Синтез бис{2-[3(4)-(2,5-дигидро-2,5-диоксо-1Н-пиррол-1-ил)фенилкарбонилокси]этил} гексан-1,6-диилдикарбаматов
- Авторы: Колямшин О.А.1, Митрасов Ю.Н.2, Данилов В.А.1
-
Учреждения:
- ФГБОУ ВО “Чувашский государственный университет имени И.Н. Ульянова”
- ФГБОУ ВО “Чувашский государственный педагогический университет им. И.Я. Яковлева”
- Выпуск: Том 60, № 12 (2024)
- Страницы: 1216-1221
- Раздел: Статьи
- URL: https://bakhtiniada.ru/0514-7492/article/view/283548
- DOI: https://doi.org/10.31857/S0514749224120059
- EDN: https://elibrary.ru/AQJQEV
- ID: 283548
Цитировать
Аннотация
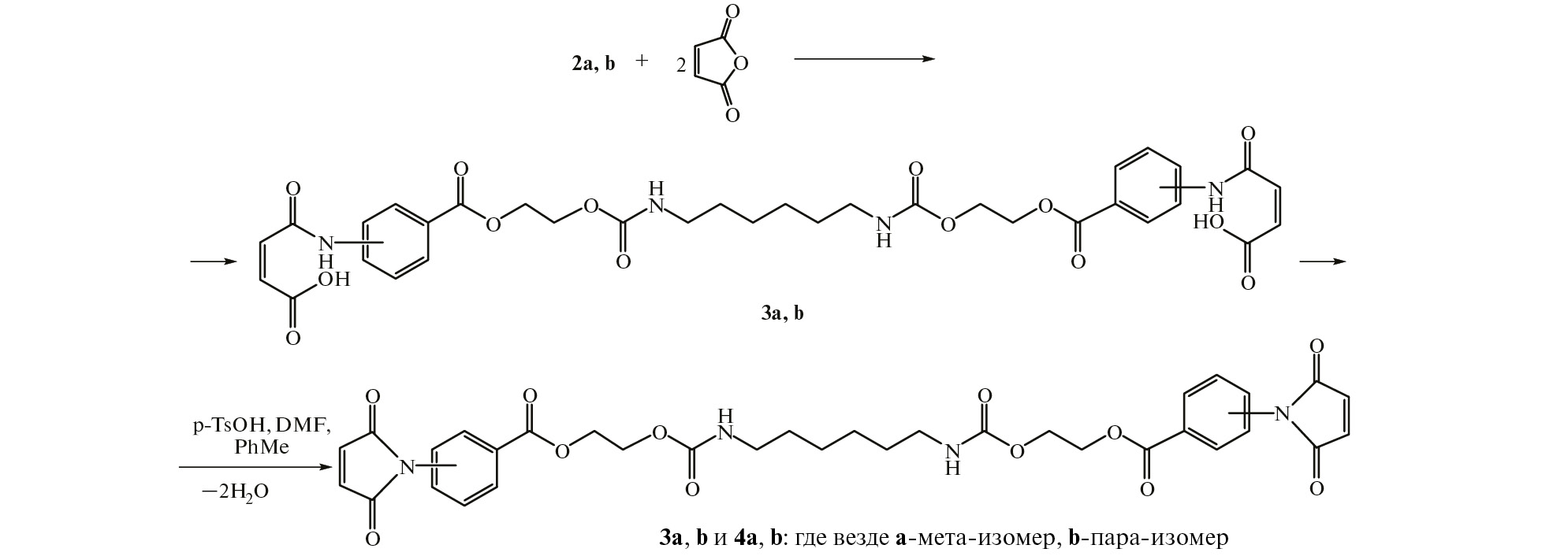
Взаимодействием бис(2-хлорэтил)гексан-1,6-диилдикарбамата с калиевыми солями м- и п-аминобензойных кислот получены новые бис{2-[3(4)-аминофенилкарбонилокси]этил}гексан-1,6-диилдикарбаматы. Установлено, что они реагируют с малеиновым ангидридом в мольном соотношении 1 : 2 с образованием соответствующих бисмалемидов, циклизацией которых в кислой среде получены бис[2-(3(4)-(2,5-дигидро-2,5-диоксо-1Н-пиррол-1-ил)фенилкарбонилокси)этил]гексан-1,6-диилдикарбаматы. Изучены физические и спектральные свойства синтезированных бисмалеинимидов.
Ключевые слова
Полный текст
Об авторах
Олег Актарьевич Колямшин
ФГБОУ ВО “Чувашский государственный университет имени И.Н. Ульянова”
Автор, ответственный за переписку.
Email: kolyamshin.oleg@yandex.ru
ORCID iD: 0000-0002-3473-1827
Россия, 428015 Чебоксары, Московский просп., 15
Юрий Никитич Митрасов
ФГБОУ ВО “Чувашский государственный педагогический университет им. И.Я. Яковлева”
Email: kolyamshin.oleg@yandex.ru
ORCID iD: 0000-0002-4083-7863
Россия, 428000 Чебоксары, ул. К. Маркса, 38
Владимир Александрович Данилов
ФГБОУ ВО “Чувашский государственный университет имени И.Н. Ульянова”
Email: kolyamshin.oleg@yandex.ru
ORCID iD: 0000-0001-9140-1747
Россия, 428015 Чебоксары, Московский просп., 15
Список литературы
- Михайлин Ю.А. Термоустойчивые полимеры и полимерные материалы. СПб.: Профессия, 2006.
- Митрасов Ю.Н., Колямшин О.А., Данилов В.А. Малеинимиды: синтез, свойства и полимеры на их основе. Чебоксары: Чуваш. гос. пед. у-т, 2017.
- Iredale R.J., Ward C., Hamerton I Progress Polymer Sci. 2017, 69, 1–21. doi: 10.1016/j.progpolymsci.2016.12.002
- Zhang L., Chen P., Gao M., Na L., Xiong X. and Fan Sh. Desig. Monomers Polymers. 2014, 17 (7), 637–646. doi: 10.1080/15685551.2014.907618
- Liu Y., He M., Zhang D., Zhao Q., Li Y., Qin Sh., Yu J., Materials. 2018, 11, 2330. doi: 10.3390/ma11112330
- Zhao Q., Zhan Y.-K., Liu Y.-F., He M., Gong Y.-J. Polymer Sci. Ser. B. 2020, 62 (4), 368–374. doi: 10.1134/S1560090420040119
- Jeemol P.A, Mathew S., Nair C.P. Reghunadhan. J. Polymer Res. 2020, 27, 300. doi: 10.1007/s10965-020-02197-z
- Park J. O., Yoon B.-J., Srinivasarao M. J. Non-Newtonian Fluid Mechanics. 2011, 166, 925–931. doi: 10.1016/j.jnnfm.2011.04.015
- Gaina V., Gaina C. Designed Monomers Polymers (Taylor and Francis Ltd Publ.) 2007, 10 (1), 91–104.
- Sava M. Designed Monomers Polymers. 2013, 16 (1), 14–24. doi: 10.1080/15685551.2012.705485
- Fache B., Meouche W., Pham Q.T., Milano J.C. J. Adhesion Adhesives. 2013, 42, 51–59. doi: 10.1016/j.ijadhadh.2012.12.002
- Froidevaux V., Decostanzi M., Manseri A., Caillol S., Boutevin B., Auvergne R. Front. Chem. Sci. Eng. 2021, 15, 330–339. doi: 10.1007/s11705-020-1929-6
- Yang Sh., Du X., Deng Sh., Qiu J., Du Z., Cheng X., Wang H. Chem. Engineer. J. 2020, 398, 125654. doi: 10.1016/j.cej.2020.125654
- Yang Sh., Wang Sh., Du X., Du Z., Cheng X., Wang H. Chem. Engineer. J. 2020, 391, 23544. doi: 10.1016/j.cej.2019.123544
- Aizpuruaa J., Martin L., Formoso E., González A., Irusta L. Progress in Org. Coatings. 2019, 130, 31–43. doi: 10.1016/j.porgcoat.2019.01.008
- Lindenmeyer K.M., Johnson R.D., Miller K.M. Polym. Chem. 2020, 11, 5321. doi: 10.1039/d0py00016g
- Zhu J., Hu X., Yang B., Liu B. Sensors Actuators: B. Chem. 2019, 282, 743–749. doi: 10.1016/j.snb.2018.11.136
- Liu T., Huo F., Yin C., Li J., Chao J., Zhang Y. Dyes Pigments. 2016, 128, 209–214. doi: 10.1016/j.dyepig.2015.12.031
- Song L., Sun X.-D., Ge Y., Yao Y.-H., Shen J., Zhang W.-B., Qian J.-H. Chinese Chem. Lett. 2016, 27, 1776–1780. doi: 10.1016/j.cclet.2016.05.007
- Колямшин О.А., Кузьмин М.В., Игнатьев В.А., Рогожина Л.Г., Кольцов Н.И. ЖОрХ. 2015, 51, 917–918. [Kolyamshin O.A., Kuz’min M.V., Ignat’ev V.A., Rogozhina L.G., Kol’tsov N.I. Russ. J. Org. Chem. 2015, 51, 901–902]. doi: 10.1134/S1070428015060159
- Колямшин О.А., Данилов В.А., Игнатьев В.А., Кузьмин М.В. ЖОрХ. 2019, 55, 1717–1721. [Kolymshin O.A., Danilov V.A., Ignatev V.A., Kuzmin M.V. Russ. J. Org. Chem. 2019, 55, 1686–1689]. doi: 10.1134/S1070428019110071
- Колямшин О.А., Митрасов Ю.Н., Данилов В.А., Авруйская А.А. ЖОХ. 2019, 9, 1321–1326. [Kolyamshin O.A., Mitrasov Yu.N., Danilov V.A., Avruiskay A.A. Russ. J. General Chem. 2019, 89, 1740–1743]. doi: 10.1134/S1070363219090020
- Колямшин О.А., Митрасов Ю.Н., Данилов В.А., Кузьмин М.В., Иванова К.Ю. ЖОрХ. 2023, 59, 486–491. [Kolyamshin O.A., Mitrasov Yu.N., Danilov V.A., Kuz’min M.V, Ivanova K.Yu. Russ. J. Org. Chem. 2023, 59, 606–610]. doi: 10.1134/S1070428023040073






