Dynamic Structure of Organic Compounds in Solution According to NMR Data and Quantum Mechanical Calculations. V. Substituted Benzalanilines
- Authors: Stanishevsky V.V.1, Shestakova A.K.2, Chertkov V.A.1
-
Affiliations:
- Lomonosov Moscow State University
- State Scientific Research Institute of Chemistry and Technology of Organoelement Compounds
- Issue: Vol 61, No 1 (2025)
- Pages: 55-68
- Section: ЭКСПЕРИМЕНТАЛЬНЫЕ СТАТЬИ
- URL: https://bakhtiniada.ru/0514-7492/article/view/291850
- DOI: https://doi.org/10.31857/S0514749225010039
- EDN: https://elibrary.ru/AFZGYW
- ID: 291850
Cite item
Abstract
We investigated the dynamic structure of benzalaniline derivatives, in which an important factor is the inhibited internal rotation of benzene rings. The parameters of conformational processes of this type are characterized based on NMR spectroscopy data and quantum mechanical calculations. In these compounds, nitrogen atoms play a key role. It has been shown that important information is provided by NMR parameters with the direct participation of nitrogen, which become available in experiments with 15N-enriched compounds. Important new information about the conformation of molecules of this class can be provided by the spin-spin interaction constants involving 15N nuclei. A series of [15N]enriched benzalaniline derivatives with substituents in the ortho position of the benzene ring distant from the nitrogen was studied. It has been shown that substituents can act as both a stabilizing (R = F, OH, OCH3) and a destabilizing factor (R = CH3). The influence of medium acidity on these conformational equilibria was studied. This type of structural motif can be used to design pH-induced molecular switches. According to our estimates, the molecular switching energy of [15N]-2-fluorobenzalaniline is ~7 kcal/mol, which is one of the highest values for molecular switches of this type.
Full Text
Динамическая структура молекул в растворе по данным спектроскопии ЯМР и квантово-химических расчетов: V1. Конформация и кисотно-основные равновесия производных бензилиденанилина
ВВЕДЕНИЕ
Основным изотопом азота является 14N, ядро которого является квадрупольным.
Сигналы в спектрах ЯМР 14N (спин 1) имеют короткие времена релаксации для подавляющего большинства органических соединений, что делает эти спектры малоинформативными [1, 2]. Напротив, минорный изотоп 15N имеет спин ½ и приемлемые для регистрации спектров ЯМР времена релаксации. Однако благодаря низкому природному содержанию изотопа 15N (0.38%) в спектрах ЯМР 1Н и 13С соответствующие 15N-сателлитные сигналы оказываются настолько слабыми, что даже наиболее точные современные методы цифровой обработки спектров ЯМР [3, 4] не позволяют получить надежные значения констант спин-спинового взаимодействия КССВ с участием азота-15. Использование 15N меченых соединений может дать новую информацию о структуре и конформации азотсодержащих соединений. При этом, во-первых, появляется возможность прямого наблюдения ядер 15N, в том числе КССВ 1H–15N, 13C–15N. Помимо этого, в спектрах ЯМР 15N-обогащенных соединений уже нет нежелательных уширений сигналов, вызываемых квадрупольным ядром азота 14N, что позволит получить лучшее разрешение компонент мультиплетной структуры спектров ЯМР и дать новую информацию на основе ЯМР-экспериментов о КССВ 1H–1H и 13C–1H.
Экспериментальные данные могут быть использованы для характеристики динамической структуры производных бензилиденанилина. В настоящей работе охарактеризовано взаимодействие находящихся в удаленном от атома азота бензольном кольце групп H, CH3, F, OH и OCH3 с неподеленной парой электронов азота бензилиденанилина и со связью Н–N+ соответствующих протонированных форм. Данные эксперимента сопоставляли с результатами квантово-механических расчетов потенциалов внутреннего вращения вокруг связи Ar–CH и КССВ 13C–15N во всех исследованных соединениях.
РЕЗУЛЬТАТЫ И ОБСУЖДЕНИЕ
Имеющиеся данные литературы позволяют рассчитывать на то, что ключевая информация о динамической структуре азотсодержащих соединений может быть получена с использованием КССВ 15N–H и 15N–13C [5, 6]. В работе синтезирована серия селективно меченых изотопом 15N соединений, зарегистрированы спектры ЯМР высокого разрешения с использованием метода ЯМР титрования, проведен “встречный” квантово-механический расчет поверхности потенциальной энергии (ППЭ) и целевых КССВ 15N–13C для конформационного анализа изучаемых молекул, как в форме свободных оснований, так и в протонированных формах. На этой базе нами сделана оценка конформационного состояния ряда исследуемых молекулярных систем и проанализирована возможность построения молекулярных переключателей нового типа, основанных за счет образования водородной связи гетероатома заместителя с протоном при азометиновом азоте замещенного бензальанилина.
Для исследования конформационных равновесий производных бензилиденанилинов нами были выбраны соединения, содержащие орто-заместитель в бензальном кольце азометинового соединения. В данных соединениях возможно взаимодействие орто-заместителей с неподеленной электронной парой атома азота в нейтральных молекулах или со связью N+–H в протонированных формах. Проведенные нами тестовые расчеты показали, что заместители при мета- и пара-углеродных атомах находятся на слишком большом расстоянии от атома азота и не могут участвовать в образовании внутримолекулярной водородной связи такого типа.
Бензилиденанилин 1 (схема 1) служил отправной точкой при изучении конформационных свойств соединений 1–5. При введении заместителей в молекулу возникают внутримолекулярные эффекты, такие как стерическое отталкивание и/или невалентное взаимодействие с удаленным протоном в закисленных формах основания Шиффа [7]. По нашему мнению, особый интерес в качестве заместителя представляет фтор. Этот элемент широко представлен в лекарственных препаратах [8, 9]. Новые данные о параметрах водородных связей атома фтора с удаленным протоном (схема 1), могут оказаться полезными при оценке механизмов молекулярного распознавания в комплексах гость–хозяин со сложными органическими лигандами [10].
Схема 1. Нумерация атомов в производных бензилиденанилина 1–5 и 1а–5а
Для нейтральной формы соединения 2 следует ожидать достаточно сильное стерическое отталкивание метильной группы с неподеленной электронной парой азота за счет невалентных взаимодействий. Однако в протонированной форме этого соединения должно наблюдаться еще более сильное стерическое напряжение за счет Ван-дер-Ваальсового отталкивания между метильной группой и атомом водорода иминогруппы.
Примерно 20% молекул предложенных в последние годы лекарственных препаратов содержат в своем составе атом фтора, а азот является одним из важнейших биогенных элементов. Изучение взаимодействия данных атомов является актуальной задачей. Отталкивание неподеленной электронной парой атомов азота и фтора в соединении 3 должно приводить к дестабилизации конформации, когда эти атомы располагаются близко в пространстве. С другой стороны, атом фтора обладает способностью к образованию прочной водородной связи, которая может возникнуть при протонировании соединения 3.
Хорошо известно, что в соединении 4 наблюдается внутримолекулярная водородная связь O–H∙∙∙N [11], а также в результате внутримолекулярного фотоиндуцированного переноса протона образуется хиноидная структура. При протонировании соединения 4 появляется возможность образования внутримолекулярной водородной связи между атомом кислорода гидроксильной группы и кватернизованным атомом азота.
Для характеристики структурных фрагментов бензольного кольца с удаленным атомом азота во фрагментах C=N–Ph и C=NH+–Ph использовали те КССВ, которые хорошо отражают особенности геометрии молекулы. В настоящей работе была предпринята попытка использовать для этой цели КССВ с участием ядер азота с протонами и ядрами 13С: nJ(15N–1H) и nJ(15N–13C).
Протонирование азота в ряду модельных соединений 1–5 в ряде случаев может способствовать образованию внутримолекулярной водородной связи с перестройкой каркаса молекулы. Изменение геометрии молекулы – не единственная причина изменения КССВ с атомом азота. Возникновение эффективного положительного заряда может существенным образом изменить величины КССВ даже без изменения геометрии молекулы. Сравнение экспериментальных и расчетных КССВ с участием изотопа 15N показало [6], что протонирование соединений с жестким каркасом приводит к изменениям в величинах КССВ nJCN. Полагаем, что в перспективе для описания конформационных равновесий могут быть использованы КССВ, которые зависят как от геометрии молекулы, так и от степени протонирования атома азота.
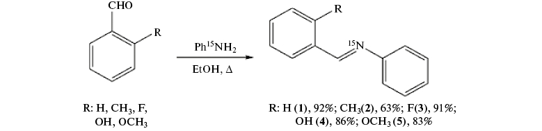
Основания Шиффа 1–5 (схема 2) получали взаимодействием [15N]анилина с производными бензальдегида по методике из литературы [12]. Реакцию проводили в этаноле при кипячении вещества в эквимолярных количествах с использованием следов пара-толуолсульфокислоты в качестве кислотного катализатора. Очистку от пара-толуолсульфокислоты осуществляли методом флэш-хроматографии на окиси алюминия (элюент – гексан).
Схема 2. Синтез замещенных [15N]бензилиденанилинов 1–5
Отнесение сигналов в спектрах ЯМР проводили на основании совокупности одномерных и двумерных экспериментов. При этом следует отметить соединение 3, содержащее атом фтора, который вносит дополнительную мультиплетность сигналов, и их расшифровка требует отдельного комментария. При этом проблем не возникает только для С-2 из-за большого значения 1JCF = –253.02 Гц. Однако дальние КССВ с атомом фтора могут принимать значения, сопоставимые по абсолютной величине со значениями КССВ с ядром 15N. В соединении 3 сигналы углерода С-1, С-6 и С-7 проявляются в виде дублета дублетов со значениями КССВ, примерно равными по модулю значениям КССВ с атомами азота 15N и фтора 19F. Для корректного отнесения этих констант был синтезирован необогащенный по азоту аналог соединения 3, в котором сигналы углерода С-1, С-6 и С-7 в спектрах ЯМР 13С проявляются в виде дублетов с КССВ только между ядрами 13С и 19F. На рис. 1 изображены фрагменты спектров ЯМР 13С соединения 3 и его необогащенного аналога.
Рис. 1. Фрагменты спектров ЯМР 13С соединения 3 (сверху, сигналы С-7, С-6 и С-1, слева направо) и его необогащенного по азоту аналога (снизу, сигналы С-7, С-6 и С-1, слева направо)
Следует отметить, что в спектрах 13С ряд сигналов протонированного соединения 3а также, как и для соединения 3, проявляется в виде дублета дублетов (dd.) с сопоставимыми по абсолютной величине КССВ ядер 13С с ядрами 19F и 15N. Поэтому аналогичный подход (дополнительное изучение спектров ЯМР необогащенного по азоту соединения) также был использован и для определения КССВ nJCN протонированной формы фторзамещенного бензальанилина (3а).
По данным работы [13], бензальанилин является умеренно сильным основанием. В настоящей работе мы провели оценку кислотности сопряженных оснований изученных производных бензилиденанилина 1a–5a с использованием программного комплекса ChemSketch. Согласно проведенным нами расчетам, значения pKa водных растворов этих соединений при температуре 25°С имеют близкие значения в диапазоне от 3.32 до 4.32. Для изучения конформации производных бензилиденанилина была проведена серия экспериментов по методике ЯМР-титрования. В ходе предварительных экспериментов в качестве титранта использовали трифторуксусную кислоту, при этом эксперименты проводили в растворе дейтерированного метанола и/или ацетонитрила-d3.
При этом оказалось, что для всех изученных производных бензальанилина линии в спектрах ЯМР 1Н оказались сильно уширенными. Для того, чтобы получить более информативные спектры, использовали сильную безводную трифторметансульфоновую кислоту и эксперименты проводили в растворе сухого дейтерированного хлороформа. Причем линии протонированной формы оказываются достаточно узкими для того, чтобы наблюдалась тонкая мультиплетная структура, необходимая для надежной характеристики конформационного состояния молекулы.
Следует отметить, что мультиплетность ароматических протонов всех изученных соединений остается довольно сложной, и расшифровка этих фрагментов спектров ЯМР не входила в задачи данной работы. Напротив, наличие дополнительной мультиплетности в спектрах ЯМР 13С [15N]-обогащенных соединений позволяет определить КССВ 13С–15N.
При протонировании соединений 4 и 5 по данным ЯМР 1Н наблюдалось разрушение целевого бензилиденанилина в реакции гидролиза, соединения оказались неустойчивыми. Для всех остальных протонированных форм был зарегистрирован полный набор спектров ЯМР, необходимый как для определения КССВ, так и для отнесения сигналов.
Теоретическое описание динамической структуры производных бензилиденанилинов 1–5 основано на предположении, что она определяется вращением бензольных колец вокруг связи С1–С7 (схема 1). Здесь и в дальнейшем нулевое значение для угла φ (С2-С1–С7–N) соответствует плоской конформации молекулы с Z-конфигурацией связи С1–С7.
Для построения ППЭ производных бензилиденанилина использовали метод сканирования по двугранному углу φ (C2–C1–C7–N). Оптимизацию структуры для каждой точки проводили методом FPT DFT (B3LYP) c базисными функциями 6-311++G(2d,p) с использованием программного комплекса Gaussian 09 [14, 15].
Оба потенциала вращения являются периодическими функциями с периодом 180° и симметричны относительно оси ординат, см. рис. 2. Минимум энергии достигается при нулевом значении двугранного угла φ, а максимум – при φ = 90°. Протонирование бензилиденанилина 1 практически не влияет на характер ППЭ вблизи минимума (φ = 0°), однако оно довольно сильно сказывается на конформационных свойствах системы вблизи максимума. Максимальное значение энергии бензилиденанилина достигает 7.45 ккал/моль при φ = ±90°, энергия протонированной формы оказывается на 3.12 ккал/моль выше при аналогичном значении двугранного угла. Анализ конформационного состояния системы показывает, что вращение одного кольца происходит независимо вращения от другого. Стоит отметить, что ни в одном из представленных конформационных состояний бензилиденанилина и его протонированной формы не реализуется плоская форма молекулы. Это можно объяснить сильным стерическим отталкиванием протонов иминогруппы и одного из орто-протонов анилинового фрагмента (RH–H = 2.1 Å), а также азометиновым протоном и другим орто-протоном анилинового фрагмента (RH–H = 2.0 Å).
Рис. 2. Сечение ППЭ бензилиденанилина 1 и его протонированной формы 1a как функция двугранного угла φ
Зависимость ППЭ орто-метилбензилиденанилина 2 и его протонированной формы 2a от двугранного угла φ представлена на рис. 3. ППЭ соединений 2 и 2a имеют схожий вид с ППЭ незамещенного бензилиденанилина 1 и его протонированной формы 1a, но не являются периодическими функциями. Глобальный минимум обеих форм находится при значении двугранного угла φ = –180°, а при φ = 0° наблюдается незначительное стерическое отталкивание между протонами метильной группы и протоном азометиновой группы, которое приводит к повышению энергии на ~0.14 ккал/моль.
Рис. 3. Сечение ППЭ бензилиденанилина 2 и его протонированной формы 2a как функция двугранного угла φ
Максимум энергии для соединения 2 (5.97 ккал/моль) находится при значении угла φ = ±90°. Как следовало ожидать, максимум соответствующей протонированной формы 2а лежит еще выше по значению энергии и равен 10.49 ккал/моль. Понижение барьера при введении метильной группы в молекулу бензилиденанилина (соединение 2) связано со стерическими эффектами, которые обусловлены отталкиванием протонов метильной группы от формильного протона или НЭП атома азота и повышают энергию основного состояния молекулы. Интересно отметить, что эти эффекты оказываются примерно одинаковыми по величине.
Зависимость ППЭ орто-фторбензилиденанилина 3 и его протонированной формы 3а от двугранного угла представлена на рис. 4. Стоит отметить, что график этой зависимости довольно сильно отличаются от представленных выше (см. рис. 3) зависимостей для соединения 2. Соединение 3 имеет глобальный минимум ППЭ при φ = –180°, а при φ = 0° наблюдается довольно высокий локальный минимум E = 2.97 ккал/моль. В протонированной форме 3а наблюдается обратная картина: глобальный минимум энергии находится при значении двугранного угла φ = 0°, а локальный – при φ = –180°. Максимумы ППЭ для обоих этих соединений находятся при φ = ±90°. Как и в предыдущих случаях, максимум ППЭ для протонированной формы соединения 3а лежит гораздо выше по энергии (E = 13.37 ккал/моль), чем максимальное значение энергии для соединения 3 (E = 7.19 ккал/моль). Такие значения потенциалов свидетельствуют о том, что при протонировании (рис. 5) соединения 3 происходит образование сильной внутримолекулярной водородной связи атома фтора с протоном кватернизованного атома азота азометиновой группы.
Рис. 4. Сечение ППЭ бензилиденанилина 3 и его протонированной формы 3a как функция двугранного угла φ
Рис. 5. Конформационный переход при протонировании соединения 3
Энергию этой внутримолекулярной водородной связи можно оценить величиной ~6 ккал/моль. Данный результат подтверждается обнаруженным нами необычно высоким значением КССВ атома фтора с удаленным атомом азота в соединении 3а {J(19F–15N) = –15 Гц}. Очевидно, что эта КССВ, как передающаяся через систему ковалентных связей, не может иметь столь высокого значения. Единственным разумным объяснением такого эффекта может служить факт образования прочной внутримолекулярной водородной связи. Согласно нашим расчетам, для минимума потенциальной энергии характерное расстояние между атомом фтора и протоном кватернизованного азота составляет всего 1.98 Å.
Образование прочной внутримолекулярной водородной связи проявляется в спектрах ЯМР 1Н. Протон кватернизованного атома азота в соединении 3а проявляется в спектре ЯМР 1Н в виде дублета дублетов дублетов (ддд.), что соответствует трем расщеплениям. КССВ через одну связь с атомом азота 15N и вицинальная КССВ с протоном метинового фрагмента имеют весьма характерные значения (рис. 6). Следует отметить, что дальняя КССВ через 5 связей с атомом фтора 5JHF = 1.47 Гц проявляется в спектре благодаря наличию водородной связи. Действительно, проведенные нами тестовые расчеты показали, что если предположить, что величина этой КССВ опредялясь бы передачей через систему пяти последовательных ковалентных связей (F-C2-C1-C7-N-H), она не могла бы иметь столь высокого значения.
Рис. 6. Фрагмент спектра ЯМР 1Н протонированной формы соединения 3, показан сигнал протона кватернизованного атома азота (CD3СN, 303 K, “Bruker AV-600”)
Несмотря на протонирование соединения 4 (рис. 7), в сечениях ППЭ обеих форм положение минимума не изменяется. Минимум ППЭ для обеих форм соединения 4 достигается при значении двухгранного угла φ = 0°. Данный факт объясняется тем, что гидроксильная группа за счет свободного вращения вокруг связи С2–О может стабилизировать как протонированную форму соединения 4, так и непротонированный орто-гидроксибензилиденанилин (соединение 4).
Рис. 7. Конформационный переход при протонировании соединения 4
В непротонированной форме соединения 4 может происходить дополнительная стабилизация энергии молекулы за счет образования водородной связи между протоном гидроксила и атомом азота. Согласно расчетным данным, расстояние между атомами водорода и азота при этом составляет всего 1.74 Å, что свидетельствует об образовании прочной водородной связи. Следует отметить, что гидроксильный протон проявляется в спектрах ЯМР 1Н в слабом поле 13.5 м.д., что однозначно свидетельствует о его участии в образовании водородной связи.
Протонирование орто-гидроксибензилиденанилина (соединение 4) не приводит к изменению положения минимума на сечении ППЭ, поскольку гидроксильная группа стабилизирует и протонированную форму за счет образования водородной связи между атомом водорода кватернизованного атома азота и кислородом гидроксила. Согласно проведенных нами расчетов, расстояние между этими атомами составляет 1.95 Å, что соответствует прочной водородной связи. Это приводит к тому, что за счет собственного внутреннего вращения гидроксильная группа способствует стабилизации как протонированной, так и непротонированной форм соединения 4.
Если вместо гидроксильной группы в положение 2 введена метоксигруппа, конформационное состояние системы существенным образом изменяется. Зависимость ППЭ замещенного бензилиденанилина 5 и его протонированной формы 5а от двугранного угла представлены на рис. 8.
Рис. 8. Сечение ППЭ замещенного бензилиденанилина 5 и его протонированной формы 5а как функция двугранного угла φ
Для непротонированной формы соединения 5 минимальное значение потенциальной энергии достигается при значениях двугранного угла φ = 180°, при котором метоксигруппа максимально удалена от атома азота.
При протонировании соединения 5 глобальный минимум энергии проявляется при значениях двугранного угла 0°, поскольку MeO-группа участвует в образовании внутримолекулярной водородной связи (рис. 9). Таким образом, метоксигруппа проявляет свойства молекулярного переключателя, поскольку стабилизирует протонированную форму за счет образования внутримолекулярной водородной связи.
Рис. 9. Конформационный переход при протонировании соединения 5
Нами также были определены константы nJCN производных бензилиденанилинов 1–5 и их протонированных форм 1а–3а. Проведены квантово-химические расчеты КССВ nJCN в точках глобального минимума ППЭ для анализируемых объектов. Важнейшей частью нашей работы являлось определение знаков КССВ nJCN. Поскольку атом азота 15N имеет отрицательное гиромагнитное отношение [20, 21], можно ожидать, что подавляющее большинство полученных в настоящей работе КССВ nJCN отрицательны. Модуль константы nJCN может быть определен экспериментально как расщепление дублета из обычного спектра ЯМР 13С. Напротив, экспериментальное определение знака КССВ требует специальных ЯМР экспериментов, таких как, например, тройной селективный эксперимент 13C{1H, 15N}, soft-COSY, COSY-45 или HMBC, или HSQC высокого разрешения [22, 23]. Нами были использованы квантово-химические расчеты для определения знаков КССВ серии бензилиденанилинов 1–5 и их протонированных форм 1а–3а.
Как видно из табл. 1, наблюдается хорошая корреляция между экспериментальными и расчетными значениями КССВ nJCN бензилиденанилинов 1–5 и их протонированных форм 1а–3а. Из приведенных данных особое внимание следует обратить на КССВ, которые сильно зависят от протонирования атома азота. Так КССВ 1JC8N принимает значения в диапазоне от –3.34 до –1.17 Гц для нейтральных молекул 1–5, а при протонировании заметно увеличивается (по модулю) и находится в диапазоне от –12.8 до –12.6 Гц. Такое существенное изменение КССВ хорошо видно на графике (рис. 10). Кластерный анализ величин КССВ свидетельствует о том, что значения 12.8 Гц являются характерными только для протонированных форм 1а–3а.
Таблица 1. Экспериментальные и рассчитанные значения КССВ 13С–15N (Гц) соединений 1–5 и их протонированных форм 1а–3а
КССВ | Соединение | |||||||||||||||
1 | 1а | 2 | 2а | 3 | 3а | 4 | 5 | |||||||||
Эксперимент | Расчет | Эксперимент | Расчет | Эксперимент | Расчет | Эксперимент | Расчет | Эксперимент | Расчет | Эксперимент | Расчет | Эксперимент | Расчет | Эксперимент | Расчет | |
2JC1N | –6.99 | –7.7 | 0.4 | –6.31 | –7.4 | –7.17 | –8.2 | 0.9 | –3.27 | –3.7 | –6.88 | –7.90 | ||||
3JC2N | –2.94 | –3.5 | –1.95 | –3.0 | –2.34 | –3.2 | –2.92 | –3.3 | –2.67 | –3.1 | –2.81 | –1.5 | –0.52 | –0.8 | –2.54 | –3.00 |
4JC3N | 0.2 | 0.3 | 0.0 | 0.3 | 0.1 | 0.7 | 0.24 | 0.09 | ||||||||
5JC4N | –0.74 | –1.2 | –1.1 | –1.1 | –1.2 | –0.75 | –1.1 | –1.2 | –0.84 | –1.1 | –0.78 | –1.14 | ||||
4JC5N | 0.0 | 0.0 | 0.4 | 0.4 | 0.5 | 0.19 | 0.0 | 0.28 | 0.47 | |||||||
3JC6N | 0.0 | 0.0 | –3.35 | –4.8 | –1.87 | –2.7 | –3.43 | –4.5 | –3.4 | –2.59 | –2.7 | –3.56 | –4.74 | |||
1JC8N | –1.3 | –12.83 | –13.2 | –1.17 | –0.6 | –12.8 | –13.4 | –1.34 | –0.6 | –12.62 | –13.0 | –3.83 | –3.1 | –1.32 | –0.63 | |
2JC9N | –2.9 | –3.4 | –1.18 | –2.1 | –2.88 | –3.4 | –1.59 | –2.1 | –2.95 | –3.4 | –1.54 | –2.1 | –2.80 | –3.2 | –2.93 | –3.49 |
3JC10N | –1.48 | –1.5 | –2.17 | –2.5 | –1.45 | –1.5 | –2.31 | –2.5 | –1.50 | –1.6 | –2.29 | –2.6 | –1.76 | –1.7 | –1.45 | –1.50 |
4JC11N | 0.0 | 1.0 | 0.4 | 0.68 | 0.9 | –0.34 | –0.4 | 1.1 | 0.52 | 0.5 | 0.29 | 0.37 | ||||
1JC7N | –7.28 | –8.3 | –17.86 | –19.3 | –6.8 | –8.1 | –18.09 | –19.3 | –7.51 | –8.5 | –17.03 | –19.1 | –7.24 | –7.6 | –7.19 | –8.35 |
Рис. 10. Сопоставление экспериментальных и расчетных КССВ nJСN
Похожая тенденция наблюдается для прямой КССВ 1JC7N, значения которой для непротонированных производных 1–5 составляют от –7.51 до –6.51 Гц. При протонировании значения КССВ увеличиваются по модулю (до –18.06 Гц).
Также существенным образом меняется величина КССВ 2JC1N непротонированных соединений 1–5, значение которой находится в диапазоне от –7.17 до –3.27 Гц. В протонированных формах 1а–3а данная КССВ не наблюдается в спектрах ЯМР 13С, а ее расчетные значения находятся в диапазоне 0.4–0.9 Гц. В заключение следует отметить, что вся совокупность экспериментальных значений дальних КССВ nJСN соответствуют расчетным значениям.
Корреляция между экспериментальными и расчетными значениями всего набора исследованных в данной работе КССВ показана на рис. 10. Для статистической обработки экспериментальных и рассчитанных КССВ была использована двухпараметровая модель линейной регрессии.
. (1)
Для уравнения (1) в серии исследованных соединений (59 КССВ) коэффициент корреляции равен 0.988 при значении коэффициента наклона, незначительно отличающемся от единицы (α = 1.077 ± ± 0.015), и практически незначимым свободном члене (β = –0.13 ± 0.09). Среднеквадратичное отклонение экспериментальных и расчетных КССВ составляет 0.27 Гц, что сопоставимо с точностью проведенных нами экспериментальных измерений и всей совокупности квантово-химических расчетов. Совокупность данных по 59 КССВ демонстрирует высокую сходимость вычисленных значений и возможность использования полученных данных для прогнозирования значений новых КССВ.
Анализ двумерных графиков зависимостей, построенных с целью изучения степени подобия экспериментальных и рассчитанных значений КССВ 13C–15N производных бензилиденанилинов 1–5 и их протонированных форм 1а–3а, подтверждает, что совокупность данных квантово-химического расчета и эксперимента позволяет получить ценную структурную информацию для отнесения пиков в спектрах ЯМР 13C новых азотсодержащих органических соединений, а также для установления неизвестных знаков спин-спиновых связей 13C–15N. Значения КССВ 13C–15N, рассчитанные методом DFT, находятся в хорошем согласии с экспериментом при статистически высоком и отличном уровне доверия. Высокое соответствие расчетных и экспериментальных значений КССВ наблюдается также и для протонированных форм, что позволяет использовать данный подход для описания конформационной динамики при изменении кислотности среды.
ЭКСПЕРИМЕНТАЛЬНАЯ ЧАСТЬ
В работе использовали реагенты и дейтерированные растворители фирм: “Aldrich”, “Deutero GmbH” (Германия) и “Merck” (Германия). Растворители этанол, гексан подвергали предварительной очистке перед введением в реакции или перед очисткой продуктов. Без дополнительной очистки использовали реагенты бензальдегид, орто-метилбензальдегид, орто-фторбензальдегид, салициловый альдегид, орто-метоксибензальдегид и дейтерированные растворители хлороформ-D (Merck, Германия), изотопная чистота 99.8%, ДМСО-d6 (Sigma-Aldrich, США), изотопная чистота 99.8%.
В качестве источника изотопной метки 15N использовали [15N]-анилин [2]. Точные измерения интенсивности сигналов в спектрах ЯМР и данные масс-спектральных измерений продуктов показали, что степень изотопного обогащения продуктов по изотопу 15N всех обогащенных бензилиденанилинов находится в диапазоне 91.5–92.0%.
Спектры ЯМР 1Н, 13C, 15N и двумерные спектры HSQC 13C, HSQC 15N и HMBC 13C регистрировали в ДМСО-d6 на спектрометре ЯМР “Bruker AV-600” (Германия) с рабочими частотами для ядер 1Н, 13C, 15N 600, 150.92 и 60.67 МГц соответственно, c параметрами [24–27]. Отнесение сигналов выполняли на основании принципа наибольшей простоты. В частности, в спектре ЯМР 1Н замещенного бензольного кольца отнесение сделано с учетом характерной мультиплетности пиков и согласованного эффекта двух орто-заместителей: F (+M эффект) и CH=N–Ph (–M эффект).
Масс-спектры высокого разрешения синтезированных бензилиденанилинов зарегистрированы на спектрометре Sciex TripleTOF 5600+.
Протонирование исследуемых бензилиденанилинов 1–5 проводили по методике ЯМР-титрования в растворе сухого дейтерированного хлороформа под действием безводной трифторметансульфоновой кислоты. Подбор титранта осуществляли таким образом, чтобы он обеспечивал полный переход от основной формы к кислотной форме, и можно было надежно охарактеризовать конформационные свойства протонированных форм бензилиденанилинов 1а–5а. При проведении титровании (концентрация титруемого вещества 0.08 моль/л) точка эквивалентности исследуемых бензилиденанилинов 1–5 была определена с точностью 10%.
Квантово-химические расчеты выполнены с использованием программного пакета Gaussian [14]. Структура исследуемых объектов была оптимизирована в приближении изолированной молекулы методом функционала электронной плотности (DFT) с использованием гибридного функционала плотности (B3LYP) с базисными функциями 6-311++G(2df,2p). Нами выбран метод DFT, так как он является более удовлетворительным по таким параметрам, как врея расчета и сходимость процедуры самосогласования (SCF). Для подготовки данных и визуального контроля хода расчета использовали специализированный программный пакет GaussView 5.0.
КССВ nJCN рассчитывали методом FPT–DFT B3LYP с набором базисных функций 6-311++G(2df,2p). Для получения значений КССВ был проведен расчет с учетом всех четырех составляющих членов: Ферми-контактного, спин-дипольного, орбиталь-парамагнитного и орбиталь-диамагнитного. Расчеты проводили в режиме “mixed”, который позволяет существенно снизить уровень вычислительных ресурсов [28]. Характерной особенностью этого режима является разделение расчета на 2 этапа. На первом этапе вычисляется ферми- контактный член с использованием базисного набора, содержащего большое количество поляризационных компонент. На втором этапе рассчитываются оставшиеся 3 компоненты с более простыми базисными функциями, что сокращает время расчета в 2–3 раза без ощутимой потери точности. КССВ были рассчитаны для оптимизированной геометрии молекулы.
Расчеты pKa водных растворов проводили с использованием программного комплекса ChemSketch 6.0 [29].
[15N]-Бензилиденанилин (1). К раствору 0.116 г (1.09 ммоль) бензальдегида в 3 мл абсолютного этилового спирта добавляли 0.101 г (1.07 ммоль) [15N]анилина. Реакционную смесь бледно-желтой окраски кипятили 3 ч, после чего при комнатной температуре перемешивали в течение 6 ч. Затем из реакционной смеси отгоняли избыток растворителя в вакууме при комнатной температуре. Очистку проводили перекристаллизацией из гексана при –20°С, после чего переносили кристаллы в колбу и сушили в вакууме. Выход 0.175 г (90%), белые кристаллы, т.пл. 51–53°С.
Спектр ЯМР 1Н (600 МГц, CDCl3, 303 K), δ, м.д.: 7.21–7.23 м (3H, Н-9, Н-11, Н-13), 7.38–7.40 м (2H, Н-10, Н-12), 7.47–7.49 м (3H, Н-5, H-4, H-3), 7.90–7.92 м (2H, H-2, H-6), 8.45–8.47 д (1H, 2JHN 3.80 Гц, Н-7).
Спектр ЯМР 13С (150 МГц, CDCl3, 303 K), δ, м.д.: 102.32 д (1С, 2JCN 2.55 Гц, C-3), 120.36 д (2С, 2JCN 2.90 Гц, C-9, С-13), 125.42 с (1С, C-11), 128.26 с (2C, C-3, C-5), 128.31 д (2C, 3JCN 2.94 Гц, C-2, C-6), 128.64 д (1С, 3JCN 1.48 Гц, C-10, С-12), 130.86 д (1С, 5JCN 0.74 Гц, C-4), 135.79 д (1С, 2JCN 6.69 Гц, C-1), 151.64 д (1С, 1JCN 1.30 Гц, C-8), 159.83 д (1С, 1JCN 7.28 Гц, C-7).
[15N]N-(орто-Метилбензилиден)анилин (2). К раствору 0.130 г (1.08 ммоль) орто-метилбензальдегида в 3 мл абсолютного этилового спирта добавляли 0.100 г (1.06 ммоль) [15N]анилина. Реакционную смесь желтой окраски кипятили в течение 6.5 ч. Затем из реакционной смеси отгоняли избыток растворителя в вакууме при 50°С. Очистку проводили перекристаллизацией из гексана при –20°С, после чего переносили кристаллы в колбу и сушили в вакууме. Кристаллы плавились при комнатной температуре, образуя темно-коричневую вязкую жидкость. Процедуру перекристаллизации повторяли 2 раза. Выход 0.137 г (66%), темно-коричневая вязкая жидкость с неприятном запахом.
Спектр ЯМР 1Н (600 МГц, CDCl3, 303 K), δ, м.д.: 2.59 с (3H, CH3), 7.19–7.21 м (2H, H-9, Н-13), 7.22–7.24 м (2H, H-3, H-11), 7.29–7.31 м (1H, H-5), 7.36 т.д. (1H, 3JHH 7.39 Гц, 4JНН 1.47 Гц, H-4), 7.39–7.41 м (2H, H-10, Н-12), 8.07 д.д. (1H, 3JHH 7.75 Гц, 4JНН 1.34 Гц, H-6), 8.75 д (1H, 2JHN 3.79 Гц, H-7).
Спектр ЯМР 13С (150 МГц, CDCl3, 303 K), δ, м.д.: 19.39 с (1С, CH3), 120.88 д (2C, 2JCN 2.88 Гц, C-9, С-13), 125.77 с (1С, C-11), 126.33 с (1С, C-5), 127.91 д (1С, 3JCN 3.35 Гц, C-6), 129.12 д (2C, 3JСN 1.45 Гц, C-10, С-12), 130.98 с (1С, C-3), 130.99 с (1С, C-4), 134.15 д (1С, 2JCN 6.31 Гц, C-1), 138.58 д (1С, 3JCN 2.34 Гц, C-2), 152.72 д (1С, 1JCN 1.17 Гц, C-8), 159.06 д (1С, 1JCN 6.80 Гц, C-7).
[15N]-орто-Фторбензилиденанилин (3). К раствору 0.330 г (2.66 ммоль) орто-фторбензальдегида в 6 мл абсолютного этилового спирта добавляли 0.250 г (2.66 ммоль) [15N]-анилина, растворенного в 1 мл абсолютного этилового спирта, и 0.005 г пара-толуолсульфокислоты. Реакционную смесь кипятили в течение 2 ч, после чего разбавляли 6 мл гексана при комнатной температуре. Образовавшийся раствор пропускали через флэш-колонку с оксидом алюминия (высотой 2 см) для очистки от пара-толуолсульфокислоты, в качестве элюента использовали хлороформ. Затем отгоняли избыток растворителя в вакууме при комнатной температуре. Очистку проводили перекристаллизацией из гексана при –20°С, после чего переносили кристаллы в колбу и сушили в вакууме. Кристаллы плавились при комнатной температуре, образуя желтую вязкую жидкость. Процедуру перекристаллизации повторяли 2 раза. Выход 0.473 г (89%), желтая маслянистая жидкость с неприятным запахом.
Спектр ЯМР 1Н (600 МГц, CDCl3, 303 K), δ, м.д.: 7.11–7.15 м (1H, H-3), 7.22–7.26 м (4H, H-5, H-9, Н-11, H-13), 7.38–7.42 м (2H, H-10, Н-12), 7.43–7.47 м (1H, H-4), 8.17–8.20 м (1H, H-6), 8.78 д (1H, 3JHN 3.77 Гц, Н-7).
Спектр ЯМР 13С (150 МГц, CDCl3, 303 K), δ, м.д.: 115.86 д (1С, 2JCF 21.17 Гц, C-3), 120.97 д (2C, 2JCN 2.96 Гц, C-9, С-13), 124.02 д.д (1С, 2JCF 9.13 Гц, 2JCN 7.15 Гц, C-1), 124.48 д (1С, 4JCF 3.59 Гц, C-5), 126.27 д (1С, 4JCN 0.35 Гц, C-11), 127.91 д.д (1С, 3JCF 2.59 Гц, 3JCN 3.42 Гц, C-6), 129.16 д (2C, 3JCN 1.49 Гц, C-10, С-12), 132.91 д.д (1С, 3JCF 8.67 Гц, 5JCN 0.77 Гц, C-4), 151.99 д (1С, 1JCN 1.37 Гц, C-8), 153.44 д.д (1С, 1JCN 7.46 Гц, 3JCF 5.11 Гц, C-7), 162.89 д.д (1С, 1JCF 253.02 Гц, 3JCN 2.67 Гц, C-2).
[15N]-орто-Гидроксибензилиденанилин (4). К раствору 0.130 г (1.06 ммоль) салицилового альдегида в 8 мл абсолютного этилового спирта добавляли 0.100 г (1.06 ммоль) [15N]-анилина. Реакционную смесь бледно-желтой окраски кипятили в течение 4 ч. Затем из реакционной смеси отгоняли избыток растворителя в вакууме при 70°С. Вещество представляло собой желтую жидкость, закристаллизовавшуюся при охлаждении до комнатной температуры. Очистку проводили перекристаллизацией из гексана при –20°С, после чего переносили кристаллы в колбу и сушили в вакууме. Процедуру перекристаллизации повторяли 2 раза. Выход 0.181 г (86 %), желтые игольчатые кристаллы, т.пл. 50–52°С.
Спектр ЯМР 1Н (600 МГц, CDCl3, 303 K), δ, м.д.: 6.97–6.99 м (2H, H-3, H-5), 7.30–7.33 м (1H, H-11), 7.36–7.40 м (2H, H-9, Н-13); 7.39–7.42 м (1Н, H-4), 7.43–7.48 м (2H, Н-10, Н-12), 7.53 д.д (1H, 3JHН 7.57 Гц, 4JHН 1.72 Гц, H-6), 8.80 д (1H, 2JHN 3.44 Гц, Н-7), 13.21 д (1H, 5JHN 1.71, ОН).
Спектр ЯМР 13С (150 МГц, CDCl3, 303 K), δ, м.д.: 116.46 с (1С, C-3), 118.88 с (1С, C-5), 119.05 д (1С, 2JCN 3.27 Гц, C-1), 121.00 д (2C, 2JCN 2.80 Гц, C-9, С-13), 126.71 д (1С, 4JCN 0.52 Гц, С-11), 129.18 д (2C, 3JCN 1.76 Гц, С-10, C-12), 132.52 д (1С, 3JCN 2.59 Гц, C-6), 132.91 д (1С, 5JCN 0.84 Гц, C-4), 148.14 д (1С, 1JCN 3.83 Гц, C-8), 160.73 д (1С, 3JCN 0.52 Гц, C-2), 163.45 д (1С, 1JCN 7.24 Гц, C-7).
[15N]-орто-Метоксибензилиденанилин (5). К раствору 0.145 г (1.07 ммоль) орто-метоксибензальдегида в 18 мл абсолютного этилового спирта добавляли 0.100 г (1.06 ммоль) [15N]анилина. Реакционную смесь кипятили в течение 3 ч. Затем из реакционной смеси отгоняли избыток растворителя в вакууме при комнатной температуре. Очистку проводили перекристаллизацией из гексана при –20°С, после чего переносили кристаллы в колбу и сушили в вакууме. Процедуру перекристаллизации повторяли 2 раза. Выход 0.187 г (83 %), белые игольчатые кристаллы, т.пл. 55–56°С.
Спектр ЯМР 1Н (600 МГц, CDCl3, 303 K), δ, м.д.: 3.90 с (3H, OCH3), 6.95 д.д (1H, 3JHH 8.40 Гц, 4JHH 0.92 Гц, H-3), 7.04 т.т (1H, 3JHH 7.56 Гц, 4JHH 0.92 Гц, H-5), 7.19–7.23 м (3H, H-9, H-11, H-13), 7.36–7.39 м (2H, H-10, H-12), 7.44 д.д.д (1H, 3JHH 8.40 Гц, 3JHH 7.32 Гц, 4JHH 1.82 Гц, H-4), 8.15 д.д (1H, 3JHН 7.71 Гц, 4JHH 1.91 Гц, H-6), 8.92 д (1H, 2JHN 3.78 Гц, H-7).
Спектр ЯМР 13С (150 МГц, CDCl3, 303 K), δ, м.д.: 55.58 с (1С, OCH3), 111.14 с (1С, C-3), 120.90 с (1С, C-5), 121.07 д (2C, 2JCN 2.93 Гц, C-9, C-13), 124.84 д (1С, 2JCN 6.88 Гц, C-1), 125.62 с (1С, C-11), 127.58 д (1С, 3JCN 3.56 Гц, C-6), 129.02 д (2C, 3JCN 1.45 Гц, C-10, C-12), 132.65 д (1С, 5JCN 0.73 Гц, C-4), 152.84 д (1С, 1JCN 1.32 Гц, C-8), 156.45 д (1С, 1JCN 7.19 Гц, C- 7), 159.55 д (1С, 3JCN 2.54 Гц, C-2).
ЗАКЛЮЧЕНИЕ
Проведена экспериментальная и теоретическая характеристика процессов, вызванных протонированием атома азота основания Шиффа. Конформационная энергия достигает 6–7 ккал/моль для заместителей F, ОН и OCH3 в орто-положении бензольного кольца. Эти процессы сопровождаются значительной перестройкой геометрии молекулы, то есть поворотом замещенного бензольного кольца на 180° вокруг связи С1–С7. Этот поворот следует рассматривать как пример нового типа рН-индуцированного молекулярного переключения [7, 10, 16–19] и при соответствующем дизайне может быть использован при конструировании новых механизмов молекулярного переключения.
БЛАГОДАРНОСТИ
Автор АКШ благодарит фонд AvH за поддержку; автор ВАЧ благодарит химический факультет МГУ (проект ХИМОМЕТ-2020).
Авторы выражают искреннюю признательность профессорам Ю.А. Устынюку, В.В. Самошину и H-J. Schneider за обсуждение и ценные замечания.
КОНФЛИКТ ИНТЕРЕСОВ
Авторы заявляют об отсутствии конфликта интересов.
About the authors
V. V. Stanishevsky
Lomonosov Moscow State University
Email: vchertkov@hotmail.com
ORCID iD: 0009-0004-5955-8233
Russian Federation, 1, Leninskie Gory, Moscow, 119991
A. K. Shestakova
State Scientific Research Institute of Chemistry and Technology of Organoelement Compounds
Author for correspondence.
Email: vchertkov@hotmail.com
ORCID iD: 0000-0002-2252-6914
Russian Federation, 38, Enthusiastov Hwy, Moscow, 105118
V. A. Chertkov
Lomonosov Moscow State University
Email: vchertkov@hotmail.com
ORCID iD: 0000-0001-8699-5894
Russian Federation, 1, Leninskie Gory, Moscow, 119991
References
- Станишевский В.В., Шестакова А.К., Чертков В.А., ЖОрХ, 2023, 59 (8), 1012–1024. doi: 10.31857/S0514749223080025
- Шестакова А.К., Станишевский В.В., Чертков В.А., Химия гетероцикл. Соединений, 2023, 59 (9/10), 657–665. doi: 10.1007/s10593-023-03251-6
- Cheshkov D.A., Sinitsyn D.O., Sheberstov K.F., Chertkov V.A., J. Magn. Reson., 2016, 272, 10–19. doi: 10.1016/j.jmr.2016.08.012
- Cheshkov D.A., Sheberstov K.F., Sinitsyn D.O., Chertkov V.A., Magn. Reson. Chem., 2018, 56 (6), 449–457. doi: 10.1002/mrc.4689
- Martin G.E., Williams A.J., eMagRes., 2010, 1–42. doi: 10.1002/9780470034590.emrstm1083
- Stanishevskiy V.V., Shestakova A.K., Chertkov V.A., Appl. Magn. Reson., 2022, 53, 1693–1713. doi: 10.1007/s00723-022-01503-w
- Schneider H.-J., Molecules. 2024, 29, 1591–1603. doi: 10.3390/molecules29071591
- Muzalevskiy V.M., Mamedzade M.N., Chertkov V.A., Bakulev V.A., Nenajdenko V.G., Mendeleev Commun. 2018, 28 (1), 17–19. doi: 10.1016/j.mencom.2018.01.003
- Muzalevskiy V.M., Sizova Z.A., Panyushkin V.V., Chertkov V.A., Khrustalev V.N., Nenajdenko V.G., J. Org. Chem. 2021, 86, 2385–2405. doi: 10.1021/acs.joc.0c02516
- Schneider H-J., Angew. Chem. Int. Ed., Engl. 1991, 30, 1417–1436. doi: 10.1002/anie.199114171
- Merino E., Ribagorda, Beilstein M., J. Org. Chem. 2012, 8, 1071–1090. doi: 10.3762/bjoc.8.119
- Ni X., Liang Z., Ling J., Li X., Shen Z. Polym. Int. 2011, 60, 12, 1745–1752. doi: 10.1002/pi.3145
- Meister E.C., Willeke M., Angst W., Togni A., Walde P. Helv. Chim. Acta. 2014, 97 (1), 1–31. doi: 10.1002/hlca.201300321
- Foresman J.B., Frisch A., “Exploring Chemistry With Electronic Structure Methods”, 3rd edition 2015, “Gaussian Inc.”, Pittsburgh, 354 p. ISBN: 978-1-935522-03-4
- Frisch M.J., Trucks G.W., Schlegel H.B., Scuser G.E., Robb M.A., Cheeseman J.R., Scalmani G., Barone V., Mennucci B., Petersson G.A., Nakatsuji H., Caricato M., Li X., Hratchian H.P., Izmaylov A.F., Bloino J., Zheng G., Sonnenberg J.L., Hada M., Ehara M., Toyota K., Fukuda R., Hasegawa J., Ishida M., Nakajima T., Honda Y., Kitao O., Nakai H., Vreven T., Montgomery J.A., Jr., Peralta J.E., Ogliaro F., Bearpark M., Heyd J.J., Brothers E., Kudin K.N., Staroverov V.N., Kobayashi R., Normand J., Raghavachari K., Rendell A., Burant J.C., Iyengar S.S., Tomasi J., Cossi M., Rega N., Millam J.M., Klene M., Knox J.E., Cross J.B., Bakken V., Adamo C., Jaramillo J., Gomperts R., Stratmann R.E., Yazyev O., Austin A.J., Cammi R., Pomelli C., Ochterski J.W., Martin R.L., Morokuma K., Zakrzewski V.G., Voth G.A., Salvador P., Dannenberg J.J., Dapprich S., Daniels A.D., Farkas O., Foresman J.B., Ortiz J.V., Cioslowski J., Fox D.J., “Gaussian 09W, Revision A.02”, Gaussian, Inc., Wallingford, 2009.
- Samoshin V.V., Brazdova B., Chertkov V.A., Gremyachinskiy D.E., Shestakova A.K., Dobretsova E.K, Vatlina L.P., Yuan J., Schneider H.-J., ARKIVOC. 2005, 4, 129–141. doi: 10.3998/ark.5550190.0006.410
- Samoshin V.V., Chertkov V.A., Gremyachinskiy D.E., Shestakova A.K., Dobretsova E.K., Vatlina L.P., Schneider H.-J., Tetrahedron Lett. 2004, 45, 7823–7826. doi: 10.1016/j.tetlet.2004.09.004
- Samoshin A.V., Veselov I.S., Huynh L., Shestakova A.K., Chertkov V.A., Grishina G.V., Samoshin V.V. Tetrahedron Lett. 2011, 52 (41), 5375–5378. doi: 10.1016/j.tetlet.2011.08.038
- Wang Z., Islam M.J., Vukotic V.N., Revington M.J, J. Org. Chem., 2016, 81 (7), 2981–62981. doi: 10.1021/acs.joc.6b00250
- Gunther H., NMR Spectroscopy, Basic principles, concepts and applications in chemistry, 3rd edn., Weinheim: Wiley-VCH 2013. ISBN 978-3-527-33000-3.
- Kaupp M.B., Malkin V.G., Calculation of NMR and EPR parameter. Theory and applications, Weinheim: Wiley-VCH 2004.
- Claridge T.D.W., High-resolution NMR techniques in organic chemistry, 3rd edn., Oxford: Elsevier Science 2016. ISBN 978-0-08-099986-9.
- Berger S., Braun S., 200 and more NMR experiments: a practical course, Oxford–Weinheim: Wiley-VCH 2004. ISBN 3-527-31067-3.
- Chertkov V.A., Shestakova A.K., Davydov D.V. Chem. Heterocycl. Compd. 2011, 47, 45–54. doi: 10.1007/s10593-011-0718-z
- Uvarov V.A., Chertkov V.A., Sergeyev N.M. J. Chem. Soc. Perkin. Trans. II. 1994, 2, 2375–2378. doi: 10.1039/P29940002375
- Morgan W.D., Birdsall V, Nieto P.M., Gargaro A.R., Feeney J. Biochemistry. 1999, 38, 2127–2134. doi: 10.1021/bi982359u
- Williamson R.T., Buevich A.V., Martin G.E. Tetrahedron Lett. 2014, 55, 3365–3366. doi: 10.1016/j.tetlet.2014.04.060
- Deng W., Cheeseman J.R., Frisch M.J. J. Chem. Theory Comput. 2006, 2, 1028–1037. doi: 10.1021/ct600110u
- Программный комплекс ChemSketch 6.0, AcdLabs, 2025
Supplementary files














