Реакция пространственно-сопряженного халкона с гуанидином в присутствии перекиси водорода
- Авторы: Мамедов И.Г.1, Хрусталев В.Н.2,3
-
Учреждения:
- Бакинский государственный университет
- Российский университет Дружба народов (РУДН)
- Институт органической химии им. Н.Д. Зелинского РАН
- Выпуск: Том 60, № 12 (2024)
- Страницы: 1204-1208
- Раздел: Статьи
- URL: https://bakhtiniada.ru/0514-7492/article/view/283541
- DOI: https://doi.org/10.31857/S0514749224120039
- EDN: https://elibrary.ru/QEWHOT
- ID: 283541
Цитировать
Аннотация
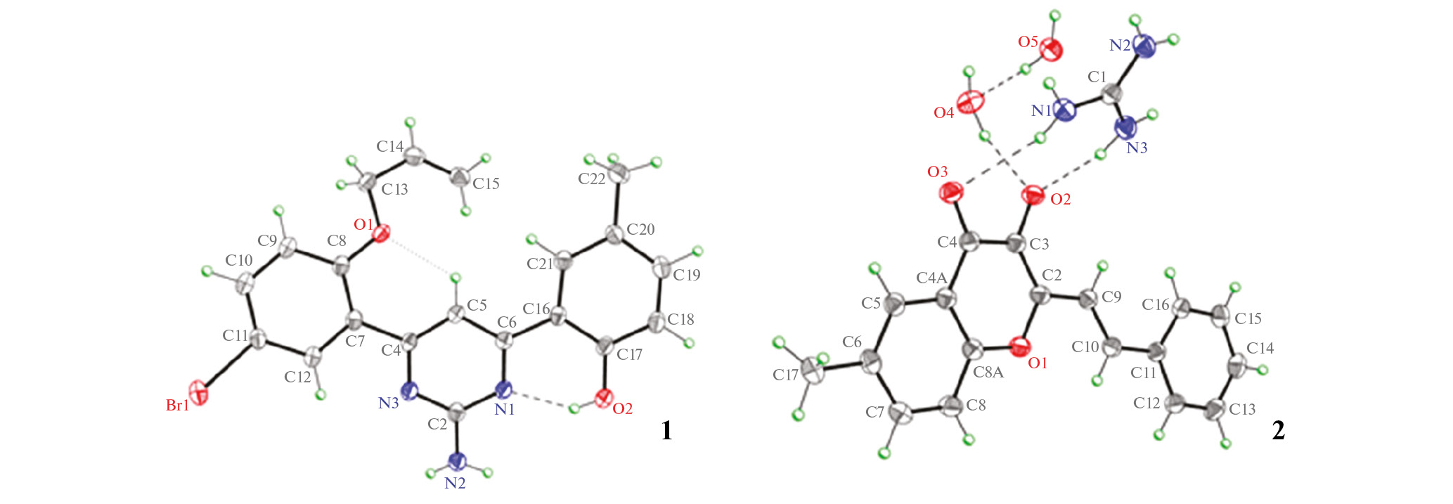
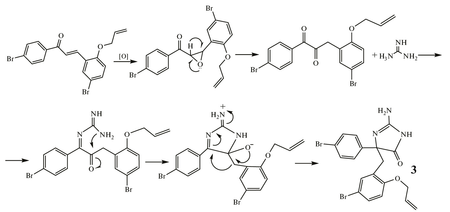
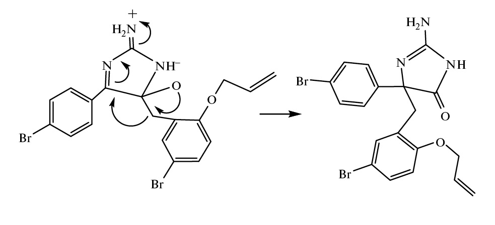
Нового соединения 2-амино-5-(4-бромфенил)-5-[5-бром-2-(аллилокси)бензил]-3,5-дигидро-4H-имидазол-4-он синтезировано реакцией (2E)-1-(4-бромфенил)-3-[5-бром-2-(аллилокси)-фенил]проп-2-ен-1-она с гуанидином в присутствии перекиси водорода водорода. Строение полученного продукта установлено методами спектроскопии ЯМР и РСА. Представлен вероятный механизм реакции.
Ключевые слова
Полный текст
Об авторах
Ибрагим Гариб Мамедов
Бакинский государственный университет
Автор, ответственный за переписку.
Email: bsu.nmrlab@gmail.com
ORCID iD: 0000-0002-5757-9899
Химический факультет
Азербайджан, Баку, AZ-1148, ул. Х. Халилова, 23Виктор Николаевич Хрусталев
Российский университет Дружба народов (РУДН); Институт органической химии им. Н.Д. Зелинского РАН
Email: bsu.nmrlab@gmail.com
ORCID iD: 0000-0001-8806-2975
Россия, 117198 Москва, ул. Миклухо-Маклая, 6; 119991 Москва, Ленинский просп., 47
Список литературы
- Mamedov I.G., Naghiyev F.N., Maharramov A.M., Uwangue O., Farewell A., Sunnerhagen P., Erdelyi M. Mendeleev Commun., 2020, 30, 498–499. doi: 10.1016/j.mencom.2020.07.031
- Mamedov I.G., Khrustalev V.N., Doravotovskii P.V., Naghiyev F.N., Maharramov A.M. Mendeleev Commun., 2019, 29, 232–233. doi: 10.1016/j.mencom.2019.03.040
- Mamedov I.G., Mamedova Y.V. Indian J. Chem., 2021, 60B, 283–86.
- Naghiyev F.N., Mamedov I.G., Khrustalyev V.N., Shixaliyev N.G., Maharramov A.M. J. Chinese Chem. Soc., 2019, 66 (3), 253–256. doi: 10.1002/jccs.201800283
- Mamedov I.G., Mamedova Y.V. Russ. J. Org. Chem., 2021, 57 (6), 942–949. doi: 10.1134/S1070428021060099
- Mamedova Y.V., Hasanova A.E., Gasimova Sh.Z., Huseynova R.A., Mamedov I.G. New Materials, Compd. Applicat., 2020, 4, 16–19.
- Mamedov I.G., Shikhaliyeva I.M., Mamedova Y.V., Abdurahmanli S.G., Maharramov A.M. İndian J. Chem., 2019, 58B, 930–934.
- Khalilov A.N., Cisterna J., Cárdenas A., Tuzun B., Erkan S., Gurbanov A.V., Brito I. J. Mol. Struct., 2024, 1313, 138652. doi: 10.1016/j.molstruc.2024.138652
- Naghiyev F.N., Pavlov A.V., Khrustalev V.N., Akkurt M., Khalilov A.N., Akobirshoeva A.A., Mamedov I.G.. Acta Cryst. 2021, E77, 930–934. doi: 10.1107/S2056989021007994
- Naghiyev F.N., Tereshina T.A., Khrustalev V.N., Akkurt M., Khalilov A.N., Akobirshoeva A.A., Mamedov I.G.. Acta Cryst. 2021, E77, 512–515. doi: 10.1107/S2056989021003625
- Antonova M.M., Baranov V.V., Kravchenko, A.N. Chem. Heterocycl. Compd., 2015, 51, 395–420. doi: 10.1007/s10593-015-1716-3
- Keel K.L., Tepe J.J. Org. Chem. Front., 2020, 7, 3284–3311. doi: 10.1039/D0QO00764A
- Ahmed K., Ramakrishna G., Raju P., Viswanath A., Janaki M.R., Balakishan G., Pal-Bhadra Manika. Bioorg. Med. Chem. Lett., 2010, 20, 4865–4869. doi: 10.1016/j.bmcl.2010.06.097
- Janaki R.M., Pushpavalli S.N.C.V.L., Rama K.G., Sarma P., Debasmita M., Ahmed K., Utpal B., Pal Bhadra M. Canc. Cell Inter., 2011, 11 (11), 1–12. doi: 10.1186/1475-2867-11-11
- Аnitha S., Usha R.P., Prameela S.N.J. Med. Chem. Res., 2015, 24, 851–859. doi: 10.1007/s00044-014-1179-6
- Navin B.P., Hemant R.P. J. Heterocycl. Chem., 2011, 48 (2), 373–380. doi: 10.1002/jhet.588
- Bassyouni F., Tarek M., Salama A., Ibrahim B., Dine S.S.E., Yassin N., Hassanein A., Moharam M., Abdel-Rehim M. Molecules, 2021, 26, 2370–2390. doi: 10.3390/molecules26082370
- Yang X., Deng M., Zhang X., Wang Y., Song K., Cong R., Meng L., Zhang J. Chem. Biol. Drug Des., 2019, 94 (6), 2013–2022. doi: 10.1111/cbdd.13425
- El-Sharkawy K.A., AlBratty M.M., Alhazmi H.A. Brazil. J. Pharm. Sci., 2018, 54 (4), 1–13. doi: 10.1590/s2175-97902018000400153
- Jain K.S., Arya N., Inamdar N.N., Auti P.B., Unawane S.A., Puranik H.H., Sanap M.S., Inamke A.D., Mahale V.J., Prajapati C.S., Shishoo C.J. Curr. Topics Med. Chem., 2016, 16, 3133–3174. doi: 10.2174/1568026616666160609100410
- Sharma V., Chitranshi N., Agarwal A.K. Int. J. Med. Chem., 2014, 1–32. doi: 10.1155/2014/202784
- Kumar R., Arora J., Prasad A.K., Islam N., Verma A.K. Med. Chem. Res., 2013, 22, 5624–5631. doi: 10.1007/s00044-013-0555-y
- Samshuddin S., Narayana B., Sarojini B.K., Yathirajan H.S., Raghavendra R. Pharma Chemica, 2012, 4 (4), 1445–1457.
- Mamedov I.G., Khrustalev V.N. Russ. J. Org. Chem., 2023, 59 (9), 1637–1640. doi: 10.1134/S1070428023090245
Дополнительные файлы







