Трехкомпонентный синтез тризамещенных пиридин-2(1H)-онов
- Авторы: Талыбов Г.М.1
-
Учреждения:
- Азербайджанский технический университет
- Выпуск: Том 60, № 5 (2024)
- Страницы: 683-687
- Раздел: Статьи
- URL: https://bakhtiniada.ru/0514-7492/article/view/279760
- DOI: https://doi.org/10.31857/S0514749224050127
- EDN: https://elibrary.ru/RCQTLW
- ID: 279760
Цитировать
Полный текст
Аннотация
Конденсация арилцианидов с хлорметилпропаргил(аллил)овыми эфирами и этилфенилпропиолатом в присутствии каталитических количеств пиридина приводит к образованию тризамещенных пиридин-2(1H)-онов.
Ключевые слова
Полный текст
ВВЕДЕНИЕ
Структурные аналоги 2-пиридинона содержатся во многих биологически активных природных и синтетических соединениях, которые обладают рядом лечебных свойств [1, 2], в том числе, антибактериальными и противогрибковыми [3], а также используются в качестве эффективных средств лечения ВИЧ-инфекций [4, 5]. В большинстве случаев направленная биологическая пиридинсодержащих препаратов во многом определяется характером т заместителей пиридинового цикла.
Авторы работы [6] для синтеза замещенных пиридин-2-онов использовали аминоальдегидов или кетонов с замещенными ацетатами в присутствии литий бис(триметилсилил)амида, что позволяет получать производные пиридин-2-онов с различными заместителями в кольце.
Методы синтеза замещенных пиридин-2(1Н)-онов предложены в работах [8–12]. Известен также региоселективный метод синтеза 6-амино-5-бензоил-1-замещенных пиридин-2(1H)-онов взаимодействием ациклических кетеноаминов с эфиром пропионовой кислоты [7].
РЕЗУЛЬТАТЫ И ОБСУЖДЕНИЕ
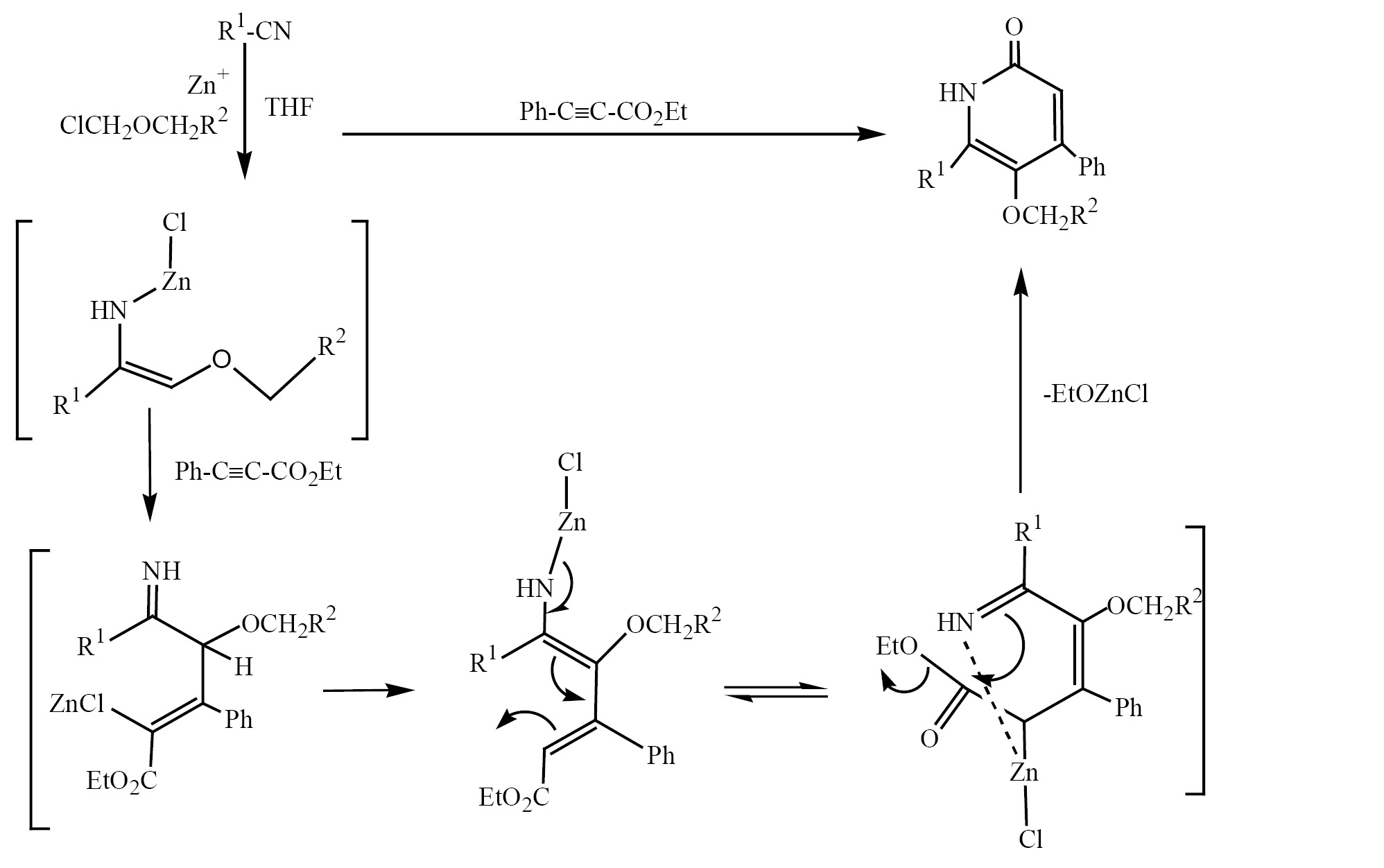
Мы разработали метод трехкомпонентного синтеза тризамещенных пиридин-2(1H)-онов путем взаимодействия арилцианидов с хлорметилпропаргил(аллил)овым эфиром и этилфенилпропиолатом в присутствии пиридина (схема 1).
Схема 1
Ниже мы приводим схему возможного механизма образования трихзамещенных пиридин-2(1H)-онов (1–6) (схема 2). Хорошо известно, что нитрилы в присутствии порошкообразного цинка вступают во взаимодействие с a-галоген эфирами с образованием кетоэфиров [12]. Фактически первый этап реакции протекает по методу Блейза [13] и последующим внутримолекулярным циклоэлиминированием, что приводит к образованию замещенных пиридин-2(1H)-онов (1–6) с выходами 62.1–70.6%.
Таким образом, впервые разработали эффективный, одностадийный синтез пиридон-2(1Н)-онов через тандемную реакции нитрилов с пропиолатами. Эта метод позволяет прямое использование нитрилов, а также обеспечивает синтез пиридинонов-2(1Н)-онов .с разнообразными заместителями кольце.
Строение и чистота полученных веществ подтверждены физико-химическими методами и ТСХ.
ЭКСПЕРИМЕНТАЛЬНАЯ ЧАСТЬ
Спектры ЯМР 1Н и 13C веществ в СDСl3 записаны на приборе Вruker SF-300 [300.13 (1H), 75 (13C)МГц] (Германия), внутренний стандарт-ГМДС. Элементный состав образцов определяли на элементном анализаторе Karlo Erba 1106 (США).
Соединение 1–6. (Общая методика). К суспензии цинковой пыли (10 мкм, 1.0 г, 15.3 ммоль) добавляли метансульфоновую кислоту (3.7 мг) в безводном ТГФ (4.0 мл), а затем через 10 мин добавили бензонитрил (0.8 мл, 7.6 ммоль). При постоянной температуре в течение 1 ч добавили хлорметилпропаргил(аллил)ового эфира (1.26 мл, 11.4 ммоль) и реакционную смесь нагревали еще в течение 1 часа. Затем к смеси добавили этилфенилпропиолат (1.4 мл, 8.4 ммоль). После кипячения смеси в течение 3 ч насыщали к смеси добавили 0 мл 0% раствора NH4Cl и органический слой экстрагировали этилацетатом (3 × 30 мл), сушили безводным MgSO4, фильтровали и концентрировали при пониженном давление. Растворитель удаляли при пониженном давлении, остаток хромато- графировали на силикагеле (элюент – гексан–этилацетат, 9 : 1, затем 7 : 3).
5-(Проп-2-ин-1-илокси)-4,6-дифенилпиридин-2(1H)-он (1). Выделено вещества (2). Выход 64.3 %, т.пл. 202–203оС( из EtOH). ИК-спектр, ν, см–1: 3441, 3310, 2893, 2110, 1967, 1651, 1280, 1120, 1010, 702. Спектр ЯМР 1Н (300 МГц, CDCl3), δ, м. д. (J, Гц): 2.52 т (1Н, ≡СН, 4J 2.4 Гц), 3.83 д.д (1Н, 2J = 16.2 Гц, ≡СCH2O, 4J 2.4 Гц), 4.05 д.д (1Н, ≡СCH2O, 2J 16.2 Гц, 4J 2.4 Гц), 6.45 c (1H, СН), 7.26–7.41 м (5H, Ph), 7.45–7.52 м (5H, Ph), 12.21 уш (1H, NH). Спектр ЯМР 13C (75 МГц, ДМСО-d6), δ, м. д. (J, Гц): 56.1 (≡С-CH2O), 78.0 (≡СH), 88.4 (≡С-CH2O), 114.3, 118.5, 127.2, 128.2, 128.4, 128.7, 128.8, 130.3, 132.9, 138.1, 147.2, 154.0, 163.7, 166.7. Найдено, %: C 79.11; H 5.08; N 4.61. C20H15NO2. Вычислено, %: C 79.72; H 5.02; N 4.65.
5-(Проп-2-ен-1-илокси)-4,6-дифенилпиридин-2(1H)-он (2). Выделено вещества (2). Выход 70.4%, т.пл. 101–103оС (из EtOH). ИК-спектр, ν, см–1: 3080, 3010, 2926, 1640, 1596, 1501, 1360, 1270, 1121, 992, 845, 757, 686. Спектр ЯМР 1Н (300 МГц, CDCl3), δ, м. д. (J, Гц): 4.00 д.д (2H, CH2O, 3J 5.67 и 4J 1.47 Гц), 5.17 д.д.т (1H, H2C=, Jцис10.37, 2J=4J 1.57 Гц), 5.26 д.д.д (1H, H2C=, Jтранс17.31 и 2J = 4J 1.66 Гц), 5.89 д.д.т (1H, CH=, Jцис 10.37, 2J = 4J 1.57 и Jтранс17.31 Гц), 6.45 c (1H, CН), 7.26–7.41 м (5H, Ph), 7.45–7.52 м (5H, Ph), 12.21 уш (1H, NH). Спектр ЯМР 13C (75 МГц, ДМСО-d6), δ, м. д. (J, Гц): 72.3 (=C-CH2O), 117.6 (H2C=), 134.6 ( HC=).114.3, 118.5, 127.2, 128.2, 128.4, 128.7, 128.8,130.3, 132.9, 138.1, 147.2, 154.0, 163.7, 166.7. Найдено, %: C 79.33; H 5.61; N 4.55. C20H17NO2. Вычислено, %: C 79.19; H 5.65; N 4.62.
5-(Проп-2-ин-1-илокси)-4-фенил-6-(4-метоксифенил)пиридин-2(1H)-он (3).
Т.пл. 196–198оС (из EtOH). Выделено вещества (3). Выход 62.1%. ИК-спектр, ν, см–1: 3437, 3310, 2935, 2110, 1647, 1249, 1107, 833, 702. Спектр ЯМР 1Н (300 МГц, CDCl3), δ, м. д. (J, Гц): 2.51 т (1Н, ≡СН, 4J 2.4 Гц), 3.82 д.д (1Н, ≡СCH2O, 2J 16.2 Гц, 4J = 2.4 Гц), 3.84 с (3H, CH3), 4.04 д.д (1Н, 2J 16.2 Гц, ≡СCH2O, 4J 2.4 Гц), 6.42 с (1H, Ph), 6.95 д (2H, J 8.8 Гц), 7.31-7.40 м (5H, Ph), 7.47 д (2H, J 8.8 Гц), 12.25 уш (1H, CH). Спектр ЯМР 13C (75 МГц, ДМСО-d6), δ, м. д. (J, Гц): 58.7 (≡С-CH2O), 68.8 (≡СH), 79.1 (≡С-CH2O), 61.2, 113.7, 114.2, 118.1, 125.3, 127.2, 128.4, 128.7, 129.7, 138.4, 146.9, 153.9, 161.1, 163.5, 167.0. Найдено, %: C 79.45; H 5.24; N 4.55. C20H17NO2. Вычислено, %: C 79,19; H 5.65; N 4.62.
5-(Проп-2-ен-1-илокси)-4-фенил-6-(4-метоксифенил)пиридин-2(1H)-он (4). Выход 66.3 %. Т.пл. 196–198оС (из EtOH). ИК-спектр, ν, см–1: 3080, 3009, 2925, 1640, 1596, 1501, 1361, 1270, 1121, 993, 845, 757, 685. Спектр ЯМР 1Н (300 МГц, CDCl3), δ, м. д. (J, Гц): 3.84 с (3H, CH3), 6.42 (1H с), 4.02 д.д (2H, CH2O, 3J 5.67 и 4J 1.47 Гц), 5.18 д.д.т (1H, H2C=, Jцис10.37, 2J=4J 1.57 Гц), 5.26 д.д.д (1H, H2C=, Jтранс17.31 и 2J = 4J 1.66 Гц), 5.89 д.д.т (1H, CH=, Jцис10.37, 2J = 4J 1.57 и Jтранс17.31 Гц), 6.95 д (2H, J 8.8 Гц), 7.31-7.40 м (5H, Ph), 7.47 д (2H, J 8.8 Гц), 12.25 уш (1H, NH). Спектр ЯМР 13C (75 МГц, ДМСО-d6), δ, м. д.(J, Гц): 72.3 (=C-CH2O), 116.4 (H2C=), 133.6 (-HC=), 61.2, 113.7, 114.2, 118.1, 125.3, 127.2, 128.4, 128.7, 129.7, 138.4, 146.9, 153.9, 161.1, 163.5, 167.0. Найдено, %: C 78.51; H 6,24; N 4,62. C20H19NO2. Вычислено, %: C 78.66; H 6.27; N 4,59.
5-(Проп-2-ин-1-илокси)-4-фенил-6-(4-метилоксифенил)пиридин-2(1H)-он (5). Выход 69.5%. Т.пл 203–205оС (из EtOH). Выделено 6.7 г вещества (5). Выход 69.5%. ИК-спектр, ν, см–1: 3310 и 2110 (С≡СН), 3425, 2908, 1280, 1110, 825, 779, 1120 (С-О-С). Спектр ЯМР 1Н (300 МГц, CDCl3), δ, м. д. (J, Гц): 2.51 т (1Н, ≡СН, 4J 2.4 Гц), 2.39 (3H с,), 6.47 (1H с), 3.84 д.д (1Н, ≡СCH2O, 2J 16.2 Гц, 4J 2.4 Гц), 4.05 д.д (1Н, ≡СCH2O, 2J 16.2 Гц, 4J 2.4 Гц), 7.25 д (2H, Ph, J 7.1 Гц), 7.28-7.42 м (7H, Ph), 11.03 уш (1H, NH). Спектр ЯМР 13C (75 МГц, ДМСО-d6), δ, м.д. (J, Гц): 59.1 (≡С-CH2O), 78.2 (≡СH), 86.3 (≡С-CH2O), 61.2, 113.8, 118.3, 127.2, 128.1, 128.4, 128.6, 129.4, 130.1, 138.3, 140.4, 147.4, 153.8, 163.7, 167.0. Найдено, %: C 75.21; H 5.44; N 4.32. C20H17NO3. Вычислено, %: C 75.22; H 5.37; N 4.39.
5-(Проп-2-ен-1-илокси)-4-фенил-6-(4-метилоксифенил)пиридин-2(1H)-он (6). Выход 70.6 %. Т.пл. 211–213оС (из EtOH). Выделено 6.7 г вещества (6). Выход 68.1%. ИК-спектр, ν, см–1: 3081, 3010, 2926, 1642, 1596, 1501, 1359, 1270, 1121, 992, 845, 757, 686. Спектр ЯМР 1Н (300 МГц, CDCl3), δ, м. д. (J, Гц): 2.39 с (3H, CH3), 4.02 д.д (2H, CH2O, 3J 5.67 и 4J 1.47 Гц), 5.16 д.д.т (1H, H2C=, Jцис10.37, 2J = 4J 1.57 Гц), 5.26 д.д.д (1H, H2C=, Jтранс17.31 и 2J=4J 1.66 Гц), 5.88 д.д.т (1H, CH=, Jцис 10.37, 2J = 4J 1.57 и Jтранс17.31 Гц), 6.47 с (1H, СН), 7.25 д (2H, J 7.1 Гц), 7.28-7.42 м (7H, Ph), 11.03 уш (1H, NH). Спектр ЯМР 13C (75 МГц, ДМСО-d6), δ, м. д. (J, Гц): 72.32 (=C-CH2O), 117.67 (H2C=), 134.63 (-HC=), 61.2, 113.8, 118.3, 127.2, 128.1, 128.4, 128.6, 129.4, 130.1, 138.3, 140.4, 147.4, 153.8, 163.7, 167.0. Найдено, %: C 74.41; H 5.74; N 4,31. C20H19NO3. Вычислено, %: C 74.75; H 5.96; N 4.36.
ЗАКЛЮЧЕНИЕ
Впервые описанная реакция является первым примером построения ранее недоступной гетероциклической системы тризамещенных пиридин-2(1H)-онов. Синтезированные соединения могут представлять интерес для медицинской химии ввиду наличия в их структуре гетероатомов в том числе азота.
КОНФЛИКТ ИНТЕРЕСОВ
Авторы заявляют об отсутствии конфликта интересов.
Об авторах
Гюльахмед Мирахмед оглы Талыбов
Азербайджанский технический университет
Автор, ответственный за переписку.
Email: gtalibov61@gmail.com
ORCID iD: 0000-0001-6251-2974
Азербайджан, AZ 1073 Баку, просп. Г. Джавида, 25
Список литературы
- Dean A. Wacker,Ying Wang, Matthias Broekema, Karen Rossi, Steven O’Connor,Zhenqiu Hong, Ginger Wu, Sarah E. Malmstrom, Chen-Pin Hung, Linda LaMarre. Anjaneya Chimalakonda, Lisa Zhang, Li Xin, Hong Cai, Cuixia Chu, Stephanie Boehm, Jacob Zalaznick, Randolph Ponticiello, Larisa Sereda, Song-Ping Han, Rachel Zebo, Bradley Zinker, Chiuwa Emily Luk, Richard Wong, Gerry Everlof, Yi-Xin Li, Chunyu K. Wu, Michelle Lee, Steven Griffen, Keith J. Miller, John Krupinski, Jeffrey A. Robl. J. Med. Chem. 2014, 57, 7499–7508. https://doi.org/10.1021/jm501175v
- V.S. Prasadarao Lingam, Dnyaneshwar H. Dahale, Vijay E. Rathi, Yogesh B. Shingote, Rajni R. Thakur, Ajit S. Mindhe, Srinivas Kummari, Neelima Khairatkar-Joshi, Malini Bajpai, Daisy M. Shah, Ratika S. Sapalya, Srinivas Gullapalli, Praveen K. Gupta, Girish S. Gudi, Satyawan B. Jadhav, Rambabu Pattem, Abraham Thomas. J. of Med. Chem. 2015, 58, 8292–8308. https://doi.org/10.1021/acs.jmedchem.5b01240
- James F. Blake, Michael Burkard, Jocelyn Chan, Huifen Chen, Kang-Jye Chou, Dolores Diaz, Danette A. Dudley, John J. Gaudino, Stephen E. Gould, Jonas Grina, Thomas Hunsaker, Lichuan Liu, Matthew Martinson, David Moreno, Lars Mueller, Christine Orr, Patricia Pacheco, Ann Qin, Kevin Rasor, Li Ren, Kirk Robarge, Sheerin Shahidi-Latham, Jeffrey Stults, Francis Sullivan, Weiru Wang, Jianping Yin, Aihe Zhou, Marcia Belvin, Mark Merchant, John Moffat,Jacob B. Schwarz. J. Med. Chem. 2016, 59, 5650–5660. https://doi.org/10.1021/acs.jmedchem.6b00389
- Alvarez S., Medina S., Domínguez G., Perez-Castells J. J. Org. Chem. 2013, 78, 9995. https://doi.org/10.1021/jo401538p
- Kiet Le Van, Christine Cauvin, Ste phane de Walque,| Benoıˆt Georges Sandro Boland, Vale rie Martinelli, Dominique Demonte, Franc ois Durant, La ´szlo ´ Hevesi,and Carine Van Lint. J. Med. Chem. 2009, 52, 3636. https://doi.org/10.1021/jm801438e
- Tushar Apsunde, Ryan P. Wurz. J. Org. Chem. 2014, 79, 3260. https://doi.org/ 10.1021/jo400541s
- Hartmut Schirok, Cristina Alonso-Alija, Jordi Benet-Buchholz, Andreas H. Go ¨ller, Rolf Grosser, Martin Michels, and Holger Paulsen. J. Org. Chem. 2005, 70, 9463.
- Wei Pan, Dewen Dong, Kewei Wang, Jie Zhang, Rigenhada Wu, Dexuan Xiang,Qun Liu. Organic Letters 2007, 9, 2421–2423. https://doi.org/10.1021/ol070905i
- Sandip Chikhalikar, Vijay Bhawe, Bhausaheb Ghotekar, Madhukar Jachak,Maruti Ghagare. J. Org. Chem. 2011, 76, 10, 3829–3836. doi: 10.1021/jo200197g.
- Cécile Croix, Gildas Prié, Charlotte Chaulet, Marie-Claude Viaud-Massuard. J. Org. Chem. 2015, 80, 3264–3269. https://doi.org/ 10.1021/jo502784.
- Dexuan Xiang, Kewei Wang, Yongjiu Liang, Guangyuan Zhou, Dewen Dong. Org. Let. 2008, 10, 2, 345–348. https://doi.org/10.1021/ol702846t
- Талыбов Г.М. ЖОрХ, 2017, 53, 124–125. (Talybov G.M. New synthesis of 1,2-diol monopropargyl ethers. Russ. J. Org. Chem. 2017, 53, 123–124. https://doi.org/10.1134/S1070428017010225
- Blaise, E.E. C. R. Hebd. Seances Acad. Sci. 1901, 132, 478–480.




