Cross Sections of Scattering Processes in Electron-Beam Lithography
- Authors: Rogozhin A.E.1, Sidorov F.A.1
-
Affiliations:
- Valiev Institute of Physics and Technology Institute, Russian Academy of Sciences
- Issue: Vol 52, No 2 (2023)
- Pages: 110-126
- Section: LITHOGRAPHY
- URL: https://bakhtiniada.ru/0544-1269/article/view/138487
- DOI: https://doi.org/10.31857/S0544126923700266
- EDN: https://elibrary.ru/PZAFFC
- ID: 138487
Cite item
Full Text
Abstract
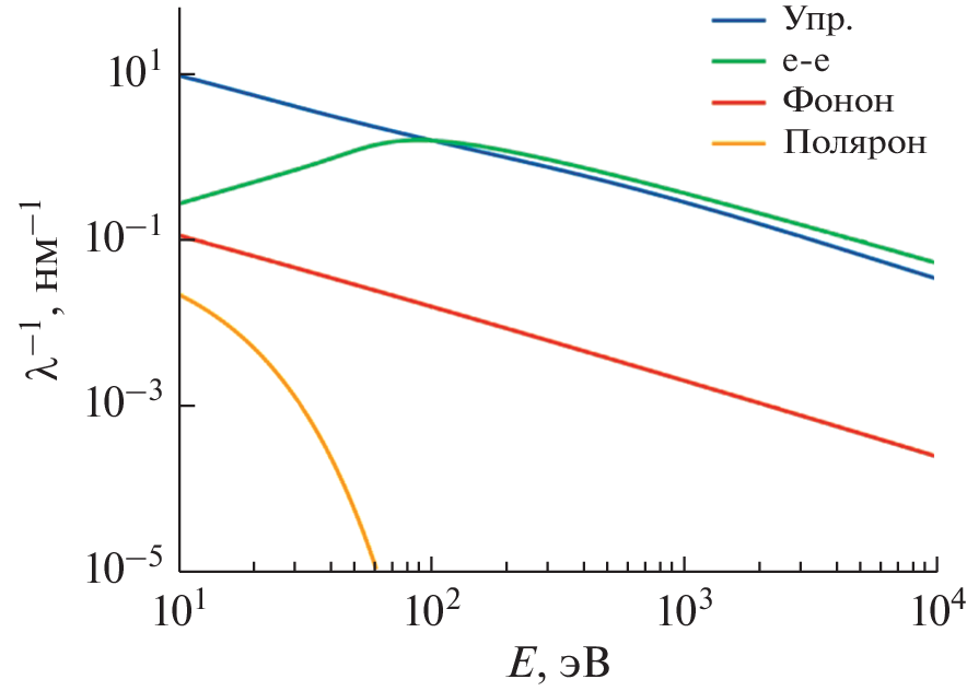
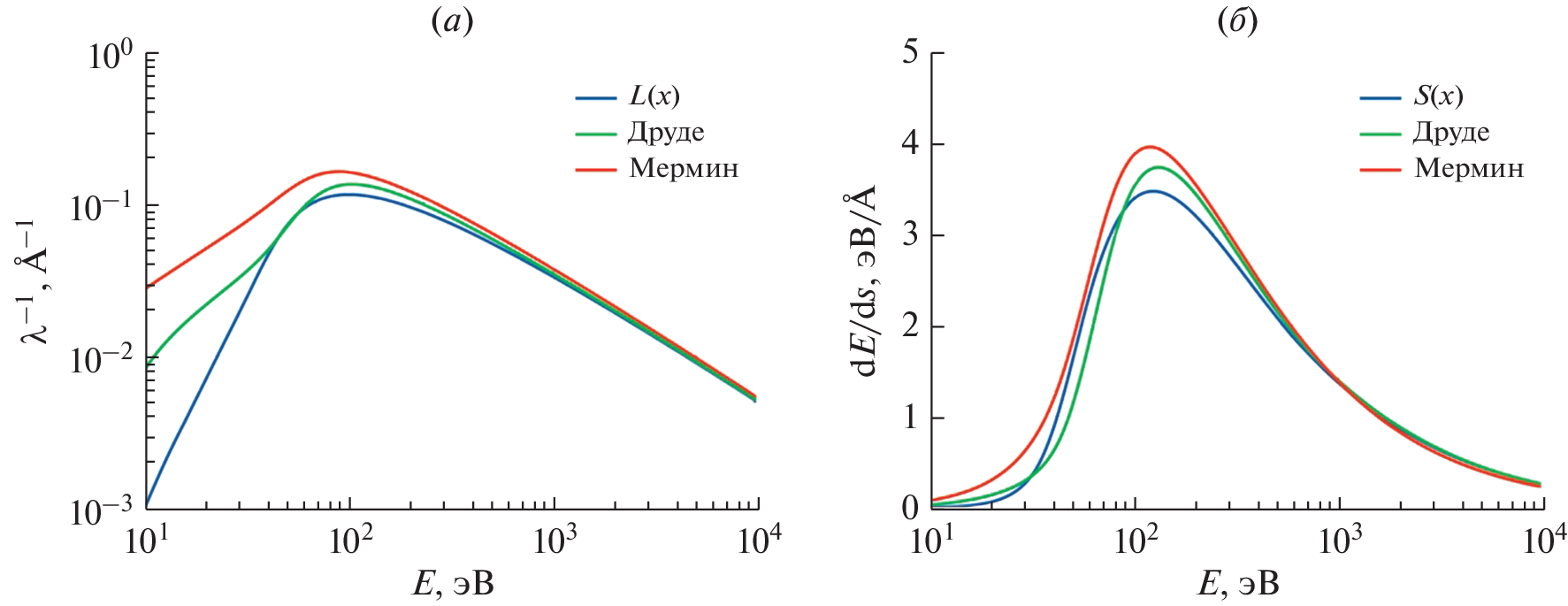
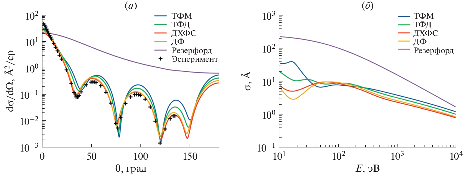
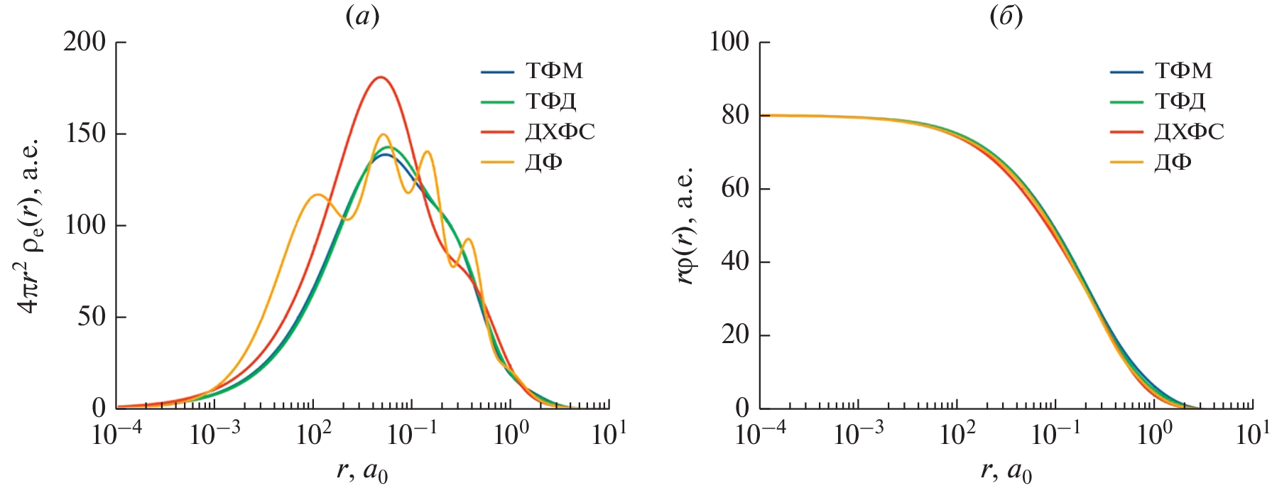
Modern models that are used to describe the processes of elastic, quasi-elastic, and inelastic scat-tering are considered. For elastic scattering, various forms of the electrostatic interaction potential, the exchange interaction potential, and the correlation-polarization potential are presented. For quasi-elastic processes, including electron-phonon and electron-polaron scattering, a model based on the theory of dielectrics and an empirical model are presented. Inelastic scattering is described based on the energy loss function, which is constructed using three different approaches.
About the authors
A. E. Rogozhin
Valiev Institute of Physics and Technology Institute, Russian Academy of Sciences
Email: sidorov@ftian.ru
Moscow, 117218 Russia
F. A. Sidorov
Valiev Institute of Physics and Technology Institute, Russian Academy of Sciences
Author for correspondence.
Email: sidorov@ftian.ru
Moscow, 117218 Russia
References
- Chang T.H.P. Proximity effect in electron-beam lithography // J. Vac. Sci. Technol. Nov. 1975. V. 12. № 6. P. 1271–1275.
- Nilsson B.A. Experimental evaluation method of point spread functions used for proximity effects correction in electron beam lithography // J. Vac. Sci. Technol. B, Nanotechnol. Microelectron. Mater. Process. Meas. Phenom. 2011. V. 29. № 6. P. 06F311.
- Greeneich J.S., T. Van Duzer. Model for Exposure of Electron-Sensitive Resists // J. Vac. Sci. Technol. Nov. 1973. V. 10. № 6. P. 1056–1059.
- Greeneich J.S., T. Van Duzer. An Exposure Model For Electron-Sensitive Resists // IEEE Trans. Electron Devices. 1974. V. 21. № 5. P. 286–299.
- Greeneich J.S. Solubility Rate of Poly-(Methyl Methacrylate), PMMA, Electron-Resist // J. Electrochem. Soc. 1974. V. 121. № 12. P. 1669.
- Greeneich J.S. Developer Characteristics of Poly-(Methyl Methacrylate) Electron Resist // J. Electrochem. Soc. 1975. V. 122. № 7. P. 970.
- Glezos N. Application of a new analytical technique of electron distribution calculations to the profile simulation of a high sensitivity negative electron-beam resist // J. Vac. Sci. Technol. B Microelectron. Nanom. Struct. Nov. 1992. V. 10. № 6. P. 2606.
- Schmoranzer H., Reisser M. Spatial energy deposition distribution by a keV-electron beam in resist layers for electron-beam lithography // Nucl. Instruments Methods Phys. Res. Sect. B Beam Interact. with Mater. Atoms. 1995. V. 105. № 1–4. P. 35–41.
- Paul B.K. An analytical model of the diffusive scattering of low-energy electrons in electron-beam resists // Microelectron. Eng. 1999. V. 49. № 3–4. P. 233–244.
- Raptis I., Glezos N., Hatzakis M. Use of the Boltzmann transport equation for the evaluation of energy deposition in the case of electron sensitive resist films over composite substrates // Microelectron. Eng. 1993. V. 21. № 1–4. P. 289–292.
- Stepanova M. et al. Simulation of electron beam lithography of nanostructures // J. Vac. Sci. Technol. B, Nanotechnol. Microelectron. Mater. Process. Meas. Phenom. 2010. V. 28. № 6. P. C6C48–C6C57.
- Kyser D.F., Viswanathan N.S. Monte Carlo simulation of spatially distributed beams in electron-beam lithography // J. Vac. Sci. Technol. 2002. V. 12. № 6. P. 1305–1308.
- Shimizu R., Everhart T.E. A semiempirical stopping-power formula for use in microprobe analysis // Appl. Phys. Lett. 1978. V. 33. № 8. P. 784–786.
- Adesida I., Shimizu R., Everhart T.E. A study of electron penetration in solids using a direct Monte Carlo approach // J. Appl. Phys. 1980. V. 51. № 11. P. 5962–5969.
- Samoto N., Shimizu R. Theoretical study of the ultimate resolution in electron beam lithography by Monte Carlo simulation, including secondary electron generation: Energy dissipation profile in polymethylmethacrylate // J. Appl. Phys. 1983. V. 54. № 7. P. 3855–3859
- Kim S.-H., Ham Y.-M., Lee W., Chun K. New approach of Monte Carlo simulation for low energy electron beam lithography // Microelectron. Eng. 1998. V. 41–42. P. 179–182.
- Ivin V.V., Silakov M.V., Vorotnikova N.V., Resnick D.J., Nordquist K.N., Siragusa L. Efficient and robust algorithms for Monte Carlo and e-beam lithography simulation // Microelectron. Eng. 2001. V. 57–58. P. 355–360.
- Glezos N., Raptis I. A fast electron beam lithography simulator based on the Boltzmann transport equation // IEEE Trans. Comput. Des. Integr. Circuits Syst., 1996. V. 15. № 1. P. 92–102.
- Aktary M., Stepanova M., Dew S.K., Simulation of the spatial distribution and molecular weight of polymethylmethacrylate fragments in electron beam lithography exposures // J. Vac. Sci. Technol. B Microelectron. Nanom. Struct. 2006.V. 24. № 2. PP. 768–779.
- Stepanova M. et al. Simulation of electron beam lithography of nanostructures // J. Vac. Sci. Technol. B, Nanotechnol. Microelectron. Mater. Process. Meas. Phenom. Nov. 2010. V. 28. № 6. P. C6C48–C6C57.
- Асадов С.М., Мустафаева С.Н., Лукичев В.Ф., Келбалиев К.И. Концентрационные зависимости переноса заряда и кинетика Монте-Карло моделирования роста 2D моно- и нанокристаллов халькогенидов галлия // Микроэлектроника. 2022. V. 51. № 1. P. 48–59.
- Пермякова О.О. Рогожин А.Е. Моделирование резистивного переключения в мемристорных структурах на основе оксидов переходных металлов // Микроэлектроника, 2020. Т. 49. № 5. С. 323–333.
- Борздов В.М., Борздов А.В., Сперанский Д.С., Вьюрков В.В., Орликовский А.А. Оценка эффективной пороговой энергии межзонной ударной ионизации в глубокосубмикронном кремниевом n-канальном МОП-транзисторе // Микроэлектроника. 2014. Т. 43. № 3. С. 188–192.
- Руденко М.К., Мяконьких А.В., Лукичев В.Ф. Моделирование методом Монте-Карло дефектов профиля тренча в процессе глубокого криогенного травления кремния // Микроэлектроника. 2019. Т. 48. № 3. С. 191–200.
- Руденко М.К., Мяконьких А.В., Лукичев В.Ф. Численное моделирование криогенного травления: модель с отложенной десорбцией // Микроэлектроника. 2021. Т. 50. № 1. С. 58–67.
- Рогожин А.Е., Сидоров Ф.А. Моделирование процессов электронно-лучевой литографии // Микроэлектроника. 2020. Т. 49. № 2. С. 116–132.
- Dapor M. Transport of Energetic Electrons in Solids, 2014.V. 257. Cham: Springer International Publishing.
- Marrian C.R.K. Modeling of electron elastic and inelastic scattering // J. Vac. Sci. Technol. B Microelectron. Nanom. Struct. 1996. V. 14. № 6. P. 3864.
- Ding-Ju J., Zhen-Yu T. A Monte Carlo Study of Low-Energy Electron Transport in Liquid Water: Influence of the Rutherford Formula and the Mott Model // Chinese Phys. Lett. 2010. V. 27. № 3. P. 033401.
- Dapor M. Elastic scattering calculations for electrons and positrons in solid targets // J. Appl. Phys. 1996. V. 79. № 11. P. 8406–8411.
- Mott N.F., Massey H.S.W. The Theory Of Atomic Collisions. Oxford University Press, London, 1949.
- Dapor M. Elastic scattering of electrons and positrons by atoms: differential and transport cross section calculations // Nucl. Instruments Methods Phys. Res. Sect. B Beam Interact. with Mater. Atoms. Apr. 1995. V. 95. № 4. P. 470–476.
- Czyżewski Z., MacCallum D.O.N., Romig A., Joy D.C. Calculations of Mott scattering cross section // J. Appl. Phys. Oct. 1990. V. 68. № 7. P. 3066–3072.
- Gauvin R., Drouin D. A formula to compute total elastic mott cross-sections // Scanning. 1993. V. 15. № 3. P. 140–150.
- Salvat F., Jablonski A., Powell C.J. Elsepa-Dirac partial-wave calculation of elastic scattering of electrons and positrons by atoms, positive ions and molecules // Comput. Phys. Commun. 2005. V. 165. № 2. P. 157–190.
- Thomas L.H. The calculation of atomic fields // Math. Proc. Cambridge Philos. Soc. 1927. V. 23. № 5. P. 542–548.
- Fermi E. No Un metodo statistico per la determinazione di alcune priorieta dell’atome // Rend. Accad. Naz. Lincei. 1927. V. 6. P. 602–607.
- Bethe H., Jackiw R. Intermediate Quantum Mechanics. New York - Amsterdam: CRC Press, 1986.
- Molière G. Theorie der Streuung schneller geladener Teilchen // Zeitschrift für Naturforsch. A. Mar. 1955. V. 10. № 3. P. 177–211.
- Thomas L.H. Tables of statistical electron distributions for atoms with degree of ionization zero to four and of the corresponding electrostatic potentials // J. Chem. Phys. 1954. V. 22. № 10. P. 1758–1767.
- Bonham E.A., Strand T.G. Analytical expressions for potentials of neutral thomas-fermi-dirac atoms and for the corresponding atomic scattering factors for x rays and electrons // J. Chem. Phys. 1963. V. 39. № 9. P. 2200–2204.
- Liberman D., Waber J.T., Cromer D.T. Self-consistent-field dirac-slater wave functions for atoms and ions. I. Comparison with previous calculations // Phys. Rev. 1965. V. 137. № 1. P. A27–A34.
- Liberman D.A., Cromer D.T., Waber J.T. Relativistic self-consistent field program for atoms and ions // Comput. Phys. Commun. 1971. V. 2. № 2. P. 107–113.
- Salvat F., Martnez J.D., Mayol R., Parellada J. Analytical Dirac-Hartree-Fock-Slater screening function for atoms (Z = 1–92) // Phys. Rev. A. 1987. V. 36. № 2. P. 467–474.
- Desclaux J.P. A multiconfiguration relativistic DIRAC-FOCK program // Comput. Phys. Commun. Jan. 1975. V. 9. № 1. P. 31–45.
- Fischer C.F., Godefroid M., Brage T., Jönsson P., Gaigalas G. Advanced multiconfiguration methods for complex atoms: I. Energies and wave functions // J. Phys. B At. Mol. Opt. Phys. 2016. V. 49. № 18. P. 1–35.
- Yates A.C. Spin Polarization of Low-Energy Electrons Scattered Elastically from Atoms and Molecules // Phys. Rev. Dec. 1968. V. 176. № 1. P. 173–180.
- Bransden B.H., McDowell M.R.C., Noble C.J., Scott T. Equivalent exchange potentials in electron scattering // J. Phys. B At. Mol. Phys. Jun. 1976. V. 9. № 8. P. 1301–1317.
- Slater J.C. A simplification of the Hartree-Fock method // Phys. Rev. V. 81. № 3. P. 385–390. 1951.
- Riley M.E., Truhlar D.G. Approximations for the exchange potential in electron scattering // J. Chem. Phys. 1975. V. 63. № 5. P. 2182–2191.
- Karnakov B.M., Krainov V.P. WKB Approximation in Atomic Physics. Berlin, Heidelberg: Springer Berlin Heidelberg, 2013.
- Furness J.B., McCarthy I.E. Semiphenomenological optical model for electron scattering on atoms // J. Phys. B At. Mol. Phys. Nov. 1973. V. 6. № 11. P. 2280–2291.
- Salvat F. Optical-model potential for electron and positron elastic scattering by atoms // Phys. Rev. A – At. Mol. Opt. Phys. 2003.V. 68. № 1. P. 17.
- Weast R.C., Handbook of chemistry and physics, 49th ed // Am. J. Med. Sci. 1969. V. 257. № 6. P. 423.
- Perdew J.P., Wang Y., Erratum: Accurate and simple analytic representation of the electron-gas correlation energy (Physical Review B (1992) 45 (13244) // Phys. Rev. B. 2018. V. 98. № 7. P. 244–249. https://doi.org/10.1103/PhysRevB.45.13244
- Salvat F., Jablonski A., Powell C.J. Elsepa—Dirac partial-wave calculation of elastic scattering of electrons and positrons by atoms, positive ions and molecules // Comput. Phys. Commun. Jan. 2005. V. 165. № 2. P. 157–190.
- Tan Z., Xia Y., Liu X., Zhao M. Monte-Carlo simulation of low-energy electron scattering in PMMA – Using stopping powers from dielectric formalism // Microelectron. Eng., 2005. V. 77. № 3–4. P. 285–291.
- Wang F., Li D.-J., Li X.-J., Cui W.-Z., Hu T.-C., Cao M. Modelling energy deposition in polymethyl methacrylate with low-energy electron irradiation // Micron. 2022.V. 156. P. 103232.
- Lee Y., Lee W., Chun K., Kim H. New three dimensional simulator for low energy (∼1 keV) electron beam systems // J. Vac. Sci. Technol. B Microelectron. Nanom. Struct., 2002.V. 17. № 6. P. 2903.
- Ciappa M. Monte Carlo modeling in the low-energy domain of the secondary electron emission of polymethylmethacrylate for critical-dimension scanning electron microscopy // J. Micro/Nanolithography, MEMS, MOEMS. 2010.V. 9. № 2. P. 023001.
- Tanuma S., Powell C.J., Penn D.R. Calculations of electron inelastic mean free paths. V. Data for 14 organic compounds over the 50-2000 eV range // Surf. Interface Anal. 1994. V. 21. № 3. P. 165–176.
- Roberts R.F., Allara D.L., Pryde C.A., Buchanan D.N.E., Hobbins N.D. Mean free path for inelastic scattering of 1.2 kev electrons in thin poly(methylmethacrylate) films // Surf. Interface Anal. 1980. V. 2. № 1. P. 5–10.
- Tahir D.and Sari N.H. Stopping powers and inelastic mean free path of 200 eV–50 keV electrons in polymer PMMA, PE, and PVC // Appl. Radiat. Isot. 2015. V. 95. P. 59–62.
- Tan Z., Xia Y., Liu X., Zhao M., Zhang L. A new calculation on the stopping power and mean free path for low energy electrons in toluene over energy range of 20–10 000 eV // Appl. Radiat. Isot. 2009. V. 67. № 4. P. 625–629.
- Fröhlich H. Electrons in lattice fields // Adv. Phys., Jul. 1954. V. 3. № 11. P. 325–361.
- Llacer J., Garwin E.L. Electron-Phonon Interaction in Alkali Halides. I. The Transport of Secondary Electrons with Energies between 0.25 and 7.5 eV // J. Appl. Phys. Jun. 1969. V. 40. № 7. P. 2766–2775.
- Ganachaud J.P., Mokrani A. Theoretical study of the secondary electron emission of insulating targets // Surf. Sci. Jul. 1995. V. 334. № 1–3. P. 329–341.
- Dapor M. Secondary electron emission yield calculation performed using two different Monte Carlo strategies // Nucl. Instruments Methods Phys. Res. Sect. B Beam Interact. with Mater. Atoms. Jul. 2011. V. 269. № 14. P. 1668–1671.
- Dapor M. Role of the tail of high-energy secondary electrons in the Monte Carlo evaluation of the fraction of electrons backscattered from polymethylmethacrylate // Appl. Surf. Sci. Jan. 2017. V. 391. P. 3–11.
- Bethe H. Zur Theorie des Durchgangs schneller Korpuskularstrahlen durch Materie // Ann. Phys. 1930. V. 397. № 3. P. 325–400.
- Bethe J., Ashkin H. Experimental Nuclear Physics. New York: Wiley, 1953.
- Rogozhin A.E., Sidorov F.A. E-Beam Lithography Simulation Techniques // Russ. Microelectron. Mar. 2020. V. 49. № 2. P. 108–122.
- Lindhard J. On the properites of a gas of charged particles // Kgl. Danske Vidensk. Selsk. Mat-fys. Medd. 1954. V. 28. P. 8.
- Ritchie R.H. Interaction of Charged Particles with a Degenerate Fermi-Dirac Electron Gas // Phys. Rev., May 1959. V. 114. № 3. P. 644–654.
- Dapor M. Energy loss of fast electrons impinging upon polymethylmethacrylate // Nucl. Instruments Methods Phys. Res. Sect. B Beam Interact. with Mater. Atoms. 2015. V. 352. P. 190–194.
- Palik E.D. Handbook of Optical Constants of Solids. USA: Academic Press, 1998.
- Ritsko J.J., Brillson L.J., Bigelow R.W., Fabish T.J. Electron energy loss spectroscopy and the optical properties of polymethylmethacrylate from 1 to 300 eV // J. Chem. Phys. 1978. V. 69. № 9. P. 3931–3939.
- Henke B.L., Gullikson E.M., Davis J.C. X-Ray Interactions: Photoabsorption, Scattering, Transmission, and Reflection at E = 50–30 000 eV, Z = 1–92 // At. Data Nucl. Data Tables. Jul. 1993. V. 54. № 2. P. 181–342.
- Henke B.L., Lee P., Tanaka T.J., Shimabukuro R.L., Fujikawa B.K. Low-energy x-ray interaction coefficients: Photoabsorption, scattering, and reflection // At. Data Nucl. Data Tables. Jan. 1982. V. 27. № 1. P. 1–144.
- Biggs F., Lighthill R. Analytical Approximations for X‑Ray Cross Sections III // Natl. Tech. Inf. Serv. 1988.
- Fano U., Cooper J.W. Spectral distribution of atomic oscillator strengths // Rev. Mod. Phys. 1968. V. 40. № 3. P. 441–507.
- Ashley J.C. Simple model for electron inelastic mean free paths: Application to condensed organic materials // J. Electron Spectros. Relat. Phenomena, Jan. 1982. V. 28. № 2. P. 177–194.
- Ashley J.C. Energy loss rate and inelastic mean free path of low-energy electrons and positrons in condensed matter // J. Electron Spectros. Relat. Phenomena. Jan. 1990. V. 50. № 2. P. 323–334.
- Ritchie R.H., Howie A. Electron excitation and the optical potential in electron microscopy // Philos. Mag. 1977. V. 36. № 2. P. 463–481.
- Akkerman A., Boutboul T., Breskin A., Chechik R., Gibrekhterman A., Lifshitz Y. Inelastic Electron Interactions in the Energy Range 50 eV to 10 keV in Insulators: Alkali Halides and Metal Oxides // Phys. Status Solidi. Dec. 1996. V. 198. № 2. P. 769–784.
- Valentin A., Raine M., Sauvestre J.E. Inelastic cross-sections of low-energy electrons in silicon for the simulation of heavy ion tracks with the GEANT4-DNA toolkit // 2010. № 2. P. 80–85.
- Valentin A., Raine M., Sauvestre J.E., Gaillardin M., Paillet P. Geant4 physics processes for microdosimetry simulation: Very low energy electromagnetic models for electrons in silicon // Nucl. Instruments Methods Phys. Res. Sect. B Beam Interact. with Mater. Atoms. 2012. V. 288. P. 66–73.
- MerminN.D. Lindhard Dielectric Function in the Relaxation-Time Approximation // Phys. Rev. B. Mar. 1970. V. 1. № 5. P. 2362–2363.
- Dapor M. Mermin Differential Inverse Inelastic Mean Free Path of Electrons in Polymethylmethacrylate // Front. Mater. 2015. V. 2. № April. P. 10–12.
- Vera P.De, Abril I., Garcia-Molina R. Inelastic scattering of electron and light ion beams in organic polymers // J. Appl. Phys., 2011. V. 109. № 9.
Supplementary files










