Влияние примеси никеля на эксплуатационные параметры кремниевого солнечного элемента
- Авторы: Кенжаев З.Т.1, Зикриллаев Н.Ф.1, Оджаев В.Б.2, Исмайлов К.А.3, Просолович В.С.2, Зикриллаев Х.Ф.1, Ковешников С.В.1
-
Учреждения:
- Ташкентский государственный технический университет
- Белорусский государственный университет
- Каракалпакский государственный университет
- Выпуск: Том 53, № 2 (2024)
- Страницы: 169-178
- Раздел: ТЕХНОЛОГИИ
- URL: https://bakhtiniada.ru/0544-1269/article/view/262768
- ID: 262768
Цитировать
Полный текст
Аннотация
Представлены результаты исследований влияния примеси никеля, введенного методом диффузии в монокристаллический кремний, на характеристики солнечных элементов. Установлено, что легирование атомами никеля позволяет увеличить время жизни неосновных носителей заряда в материале до 2 раз, а эффективность солнечных элементов на 20–25%. Показано, что распределение кластеров никеля в объеме материала является практически однородным, а их размер не превышает 0.5 мкм. Концентрация кластеров в объеме составляет ~1011–1013 см–3, а в приповерхностном слое — ~1013–1015 см–3. Выявлены физические механизмы влияния “объемных” и “приповерхностных” кластеров атомов никеля на эффективность кремниевых солнечных элементов. Экспериментально установлено, что в повышении их эффективности определяющую роль играют процессы геттерирования кластерами никеля рекомбинационно-активных технологических примесей, происходящие в обогащенной никелем лицевой приповерхностной области солнечных элементов.
Ключевые слова
Полный текст
1. ВВЕДЕНИЕ
В современном промышленном производстве наблюдается тенденция увеличения доли солнечных элементов (СЭ), изготовленных на основе “солнечного кремния”, что обусловлено его относительной дешевизной [1]. Однако “солнечный кремний” имеет меньшее время жизни неосновных носителей заряда (ННЗ) вследствие наличия в нем достаточно высокого содержания технологических примесей (Fe, Cu, Au, Cr и т. д.), что затрудняет получение высокого коэффициента полезного действия солнечных элементов, изготовленных на его основе [2].
Для повышения эффективности СЭ на основе “солнечного кремния” необходимо, прежде всего, увеличить время жизни фотогенерируемых носителей заряда (τ) [3], а также уменьшить оптические и электрические потери энергии [4, 5]. Увеличение τ неосновных носителей заряда (ННЗ) в солнечных элементах возможно путем геттерирования неконтролируемых примесных атомов. Одним из перспективных методов является введение в материал кластеров атомов никеля [6–9]. Известно [10, 11], что распределение концентрации атомов никеля после проведения диффузии имеет существенную неоднородность – высокая приповерхностная концентрация, достаточно быстро спадающая вглубь, и сравнительно постоянная ее величина в объеме.
В работах [12, 13] показано, что диффузионное легирование атомами никеля с лицевой стороны солнечного элемента с глубоко залегающим p–n-переходом приводит к увеличению его эффективности. Однако в настоящее время неясны физические механизмы влияния кластеров атомов никеля, в том числе находящихся в приповерхностной области, на эксплуатационные параметры кремниевых СЭ. Исследование влияния кластеров примесных атомов никеля на параметры кремниевого солнечного элемента представляет большой практический интерес в силу технологических особенностей легирования никелем [14–17]. Целью работы являлось установление влияния атомов никеля, находящихся как в объеме, так и в приповерхностном обогащенном слое, на эффективность кремниевых СЭ.
2. МЕТОДИКА ПРОВЕДЕНИЯ ЭКСПЕРИМЕНТОВ
Для исследований использовались полированные кремниевые пластины монокристаллического кремния, выращенного по методу Чохральского, марки КДБ-0.5 толщиной 380 мкм. Удельное сопротивление составляло 0.5 Ом × см, содержание кислорода (NO) – ~7 × 1017 см–3, плотность дислокаций – не более 102 см–2, время жизни ННЗ – τ > 6 мкс. Слой чистого никеля толщиной 1 мкм напылялся в вакууме. Диффузия никеля проводилась в интервале температур Тдифф = 750–1250C в течение t = 30 мин на воздухе. После диффузии для активации процесса геттерирования неконтролируемых рекомбинационно-активных примесей осуществлялся дополнительный термический отжиг на воздухе в интервале температур Тотж = 600–1100C в течение t = 30 мин [18–20]. После каждой технологической операции проводились очистка поверхности и химическая обработка пластин (10% HCl, 10% HF) в целях удаления остатков никеля и оксида кремния с поверхности.
Распределение атомов никеля в приповерхностном слое кремния измерялись с помощью масс-спектрометра CAMECA IMS-6f Magnetic Sector SIMS (SIMS). Элементный состав кластеров никеля как на поверхности, так и на сколе образца исследовался на сканирующем электронном микроскопе марки TESCAN MIRA3 в режиме рентгеновского локального зондового микроанализа. Скол образцов сканировали с шагом 0.5 мкм, начиная от лицевой стороны (сторона, легированная никелем).
Для изучения влияния атомов никеля на параметры СЭ (Jк.з – плотность тока короткого замыкания, Ux.x – напряжение холостого хода, ξ – коэффициент заполнения вольт-амперной характеристики (ВАХ), Pmах – максимальная отдаваемая мощность) и время жизни ННЗ были изготовлены СЭ, р–n-переход в которых создавался диффузией фосфора в кремниевые пластины р-типа КДБ 0.5 при Tдифф = 1000C в течение t = 0.5 ч. Глубина залегания р–n-перехода составляла 0.5 мкм. Затем пластины разрезались на отдельные образцы размерами 1 × 1 см². Для исследований формировались три группы СЭ: I группа – контрольные; II группа – тонкий слой чистого никеля толщиной 1 мкм, который напылялся в вакууме на тыльную сторону пластины после проведения диффузии фосфора; III группа – тонкий слой чистого никеля толщиной 1 мкм, напылялся в вакууме на лицевую сторону. Диффузия никеля проводилась в интервале температур Tдифф = 750–1250C в течение t = 3–30 мин. После диффузии фосфора и никеля тыльный слой пластины, обогащенный никелем и фосфором, удалялся шлифовкой на глубину ~10 мкм. Дополнительный геттерирующий термический отжиг проводился при Тотж = 750–800C. Вольт-амперные характеристики и время жизни ННЗ в базе СЭ измерялись после формирования никелевого контакта. Просветляющее покрытие на поверхности элементов отсутствовало. Время жизни ННЗ в полученных структурах измерялось методом [21].
Для выявления относительного вклада “поверхностных” и “объемных” атомов никеля на параметры СЭ дополнительно исследовались образцы, в которых диффузия никеля проводилась при Tдифф = 850C в течение t = 30 мин до формирования p–n-перехода (при этом толщина приповерхностного обогащенного слоя оценивается величиной 2.0–2.5 мкм [11, 13]). После диффузии никеля с лицевой поверхности образцов полировкой удаляли обогащенный Ni поверхностный слой толщиной до 5 мкм. Затем формировался p–n-переход по вышеприведенной технологии и проводился дополнительный термический отжиг при Тотж = 750–800C в течение t = 30 мин (группа образцов IV).
3. ЭКСПЕРИМЕНТАЛЬНЫЕ РЕЗУЛЬТАТЫ
Рис. 1. Распределение атомов никеля в лицевом (1) и тыльном (2) слое кремния после диффузии из металлической пленки никеля, напыленной на лицевую поверхность пластины (Тдифф = 1200C, t = 30 мин).
Исследования распределения никеля после проведения диффузии показали, что приповерхностная концентрация никеля может достигать nS ~ 4 × 1021 см–3, толщина обогащенного Ni слоя составляет d ~ 3.25 мкм (рис. 1). На тыльной стороне также появляется обогащенный слой с концентрацией порядка nS ~ 1020 см–3, однако небольшой толщины (d ~ 0.5 мкм). В объеме образцов никель распределен практически однородно (с концентрацией в зависимости от режима диффузии nNi ≈ 1016 –2 × 1018 см–3). При этом лицевая поверхность образцов по данным локального рентгеновского зондового микроанализа содержит 96.58 ат.% кремния, 1.44 ат.% никеля и 1.98 ат.% кислорода (рис. 2). Это позволяет констатировать, что на поверхности отсутствуют сплошные пленки силицидов никеля. Экспериментально также установлено, что обогащенный Ni слой сохраняется при последующих термообработках с температурой ниже 900C, а максимальная концентрация атомов никеля в приповерхностных областях практически не зависит от времени диффузии и слабо зависит от температуры диффузии никеля.
Рис. 2. Элементный состав лицевой поверхности образцов кремния образцов, диффузионно-легированных атомами никеля.
Рис. 3. Снимок поверхности кремния, легированного никелем, полученный методом SIMS для ионов: а — Ni+ (яркие точки соответствуют скоплениям атомов никеля); б — Si+ (яркие точки соответствуют кремнию).
Исследования методом вторичной ионной масс-спектрометрии показали, что диффузионно-введенный никель распределен в кремнии в виде кластеров (рис. 3). При этом средняя поверхностная концентрация атомов Ni составляет ~ 6 × 1014 ат/см². По данным электронной и ИК-микроскопии (рис. 4) установлено, что поверхностная плотность кластеров никеля составляет ~5 × 106–107 см–2 на лицевой поверхности кремния и ~(4–5) × 106 см–2 в объеме (измеренная на сколе образца). Распределение кластеров в объеме практически однородно, их размер не превышает 0.5 мкм (примерно 20–200 нм), это согласуется с результатами работ [22–25]. Рассчитанные на основе полученных данных концентрации кластеров в объеме образца составляют nk ≈ 1011–1013 см–3, в приповерхностной области nk ≈ 1013–1015 см–3.
Рис. 4. Изображение точек исследования состава в образцах кремния, легированных никелем, в приповерхностной области (а) и объеме (б) образцов.
Для определения термической стабильности кластеров никеля был проведен дополнительный термический отжиг. Установлено, что при Tотж = 650–800С происходит увеличение размеров кластеров никеля, а при Tотж > 900С кластеры исчезают, т. е. идет распад кластеров. Измерение состава кластеров до проведения термообработок показало, что кластеры на поверхности кремния состоят в основном из атомов кремния – 84.93% и никеля – 13.38%, в их составе имеются также неконтролируемые примеси атомов Сu, Fe, Cr (рис. 5).
Рис. 5. Изображение и элементный состав “поверхностных” (а) и “объемных” (б) кластеров никеля (получены с помощью рентгеновского локального зондового микроанализа) после дополнительного термического отжига при Tотж = 800C.
После проведения дополнительной термообработки (Tотж = 800С, t = 30 мин) концентрация никеля в составе кластера увеличивается до ~40–60%, кислорода – до ~30–35% и быстро диффундирующих примесей (БДП) – до ~30–50% относительно их концентраций до термоотжига. Полученные результаты дают основание констатировать эффективное геттерирование кластерами никеля технологических примесей, которые действуют как центры рекомбинации в кремнии. Следствием этого должно быть значительное увеличение времени жизни ННЗ, в первую очередь за счет формирования высоких концентраций кластеров никеля в приповерхностных слоях.
Таблица 1. Время жизни ННЗ всех групп СЭ после проведения диффузии никеля и термоотжига и его изменение для II и III группы относительно параметров I группы
Группа | I | II | III |
Tдифф = 1200C, t = 30 мин | Отжиг | Диффузия никеля | |
τ, мкс | 5–6 | 7–8 | 9 |
Δτ / τI, раз | — | 1.35–1.4 | 1.6–1.7 |
Тотж = 750–800C, t = 1 ч | Дополнительный термический отжиг | ||
τ, мкс | 5–7 | 9 | 12 |
Δτ / τI, раз | 1–1.15 | 1.5–1.55 | 1.9–2 |
Исследования влияния диффузионного легирования никелем монокристаллического кремния на время жизни ННЗ показали (табл. 1), что после дополнительного термического отжига τ в контрольных образцах (группа I) практически не изменилось (в исходных оно составляло 5–7 мкс). В то же время в образцах группы II (никель напылялся на тыльную сторону СЭ) среднее значение τ после проведения диффузии никеля увеличивается в 1.35–1.4 раза по сравнению с контрольными образцами. После термического отжига τ увеличивается еще примерно на 20–25%. Суммарное увеличение τ составляет примерно 1.5–1.6 раза относительно контрольных образцов. В группе III (никель напылялся на лицевую сторону) среднее значение τ увеличивается в 1.6–1.7 раза после проведения диффузии никеля (при Тдифф = 1200C). После дополнительного термического отжига происходит дополнительное увеличение τ на 30–35%, т. е. общее увеличение τ составляет 1.9–2 раза относительно контрольных СЭ. Следует отметить, что эффект увеличения времени жизни ННЗ при легировании никелем СЭ не зависит от способа его введения: до или после создания р–n-перехода.
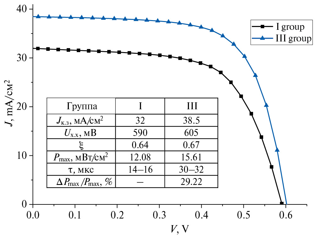
Рис. 6. Вольт-амперные характеристики солнечных элементов и электрофизические параметры (таблица) элементов I и III группы после дополнительного термоотжига при Тотж = 750–800C (ΔРmах / Рmах — относительное изменение максимальной мощности по сравнению с контрольными образцами).
На рис. 6 представлены ВАХ СЭ I и III группы (диффузия никеля проводилась до создания p–n-перехода). Видно, что эффективность кремниевого СЭ в результате легирования атомами никеля увеличивается на ~29% по сравнению с контрольным образцом (Рmах с 12.08 до 15.61 мВт/см² соответственно). Экспериментально установлено, что оптимальной температурой диффузии никеля является Тдифф = 800–850C, а температурой дополнительного термического отжига – Тотж = 750–800C. Применение данных технологических режимов позволяет повысить эффективность кремниевых СЭ на 25–30%, что согласуется с результатами [14, 15].
Рис. 7. Изменение Jк.з, Uх.х, Рmах и τ солнечных элементов в зависимости от толщины удаленного приповерхностного обогащенного никелем слоя относительно СЭ без удаления обогащенного никелем слоя.
В целях установления относительного вклада “поверхностных” и “объемных” кластеров никеля производилось послойное удаление приповерхностного сильнолегированного никелем слоя, сформированного в процессе его диффузии. В данных экспериментах p–n-переход формировался после удаления соответствующей части обогащенного Ni слоя. Как видно из рис. 7, с увеличением толщины удаленного лицевого слоя Δх максимальная снимаемая мощность СЭ III группы уменьшается, после удаления слоя в 5 мкм максимальная мощность падает на ~20–25% по сравнению с аналогичным параметром для образцов с Δх = 0 мкм. Результаты измерения время жизни ННЗ также показали, что при увеличении толщины удаленного лицевого слоя τ монотонно уменьшается, а после удаления 1.5 мкм практически не изменяется. Следует отметить, что даже после удаления Δх = 5 мкм значение τ в данных СЭ в 1.6–1.65 раза (24–26 мкс) больше, чем в контрольном солнечном элементе (14–16 мкс). Полученные экспериментальные результаты свидетельствуют о существенном снижении концентрации рекомбинационно-активных центров в солнечных элементах, в которых проводилась диффузия примеси никеля. Это, по всей видимости, обусловлено геттерирующим действием как “объемных”, так и “поверхностных” кластеров никеля. Причем наличие в образцах “поверхностных” кластеров дает более существенный вклад в повышение эффективности СЭ по сравнению с “объемными” кластерами. В связи с этим можно заключить, что повышение эксплуатационных параметров исследовавшихся в настоящей работе солнечных элементов в значительной степени обусловлено геттерирующим действием приповерхностного слоя с концентрацией никеля nS ~ 1020–1021 см–3 толщиной в несколько микрометров, образующегося в процессе диффузии Ni.
Как известно [26], при создании эмиттера солнечного элемента диффузией фосфора происходит образование “мертвого слоя” вследствие формирования силицидов фосфора. Это приводит, с одной стороны, к повышению сопротивления эмиттерного слоя, а с другой стороны – к снижению времени жизни ННЗ вследствие генерации различных типов дефектов структуры в n+-области. В этой связи наличие обогащенного никелем слоя может также оказывать влияние как на время жизни ННЗ, так и на сопротивление лицевого слоя солнечного элемента. Вследствие взаимодействия никеля с фосфором в приповерхностном слое часть его будет исключена из реакций формирования силицидов. Это обусловит уменьшение эффективности рекомбинационных процессов и увеличение подвижности носителей заряда в слое эмиттера за счет устранения “мертвого” слоя. Уменьшение рекомбинации приводит в росту концентрации оптически генерированных носителей заряда в лицевом слое СЭ и, как следствие, к увеличению коэффициента заполнения ВАХ (ξ). Кроме того, увеличение подвижности в слое эмиттера снизит омические потери, также увеличивая ξ.
Измерение поверхностного сопротивления эмиттера (n+-слоя) показало его уменьшение до 15–20% после проведения дополнительного термического отжига. В солнечных элементах, имеющих обогащенную никелем область на лицевой стороне p–n+-перехода, коэффициент заполнения ВАХ вырос на 6–7% по сравнению с аналогичной характеристикой для контрольного СЭ.
Следует отметить, что измерения поверхностного сопротивления, произведенные при послойном удалении легированного никелем кремния (до формирования p–n-перехода), показали незначительное влияние никеля на объемное сопротивление кремния. Это позволяет заключить, что в исследуемых образцах основная часть атомов никеля не является электроактивной, что согласуется с результатами работ [9, 25]. Полученные результаты обусловлены взаимодействием электронейтральных атомов примеси никеля, находящихся в междоузельном положении или кластерах, с технологическими примесями.
4. ОБСУЖДЕНИЕ ЭКСПЕРИМЕНТАЛЬНЫХ РЕЗУЛЬТАТОВ
Как было сказано выше, атомы никеля, введенные в объем монокристаллического кремния методом диффузии, формируют кластеры как в приповерхностной области, так и в объеме [22–25]. Центрами зарождения кластеров никеля служат атомы кислорода и другие дефекты решетки кремния, в большом количестве находящиеся вблизи поверхности, а также образующиеся в диффузионном слое n+-типа СЭ. Эти кластеры действуют как геттерирующие центры для различных неконтролируемых примесей (O, Cu, Fe, Cr, Au [10, 15, 20]) и других дефектов различной природы [25]. Основной вклад в энергию взаимодействия атомов примеси кластерами включений второй фазы в полупроводниках дают упругое и электрическое взаимодействия. Преобладающим является упругое взаимодействие, обусловленное различием атомных радиусов примеси и матрицы. Таким образом, основной движущей силой геттерирующего действия кластеров никеля (а также отдельных атомов никеля, находящихся в междоузельном положении) являются поля упругих напряжений, формирующиеся вокруг кластеров и обусловленные различием в атомных радиусах кремния и никеля (соответственно 1.11 и 1.24 Å) [27]. Атомам технологических примесей энергетически выгодно коагулировать на оборванных связях вокруг кластеров, снижая таким образом энергию упругой деформации решетки. Следует отметить, что ранее подобный эффект геттерирования технологических примесей наблюдался при легировании монокристаллического кремния примесями редкоземельных элементов (РЗЭ), что приводило, в частности, к увеличению почти в 2 раза энергетического разрешения детекторов ионизирующих излучений, изготовленных на монокристаллическом кремнии, легированном РЗЭ, для α-частиц 239Pu с энергией 5.4 МэВ вследствие увеличения в данном материале времени жизни ННЗ [28, 29].
Эффект геттерирования быстродиффундирующих технологических примесей (БДП) кластерами никеля обусловлен следующими факторами:
- – на поверхности всегда имеется большое количество микродефектов, что приводит к интенсивной преципитации никеля. Преципитаты являются практически чистым металлом и имеют повышенную энергию связи с БДП (до ~2.7 эВ для монокристаллического никеля [30, 31]);
- – в приповерхностной области концентрация атомов никеля больше, чем в объеме, на 2–3 порядка, поэтому эффективность геттерирования в приповерхностной области больше за счет большего количества образованных кластеров и преципитатов [10–13];
- – скорость геттерирования в объеме СЭ меньше вследствие меньшей концентрации кластеров никеля и малого числа преципитатов. Учитывая высокий коэффициент диффузии БДП, они быстро достигают лицевой и тыльной поверхностей СЭ, где высокая концентрация преципитатов и кластеров никеля, а также больше энергия связи атомов БДП;
- – процесс геттерирования кластерами никеля усиливается при дополнительном термическом отжиге. Дополнительный термический отжиг ускоряет достижение равновесия, однако очень высокая температура отжига (Tотж > 900С) приводит к распаду кластеров и преципитатов никеля [24–26].
В процессе формирования р–n-перехода СЭ, а также дополнительного термического отжига при Тотж = 700–800C характер распределения никеля по объему практически не изменяется. Отсюда можно сделать вывод о преимущественном влиянии приповерхностного обогащенного никелем слоя на параметры СЭ.
Известно [9, 22], что электронейтральные атомы никеля, находящиеся в междоузельных метастабильных состояниях в решетке кремния, как в процессе диффузии, так и при дополнительном низкотемпературном термическом отжиге стремятся к более энергетически выгодному состоянию. Во время диффузии и охлаждения электронейтральные атомы никеля образуют зародыши кластеров и преципитатов, а дополнительный термический отжиг активирует процессы образования и роста размеров кластеров. В процессе формирования р–n-перехода СЭ, а также дополнительного термического отжига при Тотж = 700–800C характер распределения никеля по объему практически не изменяется. Отсюда можно сделать вывод о преимущественном влиянии приповерхностного обогащенного никелем слоя на параметры СЭ.
Следует отметить, что эффективность уменьшения концентрации рекомбинационных центров при геттерировании непосредственно связана с пределом растворимости атомов никеля в технологических условиях диффузии, так как именно данная величина определяет концентрацию кластеров. С повышением температуры диффузии концентрация электронейтральных атомов никеля увеличивается, концентрация кластеров растет, как следствие, концентрация рекомбинационных центров уменьшается [15]. Однако, как правило, с увеличением температуры и длительности диффузии концентрация рекомбинационных центров также увеличивается [7]. Следовательно, время жизни ННЗ в СЭ уменьшается, а это приводит к снижению КПД. Кроме того, формирование p–n-перехода диффузией фосфора или бора проводится обычно при температурах 900–1050C, что также всегда обуславливает увеличение концентрации рекомбинационных центров и существенное уменьшение τ [1–4]. Указанные факторы определяют необходимость оптимизации технологических условий геттерирования никелем.
С технологической точки зрения нанесение слоя металлического никеля на поверхность кремния для геттерирования можно осуществлять также и химическими путем (одновременно на десятки пластин), а диффузию атомов никеля можно проводить на открытом воздухе при относительно низкой температуре (Тдифф = 800–850C в течение 30 мин). Исходя из этого метод предварительного легирования кремния никелем из химически осажденного слоя может быть перспективен для внедрения в промышленную технологию производства солнечных элементов. Данный метод может быть без существенных изменений совмещен со стандартными технологическими процессами изготовления СЭ на предприятиях современной электроники и позволит с небольшими дополнительными финансовыми и материальными затратами повысить эффективность солнечных элементов на основе монокристаллического кремния.
ЗАКЛЮЧЕНИЕ
Установлено, что легирование солнечных элементов атомами никеля позволяет увеличить в них время жизни неосновных носителей заряда в материале до 2 раз, а эффективность преобразования солнечной энергии – на 20–25%. Полученные экспериментальные результаты обусловлены взаимодействием электронейтральных атомов примеси никеля, находящихся в междоузельном положении или кластерах, с технологическими примесями. В процессе диффузии и последующего преципитирующего отжига никель формирует кластеры как в приповерхностной области, так и в объеме образцов. Показано, что распределение кластеров никеля в объеме материала является практически однородным, а их размер не превышает 0.5 мкм. Концентрация кластеров в объеме составляет ~1011–1013 см–3, а в приповерхностном слое – ~1013–1015 см–3. Установлено, что в повышении эффективности солнечных элементов определяющую роль играют процессы геттерирования кластерами никеля рекомбинационно-активных быстродиффундирующих технологических примесей, происходящие в обогащенной никелем лицевой приповерхностной области солнечных элементов.
БЛАГОДАРНОСТИ
Авторы выражает благодарность профессору Х.М. Илиеву за ценные советы и участие в обсуждении результатов.
КОНФЛИКТ ИНТЕРЕСОВ
Авторы заявляют, что у них нет конфликта интересов.
Об авторах
З. Т. Кенжаев
Ташкентский государственный технический университет
Автор, ответственный за переписку.
Email: zoir1991@bk.ru
Узбекистан, Ташкент
Н. Ф. Зикриллаев
Ташкентский государственный технический университет
Email: zoir1991@bk.ru
Узбекистан, Ташкент
В. Б. Оджаев
Белорусский государственный университет
Email: zoir1991@bk.ru
Белоруссия, Минск
К. А. Исмайлов
Каракалпакский государственный университет
Email: zoir1991@bk.ru
Узбекистан, Нукус
В. С. Просолович
Белорусский государственный университет
Email: zoir1991@bk.ru
Белоруссия, Минск
Х. Ф. Зикриллаев
Ташкентский государственный технический университет
Email: zoir1991@bk.ru
Узбекистан, Ташкент
С. В. Ковешников
Ташкентский государственный технический университет
Email: zoir1991@bk.ru
Узбекистан, Ташкент
Список литературы
- Green M., Dunlop E., Hohl-Ebinger J., Yoshita M., Kopidakis N., Hao X. Solar cell efficiency tables (version 58) // Prog Photovolt Res Appl. 2021. V. 29. P. 657–667. https://doi.org/10.1002/pip.3444
- Ikhmayies Sh. Advances in Silicon Solar Cells // Springer International Publishing. 2018. P. 337. https://doi.org/10.1007/978-3-319-69703-1
- Panaiotti I.E., Terukov E.I. A Study of the Effect of Radiation on Recombination Loss in Heterojunction Solar Cells Based on Single-Crystal Silicon // Tech. Phys. Lett. 2019. V. 45. No. 3. P. 193–196. https://doi.org/10.1134/S106378501903012X
- Richter A., Müller R., Benick J., Feldmann F., Steinhauser B., Reichel Ch., Fell A., Bivour M., Hermle M., Glunz S.W. Design rules for high-efficiency both-sides-contacted silicon solar cells with balanced charge carrier transport and recombination losses // Nature Energy. 2021. V. 6. P. 429–438. https://doi.org/10.1038/s41560-021-00805-w
- Koval’chuk N.S., Lastovskii S.B., Odzhaev V.B., Petlitskii A.N., Prosolovich V.S., Shestovsky D.V., Yavid V.Yu., Yankovskii Yu.N. Influence of Structural Defects on the Electrophysical Parameters of pin-Photodiodes // Russian Microelectronics. 2023. V. 52. No. 4. Р. 276–282. DOI: S054412692370045X.
- Yatsukhnenko S., Druzhinin A., Ostrovskii I., Khoverko Yu., Chernetskiy M. Nanoscale Conductive Channels in Silicon Whiskers with Nickel Impurity // Nanoscale Res Lett. 2017. V. 12. Nо. 78. P. 1–7. https://doi.org/10.1186/s11671-017-1855-9
- Liu A., Phang S.P., Macdonald D. Gettering in silicon photovoltaics: A review // Solar Energy Materials and Solar Cells. 2022. V. 234. P. 111447. https://doi.org/10.1016/j.solmat.2021.111447
- Chistyakova A.A., Bazhanov D.I. The Study of Nickel Impurity Segregation on LSNT Perovskite Open Surfaces by Ab Initio Molecular Dynamics // Russ Microelectron. 2022. V. 51. P. 654–658. https://doi.org/10.1134/S1063739722080121
- Bayrambay I., Kanatbay I., Khayratdin K., Gulbadan S. Suppression of harmful impurity atoms with clusters of nickel impurity atoms in a silicon lattice // AIP Conference Proceedings. 2022. V. 2552. P. 060015. https://doi.org/10.1063/5.0129486
- Spit F.H.M., Gupta D., Tu K.N. Diffusivity and solubility of Ni (63Ni) in monocrystalline Si // Phys. Review B. 1989. V. 39. P. 1255–1260.
- Lindroos J., Fenning D.P., Backlund D.J., Verlage E., Gorgulla A., Estreicher S.K., Savin H., Buonassisi T. Nickel: A very fast diffuser in silicon // J. Appl. Phys. 2013. V. 113. P. 204906. https://doi.org/10.1063/1.4807799
- Bakhadyrkhanov M.K., Isamov S.B., Kenzhaev Z.T., Koveshnikov S.V. Studying the Effect of Doping with Nickel on Silicon-Based Solar Cells with a Deep p–n-Junction // Tech. Phys. Lett. 2019. V. 45. Nо. 10. P. 959–962. https://doi.org/10.1134/S1063785019100031
- Bakhadyrkhanov M.K., Isamov S.B., Kenzhaev Z.T., Melebaev D., Zikrillayev Kh.F., Ikhtiyarova G.A. Silicon Photovoltaic Cells with Deep p–n-Junction // Appl. Sol. Energy. 2020. V. 56. Nо. 1. P. 13–17. https://doi.org/10.3103/S0003701X2001003X
- Bakhadyrkhanov M.K., Kenzhaev Z.T. Optimal Conditions for Nickel Doping to Improve the Efficiency of Silicon Photoelectric Cells // Tech. Phys. 2021. V. 66. Nо. 7. P. 851–856. https://doi.org/10.1134/S1063784221060049
- Bakhadirkhanov M.K., Kenzhaev Z.T., Turekeev Kh.S., Isakov B.O., Usmonov A.A. Gettering properties of nickel in silicon photocells // Tech. Phys. 2022. V. 67. Nо. 14. P. 2217–2220. doi: 10.21883/TP.2022.14.55221.99-21.
- Zikrillayev N., Kenzhaev Z., Ismailov T., Kurbanova U., Aliyev B. Effect of nickel doping on the spectral sensitivity of silicon solar cells // E3S Web of Conferences. 2023. V. 434. P. 01036 (1–3). https://doi.org/10.1051/e3sconf/202343401036
- Kenzhaev Z.T., Zikrillaev N.F., Ayupov K.S., Ismailov K.A., Koveshnikov S.V. & Ismailov T.B. Enhancing the Efficiency of Silicon Solar Cells through Nickel Doping // Surf. Engin. Appl. Electrochem. 2023. V. 59. Nо. 6. P. 858–866. https://doi.org/10.3103/S1068375523060108
- Kerimov E.A. Study of Photodetectors with Schottky Barriers Based on the IrSi – Si Contact // Russ Microelectron. 2023. V. 52. P. 32–34. https://doi.org/10.1134/S1063739722030040
- Dubovikov K.M., Garin A.S., Marchenko E.S., Baigonakova G.A., Shishelova A.A., Kovaleva M.A. Effect of Annealing Temperature on the Surface Structure and Properties of Porous TiNi // Inorg. Mater. 2021. Nо. 57. P. 1242–1249. https://doi.org/10.1134/S0020168521120050
- Koveshnikov S., Kononchuk O. Gettering of Cu and Ni in mega-electron-volt ion-implanted epitaxial silicon // Appl. Phys. Lett. 1998. V. 73. Nо. 16. P. 2340. https://doi.org/10.1063/1.122455
- Togatov V.V., Gnatyuk P.A. A method for measuring the lifetime of charge carriers in the base regions of high-speed diode structures // Semiconductors. 2005. V. 39. P. 360–363. https://doi.org/10.1134/1.1882802
- Mil’vidskii M.G., Chaldyshev V.V. Nanometer-size atomic clusters in semiconductors – a new approach to tailoring material properties // Semiconductors. 1998. V. 32. Nо. 5. P. 457–465. https://doi.org/10.1063/1.4807799
- Gafner Y.Y., Gafner S.L., Entel P. Formation of an icosahedral structure during crystallization of nickel nanoclusters // Phys. Solid State. 2004. V. 46. No. 7. P. 1327–1330. https://doi.org/10.1134/1.1778460
- Tanaka Sh., Ikari T., Kitagawa H. In-Diffusion and Annealing Processes of Substitutional Nickel Atoms in Dislocation-Free Silicon // Jpn. J. Appl. Phys. 2001. V. 40. No. 5R. P. 3063–3068. doi: 10.1143/JJAP.40.3063.
- Ismaylov B.K., Zikrillayev N.F., Ismailov K.A., Kenzhaev Z.T. Clusters of impurity nickel atoms and their migration in the crystal lattice of silicon // Physical Sciences and Technology. 2023. V. 10. Nо. 1. P. 13–18. https://doi.org/10.26577/phst.2023.v10.i1.02
- Серафина Б. Преобразование солнечной энергии. М.: Энергоиздат, 1982. 320 с.
- Эмсли Дж. Элементы. Справочник: пер. с. англ. М.: Мир, 1993. 256 с.
- Афанасьева Н.П., Бринкевич Д.И., Просолович В.С., Янковский Ю.Н. Легирование кремния лантаноидами как способ оптимизации параметров детекторов ионизирующих излучений // Приборы и техника эксперимента. 2002. № 2. С. 24–26.
- Дутов А.Г., Комар В.А., Петров В.В., Просолович В.С., Чесноков С.А., Янковский Ю.Н. Геттерирование технологических примесей редкоземельными элементами в кремнии // Материалы 7-й междунар. конф. по микроэлектронике. Минск, 1990. Т. 1. С. 34–36.
- Егоров С.Н. Расчет поверхностной энергии металлов в твердом состоянии // Известия вузов. Северо-Кавказский регион. 2003. № 3. С. 132–136.
- Dellis S., Christoulaki A., Spiliopoulos N., Anastassopoulos D.L., Vradis A.A. Electrochemical synthesis of large diameter monocrystalline nickel nanowires in porous alumina membranes // J. Appl. Phys. 2013. V. 114. P. 164308. https://doi.org/10.1063/1.4826900
Дополнительные файлы










