Электрохимическое карбоксилирование с участием СО2
- Авторы: Будникова Ю.Г.1
-
Учреждения:
- ФИЦ Казанский научный центр
- Выпуск: Том 60, № 12 (2024)
- Страницы: 1167-1194
- Раздел: Статьи
- URL: https://bakhtiniada.ru/0514-7492/article/view/283531
- DOI: https://doi.org/10.31857/S0514749224120018
- EDN: https://elibrary.ru/QEXULH
- ID: 283531
Цитировать
Аннотация
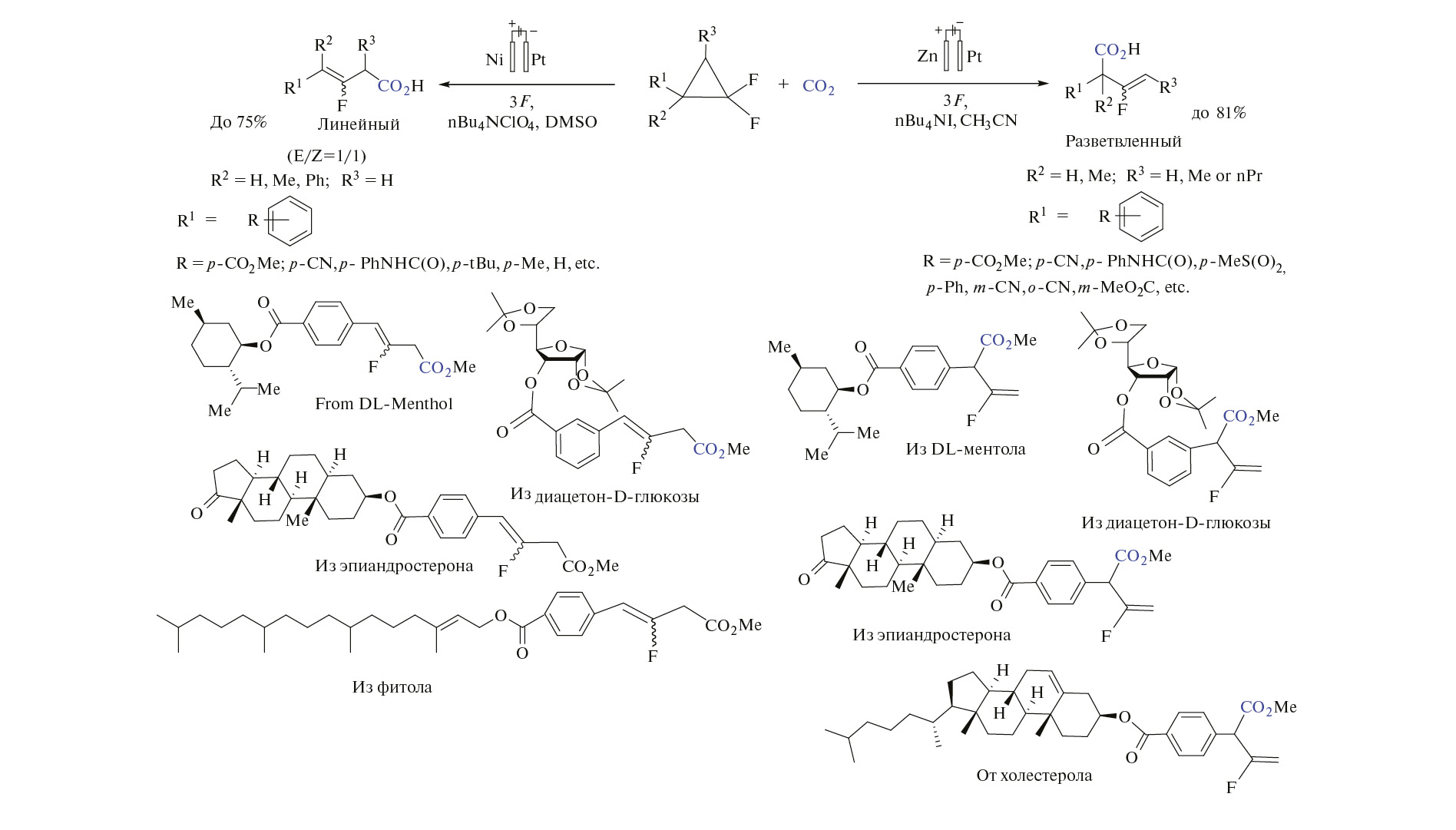
Углекислый газ (CO2) является широко распространенным недорогим возобновляемым источником C1 углерода и основным компонентом парниковых газов, поэтому в соответствии с принципами устойчивого развития в настоящее время активно изучаются возможности его эффективного превращения в полезные продукты. Электрохимический органический синтез как экологичный, мягкий и селективный метод считается идеальным для утилизации и использования CO2 в качестве реагента. В обзорной статье обобщены недавние достижения в области электрокарбоксилирования с участием CO2 – прекурсора в реакциях различных типов с учетом принципов “зеленой” химии, причем особое внимание уделено процессам на последней стадии функционализации сложных молекул, перспективных для медицинской химии и фармакологии.
Полный текст
Об авторах
Юлия Германовна Будникова
ФИЦ Казанский научный центр
Автор, ответственный за переписку.
Email: olefindirector@gmail.com
ORCID iD: 0000-0001-9497-4006
Институт органической и физической химии им. А.Е. Арбузова
Россия, КазаньСписок литературы
- IPCC, 2023: Climate Change 2023: Synthesis Report. Contribution of Working Groups I, II and III to the Sixth Assessment Report of the Intergovernmental Panel on Climate Change [Core Writing Team], Eds. H. Lee and J. Romero, IPCC, Geneva, Switzerland, 2023, pp. 35—115. doi: 10.59327/IPCC/AR6-9789291691647
- Chu S., Cui Y., Liu N. Nat. Mater. 2017, 16, 16–22. doi: 10.1038/nmat4834
- Szulejko J.E., Kumar P., Deep A., Kim K.H. Atmos Pollut. Res. 2017, 8, 136–140. doi: 10.1016/j.apr.2016.08.002
- Cuéllar-Franca R.M., Azapagic A. J. CO2 Util. 2015, 9, 82–102. doi: 10.1016/j.jcou.2014.12.001
- Wang L., Chen W., Zhang D., Du Y., Amal R., Qiao S., Wu J., Yin Z. Chem. Soc. Rev. 2019, 48, 5310–5349. doi: 10.1039/C9CS00163H
- Wang K., Ma Y., Liu Y., Qiu W., Wang Q., Yang X., Liu M., Qiu X., Li W., Li J. Green Chem. 2021, 23, 3207–3240. doi: 10.1039/d0gc04417b
- Wang Y., Winter L.R., Chen J.G., Yan B. Green Chem. 2021, 23, 249–267. doi: 10.1039/d0gc03506h
- Nitopi S., Bertheussen E., Scott S.B., Liu X., Engstfeld A.K., Horch S., Seger B., Stephens I.E.L., Chan K., Hahn C., Nørskov J.K., Jaramillo T.F., Chorkendorff Ib. Chem Rev. 2019, 119, 7610–7672. doi: 10.1021/acs.chemrev.8b00705
- Mena S., Peral J., Guirado G. Curr. Opin. Electrochem. 2023, 42, 101392. doi: 10.1016/j.coelec.2023.101392
- Zeng J., Castellino M., Fontana M., Sacco A., Monti N.B.D., Chiodoni A., Pirri C.F. Front. Chem. 2022, 10, 931767. doi: 10.3389/fchem.2022.931767
- Long C., Li X., Guo J., Shi Y., Liu S., Tang Z. Small Methods 2019, 3, 1800369. doi: 10.1002/smtd.201800369
- Daiyan R., Saputera W.H., Massod H., Leverett J., Lu X., Amal R. Adv. Energy Mater. 2020, 10, 1902106. doi: 10.1002/aenm.201902106
- Ali T., Wang H., Iqbal W., Bashir T., Shah R., Hu Y. Adv. Sci. 2023, 10, 2205077. doi: 10.1002/advs.202205077
- Lin Z., Han C., O'Connell G.E.P., Lu X. Angew. Chem.Int. Ed. 2023, 62, e2023014. doi: 10.1002/anie.202301435
- Максимов А. Л., Белецкая И. П.Успехи хим., 2024, 93 (1) RCR5101 [Maximov A.L., Beletskaya I.P. Russ. Chem. Rev., 2024, 93 (1) RCR5101].
- Yusuf B. A., Yaseen W., Meng S., Xie J., Fapohunda F.O., Nankya R., Muhammad A.I., Xie M., Xu Y. Coord. Chem. Rev. 2023, 492, 215273. doi: 10.1016/j.ccr.2023.215273
- Xu L., Trogadas P., Coppens M.-O., Adv. Energy Mater. 2023, 13, 2302974. doi: 10.1002/aenm.202302974
- Kholin K.V., Khrizanforov M.N., Babaev V.M., Nizameeva G.R., Minzanova S.T., Kadirov M.K., Budnikova Y.H. Molecules 2021, 26, 5524. doi: 10.3390/molecules26185524
- Ouyang T., Huang S., Wang X.T., Liu Z.Q. Chem. Eur. J. 2020, 26, 14024–14035. doi: 10.1002/chem.202000692
- Chen X., Chen J., Alghoraibi N.M., Henckel D.A., Zhang R., Nwabara U.O., Madsen K.E., Kenis P.J.A., Zimmerman S.C., Gewirth A.A. Nat Catal. 2020, 4, 20–27. doi: 10.1038/s41929-020-00547-0
- Jiao S., Fu X., Zhang L., Zhang L., Ruan S., Zeng Y.-J., Huang H. Nano Today. 2021, 36, 101028. doi: 10.1016/j.nantod.2020.101028
- Gao D., Ar´an-Ais R.M., Jeon H.S., Roldan Cuenya B. Nat. Catal. 2019, 2, 198–210. doi: 10.1038/s41929-019-0235-5
- Zhang Y., Guo S.-X., Zhang X., Bond A.M., Zhang J. Nano Today. 2020, 31, 100835. doi: 10.1016/j.nantod.2019.100835
- Liu Q., Wu L., Jackstell R., Beller M. Nat. Commun. 2015, 6, 5933–5947. doi: 10.1038/ncomms6933
- Artz J., Müller T. E., Thenert K., Kleinekorte J., Meys R., Sternberg A., Bardow A., Leitner W. Chem. Rev. 2018, 118, 434–504. doi: 10.1021/acs.chemrev.7b00435
- Pimparkar S., Dalvi A.K., Koodan A., Maiti S., Al-Thabaiti S.A., Mokhtar M., Dutta A., Lee Y.R., Maiti D. Green Chem., 2021, 23, 9283–9317. doi: 10.1039/d1gc02737a
- Wang S., Feng T., Wang Y., Qiu Y. Chem. Asian. J. 2022, 17, 434. doi: 10.1002/asia.202200543
- Younus H.A., Ahmad N., Ni W., Wang X., Al-Abri M., Zhang Y., Verpoort F., Zhang S. Coord. Chem. Rev. 2023, 493, 215318. doi: 10.1016/j.ccr.2023.215318
- Wu J., Huang Y., Ye W., Li Y. Adv. Sci. 2017, 1700194. doi: 10.1002/advs.201700194
- Bard A.J., Standard Potentials in Aqueous Solution, N.-Y., CRC Press, 1985. doi: 10.1201/9780203738764
- Lamy E., Nadjo L., Saveant J. M. J. Electroanal. Chem. 1977, 78, 403– 407. doi: 10.1016/S0022-0728(77)80143-5
- Koppenol W.H., Rush J.D. J. Phys. Chem. 1987, 91, 4429– 4430. doi: 10.1021/j100300a045
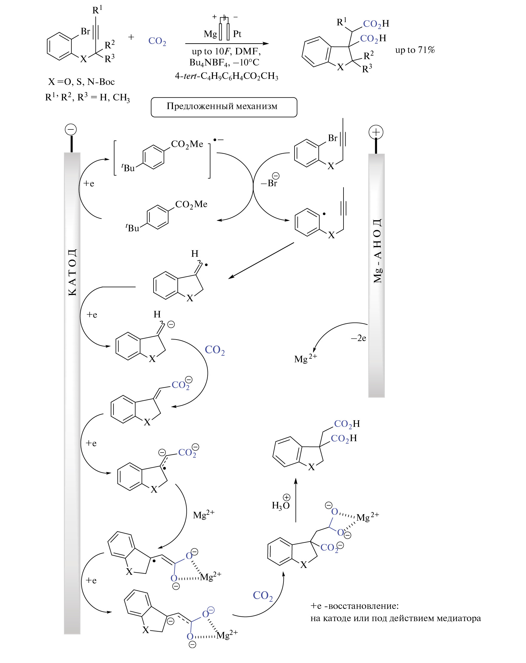
- You Y., Kanna W., Takano H., Hayashi H., Maeda S., Mita T. J. Am. Chem. Soc. 2022, 144, 8, 3685–3695. doi: 10.1021/jacs.1c13032
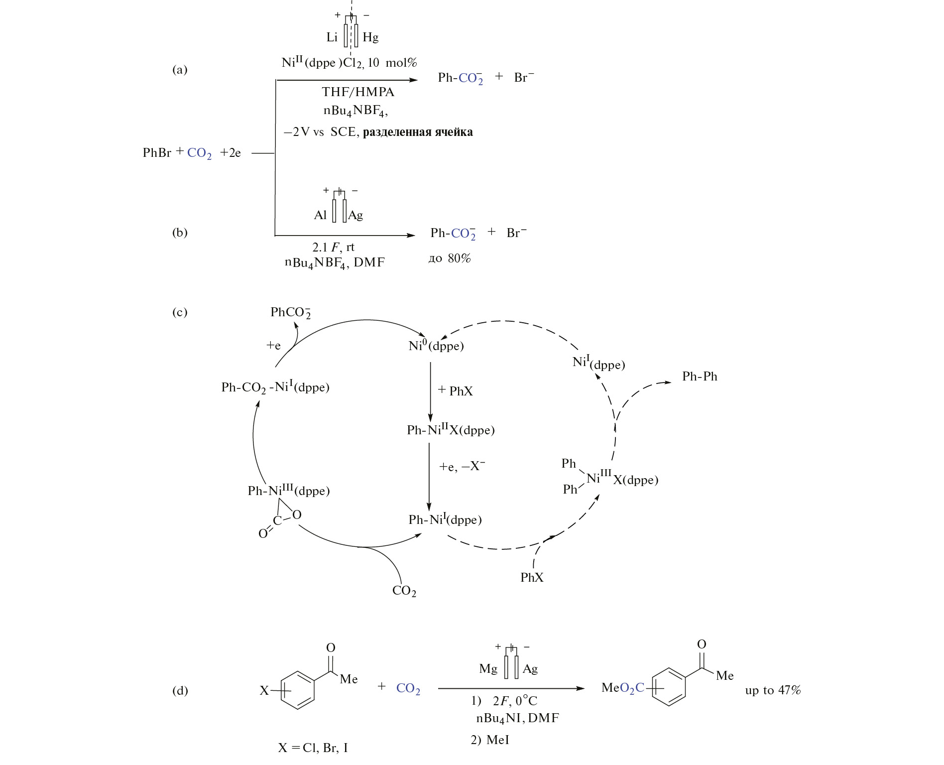
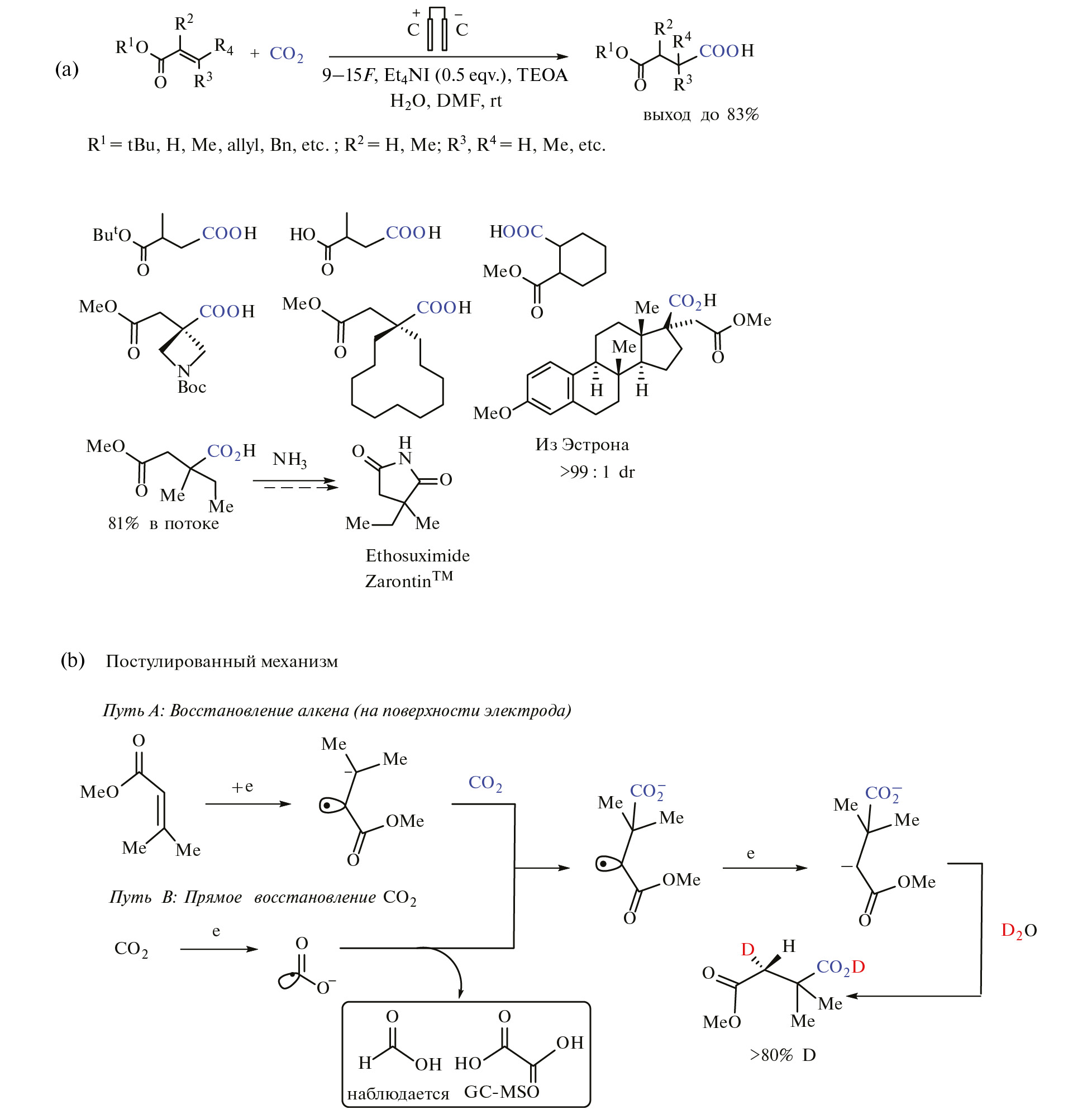
- Dérien S., Clinet J.-C., Duñach E., Périchon J. J. Org. Chem., 1993, 58, 2578–2588. doi: 10.1002/chin.199331054
- Senboku H., Komatsu H., Fujimura Y., Tokuda M. Synlett 2001, 3, 418–420. doi: 10.1055/s-2001-11417
- Wang H., Lin M.-Y., Chen T.-T., Fang H.-J., Lu J.-X. Chin. J. Chem. 2007, 25, 913–916. doi: 10.1002/cjoc.200790177
- Kim Y., Park G.D., Balamurugan M., Seo J., Min B.K., Nam K.T., Adv. Sci. 2020, 7, 1900137. doi: 10.1002/advs.201900137
- Alkayal A., Tabas V., Montanaro S., Wright I.A., Malkov A.V., Buckley B.R. J. Am. Chem. Soc. 2020, 142, 1780–1785. doi: 10.1021/jacs.9b13305
- Gao X.-T., Zhang Z., Wang X., Tian J.-S., Xie S.-L., Zhou F., Zhou J. Chem. Sci. 2020, 11, 10414–10420. doi: 10.1039/d0sc04091f
- Dérien S., Clinet J.C., Duñach E., Perichon J. Tetrahedron, 1992, 48, 5235–5248. doi: 10.1016/S0040-4020(01)89021-9
- Steinmann S.N., Michel C., Schwiedernoch R., Wu M., Sautet P. J. Catalysis, 2016, 343, 240–247. doi: 10.1016/j.jcat.2016.01.008
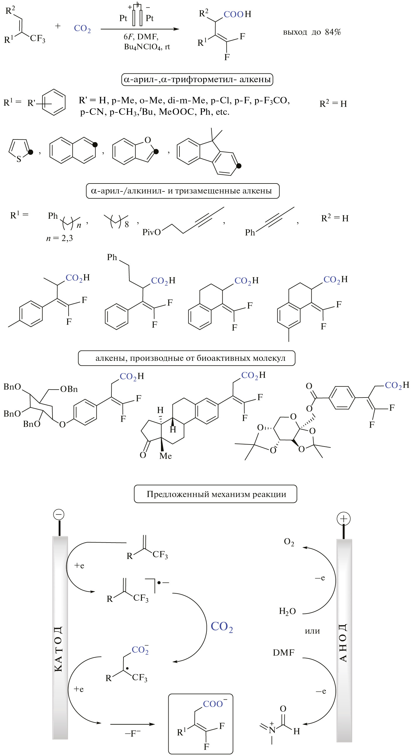
- Sheta A. M., Mashaly M.A., Said S.B., Elmorsy S.S., Malkov A.V., Buckley B.R. Chem. Sci. 2020, 11, 9109–9114. doi: 10.1039/d0sc03148h
- Sheta A.M., Alkayal A., Mashaly M.A., Said S.B., Elmorsy S.S., Malkov A.V., Buckley B.R. Angew. Chem. Int. Ed. 2021, 60, 21832–21837. doi: 10.1002/anie.202105490
- Katayama A., Senboku H., ChemElectroChem 2016, 3, 2052–2057. doi: 10.1002/celc.201600508
- Yan Y., Li H., Xie F., Lu W., Zhang Z., Jing L., Hana P. Adv. Synth. Catal. 2023, 365, 3830–3836. doi: 10.1002/adsc.202300789
- Derien S., Dunach E., Perichon J. J. Am. Chem. Soc. 1991, 113 (22), 8447–8454. doi: 10.1021/ja00022a037
- Li C.-H., Yuan G.-Q., Jiang H.-F. Chin. J. Chem. 2010, 28, 1685–1689. doi: 10.1002/cjoc.201090285
- Li C.-H., Yuan G.-Q., Qi C.-R., Jiang H.-F. Tetrahedron 2013, 69, 3135–3140. doi: 10.1016/j.tet.2013.02.089
- Katayama A., Senboku H., Hara S. Tetrahedron 2016, 72, 4626–4636. doi: 10.1016/j.tet.2016.06.032.
- Zhang W., Lin S. J. Am. Chem. Soc. 2020, 142, 20661–20670. doi: 10.1021/jacs.0c08532
- Yuan G.-Q., Li L.-G., Jiang H.-F., Qi C.-R., Xie F.-C. Chin. J. Chem. 2010, 28, 1983–1988. doi: 10.1002/cjoc.201090331
- Sun G.-Q., Yu P., Zhang W., Zhang W., Wang Y., Liao L.-L., Zhang Z., Li, L., Lu, Z., Yu D.-G., Lin S. Nature 2023, 615, 67–72. doi: 10.1038/s41586-022-05667-0
- Zhao Z., Liu Y., Wang S., Tang S., Ma D., Zhu Z., Guo C., Qiu Y. Angew. Chem. Int. Ed. 2023, 62, e202214710. doi: 10.1002/anie.202214710
- Senboku H., Yamauchi Y., Kobayashi N., Fukui A., Hara S. Electrochim. Acta 2012, 82, 450–456. doi: 10.1016/j.electacta.2012.03.131
- Liao L.-L., Wang Z.-H., Cao K.-G., Sun G.-Q., Zhang W., Ran C.-K., Li Y., Chen L., Cao G.-M., Yu D.-G. J. Am. Chem. Soc. 2022, 144, 2062–2068. doi: 10.1021/jacs.1c12071
- Amatore C., Jutand A., J. Am. Chem. Soc. 1991, 113, 2819–2825. doi: 10.1021/ja00008a003
- Isse A.A., Durante C., Gennaro A. Electrochem. Commun. 2011, 13, 810–813. doi: 10.1016/j.elecom.2011.05.009
- Wang H., Xu X.-M., Lan Y.-C., Wang H.-M., Lu J.-X. Tetrahedron 2014, 70, 1140–1143. doi: 10.1016/j.tet.2013.12.083
- Bazzi S., Le Duc G., Schulz E., Gosmini C., Mellah M. Org. Biomol. Chem. 2019, 17, 8546–8550. doi: 10.1039/C9OB01752F
- Senboku H., Yoneda K., Hara S. Electrochemistry 2013, 81, 380–382. doi: 10.5796/electrochemistry.81.380
- Mondal S., Sarkar S., Wang J.W., Meanwell M.W. Green Chem., 2023, 25, 9075-9079. doi: 10.1039/d3gc03387b
- Zhao B., Pan Z., Pan J., Deng H., Bu X., Ma M., Xue F. Green Chem., 2023, 25, 3095–3102. doi: 10.1039/d2gc04636a
- Senboku H. Chem. Rec. 2021, 21, 2354– 2374. doi: 10.1002/tcr.202100081
- Wu J., Huang Y., Ye W., Li Y. Adv. Sci. 2017, 4, 1700194. doi: 10.1002/advs.201700194
- Chen B.-L., Liu Q.-Z., Wang H., Lu J.-X. Curr. Org. Chem. 2023, 27, 734–740. doi: 10.2174/1385272827666230714145953
- Khrizanforova V.V., Fayzullin R R., Kartashov S.V., Morozov V.I., Khrizanforov M.N., Gerasimova T.P., Budnikova Y.H., Chem. Eur. J. 2024, e202400168. doi: 10.1002/chem.202400168
- Zlotin S.G., Egorova K.S., Ananikov V.P., Akulov A.A., Varaksin M.V., Chupakhin O.N., Charushin V.N., Bryliakov K.P., Averin A.D., Beletskaya I.P., Dolengovski E.L., Budnikova Yu.H., Sinyashin O.G., Gafurov Z.N., Kantyukov A.O., Yakhvarov D.G., Aksenov A.V., Elinson M.N., Nenajdenko V.G., Chibiryaev A.M., Nesterov N.S., Kozlova E.A., Martyanov O.N., Balova I.A., Sorokoumov V.N., Guk D.A., Beloglazkina E.K., Lemenovskii D.A., Chukicheva I.Yu., Frolova L.L., Izmest'ev E.S., Dvornikova I.A., Popov A.V., Kutchin A.V., Borisova D.M., Kalinina A.A., Muzafarov A.M., Kuchurov I.V., Maximov A.L., Zolotukhina A.V. Russ. Chem. Rev. 2023, 92, RCR5104. doi: 10.59761/RCR5104
- Budnikova Y.H., Dolengovski E.L., Tarasov M.V., Gryaznova T.V. J. Solid State Electrochem. 2024, 28, 659–676. doi: 10.1007/s10008-023-05507-9
Дополнительные файлы





























