому тепловому пробою, а также сложность или невозможность изготовления и эксплуатации интегральных микросхем на их основе.
Данная работа посвящена реализации и исследованию биполярного транзистора с туннельным пробоем p-n-перехода коллектора, который предлагается использовать вместо лавинного пробоя. Как известно [4, с. 153], напряжение пробоя зависит от уровней легирования полупроводниковых областей и для механизма туннельного пробоя не превышает 5–6 В. Это, по нашему мнению, делает перспективным применение транзистора для создания быстродействующих цифровых интегральных микросхем с уровнем логической единицы по абсолютному значению менее В. В этой связи уместно упомянуть, что в настоящее время на рынке достаточно широко распространены диоды стабилитроны с номинальным напряжением пробоя 1.8 В. Транзистор для цифровой схемотехники, в которой не требуется усиление мощности сигнала, может быть выполнен в виде симметричных структур типа n+-p-n+ или p+-n-p+ с суммарными уровнями легирования слоев выше 2·1017 см–3.
ЭКСПЕРИМЕНТ И МОДЕЛИРОВАНИЕ
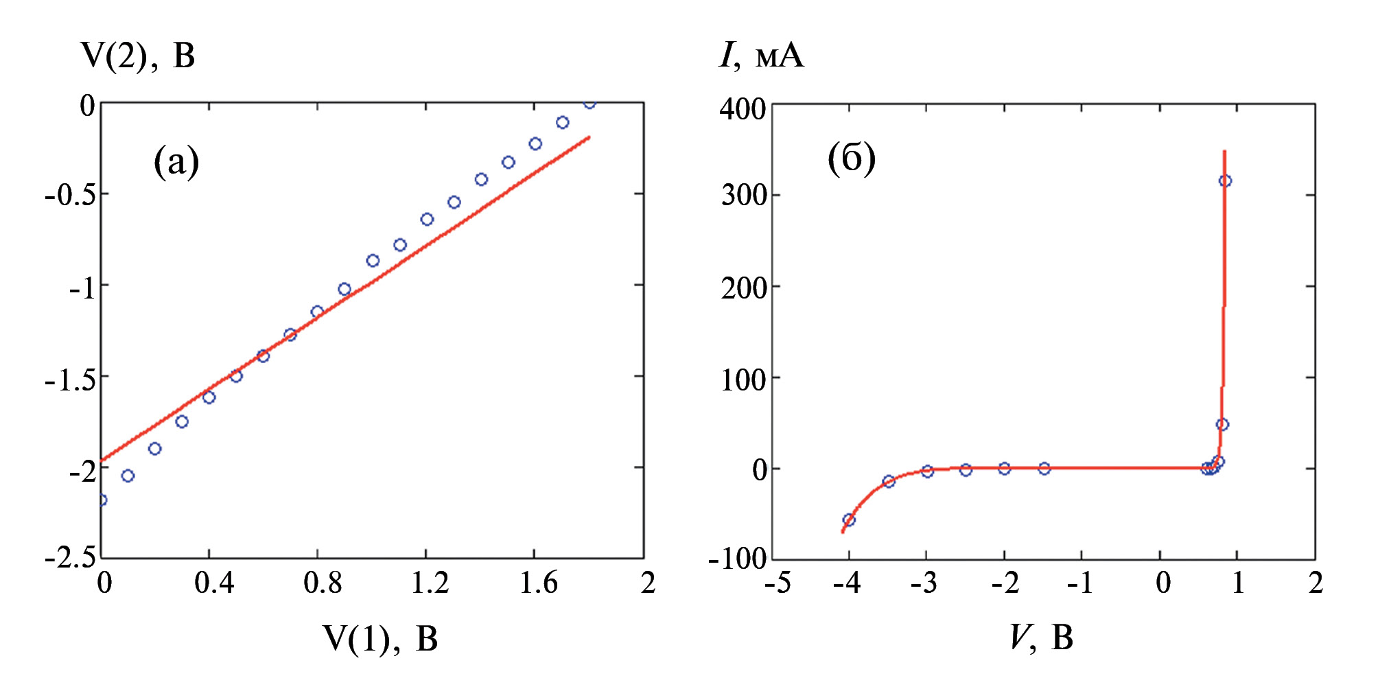
Симметричный относительно базы биполярный транзистор с туннельным пробоем коллекторного и/или эмиттерного p-n-переходов представляется в виде двух одинаковых диодов стабилитронов, включенных навстречу друг другу. Аналог инжекционной модели Эберса–Молла прибора изображен на рис. 1а. Были выбраны диоды с номинальным пробивным напряжением 3 В, из которых строили действующий макет транзистора. Исследовали статические и динамические характеристики схемы на рис. 1б, а также ВАХ отдельных диодов. Полученные характеристики показаны на рис. 2, 3. В экспериментах использовали приборы Rigol MSO1074, Rigol DG1062 и DT9208A; схемотехническое моделирование проводили с помощью программы TINA-TI [5]. Ниже приведен пример задания на моделирование схемы на рис. 1б в формате SPICE.
*Tunnel Breakdown Transistor
V1 1 0 PULSE(0 2 10u 0u 0u 25u 50u)
V2 0 3 3.5
R1 2 3 5.1k
D1 2 1 ZENER
D2 0 1 ZENER
.MODEL ZENER D(IS=1u RS=0.1 BV=2.1 IBV=50m + CJO=50p TT=0.1u)
.TRAN0.001u 100u
.DC V1 0 1.8 0.1
.PROBE V(2)
.END
Рис. 1. Эквивалентная электрическая схема транзистора с туннельным пробоем (а) и схема для исследования статических и динамических характеристик (б).
Рис. 2. Передаточная характеристика по напряжению схемы на рис. 1б (а) и ВАХ диода (б): кружки — экспериментальные данные; сплошные линии — расчеты по SPICE-модели и формуле (1).
Рис. 3. Осциллограммы сигналов схемы на рис. 1б: (а) — эксперимент; (б) — SPICE-моделирование.
Сравнение численных расчетов с экспериментальными данными показывает, что встроенная SPICE-модель диода не позволяет в полной мере правильно воспроизводить реальные свойства стабилитрона с туннельным типом пробоя как отдельно, так и в составе схемы на рис. 1б. Учет параметров IBVL и NBVL на участке пробоя низкого уровня не привносит принципиальных изменений. Макромодель, предложенная в [6], не улучшает данную ситуацию, поскольку не учитывает физику процессов в приборе и, как следствие, неверно характеризует сопротивление утечки. Все сказанное, прежде всего, относится к работе диода в области пробоя. В стандартной SPICE-модели учитывается только лавинный пробой, что неприменимо к туннельному пробою и низковольтным стабилитронам. В итоге не удается должным образом задать наклон статических характеристик (см., например, рис. 2а); для более или менее приемлемого описания предпробойной области таких диодов приходится путем эмпирического подбора уменьшать напряжение и увеличивать начальный ток пробоя. По указанным причинам SPICE-моделирование дает лишь качественные результаты. На аналогичные проблемы было указано в работе [7], в которой проводилось моделирование мемристорно-диодного кроссбара.
ОБСУЖДЕНИЕ И ТЕОРИЯ
Отличительной особенностью работы транзистора с туннельным пробоем является обострение фронтов импульсов в широком частотном диапазоне. Из результатов моделирования схемы на рис. 1б следует, что в области пробоя барьерная емкость перестает оказывать влияние на переходной процесс. Основным динамическим параметром здесь служит время переноса носителей заряда через структуру, которое взаимосвязано с подвижностью неравновесных носителей заряда. В отличие от традиционных режимов работы биполярного транзистора, в нашем случае ток через транзистор формируется основными носителями заряда. Для схемы на рис. 1б это электроны. Если на входе схемы сигнал отсутствует, то диод D1 закрыт. На выходе устанавливается высокое отрицательное напряжение, соответствующее напряжению источника питания V2. Если же на вход схемы подается положительное напряжение, то вследствие туннельного пробоя диод D1 открывается, сопротивление транзистора резко уменьшается и на выходе устанавливается напряжение низкого уровня. При обратном смещении происходит некоторое увеличение ширины области пространственного заряда и сужение базовой области (эффект Эрли). Это вместе с высокой скоростью дрейфа носителей заряда в сильном электрическом поле повышает быстродействие транзистора.
Характер работы схемы на рис. 1б наглядно демонстрирует таблица состояний на вставке и наводит на концепцию троичной логики . Троичная логика считается самой оптимальной с точки зрения плотности записи информации [8]. Симметричная форма представления чисел упрощает работу с отрицательными числами, поскольку для хранения знака отпадает необходимость в дополнительном разряде. Помимо этого, операция сравнения в троичной логике выполняется всего за один шаг. В целом математически доказано, что троичная логика значительно эффективнее, чем двоичная логика. Транзистор с туннельным пробоем, по нашему мнению, является перспективным кандидатом для создания схемотехнического базиса быстродействующей интегральной троичной логики принципиально нового типа. Цифровые интегральные микросхемы на биполярных транзисторах с туннельным пробоем разного типа проводимости могут изготавливаться по современной КМОП-технологии. В частности, на рис. 4 представлена типовая структура транзисторной пары в рассматриваемом аспекте, технология изготовления которой хорошо укладывается в блок технологического маршрута формирования истоковых и стоковых областей.
Рис. 4. Типовая структура совмещенных биполярных транзисторов с туннельным пробоем.
Последним рассмотрим вопрос о ВАХ диода с туннельным типом пробоя. Учитывая высокий уровень легирования полупроводниковых областей диода, при больших значениях обратного смещения логично предположить, что реализуется механизм автоэлектронной эмиссии прохождения носителей заряда через p-n-переход. Согласно этому, для тока можно написать выражение
(1)
где — ток насыщения в отсутствие туннелирования, n — параметр неидеальности p-n-перехода, и — параметры аппроксимации обратной ветви ВАХ, — температурный потенциал, равный 26 мВ при температуре 300 К. В (1) при и соответственно имеют место уравнения Шокли [4, с. 138] и Фаулера–Нордгейма [9, с. 405]. Результаты расчета по (1) прямой и обратной ветвей ВАХ в сравнении с экспериментальными данными показаны сплошной кривой на рис. 2б. Параметры в (1) имели следующие значения: пА, , , В. Можно видеть, что расчеты хорошо согласуются с экспериментом.
Запись (1) позволяет формально ввести в рассмотрение эффективный коэффициент умножения концентрации носителей заряда, который обусловлен процессом туннелирования
. (2)
Увеличение тока через коллекторный переход, вызываемое процессом туннелирования, приводит к увеличению коэффициента передачи тока эмиттера
(3)
где — значение без учета туннелирования. Ток коллектора транзистора с разомкнутой базой
, (4)
где — значение без учета туннелирования. Если полярности входного и выходного сигналов совпадают, то напряжение пробоя транзистора находится из уравнения
. (5)
В точке пробоя для коэффициента передачи тока базы в схеме с общим эмиттером, как это и требуется, получаем
. (6)
Уравнение (5) является трансцендентным. Несмотря на это, его решение выражается в явном виде
(7)
где — функция Ламберта [10, 11]. В качестве справки укажем, что положительную часть основной ветви функции Ламберта удобно вычислять по приближенной формуле [10]:
(8)
Для ВАХ на рис. 2б получается оценка В, что по порядку величины совпадает с контактной разностью потенциалов p-n-перехода. Данная оценка означает, что туннельный пробой фактически наступает при напряжении, меньшем номинального (паспортного) значения пробивного напряжения. Это также следует из непосредственных измерений ВАХ: при ток через транзистор начинает стремительно возрастать.
Весьма примечательным является то, что вблизи пробоя состояние с бесконечным значением может быть достигнуто даже с двумя дискретными диодами, т. е. условие тонкой базы здесь не имеет принципиального значения. При определенном входном запирающем напряжении, зависящем от напряжения питания, входной ток базы становится равным нулю, в то время как выходной ток коллектора всегда отличен от нуля. Для схемы на рис. 1б это запирающее входное напряжение должно быть отрицательным. Отметим, что в [12, 13] обнаружено обострение фронтов выходного сигнала простого инвертора на биполярном транзисторе и повышение коэффициента при непрерывной оптической засветке кристалла транзистора. Как показано в настоящей работе, похожие явления наблюдаются и при электрическом пробое биполярного транзистора. Из этого следует, что оптическое и электрическое воздействия на транзисторную структуру с одинаковой эффективностью могут использоваться для изменения концентрации подвижных носителей заряда и управления током в области лавинного или туннельного пробоя.
ЗАКЛЮЧЕНИЕ
Разработка элементной базы на новых физических принципах для быстродействующих цифровых интегральных микросхем представляет собой чрезвычайно актуальную задачу.
В настоящей работе впервые экспериментально и теоретически изучена работа модели биполярного транзистора с туннельным пробоем коллекторного перехода. Применение данного прибора видится многообещающим для создания интегральных цифровых устройств троичной логики по следующим причинам: а) возможность формирования положительного и отрицательного сигналов без применения двухполярного питания; б) малое напряжение переключения, которое по абсолютному значению может составить менее 2 В; в) предельное быстродействие, соответствующее времени жизни основных неравновесных носителей заряда; г) отсутствие жестких требований по коэффициенту усиления и толщине базы транзисторов; д) одинаковые электрофизические свойства эмиттера и коллектора, что упрощает проектирование топологии интегральных микросхем; е) адаптирование КМОП-технологии для изготовления интегральных микросхем.
Основная проблема интегральных микросхем на биполярных транзисторах, работающих в области пробоя, по-видимому, может заключаться в повышенных токах потребления и нагреве кристалла. Данная проблема, однако, является предметом отдельных исследований.
Авторы заявляют, что у них нет конфликта интересов.
About the authors
S. Sh. Rekhviashvili
Institute of Applied Mathematics and Automation KBSC RAS
Author for correspondence.
Email: rsergo@mail.ru
Russian Federation, Nalchik
D. S. Gaev
Kabardino-Balkarian State University
Email: rsergo@mail.ru
Russian Federation, Nalchik
References
- Miller S. L., Ebers J. J. Alloyed junction avalanche transistors // Bell Labs Tech. J. 1955. V.34. No 5. P. 883–902, https://doi.org/10.1002/j.1538–7305.1955.tb03783.x
- Dyakonov V. P. Avalanche transistors and their application in pulsed devices. Moscow: Soviet Radio, 1973. 208 p. (in Russian)
- Dyakonov V. P. Avalanche transistors and thyristors. Theory and application. Moscow: Solon-Press, 2012. 384 p. (in Russian)
- Till W. C., Luxon J. T. Integrated circuits: Materials, devices, and fabrication. Englewood Cliffs, NJ: Prentice-Hall, 1982. 462 p.
- Alyokhin V. A. Electronics: Theory and practice. Modeling in the TINA-8 environment. Moscow: Hotline — Telecom, 2017. 308 p. (in Russian)
- Wong S., Hu C. M. SPICE macro model for the simulation of Zener diode I–V characteristics // IEEE Circuits and Devices Magazine. 1991. V.7. No. 4. P. 9–12, https://doi.org/10.1109/101.134564
- Pisarev A. D., Busygin A. N., Bobylev A. N., Udovichenko S. Yu. Combined memristor-diode crossbar as a memory storage base // Tyumen State University Herald. Physical and Mathematical Modeling. Oil, Gas, Energy. 2017. V.3. No. 4. P. 142–149, DOI: https://doi.org/10.21684/2411-7978-2017-3-4-142–149 (in Russian)
- Esin A. Analysis and design principles of modern control systems based on multi-valued logic models // Large-scale Systems Control. 2020. No. 88. P. 69–98, https://doi.org/10.25728/ubs.2020.88.4 (in Russian)
- Dobretsov L. N., Gomoyunova M. V. Emission electronics. M.: Nauka, 1966. 564 p. (in Russian)
- Dubinov A. E., Dubinova I. D., Saikov S. K. The Lambert W function and its applications to mathematical problems of physics. Sarov: RFNC–VNIIEF, 2006. 252 p. (in Russian)
- Mezo I. The Lambert W function: Its generalizations and applications. N.Y.: CRC Press, Taylor & Francis Group, 2022. 252 p.
- Rekhviashvili S. Sh., Narozhnov V. V. A method for increasing the performance of transistors and transistor integrated circuits. RF Patent No. 2799113. Priority from 03/18/2022.
- Al’tudov Y. K., Gaev D. S., Pskhu A. V., Rekhviashvili S. Sh. Optically pumped bipolar transistor // Russian Microelectronics. 2023. V.52. No. 6. P. 510–516, https://doi.org/10.1134/S1063739723700762
Supplementary files






