III-nitride HEMT Heterostructures with an Ultrathin AlN Barrier: Fabrication and Experimental Application
- Authors: Gusev A.S.1, Sultanov A.O.1, Ryzhuk R.V.1, Nevolina T.N.1, Tsunvaza D.1, Safaraliev G.K.1, Kargin N.I.1
-
Affiliations:
- National Research Nuclear University MEPhI
- Issue: Vol 53, No 6 (2024)
- Pages: 539-552
- Section: ПРИБОРЫ
- URL: https://bakhtiniada.ru/0544-1269/article/view/282108
- DOI: https://doi.org/10.31857/S0544126924060066
- ID: 282108
Cite item
Full Text
Abstract
Using molecular beam epitaxy (MBE) with plasma-activated nitrogen, III-nitride HEMT heterostructures with an ultrathin AlN barrier were obtained. The effects of nucleation and buffer layer growth conditions on the crystalline quality, surface morphology, and electrophysical properties of the experimental heterostructures were studied. The sheet resistance of the optimized heterostructure was less than 230 Ω/□. Test microwave transistor samples with Schottky gates were fabricated. A parametric model of the HEMT based on the AlN/GaN heterostructure was proposed.
Keywords
Full Text
ВВЕДЕНИЕ
III-нитридные HEMT гетероструктуры (гетероэпитаксиальные структуры с 2D электронным газом) – это основа для формирования мощных СВЧ транзисторов и монолитных интегральных схем. В настоящее время известно много вариантов AIIIN гетероэпитаксиальных структур (ГС) с 2D электронным газом. Наиболее распространенными и изученными являются ГС с барьерным слоем на основе тройных соединений AlGaN и InAlN. Альтернативу им ввиду своих фундаментальных преимуществ (низкое слоевое сопротивление и подавление короткоканальных эффектов) могут составить ГС с ультратонким барьером AlN. Подобные ГС признаны рядом авторов [1–11] как наиболее перспективный материал для увеличения удельной мощности СВЧ ЭКБ и продвижения вверх по шкале частот. У AlN/GaN ГС ввиду большой разницы в спонтанной (являющейся следствием низкой симметрии кристаллической решетки) и пьезоэлектрической (обусловленной механическими напряжениями) поляризации межу AlN и GaN достижима чрезвычайно высокая плотность двумерного электронного газа (2DEG), более 6 ∙ 1013 см–2 по некоторым теоретическим оценкам [4, 5]. Кроме того, в подобных структурах следует ожидать и относительно высокую подвижность электронов из-за отсутствия рассеяния на неоднородностях твердого раствора AlGaN [12]. Уникальное сочетание высокой плотности 2DEG и относительно высокой подвижности позволяет получать рекордно низкие значения слоевого сопротивления. В качестве доказательства последнего утверждения на рис. 1 приводится зависимость слоевого сопротивления (ρs) от плотности 2DEG (ns) для ГС с барьерными слоями различного вида, построенная на основе анализа литературных данных [2, 3, 6, 9 – 11, 13 – 39]. Рекордные значения ρs = 120 ÷ 130 Ом/□ получены авторами [6, 11] именно в ГС с ультратонким барьером AlN. Однако низкое ρs – это не единственное достоинство AlN/GaN ГС применительно к HEMT технологии. Здесь следует отметить и высокое аспектное соотношение Lg/d (где Lg – длина затвора изготавливаемого транзистора, d – толщина барьера), которое в разы больше данного параметра, реализуемого в классических AlGaN/GaN ГС, что дает возможность свободно масштабировать параметр Lg (а значит и предельную частоту усиления по току ft ≈ Lg–1), не опасаясь проявления эффектов короткого канала в полевом транзисторе: снижения порогового напряжения, снижения потенциального барьера под затвором (DIBL-эффект) и др. Поэтому исследования и разработки в предметной области вдвойне актуальны (направлены одновременно на увеличение удельной выходной мощности и частоты отсечки III-нитридных приборов).
Рис. 1. Зависимость ρs от ns для ГС с барьерными слоями различного состава: AlxGa1-xN (0,18 ≤ x ≤ 0,36) – коричневые маркеры; InхAl1-хN (х = 0,17–0,18) – красные маркеры; InAlGaN с различной мольной долей In – серые маркеры; AlN – голубые маркеры [2, 3, 6, 9–11, 13–39].
Целью данной работы являлось развитие физико-технологических подходов к получению HEMT-гетероструктур с ультратонким AlN барьером, включая изготовление на основе экспериментальных ГС тестовых образцов СВЧ транзисторов.
ПОЛУЧЕНИЕ И ИССЛЕДОВАНИЕ ЭКСПЕРИМЕНТАЛЬНЫХ ТЕТЕРОСТРУКТУР
Все экспериментальные ГС выращивались в установке молекулярно-лучевой эпитаксии GEN 930 (“Veeco”), оснащенной азотно-плазменным активатором UNI-Bulb Veeco RF. Мощность ВЧ-источника и поток азота составляли 350 Вт и 1,6 стандартных кубических сантиметров в минуту, соответственно. В качестве подложек для экспериментов были использованы пластины лейкосапфира диаметром 50,8 мм, имеющие вицинальный угол 0,25° рабочей поверхности в сторону плоскости m относительно сингулярной грани с. Перед началом роста подложки 30 минут отжигали в вакууме при температуре 1000°С, затем проводилась процедура нитридизации (т. е. выдержка пластины в потоке активного азота при той же температуре в течение 5 минут).
Нуклеационный слой AlN с расчетной толщиной 40 нм формировался в азот-обогащенных условиях (FAl/FN ≈ 0,6) при стационарных потоках алюминия и азота. Температуру нуклеации Tn варьировали от образца к образцу в диапазоне от 610 до 810°С (согласно показаниям термопары) с целью анализа влияния данного параметра на кристаллическую структуру, морфологию поверхности и электрофизические свойства ГС. При выращивании буферного GaN слоя расчетной толщины 1650 нм в азот стабилизированных условиях применялась MME методика [40, 41] (t1 = 8 c; t2 = 14 c, количество циклов 990). GaN буфер получали при потоке Ga, эквивалентном давлению P* = 7,5 ∙ 10–7 Торр, и средней температуре подложки <Ts> в пределах 750 – 753°С (по ИК пирометру). Конкретное значение Ts в рамках указанного диапазона выбиралось исходя из необходимости поддержания постоянной скорости роста нитрида галлия для всех экспериментальных образцов данной серии. Легирование ГС не проводилось. Зародышеобразование и рост контролировали in situ методом дифракции быстрых отраженных электронов (ДОБЭ). Типичные дифракционные картины, регистрируемые от исходной сапфировой подложки и экспериментальных образцов в направлении на стадиях нуклеации и формирования GaN буфера приведены на рис. 2, а, б и в. В свою очередь, смена наблюдаемого типа реконструкции поверхности GaN c 1×1 (рисунок 2, в) на 2×2 в случае остановки ростового процесса и снижения Ts до 600°С (рисунок 2, г) свидетельствует о ее металлической (Ga) полярности [42].
Рис. 2. Типичные картины ДОБЭ от исходной подложки (а) и экспериментальных ГС в направлении на стадии нуклеации (б); в процессе формирования GaN буфера (в); в случае остановки процесса роста GaN и снижения параметра Ts до 600°С (г).
После завершения роста GaN буфера при стационарном потоке алюминия (FAl/FN ≈ 1) формировался ультратонкий барьер AlN. Условия выращивания и параметры конструкции экспериментальных ГС сведены в табл. 1. В завершение на поверхность ГС наносился “cap” слой из нитрида галлия толщиной ≈ 1 нм (в табл. 1 не указан).
Таблица 1. Условия роста и параметры экспериментальных ГС c ультратонким барьером AlN
№ | AlN (нуклеационный слой) | GaN (буферный слой) | AlN (барьерный слой) | Полная толщина ГС SE/SEM | ||||||
Tn (°С) TC | TAl (°С) | Оценка толщины слоя, нм | <Ts> (°С) Pyro | TGa, (°С) | Оценка толщины слоя, нм | Время роста слоя, с | TAl (°С) | Оценка толщины слоя, нм | ||
165 | 610 | 1060/990 | 38,8 | 750 | 976/1139 | 1652 | 45 | 1086/1025 | 5,8 | 1698/1690 |
164 | 660 | 1060/990 | 42,5 | 752 | 977/1139 | 1658 | 45 | 1086/1025 | 5,6 | 1707/1700 |
163 | 710 | 1060/990 | 39,5 | 753 | 976/1139 | 1695 | 45 | 1086/1025 | 5,5 | 1741/1730 |
160 | 810 | 1060/989 | – | 751 | 977/1139 | – | 45 | 1086/1025 | – | –/1670 |
Среднеквадратичное отклонение (σ), нм | 25 | |||||||||
Коэффициент вариации (Сv), % | 1,5 | |||||||||
Как следует из данных табл. 1, среднеквадратичное отклонение (σ) параметра полной толщины ГС составляет 25 нм при его среднем значении 1698 нм, а коэффициент вариации (Сv) не превышает 1,5 %, что свидетельствует об удовлетворительной воспроизводимости технологических параметров. Также отклонения между результатами сканирующей электронной микроскопии (SEM) и спектральной эллипсометрии (SE), указанными в столбце полной толщины, составляют мене 1 %, демонстрируя хорошую сходимость модели при аппроксимации зависимостей угловых величин ∆ и Ψ от длины волны.
Для определения основных электрофизических параметров ГС (холловской подвижности, концентрации носителей заряда в канале, слоевого сопротивления полной ГС) были выполнены измерения эффекта Холла. Измерения проводились на установке HMS-3000 (“Ecopia”) при комнатной температуре в геометрии ван дер Пау c расположением контактов в углах квадрата размером 5×5 мм. Контакты наносились на предварительно вырезанные куски пластин путем подпаивания индия. Величина магнитного поля, перпендикулярного плоскости образца, составляла 0,55 Tл. Измерения осуществлялись в нескольких местах исходных пластин, затем полученные значения усреднялись (табл. 2).
Таблица 2. Электрофизические параметры экспериментальных ГС AlN/GaN с различной Tn
№ ГС | Холловские параметры 2DEG для экспериментальных ГС (при 300 К) | Удельное сопротивление буферного слоя GaN по данным холловских измерений (300 К) | ||
µH (см2B-1c-1) | ns (см-2) | ρs (Oм/□) | ρs (Oм/□) | |
165 | – | – | – | 3,9∙105 |
164 | 934 | 2,22∙1013 | 302 | 1,5∙106 |
163 | 1066 | 2,58∙1013 | 227 | 1,6∙108 |
160 | 870 | 2,23∙1013 | 322 | 3,1∙108 |
Значений холловской подвижности (µH) и слоевой концентрации носителей (ns), характерных для квазидвумерного электронного газа, в случае низкотемпературной нуклеации при Тn = 610°С (ГС № 165) зафиксировано не было. Наилучшими электрофизическими параметрами обладает экспериментальная ГС №163 (µH = 1066 см2B–1c–1 при ns = 2,58 ∙ 1013 см–2) с температурой нуклеации 710°С. На этой же пластине зафиксировано рекордное для данной работы значение холловской подвижности: 1100 см2B–1c–1, что при ns = 2,54 ∙ 1013 см–2 приводит к величине удельного сопротивления в 223 Ом/□. Дальнейшее увеличение температуры зародышеобразования (нуклеационного роста) до Tn = 810°С не повлекло за собой улучшение транспортных свойств. ГС №160 демонстрирует посредственную холловскую подвижность (870 см2B–1c–1) при сравнимой с ГС №164 слоевой концентрации носителей (2,23 ∙ 1013 см–2), что соответствует значению сопротивления канала (322 Ом/□).
Для анализа качества GaN буфера образцы ГС были подвергнуты плазмохимическому травлению на глубину, обеспечивающую полное удаление нитрида алюминия (около 20 нм). Удельное сопротивление экспериментальных образцов после снятия барьера, рассчитанное исходя из результатов холловских измерений, также представлено в таблице 2. В работе получены ГС (№162 и 163), содержащие высокоомный GaN буфер со значением ρs ~ 108 Oм/□, 157 дополнительного легирования атомами углерода или железа. Причем при уменьшении температуры зародышеобразования (ГС №164 и 165) наблюдается существенная (на два-три порядка) деградация изолирующих свойств буферного слоя.
На втором этапе для оптимизации режимов формирования буферного слоя был выращен ряд образцов с различной <Ts> (средняя температура роста GaN буфера по ИК пирометру). <Ts> варьировалась от образца к образцу в диапазоне 745–760°С. В остальном процедура молекулярно-лучевой эпитаксии соответствовала условиям получения ГС № 163.
Экспериментальные данные о холловской подвижности (µH), слоевой концентрации носителей заряда (ns) и среднеквадратичной шероховатости поверхности (RMS) экспериментальных образцов данной серии сведены в табл. 3. Оценка среднеквадратичной (RMS) шероховатости поверхности ГС выполнена на основе результатов атомно-силовой микроскопии. АСМ-измерения осуществлялись в полуконтактном режиме с применением сканирующего зондового микроскопа “Solver Open” (НТ-МДТ) на воздухе при комнатной температуре. Использовались кантилеверы марки NSG01 (длина балки 125 мкм с коэффициентом жесткости 5,1 Н/м, резонансная частота 87–230 кГц, радиус кривизны острия 10 нм).
Таблица 3. Условия роста и параметры экспериментальных ГС AlN/GaN с различной <Ts>
№ ГС | <Ts> (°С) – Pyro | µH (см2B-1c-1) | ns (см-2) | ρ, Ом/□ | RMS, нм |
180 | 745 | 796 | 2,63∙1013 | 299 | 0,68 |
179 | 748 | 973 | 2,69∙1013 | 239 | – |
193 | 750,4 | 1018 | 2,63∙1013 | 234 | 0,65 |
163 | 753 | 1066 | 2,58∙1013 | 227 | 0,72 |
181 | 755 | 950 | 2,84∙1013 | 232 | 0,84 |
183 | 762 | 536 | 2,37∙1013 | 492 | 1,04 |
На рис. 3 а, б показаны зависимости подвижности 2DEG и слоевого сопротивления полной ГС (ρs), соответственно, от параметра <Ts>. Из представленных экспериментальных зависимостей следует, что ГС с наилучшими транспортными свойствами (ρ = 230–240 Ом/□) могут быть получены в диапазоне <Ts> ≈ 748–755°C. Причем со стороны высоких температур этот диапазон ограничен увеличением шероховатости ГС, что хорошо согласуется со сведениями о термической стабильности нитрида галлия [43] и с данными о вкладе шероховатости гетерограницы в рассеяние квазидвумерных носителей заряда [44].
Рис. 3. (а) зависимость подвижности 2DEG от параметра <Ts>; (б) зависимость слоевого сопротивления полной ГС от параметра <Ts>.
Со стороны меньших температур “окно” низкого слоевого сопротивления (выделено заливкой на рисунке 3, б) ограничено ухудшением изоляционных свойств GaN буфера. Доказательством данному утверждению служат результаты измерений тока утечки через тестовую структуру, топология которой приведена на рис. 4, а. Тест имел встречно-штыревую геометрию с общей длиной мезаструктуры ≈ 0,7 мм. Изоляция “левой” и “правой” гребенок выполнялась путем плазмохимического травления поверхности ГС на глубину до 90 нм через маску из фоторезиста.
На рис. 4, б представлена экспериментальная зависимость среднего (по пластине) тока утечки через тест при напряжении 30 В от параметра <Ts>. Увеличение проводимости буфера в низкотемпературной части графика обусловлено ростом концентрации собственных дефектов решетки GaN и сопровождается появлением у образцов фотолюминесценции в желто-оранжевой области спектра. Выход на плато при повышенных <Ts> вызван, по всей видимости, присутствием неконтролируемой фоновой примеси. В целом (по выборке) величина тока через тест для ГС №179 составила 8,8 ± 3 мкА, что при длине мезаструктуры ≈ 0,7 мм и напряжении питания 30 В приводит к удельному сопротивлению ~ 106 Ом∙мм. Тогда как у образца № 181 средняя величина тока утечки равна 4,7 ± 2 нА, а удельное сопротивление изоляции (~ 109 Ом∙мм) является достаточным [14] для практического применения.
Рис. 4. (а) топология тестовой структуры, (б) экспериментальная зависимость среднего (по выборке) тока утечки через тест мезаизоляции от параметра <Ts>.
ПОЛУЧЕНИЕ И ИССЛЕДОВАНИЕ ТЕСТОВЫХ НЕМТ-ТРАНЗИСТОРОВ С ЗАТВОРОМ ШОТТКИ
На основе экспериментальной ГС, обладающей наилучшими электрофизическими параметрами (ГС №163), были изготовлены тестовые НЕМТ-транзисторы с затвором Шоттки. Процесс изготовления HEMT-транзисторов (постростовой процессинг) включал следующие основные технологические операции:
– формирование межприборной изоляции методом плазмохимического травления в среде BCl3/Ar через предварительно нанесенную резистивную маску (S1818) на глубину 70–90 нм;
– фотолитография омических контактов под “lift-off” процесс (LOR 5A);
– резистивное напыление омических контактов Ti(30 нм)/Al(90 нм)/Ni(50 нм)/Au(110 нм), “взрыв” и вжигание металлизации при 750°C в течение 30 с (быстрый термический отжиг в среде N2);
– электронно-лучевая литография грибообразных затворов с применением трехслойной системы резистов PMMA/PMGI/РММА, последующее нанесение затворной металлизации Ni(40 нм)/Au(350 нм)/Ti (15 нм) посредством “lift-off” процесса;
– пассивация поверхности пластины путем плазмохимического осаждения слоя нитрида кремния толщиной около 100 нм, вскрытие окон в диэлектрике;
– формирование электрических межсоединений (для тестовых структур применялся один уровень металлизации Ti(10 нм)/Au(400 нм)/Ti(10 нм)).
Сформированные тестовые модули содержали как транзисторы упрощенной прямоугольной геометрии с шириной затвора Wg = 50 мкм для измерения статических ВАХ, так и секционированные структуры с Wg = 2×50 мкм и топологией, обеспечивающей применение GSG зондовых головок для измерения S-параметров. Расстояние “исток-сток” в обоих случаях составляло 3 мкм. Параметр длины затвора Lg, обеспеченный использованием электронно-лучевой литографии, равен ≈ 150 нм (рис. 5).
Рис. 5. (а) РЭМ изображение топологии тестового транзистора; (б) РЭМ изображение поперечного среза (ФИП) его затворной части (Т-образный затвор)
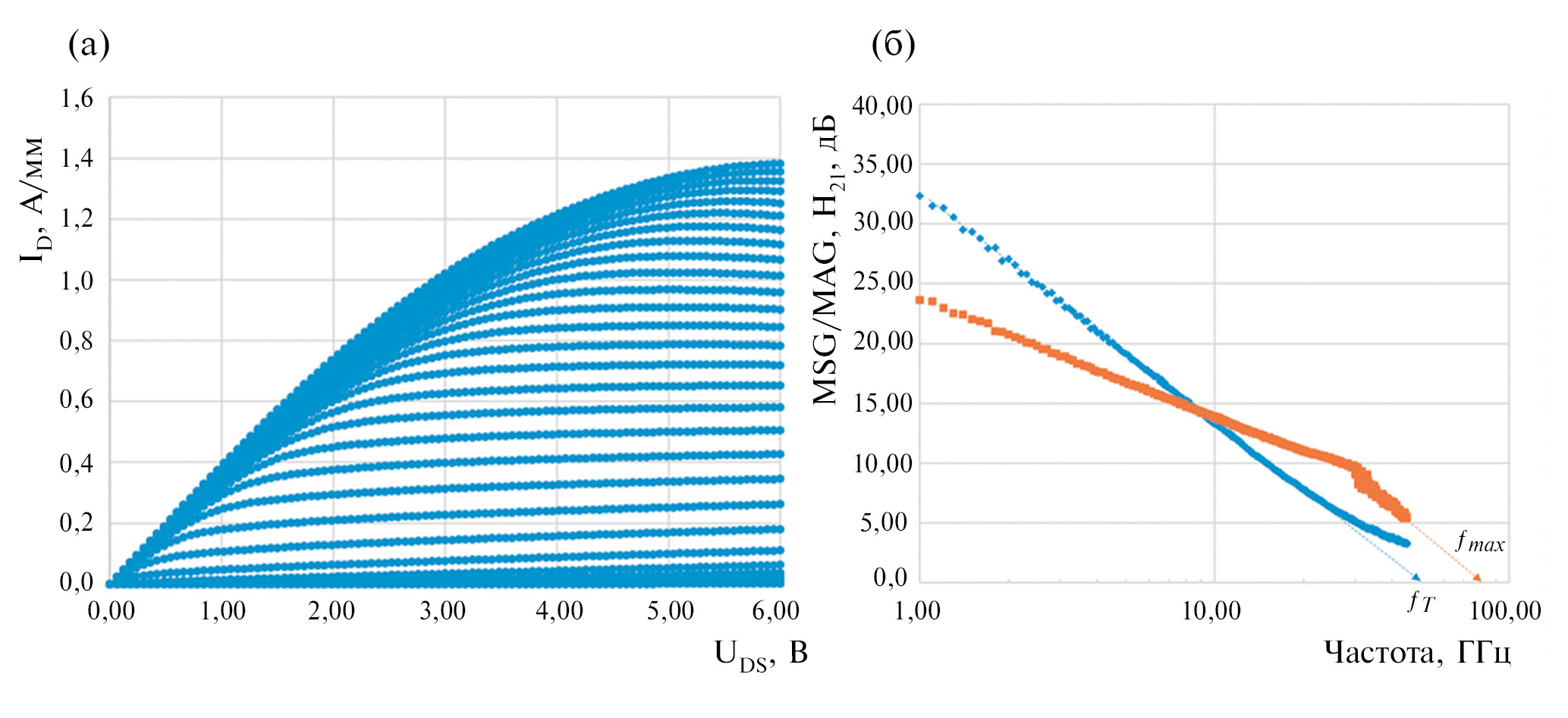
Измерения статических ВАХ (входной, выходной и передаточной характеристик) осуществлялись с помощью анализатора полупроводниковых приборов В1500А (“Agilent/Keysight”) и зондовой станции ЕР6 (“Cascade Microtech”). Анализ статических ВАХ изготовленных приборов (рис. 6, а) показал, что они имеют максимальный ток насыщения стока до 1,4 А/мм (при UGS = +2,5 В), крутизну характеристики Gm до 330 мСм/мм и сопротивление в открытом состоянии Ron до 2,6 Ом∙мм. Средние значения рассматриваемых параметров для всей выборки тестовых модулей составили 1,27 ± 0,07А/мм, 306 ± 18 мСм/мм и 2,9 Ом·мм ± 0,3, соответственно. Пороговое напряжение Uth ≈ –3,2 В (определено по точке максимальной крутизны).
Рис. 6. Семейство выходных (DC) характеристик одного из тестовых транзисторов (при изменении напряжения на затворе UGS от – 7,0 до + 2,5 В) (а); типичные частотные зависимости модуля коэффициента передачи по току (|h21|) и максимально достижимого/стабильного коэффициента усиления по мощности (MAG/MSG) тестового транзистора (б).
Для анализа работоспособности транзисторов в СВЧ-диапазоне выполнялись измерения S-параметров экспериментальных структур в двухcекционном исполнении с Wg = 2 × 50 мкм. Измерения осуществлялись с помощью высокопрецизионного векторного анализатора цепей PNA-X N5245A (“Agilent/Keysight”) и зондовой станции PM8 (“Cascade Microtech”) в импульсном режиме в частотном диапазоне 0,5–45 ГГц и при мощности СВЧ-сигнала – 10 дБм. Оценка предельных частот усиления по току ft и мощности fmax приводит к значениям 50 и 80 ГГц, соответственно (рисунок 6, б). Максимальный стабильный коэффициент усиления на частоте 20 ГГц составил 11–12 дБ.
ПАРАМЕТРИЧЕСКАЯ МОДЕЛЬ HEMT НА ОСНОВЕ ALN/GAN ГС
На следующе этапе технологического маршрута путем соединения контактов истока воздушными мостами формировались “многопальцевые” затворы секционированных транзисторов. Топология полученных 4-х и 6-секционных транзисторов приведена на рис. 7.
Рис. 7. Топология 4-х (а) и 6-секционного (б) транзисторов с межсоединениями в виде воздушных мостов (изображения получены с помощью оптической микроскопии).
Для характеризации экспериментальных образцов были проведены измерения ВАХ и S-параметров тестового транзистора с шестью затворными секциями шириной 50 мкм. Исследования проводились в частотном диапазоне от 0,5 до 25,5 ГГц. В процессе работы были рассмотрены модели Angelov2, Fujii и EEHEMT, успешно применяемые для параметризации HEMT [45, 46]. Ключевые величины модели определялись путем экстракции внешних и внутренних параметров аналогично методике, представленной в работе [47]. Наилучшую сходимость продемонстрировала модель Angelov2. Процедура ее оптимизации позволила минимизировать расхождения с экспериментальными данными и достичь совпадения характеристик на уровне не менее 92%. В частности, зависимость величины тока стока для модели Angelov2 определяется следующим выражением:
где UСИ – напряжение сток-исток, Ψ – функция степенного ряда, содержащего варьируемые параметры, Ipk0, α, λ – параметры модели, описывающие поведение характеристики тока стока в области насыщения (табл. 4).
Таблица 4. Значения коэффициентов в модели Angelov2
Ipk0, мкА | α, В-1 | λ, В-1 |
100 | 0,38 | 0,05 |
На рис. 8 представлены экспериментальные и рассчитанные значения S-параметров транзистора, измеренные в точке с наибольшей крутизной: при напряжении на затворе UGS = –2,75 В и напряжении сток-исток UDS = 5 В.
Рис. 8. S-параметры AlN/GaN HEMT в диапазоне частот 0,5–25,5 ГГц при UGS = –2,75 В и UDS = 5 В (сплошными линиями изображены измеренные характеристики, пунктирными – результаты моделирования).
Как видно из рисунка 8, модель AlN/GaN HEMT позволяет охарактеризовать транзистор в высокочастотном диапазоне (Х-диапазоне) с погрешностью около 3%, что находится в пределах допустимой ошибки измерений. Некоторые расхождения в низкочастотной области (менее 4 ГГц) связаны с особенностями настройки измерительного стенда.
ЗАКЛЮЧЕНИЕ
Методом молекулярно-лучевой эпитаксии с плазменной активацией азота получены AlN/GaN НЕМТ гетероструктуры (ГС), содержащие ультратонкий барьер AlN (5 нм). Исследовано влияние режимов нуклеации и роста буферного слоя на кристаллическое качество, морфологию поверхности и электрофизические свойства экспериментальных ГС. Слоевое сопротивление оптимизированной ГС составило менее 230 Ом/□. Сопротивление мезаизоляции, характеризующее изоляционные свойства буфера ~ 109 Ом∙мм.
На основе оптимизированных ГС были изготовлены тестовые СВЧ транзисторы с затвором Шоттки (Lg ≈ 150 нм). Анализ характеристик тестовых приборов показал, что они имеют максимальный ток насыщения стока до 1,4 А/мм (при UGS = +2,5 В), крутизну характеристики Gm до 330 мСм/мм и сопротивление в открытом состоянии до Ron = 2,6 Ом∙мм. Предельные частоты усиления по току ft и по мощности fmax достигают 50 и 80 ГГц, соответственно.
Предложена параметрическая модель HEMT на основе AlN/GaN ГС, позволяющая описать поведение транзистора в Х-диапазоне частот с погрешностью около 3%. Модель может быть использована в коммерческих САПР при проектировании СВЧ МИС.
ФИНАНСИРОВАНИЕ
Работа выполнена с применением оборудования центра коллективного пользования “Гетероструктурная СВЧ-электроника и физика широкозонных полупроводников” НИЯУ МИФИ в рамках государственного задания (код проекта FSWU-2023-0088).
КОНФЛИКТ ИНТЕРЕСОВ
Авторы заявляют, что у них нет конфликта интересов.
About the authors
A. S. Gusev
National Research Nuclear University MEPhI
Author for correspondence.
Email: ASGusev@mephi.ru
Russian Federation, Moscow
A. O. Sultanov
National Research Nuclear University MEPhI
Email: ASGusev@mephi.ru
Russian Federation, Moscow
R. V. Ryzhuk
National Research Nuclear University MEPhI
Email: ASGusev@mephi.ru
Russian Federation, Moscow
T. N. Nevolina
National Research Nuclear University MEPhI
Email: ASGusev@mephi.ru
Russian Federation, Moscow
D. Tsunvaza
National Research Nuclear University MEPhI
Email: ASGusev@mephi.ru
Russian Federation, Moscow
G. K. Safaraliev
National Research Nuclear University MEPhI
Email: ASGusev@mephi.ru
Russian Federation, Moscow
N. I. Kargin
National Research Nuclear University MEPhI
Email: ASGusev@mephi.ru
Russian Federation, Moscow
References
- I.P. Smorchkova, S. Keller, S. Heikman et al. Two-dimensional electron-gas AlN/GaN heterostructures with extremely thin AlN barriers // Appl. Phys. Lett. – 2000. – V. 77. – I. 24. – pp. 3998–4000. https://doi.org/10.1063/1.1332408
- Yu Cao and Debdeep Jena. High-mobility window for two-dimensional electron gases at ultrathin AlN∕GaN heterojunctions // Appl. Phys. Lett. – 2007. – V. 90. – I. 18. – article ID 182112. https://doi.org/10.1063/1.2736207
- D.J. Meyer et al., High electron velocity submicrometer AlN/GaN MOS-HEMTs on freestanding GaN substrates // in IEEE Electron Device Letters. – 2013. – V. 34. – № 2. – pp. 199–201. doi: 10.1109/LED.2012.2228463.
- J.S. Xue, J.C. Zhang, Y. Hao, Ultrathin barrier AlN/GaN high electron mobility transistors grown at a dramatically reduced growth temperature by pulsed metal organic chemical vapor deposition // Appl. Phys. Lett. – 2015. – V. 107. – I. 4. – article ID 043503. https://doi.org/10.1063/1.4927743
- O. Ambacher, J. Smart, J.R. Shealy et al. Two-dimensional electron gases induced by spontaneous and piezoelectric polarization charges in N- and Ga-face AlGaN/GaN heterostructures // J. Appl. Phys. – 1999. – V. 85. – pp. 3222–3233. https://doi.org/10.1063/1.369664
- Y. Cao, K. Wang, G. Li et al. MBE growth of high conductivity single and multiple AlN/GaN heterojunctions // Journal of Crystal Growth. – 2011. – V. 323. – I. 1. – pp. 529–533. https://doi.org/10.1016/j.jcrysgro.2010.12.047
- X. Luo et al. Scaling and high-frequency performance of AlN/GaN HEMTs // in IEEE International Symposium on Radio-Frequency Integration Technology. – 2011. – pp. 209–212. doi: 10.1109/RFIT.2011.6141776.
- K. Harrouche, R. Kabouche, E. Okada et al. High performance and highly robust AlN/GaN HEMTs for millimeter-wave operation // in IEEE Journal of the Electron Devices Society. – 2019. – V. 7. – pp. 1145–1150. doi: 10.1109/JEDS.2019.2952314
- I.P. Smorchkova et al. AlN/GaN and (Al, Ga)N/AlN/GaN two-dimensional electron gas structures grown by plasma-assisted molecular-beam epitaxy // Journal of Applied Physics. – 2001. – V. 90. – №10 – pp. 5196–5201. https://doi.org/10.1063/1.1412273
- T. Zimmermann et al. AlN/GaN Insulated-gate HEMTs with 2,3 A/mm output current and 480 mS/mm transconductance // IEEE Electron Device Letters. – 2008. – V. 29. – № 7. – pp. 661–664. https://ieeexplore.ieee.org/document/4558119
- C.Y. Chang et al. Very low sheet resistance AlN/GaN high electron mobility transistors // Proc. CS MANTECH Conference. – 2009. – pp. 18–21.
- D. Yu. Protasov, T.V. Malin, A.V. Tikhonov et al. Scattering of 2DEG electrons in AlGaN/GaN heterostructures // Fizika I Tehnika Poluprovodnikov (Phys. and Tech. of Semicon.). – 2013. – V. 47(1), – pp. 36–47
- S. Mukhopadhyay, C. Liu, J. Chen et al. Crack-free high-composition (> 35%) thick-barrier (>30 nm) AlGaN/AlN/GaN high-electron-mobility transistor on sapphire with low sheet resistance (< 250 Ω/□) // Crystals. – 2023. – V. 13(10). – Article ID 1456. https://doi.org/10.3390/cryst13101456
- S. Müller, K. Köhler, R. Kiefer et al. Growth of AlGaN/GaN based electronic device structures with semi-insulating GaN buffer and AlN interlayer // Phys. Stat. Sol. (C). – 2005. – V. 2. – № 7. – pp. 2639–2642. https://doi.org/10.1002/pssc.200461288
- R.K. Kaneriya, C. Karmakar, G. Rastogi et al. Influence of AlN spacer and GaN cap layer in GaN heterostructure for RF HEMT applications // Microelectronic engineering. – 2022. – V. 255. – Article ID 111724. https://doi.org/10.1016/j.mee.2022.111724
- D.F. Storm, D.S. Katzer, S.C. Binari et al. Room temperature Hall mobilities above 1900 cm2/(V∙s) in MBE-grown AlGaN/GaN HEMT structures // Electronics letters. – 2004. – V. 40. – I. 19. – pp. 1226 – 1227. doi: 10.1049/el:20045859
- D.F. Storm, D.S. Katzer, J.A. Mittereder et al. Growth and characterization of plasma-assisted molecular beamepitaxial-grown AlGaN/GaN heterostructures on free-standing hydride vapor phase epitaxy GaN substrates // Journal of vacuum science & technology B. – 2005. – V. 23. – № 3. – pp. 1190–1193. https://doi.org/10.1116/1.1885013
- Y.-K. Noh, S.-T. Lee, M.-D. Kim et al. High electron mobility transistors with Fe-doped semi-insulating GaN buffers on (110) Si substrates grown by ammonia molecular beam epitaxy // Journal of crystal growth. – 2019. – V. 509. – pp. 141–145. https://doi.org/10.1016/j.jcrysgro.2018.07.016.
- S. Wu, X. Ma, L. Yang et al. A millimeter-wave AlGaN/GaN HEMT fabricated with transitional-recessed-gate technology for high-gain and high-linearity applications // IEEE Electron device letters. – 2019. – V. 40. – № 6. – pp. 846–849. doi: 10.1109/LED.2019.2909770
- Y. Cordier, M. Portail, S. Chenot et al. AlGaN/GaN high electron mobility transistors grown on 3C-SiC/Si(111) // Journal of crystal growth. – 2008. – V. 310. – I. 20. – pp. 4417–4423. https://doi.org/10.1016/j.jcrysgro.2008.07.063.
- Y. Cordier, J.-C. Moreno, N. Baron et al. Demonstration of AlGaN/GaN high-electron-mobility transistors grown by molecular beam epitaxy on Si(110) // IEEE Electron device letters. – 2008. – V. 29. – № 11. – pp. 1187 – 1189. doi: 10.1109/LED.2008.2005211.
- Z. Chen, Y. Pei, S. Newman et al. Growth of AlGaN/GaN heterojunction field effect transistors on semi-insulating GaN using an AlGaN interlayer // Appl. phys. lett. – 2009. – V. 94. – article ID 112108. https://doi.org/10.1063/1.3103210
- L. Guo, X. Wang, C. Wang et al. The influence of 1 nm AlN interlayer on properties of the Al0.3Ga0.7N/AlN/GaN HEMT structure // Microelectronics journal. – 2008. – V. 39. – I. 5. – pp. 777–781. https://doi.org/10.1016/j.mejo.2007.12.005.
- C. Wang, H.-T. Hsu, T.-J. Huang et al. Effect of AlN Spacer on the AlGaN/GaN HEMT Device Performance at Millimeter-Wave Frequencies // 2018 Asia-Pacific microwave conference (APMC). – 2018. – pp. 1208–1210. doi: 10.23919/APMC.2018.8617568
- X. Wang, G. Hu, Z. Ma et al. AlGaN/AlN/GaN/SiC HEMT structure with high mobility GaN thin layer as channel grown by MOCVD // Journal of crystal growth. – 2007. – V. 298. – pp. 835–839. https://doi.org/10.1016/j.jcrysgro.2006.10.219.
- R.S. Balmer, K.P. Hilton, K.J. Nash et al. Analysis of thin AlN carrier exclusion layers in AlGaN/GaN microwave heterojunction field-effect transistors // Semiconductor science and technology. – 2004. – V. 19. – № 6. – pp. L65-L67. doi: 10.1088/0268-1242/19/6/L02
- Ma Zhi-Yong, Wang Xiao-Liang, Hu Guo-Xin et al. Growth and Characterization of AlGaN/AlN/GaN HEMT structures with a compositionally step-graded AlGaN barrier layer // Chinese physics letters. – 2007. – V. 24. – № 6. – pp. 1705–1708.
- W. Xiaoliang, H. Guoxin, M. Zhiyong et al. MOCVD-grown AlGaN/AlN/GaN HEMT structure with high mobility GaN thin layer as channel on SiC // Chin. J. semicond. – 2006. – V. 27. – I. 9. – pp. 1521–1525.
- M. Gonschorek, J.-F. Carlin, E. Feltin et al. High electron mobility lattice-matched AlInN∕GaN field-effect transistor heterostructures // Appl. Phys. Lett. – 2006. – V. 89. – article ID 062106. https://doi.org/10.1063/1.2335390
- M. Hiroki, N. Maeda, T. Kobayashi, Fabrication of an InAlN/AlGaN/AlN/GaN heterostructure with a flat surface and high electron mobility // Applied Physics Express. – 2008. – V. 1. – № 11. – article ID 111102. https://doi.org/10.1143/APEX.1.111102
- J. Kuzmik, G. Pozzovivo, S. Abermann et al. Technology and performance of InAlN/AlN/GaN HEMTs with gate insulation and current collapse suppression using ZrO2 or HfO2 // IEEE Transactions on Electron Devices. – 2008. – V. 55. – №3. – pp. 937–941. doi: 10.1109/TED.2007.915089.
- J. Guo, Y. Cao, C. Lian et al. Metal-face InAlN/AlN/GaN high electron mobility transistors with regrown ohmic contacts by molecular beam epitaxy // Phys. Status Solidi (A). – 2011. – V. 208. – № 7. – pp. 1617–1619. https://doi.org/10.1002/pssa.201001177
- Y. Yue, Z. Hu, J. Guo et al. Ultrascaled InAlN/GaN high electron mobility transistors with cutoff frequency of 400 GHz // Japanese Journal of Applied Physics. – 2013. – V. 52. – № 8S. – article ID 08JN14. https://doi.org/10.7567/JJAP.52.08JN14
- T. Han, S. Dun Y. Lu et al. 70-nm-gated InAlN/GaN HEMTs grown on SiC substrate with fT/fmax > 160 GHz // Journal of Semiconductors. – 2016. – V.37. – № 2. – article number 024007. https://doi.org/10.1088/1674-4926/37/2/024007
- A. Malmros, J.-T. Chen, H. Hjelmgren et al. Enhanced mobility in InAlN/AlN/GaN HEMTs using a GaN interlayer // IEEE Transactions on Electron Devices. – 2019. – V. 66. – I.7. – pp. 2910–2915. doi: 10.1109/TED.2019.2914674
- F. Medjdoub, R. Kabouche, A. Linge et al. High electron mobility in high-polarization sub-10 nm barrier thickness InAlGaN/GaN heterostructure // Applied Physics Express. – 2015. – V. 8. – № 10. – article ID 101001. https://doi.org/10.7567/APEX.8.101001
- G. Zhu, K. Zhang, Y. Kong et al. High electron mobility in high-polarization sub-10 nm barrier thickness InAlGaN/GaN heterostructure // Applied Physics Express. – 2017. – V. 10. – № 11. – article ID 114101. https://doi.org/10.7567/APEX.10.114101
- J. Kotani, A. Yamada, T. Ohki et al. Recent advancement of GaN HEMT with InAlGaN barrier layer and future prospects of A1N-based electron devices // IEEE International Electron Devices Meeting (IEDM). – 2018. – pp. 30.4.1–30.4.4. doi: 10.1109/IEDM.2018.8614519
- I. Sanyal, Y.-C. Lee, Y.-C. Chen et al. Achieving high electron mobility in AlInGaN/GaN heterostructures: the correlation between thermodynamic stability and electron transport properties // Appl. Phys. Lett. – 2019. – V. 114. – article ID 222103. https://doi.org/10.1063/1.5090874
- S. Burnham, W. Doolittle, In situ growth regime characterization of AlN using reflection high energy electron diffraction // Journal of vacuum science & technology B. – 2006. – V. 24. – pp. 2100–2104.
- S. Burnham, G. Namkoong, K. Lee et al. Reproducible reflection high energy electron diffraction signatures for improvement of AlN using in situ growth regime characterization // Journal of Vacuum Science & Technology B. – 2007. – V. 25. – pp. 1009–1013.
- A.R. Smith, R.M. Feenstra, D.W. Greve et al. Determination of wurtzite GaN lattice polarity based on surface reconstruction // Appl. Phys. Lett. – 1998. – V. 72. – I.17 – pp. 2114 – 2116. https://doi.org/10.1063/1.121293
- S. Fernández-Garrido, G. Koblmüller, E. Calleja et al. In situ GaN decomposition analysis by quadrupole mass spectrometry and reflection high-energy electron diffraction // Journal of applied physics. – 2008. – V. 104. – article ID 033541 https://doi.org/10.1063/1.2968442
- A.S. Gusev, A.O. Sultanov, A.V. Katkov et al. Analysis of carrier scattering mechanisms in AlN/GaN HEMT heterostructures with an ultrathin AlN barrier // Russian Microelectronics. – 2024. – V. 53. – № 3. – pp. 252–259.
- I. Angelov, H. Zirath, N. Rosman, A new empirical nonlinear model for HEMT and MESFET devices // IEEE Transactions on microwave theory and techniques. – 1992. – V. 40. – № 12. – pp. 2258–2266
- K. Fujii, Y. Hara, F.M. Ghannouchi et al. A nonlinear GaAs FET model suitable for active and passive mm-wave applications. – 2000. – IEICE Trans. – V. E83-A. – № 2. – p. 228.
- D. Tsunvaza, R.V. Ryzhuk, I.S. Vasil’evskii et al. The design of nonlinear model of pseudomorphic 0,15 μm рHEMT AlGaAs/InGaAs/GaAs transistor // Russian microelectronics. – 2023. – V. 52. – №3. pp. 160–166. https://doi.org/10.1134/S1063739723700415
Supplementary files










