Mathematical modeling of a microprocessor liquid cooling system
- Authors: Andreev А.I.1, Semenov A.E.1
-
Affiliations:
- Russia Federal State Budgetary Educational Institution of Higher Education, Astrakhan State Technical
- Issue: Vol 53, No 5 (2024)
- Pages: 397-406
- Section: МОДЕЛИРОВАНИЕ
- URL: https://bakhtiniada.ru/0544-1269/article/view/281161
- DOI: https://doi.org/10.31857/S0544126924050056
- ID: 281161
Cite item
Full Text
Abstract
This work examines the efficiency of the microprocessor-cooling system and maintaining the optimal temperature of electronic components. To do this, experiments were carried out on the existing microprocessor cooling system with control of all main parameters, primarily such as temperature and coolant flow, performance and temperature of the processor. Based on the data obtained, a mathematical model was built that describes the change in microprocessor power and allows one to calculate the temperatures and speeds of coolants, as well as obtain the most effective modes for the operation of the cooling system. The obtained experimental data and mathematical model make it possible to predict the required power of the cooling system and the operating parameters of microelectronic components, which is especially important when new generations of microprocessors with the highest performance appear. The data obtained also makes it possible to calculate parameters for existing processors in order to maximize the efficiency and reliability of their operation, which is also relevant for other electronic devices, in particular microcontrollers.
Full Text
1. Введение
Стабильная работа микропроцессоров и микроконтроллеров неразрывно связана с поддержанием основных параметров их работоспособности, таких как бесперебойность питания и обеспечения оптимального теплового режима. Последнее является наиболее важным фактором, в частности, прогнозирования отказов оборудования микроэлектронной техники и разрушения основных элементов микроструктуры. В работе [1] детально описаны наиболее распространённые механизмы деградации процессоров вследствие перегрева и перегрузки. В первую очередь страдают такие элементы как металлические шины и поканальные транзисторы. Со временем под воздействием токов можно наблюдать такой процесс, как электромиграция. Вследствие электромиграции возможно появление утолщений, скоплений атомов металла в одном месте. Из-за высокой плотности металлической разводки (соседние металлические шины расположены на минимально допустимом по технологии расстоянии) утолщение одной из шин может привести к возникновению короткого замыкания с соседней шиной. Это может привести, как к повышению токов утечки, так и к полному отказу какого-то блока схемы или даже всей схемы.
Подобные опасности возникают, если система охлаждения подобрана неправильно, либо её параметры работы резко упали вследствие той или иной причины, например, загрязнения.
Обеспечение долгосрочной, или «пожизненной», надежности, обусловленной низкой частотой ошибок из-за отказов, связанных с износом, является важнейшим требованием для всех производителей микропроцессоров. Однако постоянное масштабирование технологий в сочетании с увеличением плотности мощности процессоров ставит под угрозу высокие стандарты надежности на протяжении всего срока службы, которых ожидают клиенты. Это привело к тому, что Международная технологическая дорожная карта для полупроводников (ITRS) предсказала возникновение серьезных проблем с надежностью в течение всего срока службы, причем такими темпами, которые не наблюдались в прошлом [2].
Это в первую очередь связано с быстрым ростом производительности микропроцессоров, в частности, для CPU персональных компьютеров. Так за последние несколько десятилетий произошел революционный рост производительности компьютеров. Следуя закону Мура [3], полупроводниковая промышленность успешно удваивала плотность транзисторов каждые два года, а микропроцессоры стали флагманским продуктом, успешно используя повышение производительности с каждым новым поколением технологий [4].
Управление температурным режимом имеет важное значение для обеспечения надежной и долгосрочной работы всей микроархитектуры. Существует много различных способов отведения тепла от микропроцессора. Наиболее распространённые в последнее время это воздушные и жидкостные системы охлаждения.
Воздушное охлаждение требует больших открытых каналов для направления воздушного потока на платы, внутри корпуса и между серверными стойками. Вентиляторы потребляют много энергии, шумят и неустанно вытягивают пыль и другие загрязнения в корпуса компьютеров. Вентиляторы охлаждают только те области, по которым поток воздуха может эффективно перемещаться. Воздушное охлаждение требует больших радиаторов, которые увеличивают стоимость и вес системы и тратят огромное количество места. Вентиляторы и воздушное охлаждение переносят тепло в окружающую атмосферу вокруг компьютера, где оно рециркулируется в систему, что еще больше снижает эффективность, и обрабатывается с помощью энергозатратных систем отопления, вентиляции и кондиционирования. Безвентиляторные системы охлаждения обычно отдают тепло непосредственно в окружающую атмосферу через корпус компьютера. Проблема этого метода состоит в том, что фактическое тепло для передачи происходит только с очень маленькой площади поверхности, что сильно ограничивает эффективность системы охлаждения. Для эффективного рассеивания этого тепла требуются лучшие инженерные и теплопроводящие материалы, чтобы распространить тепло на большую площадь, где оно может передаваться в окружающий воздух. Эти условия обычно диктуют, что в таких системах могут использоваться только процессоры с более низкой мощностью и низким уровнем нагрева [5–6].
Эти недостатки приводят к тому, что для высокопроизводительных процессоров, выше 13 поколения, воздушные системы охлаждения не рекомендованы для использования.
Им на смену пришли быстроразвивающиеся системы жидкостного охлаждения. Преимуществом системы жидкостного охлаждения является возможность установки ее в ограниченном пространстве корпуса. В отличие от воздуха, трубы с жидкостью можно устанавливать практически в любом направлении. Еще одним преимуществом этой системы является ее бесшумность. Очень часто, насосы обеспечивают циркуляцию потока воды через систему, не создавая шума больше, чем повышение значение на 25 дБ. Недостаток – высокая стоимость установки [7–9].
Существует множество исследований по жидкостному охлаждению CPU с использованием различных методов охлаждения. В некоторых исследованиях воздушное охлаждение используется для сравнения предлагаемых методов. Для увеличения теплопередачи предлагается множество методов, таких как орошение жидкостью, термосифон, радиатор и жидкостное охлаждение с использованием теплообменника. Более того, многие исследователи также изучали различные конфигурации систем охлаждения. Помимо методов жидкостного охлаждения, для жидкостного охлаждения процессора было изучено множество типов рабочих жидкостей. В последние годы растет интерес к наножидкостям в качестве рабочей жидкости для теплопередачи [8, 10–11].
Всё это приводит к тому, что для получения наиболее эффективного метода охлаждения в системах с жидкостью, требуется детальное исследование системы отвода тепла и поведения микропроцессора.
В данной работе рассмотрена работа жидкостной системы охлаждения, при различных параметрах расхода и температурах охлаждения и построена математическая модель процесса, позволяющая детально исследовать недостатки жидкостных систем охлаждения и проводить расчёт с целью сокращения их стоимости для конечного потребителя.
Для этого был разработан экспериментальный стенд и методика исследования.
2. Материалы и методы
На первом этапе использовалась базовая система водяного охлаждения – Thermaltake Floe RC240 Memory & CPU AIO Liquid Cooler.
Для контроля параметров температуры внутри контура были установлены термопары типа К. В качестве измерителя использовался комплекс измерения – В7–78/1 с точностью измерения 0,1 °C. В качестве объекта охлаждения был выбран процессор Intel i7 core 13700k OEM имеющий TDM с базовым тепловыделением 125 Вт. Данный процессор испытывался в стресс-режиме.
Также измерялись параметры основных теплоносителей – жидкости в гидравлическом контуре (воды) и воздуха через воздушный радиатор системы. Для контроля расхода воды использовался ротаметр – Raifil проточный FM02, для контроля скорости и температуры воздуха – термоанемометр DT-8880. Температура окружающей среды составляла 25–30 °C. Стресс режим и отслеживание температуры процессора проводилось с помощью программы AIDA64. На рис. 1 показаны температуры процессора и выделяемая мощность при введении в стресс-режим.
Рис. 1. Изменение температуры основных компонентов и ядер процессора (а), мощности процессора (б) и частоты (в) от времени
На втором этапе проводились эксперименты с контролем температуры и расхода воды на входе в теплообменник водоблока при охлаждении процессора. Температура процессора в ходе эксперимента изменялась в интервале от +38 – +97 °C. Для понижения температуры использовался охлаждённый теплоноситель (вода) в интервале от +7 до +52 °C, для получения стабильной температуры воды использовался термостат с холодильной машиной и нагревателем. Постоянство расхода обеспечивалось работающей помпой и регулирующим вентилем. Расход теплоносителя через водоблок процессора контролировался с помощью ротаметра в пределах от 0,3 до 1,5 л/мин и регулировался с помощью регулирующего вентиля. Контроль температуры на входе и выходе в водоблок и внутри термостата производился по термопарам. На рис. 2 показана схема экспериментального стенда для исследования температурного режима работы микропроцессора.
Рис. 2. Стенд для исследования охлаждения процессора компьютера: 1 –теплообменник на процессоре, 2 – помпа (насос), 3 – ротаметр, 4, 6, 12, 13 – термопары, 5 – запорный вентиль, 7 – расширительный бак, 8 – термостат с мешалкой с теплоэлектронагревателем и змеевиком холодильного агента, (холодильная машина), 9 – крышка для сепарации воздуха, 10, 11 – регулирующие вентили, 14 – нагреватель
Стенд работает следующем образом:
Теплоноситель (вода) из бака 7 поступает в змеевик внутри термостата 8 Теплоноситель из термостата, где, охлаждаясь или нагреваясь до необходимой температуры поступает к помпе (насосу) 2 откуда через ротаметр 3 и запорный вентиль 11 поступает в теплообменник 1 системы охлаждения процессора. Контроль входной и выходной температуры осуществляется по термопарам 4 и 6. Затем нагретая вода через поступает обратно в бак 7. Термостат 8 до температуры +7 °C охлаждается с помощью хладоносителя, который входит через открытый запорный вентиль 5 и выходит через регулирующий клапан 10. Контроль температуры внутри термостат производится по термопарам 12 и 13 установленный в верхней и нижней части термостата.
Полученные на обоих этапах эксперимента данные обрабатывались и анализировались.
3. Экспериментальные данные
Для построения тепловой модели на первом этапе и нахождения параметров измерялись температуры жидкости и воздуха в системе охлаждения.
На рис. 3 показаны экспериментальные данные по изменению параметров теплоносителя. Отсчёт температуры начинался и при её росте, и после установления режима охлаждения, при котором изменения температур теплоносителей практически не было.
Рис. 3. Изменение температуры в жидкостной системе охлаждения: □ – температура на входе в радиатор, ‒ – температура на выходе из радиатора, ° – температура на входе в водоблок, ◊ – температура на выходе из водоблока, ∆ – температура на входе воздуха в вентилятор,× – температура на выходе воздуха из вентилятор
При охлаждении жидким теплоносителем важную роль играет также гидродинамика потока, так как от температурного режима и скорости течения жидкости зависят коэффициенты теплоотдачи и теплопередачи, что влияет на эффективность теплоотвода.
Поэтому, для правильного построения тепловой модели исследовалась также гидродинамика в контуре жидкостного охлаждения, в первую очередь в теплообменнике водоблока, который установлен на процессоре. Данные, снятые с системы охлаждения Thermaltake Floe RC240 Memory & CPU AIO Liquid Cooler показали расход 0.3 литр/с. Эти сведения позволяют построить зависимости и математические модели для контура охлаждения.
На втором этапе исследования также контролировалась температура входящего теплоносителя с высокой точностью для определения оптимальных режимов охлаждения, для более точной верификации и построения математической модели.
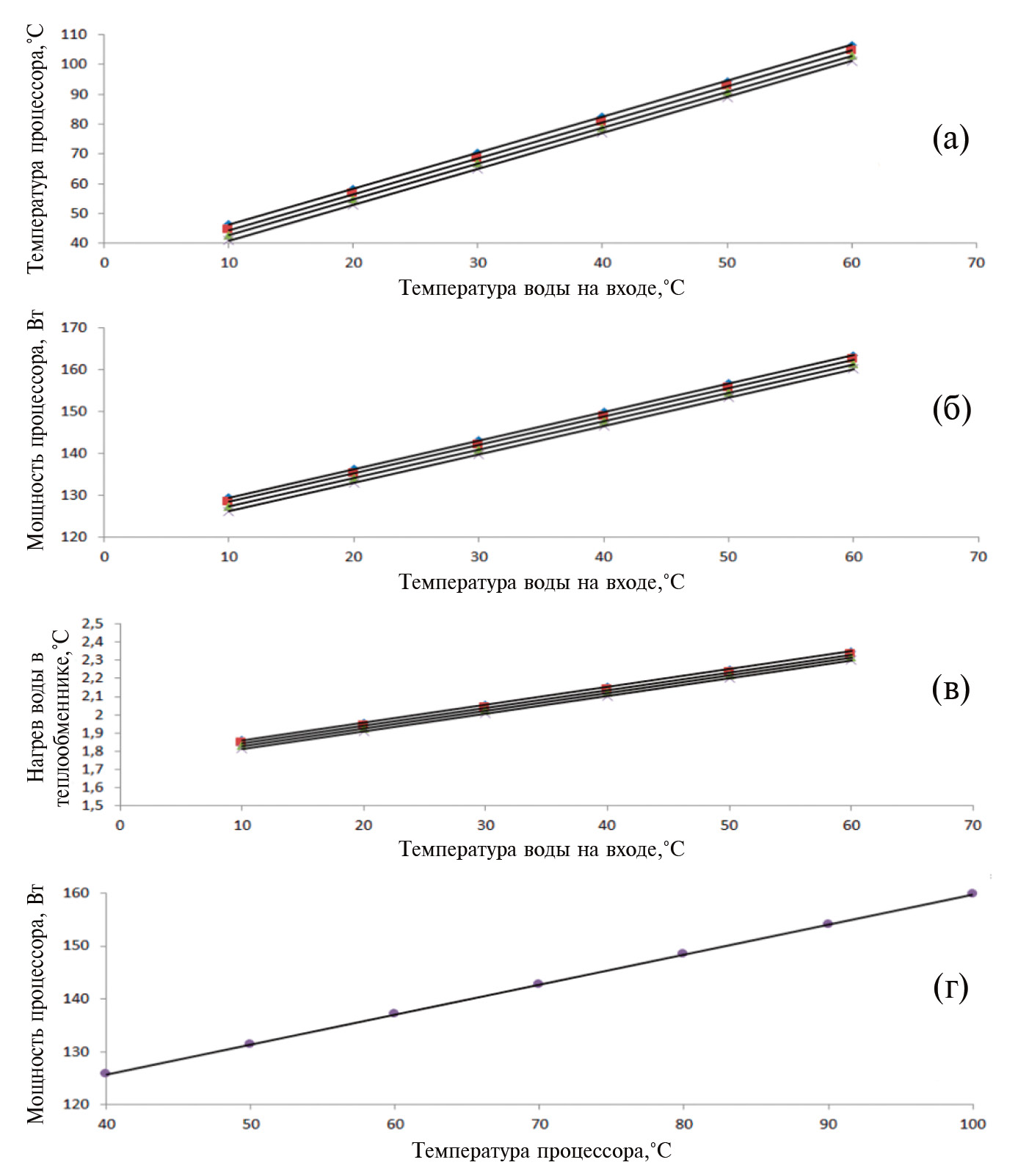
Полученные данные температуры и мощности процессора при различной температуре охлаждающей воды приведены на рис. 4.
Рис. 4. Зависимость температуры процессора от: температуры входящей в водоблок воды – а) , мощности процессора от температуры входящей в водоблок воды – б), мощности процессора от температуры процессора – в) при расходах 0.3 л/мин (∆), 0.55 л/мин (□), 1 л/мин (°).
Полученные данные обрабатывались и на основе полученных данных строилась математическая модель работы системы охлаждения и процессора.
4. Математическая модель
Данные первого этапа исследований показывают, что наибольшая мощность охлаждения достигается в определённом интервале скоростей и температур охлаждающего потока. На базе полученных в ходе эксперимента данных построены зависимости температуры в определяемых точках контура жидкостного охлаждения.
Рассматривая разности температур на входе и выходе каждого из основных элементов, построен трёхмерный график, связывающий динамику основных элементов системы охлаждения (рис. 5).
Рис. 5. Разницы температур в элементах системы охлаждения процессора при различных температурах на входе и выходе каждого элемента системы.
Данные зависимости показывают работу системы охлаждения процессора и позволяют разработать математическую модель системы охлаждения, включающей в себя температуру процессора Tпроц, температуру охлаждающей воды Tвод и её расход V, с расчётом среднеквадратичной ошибки R2.
(1)
В зависимости от температуры процессора Tпроц математическая модель мощности процессора Wпроц имеет вид:
(2)
Изменение мощности от температуры может быть представлена формулой:
(3)
Увеличение мощности процессора при изменении температуры процессора от 40 °C до 100 °C составило 0.45 Вт/К, в опытах [12] – 0.37 Вт/К.
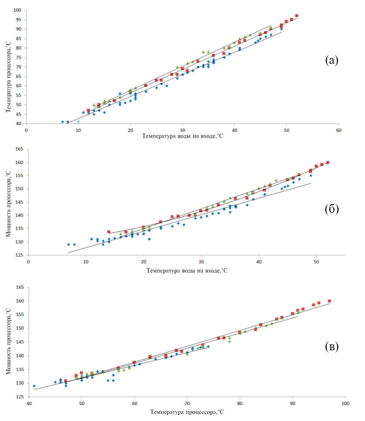
Сравнение экспериментальных и расчётных данных показывает высокую сходимость математической модели с экспериментальными данными (рис. 6).
Рис. 6. Зависимость температуры процессора от температуры входящей в водоблок воды – а), мощности процессора от температуры входящей в водоблок воды – б), нагрева воды от температуры входящей в водоблок воды – в), мощности процессора от температуры процессора – г), при расходах 0.3 л/мин (∆), 0.55 л/мин (□), 1 л/мин (°), 1.2 л/мин (×).
Расчёт теплопередачи kF по данным температур процессора при его мощности и температуры нагрева воды получается из параметров математической модели. Средняя арифметическая ошибка расчётных данных составила 0.0379 Вт/К.
Среднее значение kF = 3.938 Вт/К.
Теплообменник процессора представляет собой медную оребрённую пластину толщиной 2.5 мм с размером оребрённой поверхности 33 на 30 мм: длина рёбер 33 мм, высотой ребра 1.8 мм, и числом рёбер 132 на ширине 30 мм. Степень оребрения 7.8. Площадь поверхности 0.00884 м2, гидравлический диаметр канала 0.4 мм.
Получено уравнение коэффициента теплопередачи от процессора к воде в теплообменнике:
(4)
Сравнение экспериментальных данных и данных полученных из математической модели представлены на рис. 7.
Рис. 7. Зависимость характеристики теплообменника процессора от температуры воды по экспериментальным данным а), по данным из математической модели б) при расходе – 0.3 л/мин (◊), 0.6 л/мин (□). 0.9 л/мин (∆), 1.2 л/мин (×).
На рис. 8 представлен расчёт коэффициента теплопередачи для системы охлаждения процессора жидкостью через стенку теплообменника водоблока.
Рис. 8. Расчётная зависимость коэффициенте теплопередачи от температуры воды при расходе – 0.3 л/мин (◊), 0.6 л/мин (□). 0.9 л/миг (∆), 1.2 л/мин (×).
Полученные экспериментальные данные позволяют рассчитывать и оптимизировать системы охлаждения микропроцессора, для поддержания оптимального теплового режима и мощности микропроцессора.
5. Результаты и обсуждения
Полученные экспериментальные и расчётные данные показывают, что увеличение эффективности охлаждения, при высокой производительности микропроцессора, достигается за счёт увеличения расхода воздуха и воды через внешний теплообменник и понижения температуры теплоносителя на входе в теплообменник водоблока.
Существующие конструкции систем жидкостного охлаждения осуществляют сброс тепла во внешнюю среду благодаря внешнему теплообменнику. При этом повышение температуры окружающей среды существенно снижает эффективность работы всей системы охлаждения и приводит к перегреву процессора. А с учётом того, что высокопроизводительные микропроцессоры при работе в режиме максимальной производительности и разгоне быстро достигают максимальной рабочей температуры, даже при нормальной работе системы охлаждения, этот фактор приводит к опасности повреждения электроники.
Всё это подводит к тому, что для повышения эффективности систем охлаждения требуется понижение температуры входящего в теплообменник водоблока теплоносителя, что возможно достичь только благодаря искусственному охлаждению. Наиболее преимущественные пути охлаждения – это использование элементов Пельтье, как например, в работах [13–14] или переход на охлаждение по схеме чиллера. Эти два пути вполне приемлемы с точки зрения энергозатрат и эффективности охлаждения, однако имеют и свои конструкционные и эксплуатационные недостатки. Анализ и исследование коэффициента теплопередачи между процессором и теплообменником показывает, что усовершенствование последнего без кардинального изменение теплообменной поверхности слабо влияет на увеличение эффективности теплоотвода. Модификации теплоносителя наножидкостями [15–17] и ферромагинтными [18–21] жидкостями дают свой результат, но остаются менее эффективными чем понижение температуры.
Поэтому, на основании проделанной работы следует вывод о применение в системах жидкостного охлаждения микроэлектроники встраиваемых систем охлаждения, и как показали ранние исследования, охлаждение с помощью стандартной холодильной машины менее энергозатратно, чем использование полупроводников, однако это несёт в себе сложности в точности поддержание терморежимов. Однако данный вопрос требует особых исследований в связи со сложностью гидродинамики и тепловых исследований [22].
Заключение
Полученные результаты явно показывают необходимость понижения температуры теплоносителя и повышения его расхода для улучшения охлаждения микропроцессора. Из математической модели и эксперимента видно, что при повышении температуры воздуха, проходящего через внешний теплообменник, система охлаждения теряет свою эффективность, что обуславливает высокие температуры теплоносителя, идущего на охлаждение микропроцессора. В таких условиях способом повышения эффективности охлаждения может стать переход на системы искусственного холода различной конструкции. Повышение теплопередачи между процессором и теплоносителем, а также теплоносителем и окружающей средой также играет важную роль, с точки зрения роста производительности охлаждения и энергозатрат.
Полученная модель также позволяет рассчитывать оптимальную мощность системы охлаждения под конкретную производительность микропроцессора, что снижает капитальные и энергетические затраты на эксплуатацию всего комплекса «микропроцессор- система охлаждения».
Исследования поддержания параметров температуры в заданных режимах для конкретного вида микропроцессора также позволяет получить из модели необходимый результат, что существенно облегчает проектирование микропроцессора, с точки зрения его оценки тепловыделения и создание систем охлаждения под новые поколения появляющихся изделий электронной промышленности.
Конфликт интересов
Авторы заявляют об отсутствии конфликта интересов.
Финансирование
Работа выполнена при финансовой поддержке Фонда содействия инновациям.
About the authors
А. I. Andreev
Russia Federal State Budgetary Educational Institution of Higher Education, Astrakhan State Technical
Email: aresut79@mail.ru
Russian Federation, Astrakhan
A. E. Semenov
Russia Federal State Budgetary Educational Institution of Higher Education, Astrakhan State Technical
Author for correspondence.
Email: aresut79@mail.ru
Russian Federation, Astrakhan
References
- Fedorovich D.S. Degradaciya centralnyh processorov v personalnyh kompyuterah / D. S. Fedorovich; nauch. ruk. S. V. Sizikov // Aktualnye problemy energetiki 2020 [Electronic resource] : materialy studencheskoj nauchno-tehnicheskoj konferencii / sost. I. N. Prokopenya. – Minsk : BNTU, 2020. – pp. 278-284.
- Srinivasan J. et al. The case for lifetime reliability-aware microprocessors //ACM SIGARCH Computer Architecture News. – 2004. – Т. 32. – № 2. – pp. 276.
- Moore G. BCramming more components onto integrated circuits,[ Electronics, vol. 38, pp. 114–117, Apr. 19, 1965.
- Mahajan R., Chiu C., Chrysler G. Cooling a microprocessor chip //Proceedings of the IEEE. – 2006. – Т. 94. – № 8. – pp. 1476–1486.
- Pehurov N.V., Nacarenus P.A. Sravnenie metodov tradicionnogo ohlazhdeniya s immersionnym metodom ohlazhdeniya sistem //Vestnik magistratury. – 2019. – № 6–2. – pp. 93.
- Shelehov I.Yu., Kovalenko A.E., Zaluckij A.A. Optimizaciya processa ispolzovaniya vtorichnoj teplovoj energii //The Scientific Heritage. – 2022. – № 82–1. – S. 68-70.
- Nemtyryova K.A. Sistemy ohlazhdeniya v PK/ Konkurs luchshih studencheskih rabot – 2021. – S. 9–12.Harun M.A., Sidik N.A.C. A review on development of liquid cooling system for central processing unit (CPU) //Journal of Advanced Research in Fluid Mechanics and Thermal Sciences. – 2020. – Т. 78. – № 2. – pp. 98-113.
- Harun M.A., Sidik N.A.C. A review on development of liquid cooling system for central processing unit (CPU) // Journal of Advanced Research in Fluid Mechanics and Thermal Sciences. – 2020. – Т. 78. – № 2. – С. 98–113.
- Gullbrand J. et al. Liquid cooling of compute system //Journal of Electronic Packaging. – 2019. – Т. 141. – №. 1. – pp. 010802.
- Halim N. F. C. and Sidik N.A.C. "Nanorefrigerants: A Review on Thermophysical Properties and Their Heat Transfer Performance." Journal of Advanced Research in Applied Sciences and Engineering Technology 20, No. 1 (2020): 42–50. 11.
- Halim N. F. C. and Sidik N.A.C. "Mixing Chamber for Preparation of Nanorefrigerant." Journal of Advanced Research in Applied Sciences and Engineering Technology 21, No. 1 (2020): 32–40.
- Effect of Temperature on Power-Consumption with the i7-2600K/. 2011 https://forums.anandtech.com
- Rybakov A.V. Razrabotka sistemy ohlazhdeniya processora personalnogo kompyutera s ispolzovaniem elementa Pelte // Dogovora № 17-1-004502 ot 19.10. 2017 g. mezhdu Fondom Prezidentskih grantov i RMPO. Proekt «Organizaciya regionalnoj seti i provedenie biznes-shkol-vystavok, napravlennyh na razvitie u shkolnikov i studentov navykov nauchnogo predprinimatelstva, sposobstvuyushih vnedreniyu ekonomicheski perspektivnyh razrabotok molodyh innovatorov». – pp. 12.
- Lebakin A.I., Chervenchuk V.D., Zabudskij A.I. K voprosu o prakticheskom primenenii elementov Pelte //Rol nauchno-issledovatelskoj raboty obuchayushihsya v razvitii APK. – 2019. – S. 165-173.Al-Rashed M. H. et al. Investigation on the CPU nanofluid cooling // Microelectronics Reliability. – 2016. – Т. 63. – pp. 159–165.
- Al-Rashed M.H. et al. Investigation on the CPU nanofluid cooling // Microelectronics Reliability. – 2016. – Т. 63. – С. 159–165.
- Bahiraei M., Heshmatian S. Electronics cooling with nanofluids: A critical review // Energy Conversion and Management. – 2018. – Т. 172. – С. 438–456.
- Qi C. et al. Experimental study on thermo-hydraulic performances of CPU cooled by nanofluids // Energy Conversion and Management. – 2017. – Т. 153. – pp. 557–565.
- Deng Y., Liu J. Optimization and evaluation of a high-performance liquid metal CPU cooling product //IEEE Transactions on Components, Packaging and Manufacturing Technology. – 2013. – Т. 3. – № 7. – С. 1171–1177.
- Sarafraz M.M. et al. On the convective thermal performance of a CPU cooler working with liquid gallium and CuO/water nanofluid: A comparative study // Applied Thermal Engineering. – 2017. – Т. 112. – pp. 1373–1381.
- Habibishandiz M., Saghir M.Z. A critical review of heat transfer enhancement methods in the presence of porous media, nanofluids, and microorganisms // Thermal Science and Engineering Progress. – 2022. – Т. 30. – pp. 101267.
- Fan F. et al. A novel thermal efficiency analysis on the thermo-hydraulic performance of nanofluids in an improved heat exchange system under adjustable magnetic field // Applied Thermal Engineering. – 2020. – Т. 179. – pp. 115688.
- Bukin V.G., Andreev A.I., Bukin A.V. Gidravlicheskoe soprotivlenie pri kipenii hladagentov v trubah gorizontalnyh i vertikalnyh isparitelej sudovyh holodilnyh mashin Vestnik Astrahanskogo gosudarstvennogo tehnicheskogo universiteta. Seriya: Morskaya tehnika i tehnologiya. – 2020. – № 2. – pp. 92–99. doi: 10.24143/2073-1574-2020-2-92-99.
Supplementary files










