Influence of Boundary Conditions on Quantum Magnetotransport in a Thin Film
- Autores: Kuznetsova I.A.1, Savenko O.V.1, Romanov D.N.1
-
Afiliações:
- Demidov Yaroslavl State University
- Edição: Volume 52, Nº 4 (2023)
- Páginas: 262-281
- Seção: МОДЕЛИРОВАНИЕ
- URL: https://bakhtiniada.ru/0544-1269/article/view/138558
- DOI: https://doi.org/10.31857/S0544126923700400
- EDN: https://elibrary.ru/UYUDNQ
- ID: 138558
Citar
Texto integral
Resumo
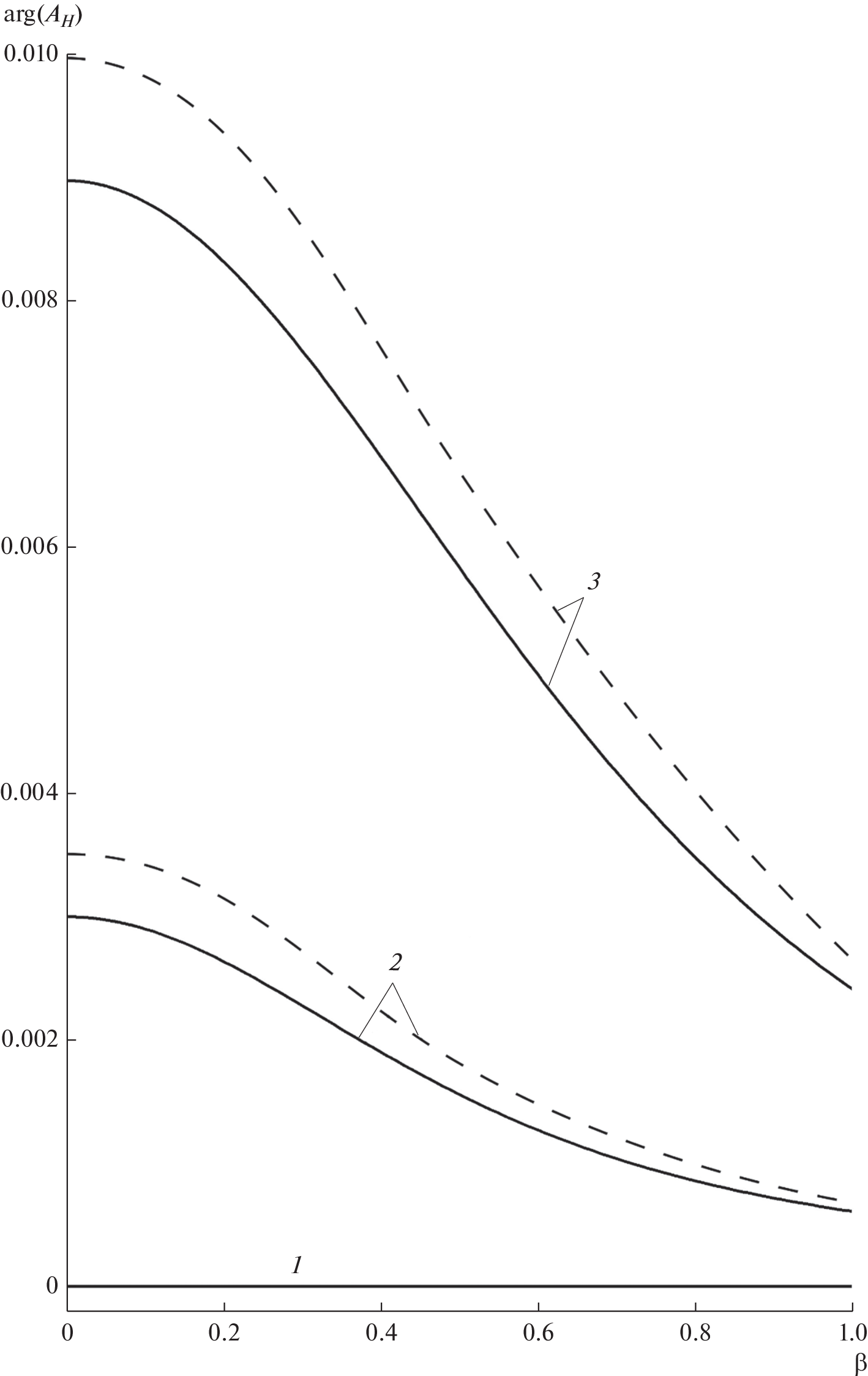
Analytical expressions are obtained for the Hall coefficients and the magnetoresistance of a thin semiconductor film. The case of a weak magnetic field is considered and the effects related to the splitting of the energy spectrum of charge carriers into Landau levels are not taken into account. The isoenergetic surface of a semiconductor material is an ellipsoid of revolution (spheroid). The transition to the limiting cases of degenerate and nondegenerate electron gases and mirror boundaries is carried out. The behavior of charge carriers is described by the quantum Liouville equation. The effect of the surface scattering of charge carriers is taken into account through the Soffer boundary conditions. The dependence of the Hall coefficients and magnetoresistance on the film thickness, induction of an external magnetic field, and film surface roughness is analyzed.
Palavras-chave
Sobre autores
I. Kuznetsova
Demidov Yaroslavl State University
Email: romanov.yar357@mail.ru
Yaroslavl, 150003 Russia
O. Savenko
Demidov Yaroslavl State University
Email: romanov.yar357@mail.ru
Yaroslavl, 150003 Russia
D. Romanov
Demidov Yaroslavl State University
Autor responsável pela correspondência
Email: romanov.yar357@mail.ru
Yaroslavl, 150003 Russia
Bibliografia
- Звездин А.К., Давыдова М.Д., Звездин К.А. // УФН. 2018. Т. 188. С. 1238.
- Блинов М.И., Черненко В.А., Прудников В.Н., Асегуинолаза И.Р., Барандиаран Ж.М., Ладеранта Э., Ховайло В.В., Грановский А.Б. // ЖЭТФ. 2021. Т. 159. С. 546.
- Семенчинский С.Г. Измерительная техника. 2021. Т. 1. С. 9.
- Soffer S.B. // J. Appl. Phys. 1967. V. 38. P. 1710.
- Ünal B. // AIP Advances. 2012. V. 2. P. 042145.
- Chatterjee S., Meyerovich A.E. // Physical review. 2010. V. 81. P. 245409.
- Bihun R.I., Stasyuk Z.V., Balitskii O.A. // Physica B: Condens. Matter. 2016. V. 487. P. 73.
- Kuznetsova I.A., Savenko O.V., Romanov D.N. // JPCS. 2021. V. 2056. P. 012018.
- Kuznetsova I.A., Savenko O.V., Romanov D.N. // Phys. Lett. A. 2022. V. 427. P. 127933.
- Демидов Е.В., Грабов В.М., Комаров В.А., Крушельницкий А.Н., Суслов А.В., Суслов М.В. // ФТП. 2019. Т. 63. С. 736.
Arquivos suplementares















