Перенос электронов в биполярном транзисторе со сверхрешеткой в области эмиттера
- Авторы: Голиков О.Л.1, Забавичев И.Ю.1, Иванов А.С.1, Оболенский С.В.1, Оболенская Е.C.1, Павельев Д.Г.1, Потехин А.А.1, Пузанов А.C.1, Тарасова Е.А.1, Хазанова С.В.1
-
Учреждения:
- Нижегородский государственный университет им. Н.И. Лобачевского
- Выпуск: Том 53, № 1 (2024)
- Страницы: 51-57
- Раздел: ПРИБОРЫ
- URL: https://bakhtiniada.ru/0544-1269/article/view/259583
- DOI: https://doi.org/10.31857/S0544126924010051
- ID: 259583
Цитировать
Полный текст
Аннотация
Проведен расчет семейства передаточных и выходных характеристик гетеробиполярного транзистора с короткопериодной сверхрешеткой в области эмиттера. Показано, что наличие сверхрешетки в структуре транзистора приводит к формированию области с отрицательной дифференциальной проводимостью, что позволяет реализовать не только усиление, но также генерацию и умножение высокочастотных колебаний.
Полный текст
ВВЕДЕНИЕ
В последние годы в связи с развитием технологий высокоскоростной передачи больших массивов данных усиливается спрос на элементную базу, предназначенную для работы в W-диапазоне частот. Одним из важнейших требований, предъявляемых к полупроводниковым приборам, становится сверхвысокое быстродействие при сохранении требуемых усилительных свойств. Резонансно-туннельные диоды [1, 2] и резонансно-туннельные биполярные [3, 4] и полевые [5] транзисторы в последнее время привлекают внимание исследователей благодаря наличию участков с отрицательной дифференциальной проводимостью, сохраняющихся при комнатной температуре, и быстродействию свыше 1 ТГц. В современной электронике они могут быть использованы для разработки таких устройств, как высокочастотные генераторы, аналого-цифровые преобразователи, многозначные логические схемы. Работа подобных биполярных транзисторов подробно описана в работе [6], где участки с отрицательной дифференциальной проводимостью возникают в результате туннельной инжекции носителей через слои AlGaAs/GaAs сверхрешетки. В работах [7, 8] продемонстрирована работа транзистора с InP/GaInAs-сверхрешеткой в области эмиттера, где из-за наличия нескольких мини-зон в спектре сверхрешетки экспериментально можно наблюдать множественные участки с отрицательной дифференциальной проводимостью при высоком коэффициенте усиления по току и низком напряжении смещения. Однако растущий спрос на качество приборов ставит высокие требования к пониманию особенностей технологии для получения необходимых характеристик.
ОБЪЕКТ ИССЛЕДОВАНИЙ
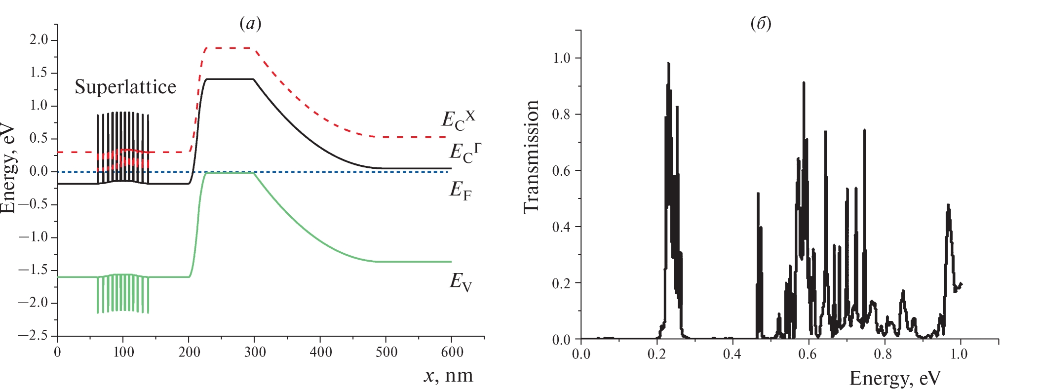
В настоящей работе рассматривается биполярный транзистор с тонкой базой на основе GaAs с короткопериодной сверхрешеткой AlAs/GaAs в эмиттерном переходе. На GaAs-подложке задавался сильнолегированный n+-слой коллектора толщиной 140 нм с концентрацией легирующей примеси 1018 см–3 и слаболегированный n–-слой коллектора толщиной 500 нм с концентрацией легирующей примеси 5 × 1016 см–3. Толщина p+-слоя базы составляла 84 нм с концентрацией легирующей примеси 5 × 1018 см–3. Эмиттер представлял собой сильнолегированную шестипериодную сверхрешетку (AlAs)4/(GaAs)18 с тремя дополнительными переходными периодами толщиной 1/28, 2/24, 3/21 монослоев AlAs и GaAs, соответственно, симметрично с каждой стороны структуры [9]. Концентрация легирующей примеси в сверхрешетке составляла 1018 см–3 и линейно возрастала в области переходных слоев до 6 × 1018 см–3. Площадь структуры задавалась равной 1 мкм2. Зонная диаграмма объекта исследований показана на рис. 1.
Рис. 1. Зонная диаграмма биполярного транзистора со сверхрешеткой в эмиттерном переходе (а): (―) — энергия потолка валентной зоны EV и дна Г-долины зоны проводимости ; (·) — энергия дна Х-долины зоны проводимости ; (·) — за нулевой энергетический уровень принята энергия Ферми EF; коэффициент прохождения электронов через короткопериодную сверхрешетку при нулевом смещении для константы междолинного взаимодействия α = 0.7 эВ Å (б).
МАТЕМАТИЧЕСКАЯ МОДЕЛЬ
В ходе расчетов задача переноса электронов в биполярном транзисторе со сверхрешеткой в области эмиттера декомпозировалась на квантово-механический расчет вольтамперной характеристики сверхрешетки и схемотехнический расчет вольтамперных характеристик биполярного транзистора в схеме включения с общим эмиттером, в которой сверхрешетка включена в эмиттерную цепь.
3.1. Математическая модель расчета тока через сверхрешетку
Известно, что в зоне проводимости GaAs Х-долина расположена на 0.48 эВ выше Г-долины. Особенности зонной структуры AlxGa1–xAs приводят к тому, что с ростом доли Al в соединении (с увеличением x) энергетическое положение дна Г-долины возрастает, а Х-долины – падает относительно “чистого” GaAs. В результате при x > 0.4 AlxGa1–xAs становится непрямозонным полупроводником. Это приводит к тому, что при расчетах туннелирования необходимо учитывать состояния электронов не только в Г-долинах GaAs и AlAs, но и в Х-долинах, а также их взаимодействие (рассеяние) на гетерограницах. В работах [6, 10] была предложена двухдолинная модель туннелирования через барьер в структуре GaAs/AlAs/GaAs, которая может быть распространена на сверхрешетку. Междолинное ГX-рассеяние моделируется путем записи уравнений Шрёдингера для Г-долины и Х-долины, причем в каждое уравнение вводится коэффициент связи – константа междолинного взаимодействия:
(1)
Здесь ħ – постоянная Планка; z – координата; mΓ и электрона; χΓ и χX – энергия сродства к электрону Г-долины и Х-долины соответственно; q – заряд электрона; φ – потенциал электрического поля; α – константа междолинного взаимодействия; δ(z) – дельта-функция Дирака; M – число слоев GaAs и AlAs сверхрешетки.
Значения эффективной массы и энергии сродства к электрону в Г- и Х-долинах GaAs и AlAs приведены в табл. 1. В ходе расчетов предполагалось, что значение эффективной массы в Г- или Х-долинах не зависит от энергии электронов.
Таблица 1. Эффективная масса и энергия сродства к электрону в Γ- и X-долинах GaAs и AlAs
Параметр модели | GaAs | AlAs |
Эффективная масса электрона в Γ-долине, m0 | 0.067 | 0.15 |
Эффективная масса электрона в X-долине, m0 | 1.300 | 1.10 |
Сродство к электрону в Γ-долине, эВ | 4.070 | 3.03 |
Сродство к электрону в X-долине, эВ | 3.590 | 3.88 |
Важность решения самосогласованной системы уравнений Шрёдингера и Пуассона для расчета квантово-размерных структур подчеркивается в работах [11, 12]. Уравнение Пуассона записывается в виде
, (2)
где ε0 – диэлектрическая проницаемость вакуума; ε = 12.9 и ε = 10.06 – диэлектрическая проницаемость GaAs и AlAs соответственно; Nd – концентрация донорной примеси; n – концентрация электронов.
Строгий квантово-механический расчет требует итерационного решения уравнений (1) и (2), так как концентрация электронов определяется в том числе квадратом волновой функции. Это существенно увеличивает вычислительную сложность задачи. С другой стороны, предварительная оценка показывает, что концентрация связанных электронов в квантовых ямах составляет порядка 2 × 1015 см–3, что на три порядка меньше концентрации легирующей примеси в активной области сверхрешетки. Поэтому концентрация электронов рассчитывалась квазиклассически:
, (3)
, (4)
. (5)
Здесь NC – эффективная плотность состояний в зоне проводимости; – интеграл Ферми–Дирака; EF – уровень Ферми (электрохимический потенциал); EC – дно зоны проводимости; kB – постоянная Больцмана; T – температура; jn – плотность надбарьерного электронного тока; µn – подвижность электронов; mn – эффективная масса электронов.
Важно отметить, что при расчетах в области GaAs задавались параметры Г-долины, в области AlAs – Х-долины.
Система уравнений (1) решалась с открытыми граничными условиями для волновой функции в Г-долине и нулевыми значениями в Х-долине, потенциал электрического поля на границах задавался приложенным напряжением, концентрация на границах приравнивалась к концентрации легирующей примеси.
Коэффициент прохождения (коэффициент туннельной прозрачности) T как функция полной энергии электрона E находится по следующей формуле [13]:
, (6)
где индексы L и R относятся соответственно к левой и правой границе сверхрешетки.
Плотность туннельного тока рассчитывалась по формуле
, (7)
в рамках формализма Ландауэра в предположении, что “поперечная” составляющая энергии электрона равна kBT.
В большинстве работ константа междолинного взаимодействия является подгоночным параметром модели и варьируется в широких пределах. Калибровка представленной модели проводилась путем сравнения результатов расчетов вольтамперной характеристики сверхрешетки с экспериментальными данными (рис. 2), взятыми из работы [9]. Максимальное соответствие экспериментальным данным получено при α = 0.7 эВ Å, что соответствует современным теоретическим представлениям.
Рис. 2. Вольт-амперная характеристика короткопериодной сверхрешетки с переходными слоями: (o) — эксперимент [9]; (―) — расчет.
3.2. Математическая модель расчета тока биполярного транзистора со сверхрешеткой в области эмиттера
Токи, протекающие через p–n-переходы биполярного транзистора, описывались стандартной аналитической моделью [14]:
, (8)
, (9)
Здесь D – коэффициент диффузии; L – диффузионная длина; n и p – концентрация электронов и дырок соответственно; W – толщина базы; UBE и UCB – напряжения, приложенные к эмиттерному (прямое смещение) и коллекторному (обратное смещение) переходам соответственно; E, C, B – индексы, относящиеся к эмиттеру, коллектору и базе соответственно; φ0 – тепловой потенциал, .
Функция USL = USL(IE) описывает падение напряжения на сверхрешетке, методика расчета вольтамперной характеристики которой рассмотрена в предыдущем подразделе.
В схеме включения транзистора с общим эмиттером вольтамперные характеристики представляют собой семейство зависимостей IC = IC(IB, UCE), где UCE – напряжение коллектор–эмиттер. Поэтому система уравнений (8)–(10) должна быть дополнена следующим уравнением:
. (11)
Полученная система нелинейных алгебраических уравнений решалась численно методом Левенберга–Марквардта.
РЕЗУЛЬТАТЫ РАСЧЕТОВ И ИХ ОБСУЖДЕНИЕ
На первом этапе вольтамперные характеристики сверхрешетки (см. рис. 2) и биполярного транзистора в схеме включения с общим эмиттером (рис. 3) рассчитывались раздельно. Варьируемым параметром модели сверхрешетки являлась константа междолинного взаимодействия, подбираемая исходя из максимального соответствия экспериментальным данным [9].
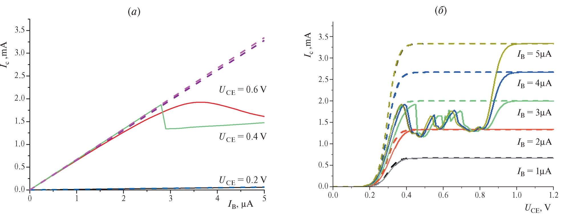
Рис. 3. Семейство передаточных вольт-амперных характеристик биполярного транзистора (а): (– — -) — без сверхрешетки; (―) — со сверхрешеткой в эмиттерном переходе. Напряжение коллектор—эмиттер UCE составляет 0.2, 0.4 и 0.6 В; семейство выходных вольтамперных характеристик биполярного транзистора (б): (– — -) — без сверхрешетки; (―) — со сверхрешеткой в эмиттерном переходе. Ток базы IВ равен 1–5 мкА.
Важным отличием короткопериодной сверхрешетки от резонансно-туннельного диода (двойного потенциального барьера с квантовой ямой) является наличие нескольких областей с отрицательной дифференциальной проводимостью, проявляющихся даже при комнатной температуре. Наличие переходных слоев позволяет максимально сохранить симметрию сверхрешетки при приложении напряжения к эмиттерному переходу, что повышает коэффициент прохождения до максимально возможных значений, близких к единице. Это дает возможность получить отношение максимального тока к минимальному до 1.64 в области с отрицательной дифференциальной проводимостью.
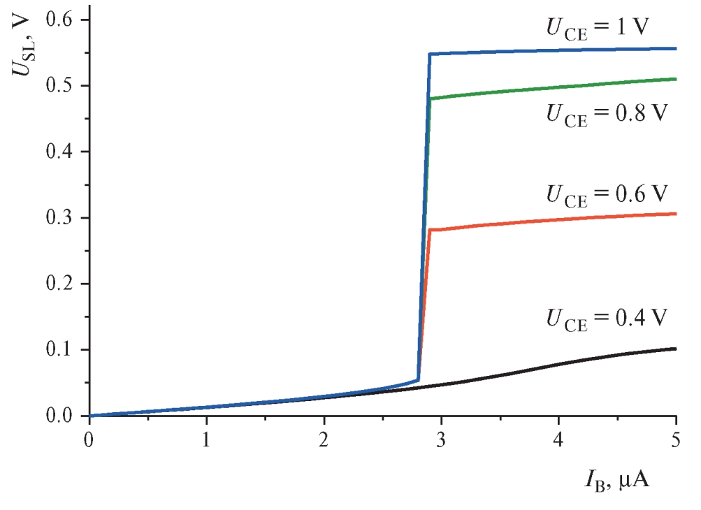
Далее было учтено влияние короткопериодной сверхрешетки в эмиттерном переходе. Падение напряжения на ней в зависимости от тока базы при различных напряжениях коллектор–эмиттер показаны на рис. 4. Предельные значения тока базы и напряжения коллектор–эмиттер выбирались, исходя из условия максимального падения напряжения на сверхрешетке, но не более 0.6 В, так как при больших значениях происходит значительный рост надбарьерного термоэмиссионного тока, приводящего к тепловому пробою исследуемой структуры.
Рис. 4. Зависимость падения напряжения на сверхрешетке (USL) от тока базы при различных напряжениях коллектор—эмиттер: UCE составляет 0.4, 0.6, 0.8 и 1.0 В.
Малая толщина базы снижает темп рекомбинации в ней, что увеличивает максимальный коэффициент усиления по току до 668. Инжектируемые сверхрешеткой электроны баллистически пролетают тонкую базу, формируя своеобразную “диаграмму направленности” по скоростям, что предполагает высокие предельные рабочие частоты транзистора вплоть до терагерцового диапазона.
Особенности вольтамперных характеристик исследуемой структуры обусловлены наличием сверхрешетки в эмиттерной цепи транзистора. В результате N-образная вольтамперная характеристика сверхрешетки проявляется на передаточных и на выходных характеристиках транзистора. Если ток базы составляет менее 2.8 мкА, ток насыщения коллектора не превышает 1.9 мА. Следовательно, ток эмиттера также менее 1.9 мА, сверхрешетка представляет собой сопротивление с характерным значением 36.4 Ом, а транзистор работает в обычном режиме. При токе базы свыше 2.8 мкА и напряжении коллектор–эмиттер свыше 0.38 В сверхрешетка переходит в область с отрицательной дифференциальной проводимостью, что приводит к снижению эмиттерного и коллекторного токов транзистора при росте тока базы. Дальнейший рост напряжения коллектор–база свыше 1.0 В переводит сверхрешетку в низкоимпедансное состояние с последующим тепловым пробоем.
ЗАКЛЮЧЕНИЕ
В работе рассмотрена перспективная полупроводниковая гетероструктура – биполярный транзистор со сверхрешеткой в области эмиттера. Предложена комплексная методика расчета, сочетающая квантово-механический расчет вольтамперной характеристики сверхрешетки и схемотехнический расчет вольтамперных характеристик биполярного транзистора в схеме включения с общим эмиттером, в которой сверхрешетка включена в эмиттерную цепь. Определена рабочая область параметров транзистора. Наличие области отрицательной дифференциальной проводимости позволяет использовать рассмотренную структуру не только для усиления, но также для генерации и умножения колебаний гипервысоких частот.
ФИНАНСИРОВАНИЕ
Работа профинансирована Министерством науки и высшего образования РФ в рамках государственного задания Нижегородского государственного университета им. Н. И. Лобачевского (FSWR-2021-011).
КОНФЛИКТ ИНТЕРЕСОВ
Авторы заявляют, что у них нет конфликта интересов.
Об авторах
О. Л. Голиков
Нижегородский государственный университет им. Н.И. Лобачевского
Email: khazanova@phys.unn.ru
Россия, Нижний Новгород
И. Ю. Забавичев
Нижегородский государственный университет им. Н.И. Лобачевского
Email: khazanova@phys.unn.ru
Россия, Нижний Новгород
А. С. Иванов
Нижегородский государственный университет им. Н.И. Лобачевского
Email: khazanova@phys.unn.ru
Россия, Нижний Новгород
С. В. Оболенский
Нижегородский государственный университет им. Н.И. Лобачевского
Email: khazanova@phys.unn.ru
Россия, Нижний Новгород
Е. C. Оболенская
Нижегородский государственный университет им. Н.И. Лобачевского
Email: khazanova@phys.unn.ru
Россия, Нижний Новгород
Д. Г. Павельев
Нижегородский государственный университет им. Н.И. Лобачевского
Email: khazanova@phys.unn.ru
Россия, Нижний Новгород
А. А. Потехин
Нижегородский государственный университет им. Н.И. Лобачевского
Email: khazanova@phys.unn.ru
Россия, Нижний Новгород
А. C. Пузанов
Нижегородский государственный университет им. Н.И. Лобачевского
Email: khazanova@phys.unn.ru
Россия, Нижний Новгород
Е. А. Тарасова
Нижегородский государственный университет им. Н.И. Лобачевского
Email: khazanova@phys.unn.ru
Россия, Нижний Новгород
С. В. Хазанова
Нижегородский государственный университет им. Н.И. Лобачевского
Автор, ответственный за переписку.
Email: khazanova@phys.unn.ru
Россия, Нижний Новгород
Список литературы
- Kholod A.N., Liniger M., Zaslavsky A., Arnaud d’Avitaya F. Cascaded resonant tunneling diode quantizer for analog-to-digital flash conversion // Appl. Phys. Lett., 79(1). 129 (2001).
- Ourednik P., Feiginov M. Double-resonant-tunneling-diode patch-antenna oscillators // Appl. Phys. Lett., 120(18), 183501 (2022).
- Reed M.A., Frensley W.R., Matyi R.J., Randall J.N., Seabaugh A.C. Realization of a three‐terminal resonant tunneling device: The bipolar quantum resonant tunneling transistor // Appl. Phys. Lett., 54(11), 1034 (1989).
- Tsai J.H. Application of an AlGaAs/GaAs/InGaAs heterostructure emitter for a resonant-tunneling transistor // Appl. Phys. Lett., 75(17), 2668 (1999).
- Попов В.Г. Полевой транзистор с двумерными системами носителей в затворе и канале // ФТП, 50(2), 236 (2016).
- Liu W.C., Lour W.S. Modeling the DC Performance of Heterostructure-Emitter Bipolar Transistor // Appl. Phys. Lett., 70(1), 486 (1991).
- Tsai J.H. Multiple negative differential resistance of InP/InGaAs superlattice-emitter resonant-tunneling bipolar transistor at room temperature // Appl. Phys. Lett., 83(13), 2695 (2003).
- Tsai J.H., Huang C.H., Lour W.S., Chao Y.T., Ou-Yang, Jhou High-performance InGaP/GaAs superlattice — emitter bipolar transistor with multiple S-shaped negative-differential-resistance switches under inverted operation mode // Thin Solid Films, 521, 168 (2012).
- Pavelyev D.G., Vasilev A.P., Kozlov V. A., Obolensky E.S., Obolensky S.V., Ustinov V.M. Increase of Self-Oscillation and Transformation Frequencies in THz Diodes // IEEE Transactions on Terahertz Science and Technology, 8(2), 231 (2018).
- Sun J.P., Mains R.K., Yang K., Haddad G.I. A self‐consistent model of Γ‐X mixing in GaAs/AlAs/GaAs quantum well structures using the quantum transmitting boundary method // J. Appl. Phys., 74(8), 5053 (1993).
- Ohnishi H., Inata T., Muto S., Yokoyama N., Shibatomi A. Self‐consistent analysis of resonant tunneling current // Appl. Phys. Lett., 49(19), 1248 (1986).
- Cahay M., McLennan M., Datta S., Lundstrom M.S. Importance of space‐charge effects in resonant tunneling devices // Appl. Phys. Lett., 50(10), 612 (1987).
- Кардона М.П.Ю. Основы физики полупроводников. М.: ФИЗМАТЛИТ, 2002. 560 с.
- Зи С. Физика полупроводниковых приборов. М.: Мир, 1984. Кн. 1. 456 с.
Дополнительные файлы







