Single Event Displacement Effects in a VLSI
- Authors: Chumakov A.I.1,2
-
Affiliations:
- National Research Nuclear University MEPhI (Moscow Engineering Physics Institute)
- JSC Specialized Electronic Systems
- Issue: Vol 52, No 4 (2023)
- Pages: 290-297
- Section: НАДЕЖНОСТЬ
- URL: https://bakhtiniada.ru/0544-1269/article/view/138567
- DOI: https://doi.org/10.31857/S0544126923700370
- EDN: https://elibrary.ru/SLCKEZ
- ID: 138567
Cite item
Full Text
Abstract
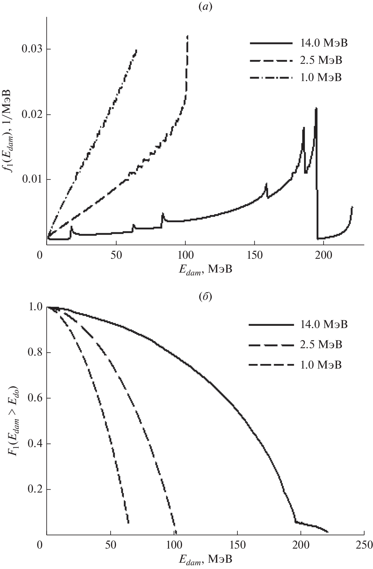
The research results of single event displacement effects in VLSI elements under the effect of neu-tron radiation are presented. The nonionizing energy losses in a sensitive microvolume of a VLSI element for the interaction of neutrons with silicon atoms are estimated. The influence of individual disordered regions and clusters of radiation defects on the performance of VLSIs are determined. The possibilities of fast anneal-ing effects and the additive effects of increasing the reverse p–n junction currents of individual VLSI elements on the conditions for the occurrence of failures of the entire microcircuit are shown.
About the authors
A. I. Chumakov
National Research Nuclear University MEPhI (Moscow Engineering Physics Institute); JSC Specialized Electronic Systems
Author for correspondence.
Email: aichum@spels.ru
Moscow, 115409 Russia; Moscow, 115409 Russia
References
- Petersen E. Single Event Effects in Aerospace. Wiley-IEEE Press. 2011. 520 p.
- Чумаков А.И. Действие космической радиации на ИС. М.: Радио и Связь. 2004. 320 с.
- Агаханян Т.М., Аствацатурьян Е.Р., Скоробогатов П.К., Чумаков А.И. Физические ограничения на стойкость биполярных полупроводниковых структур в ИМС повышенной степени интеграции к дестабилизирующим воздействиям // Микроэлектроника. 1984. Т. 13. № 5. С. 392–400.
- Агаханян Т.М., Аствацатурьян Е.Р., Чумаков А.И. Особенности использования БИС и сверхБИС в аппаратуре ядерного физического эксперимента // В сб.: Электронные приборы и схемы для экспериментальной физики / Под ред. Т.М. Агаханяна. М.: Энергоатомиздат. 1983. С. 3–9.
- https://www.sr-niel.org/index.php/sr-niel-long-write-up/sr-niel-results.
- Ionizing Radiation Effects in Electronics: From Memories to Imagers / Ed. by M. Bagatin and S. Gerardin. Tyalor&Francis Group. 2016. 390 p.
- Srour J.R., Palko J.W. Displacement Damage Effects in Irradiated Semiconductor Devices // IEEE Transactions on Nuclear Science. 2013. V. 60. № 3. P. 1740–1766.
- http://www.srim.org.
- https://geant4.web.cern.ch/support.
- McMurray L.R., Messenger G.C. Rapid annealing factor for bipolar silicon devices irradiated by fast neutron pulse // IEEE Trans. Nucl. Sci. 1981. V. 28. № 6. P. 4392–4396.
- Agahanyan T.M., Astvacaturyan E.R., Chumakov A.I. On the possibility of controlling non-stationary annealing characteristics in a stationary environment // International J. Electronics. 1986. V. 61. № 1. P. 73–78.
- Чумаков А.И. Оценка чувствительности интегральных схем к одиночным радиационным эффектам для точечной области собирания заряда // Микроэлектроника. 2015. Т. 44. № 1. С. 34–40.
- Chumakov A.I. Modified Charge Collection Model by Point Node for SEE Sensitivity Estimation // Proceedings of the European Conference on Radiation and its Effects on Components and Systems, RADECS. 2015. December. P. 511–515.
- Радиационная стойкость изделий ЭКБ: Научное издание // Под ред. А.И. Чумакова. М.: НИЯУ МИФИ. 2015. 512 с.
- Xiao-Ming Jin. Single event upset on static random access memory devices due to spallation, reactor, and monoenergetic neutrons // Chinese Phys. B 28. № 10. 2019. P. 104212-1–104212-10.
Supplementary files







