Модификация N-функционализированных 4-нитрозо-1Н-пиразолов
- Авторы: Боброва А.В.1, Голенко Э.И.1, Оберенко А.В.2, Иваненко Т.Ю.3, Роот Е.В.1,4, Субоч Г.А.1
-
Учреждения:
- Сибирский государственный университет науки и технологий имени академика М.Ф. Решетнева
- Сибирский федеральный университет
- Институт химии и химической технологии СО РАН – обособленное подразделение ФИЦ КНЦ СО РАН
- Красноярский государственный медицинский университет им. проф. В.Ф. Войно-Ясенецкого
- Выпуск: Том 60, № 5 (2024)
- Страницы: 654-659
- Раздел: Статьи
- URL: https://bakhtiniada.ru/0514-7492/article/view/279750
- DOI: https://doi.org/10.31857/S0514749224050091
- EDN: https://elibrary.ru/RCVSVA
- ID: 279750
Цитировать
Полный текст
Аннотация
Химические свойства N-замещенных 3,5-диметил-4-нитрозо-1Н-пиразолов исследованы в реакциях окисления, конденсации и восстановления. Полученный 4-аминопиразол ацилировали, диазотировали с последующим азосочетанием или заменой аминогруппы на йод, конденсировали с 4-нитробензальдегидом. В результате были выделены ранее неизвестные производные пиразола с различными функциональными группами, строение которых подтверждено методами ИК, ЯМР 1H, 13C спектроскопии, газовой хроматомасс-спектрометрии и данными элементного анализа. Полученные соединения являются перспективными для проведения дальнейших исследований в области медицины и фармацевтической химии.
Ключевые слова
Полный текст
ВВЕДЕНИЕ
Нитрозосоединения и их производные часто выступают в качестве синтонов для синтеза широкого ряда продуктов, применяемых в различных областях науки и производства [1, 2]. Наличие нитрозогруппы в молекуле гетероцикла открывает широкие возможности для синтеза, так как нитрозосоединения обладают высокой химической активностью и могут вступать в реакции окисления [3, 4], восстановления [5, 6], Дильса–Альдера с диенами [7, 8], конденсации с нуклеофильными реагентами [9–11] и др.
Ранее нами методом прямого алкилирования 4-нитрозо-1Н-пиразолов впервые был синтезирован ряд N-замещенных 4-нитрозопиразолов [12], строение которых предполагает возможность их применения в качестве структурирующих и модифицирующих агентов в эластомерных композициях [13]. Кроме того, химическая модификация нитрозосоединений позволит получать ранее недоступные продукты с потенциальной биологической активностью. Так, восстановление нитрозопиразолов приводит к получению аминов [14], обладающих анальгетическим и противовоспалительным действием. Ацетамидные производные N-замещенных пиразолов перспективны для лечения глиобластомы [15], а некоторые 4-нитропиразолы проявляют цитотоксическую активность в отношении быстрорастущих клеток плоскоклеточного рака [16].
В этой связи, имея ряд замещенных 4-нитрозопиразолов [12], мы изучили их химические превращения с целью получения потенциально полезных продуктов, что позволило синтезировать ранее неизвестные функционализированные пиразолы химической модификацией нитрозогруппы в пиразолах.
РЕЗУЛЬТАТЫ И ОБСУЖДЕНИЕ
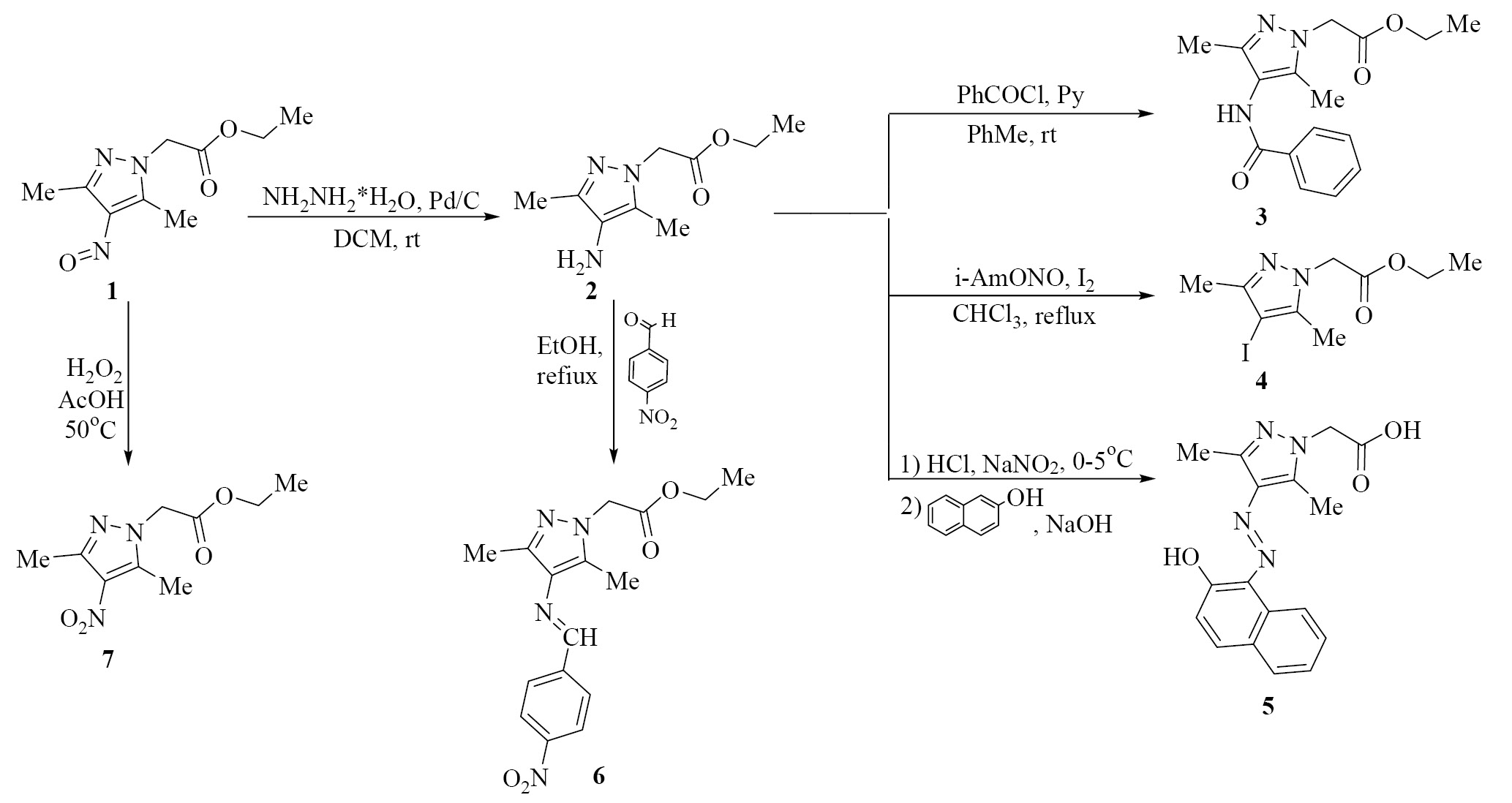
Химическую модификацию впервые полученных N-замещенных 4-нитрозопиразолов исследовали на примере этил-2-(3,5-диметил-4-нитрозо-1H-пиразол-1-ил)ацетата (1) (схема 1).
Схема 1
Восстановление 4-нитрозопиразола 1 проводили гидразингидратом в среде хлористого метилена в присутствии катализатора Pd/C. Полученный с хорошим выходом 4-аминопиразол 2 ацилировали с получением амида 3, а также диазотировали с последующими превращениями диазосоединений в новые продукты 4 и 5. Стоит отметить, что при азосочетании происходит гидролиз сложноэфирной группы, в результате чего была выделена соответствующая карбоновая кислота 5. Конденсация 4-аминопиразола 2 с альдегидами была показана на примере взаимодействия с п-нитробензальдегидом при кипячении в этаноле с образованием имина 6.
Нитропроизводное 7 получено с выходом 60% при окислении нитрозопиразола 1 пероксидом водорода в уксусной кислоте (схема 1), а окисление в тех же условиях бис(4-нитрозопиразола) 8 (схема 2) [12] привело к соответствующему динитропроизводному 9 c выходом 84%.
Схема 2
На примере N-(п-нитробензил)производного 10 показана возможность конденсации нитрозопиразолов с 2,4-динитротолуолом. Реакция успешно протекает в этаноле в присутствии K2CO3 с образованием имина 11 (схема 3).
Схема 3
Строение впервые синтезированных соединений доказывали с помощью ЯМР 1Н, ЯМР 13С, ИК-спектроскопии, ГХ–МС и элементного анализа. ИК-спектры продуктов 2–4 и 6, 7 содержат характеристические полосы поглощения сложноэфирной С=O группы при 1727–1743 см–1, а также при 1207–1240 см–1 имеется интенсивная полоса поглощения, отвечающая колебаниям группы С–О–С в сложноэфирном фрагменте. В ИК-спектрах соединений 6, 7, 9, 11 присутствуют полосы валентных колебаний NO2 групп (1516–1565, 1347–1364 см–1). На ЯМР 1Н спектрах продуктов 2–4 и 6, 7 наблюдается триплет в области 1.26–1.30 м.д. и квадруплет при 4.20–4.26 м.д., соответствующие этильному фрагменту сложноэфирного заместителя. Для соединений 2–7 и 11 сигнал протонов N–CH2 группы зарегистрирован в области 4.70–5.44 м.д. На спектрах всех продуктов наблюдаются синглеты CH3 групп в положениях 3 и 5 пиразольного цикла при 2.11–2.48 и 2.16–2.61 м.д. В ЯМР 13С спектрах сигналы карбонильных атомов углерода зарегистрированы в области 166.5–168.5 м.д. В масс-спектрах соединений 2–4, 6, 7 и 9 имеются пики молекулярных ионов средней и малой интенсивности (5–54%). Наименее интенсивен пик молекулярного иона нитропроизводного 9 (5%), в случае соединений 2, 4, 6, 7 интенсивность пиков составляет 33–38%, а наиболее интенсивный пик (54%) наблюдается для амида 3.
ЭКСПЕРИМЕНТАЛЬНАЯ ЧАСТЬ
Ход реакции и чистоту соединений контролировали методом ТСХ на пластинах Sorbfil ПТСХ-АФ-В (Россия), элюент толуол–ацетон (1:1, 2:1), пятна детектировали в УФ-свете. ИК спектры соединений записаны на спектральном инфракрасном комплексе фирмы «SIMEX» (Россия, Новосибирск), состоящем из ИК Фурье-спектрометра «ФТ-801» и инфракрасного широкодиапазонного микроскопа МИКРАН-2. Спектры ЯМР 1Н (600.13 МГц) и 13С (150.90 МГц) регистрировали на спектрометре Bruker Avance III 600. Химические сдвиги 1H и 13C указаны относительно остаточного сигнала растворителя (CDCl3: δ = 7.26 м.д. (1H) и 77.16 м.д. (13C); ДМСО: δ = 2.50 м.д. (1H) и 39.52 м.д. (13C)). Отнесение сигналов в спектрах ЯМР 1H и 13C выполнено с использованием метода двумерной корреляционной спектроскопии 1H–13C HSQC и анализа химических сдвигов. Исследования методом ГХ–МС осуществляли с помощью газового хроматографа Кристалл 5000.2 с кварцевой капиллярной колонкой TR-5MS (длина 30 м, внутренний диаметр 0.25 мм, неподвижная фаза – фенил–диметилполисилоксан (5 : 95, %), толщина фазы 0.25 мкм) с квадрупольным масс-спектрометрическим детектором «ISQ» (Thermo Fisher Scientific, США), ионизация электронным ударом, 70 эВ. Элементный анализ выполнен на приборе EURO EA 3000. Исходные нитрозосоединения 1, 8 и 10 синтезировали по ранее разработанной нами методике [12].
Этил-2-(4-амино-3,5-диметил-1H-пиразол-1-ил)ацетат (2). К раствору нитрозопиразола 1 (1.02 г, 4.83 ммоль) в 15 мл CH2Cl2 прибавляли 0.5 г Pd/C (0.7%). Затем по каплям вводили гидразингидрат (0.48 г, 9.69 ммоль) и перемешивали смесь в течение 2 ч, после чего катализатор отфильтровывали, фильтрат упаривали при пониженном давлении. Твердый остаток промывали 5 мл холодного эфира. Выход 0.62 г (65 %), белые кристаллы, т.пл. 42–43°С. ИК-спектр, ν, см–1: 3390, 3329, 1329 (NH2), 1741(С=O), 1207 (С–О–С). Спектр ЯМР 1H (600 МГц, CDCl3), δ, м.д.: 1.26 т (3H, CH3CH2O, J 7.1 Гц), 2.11 с (3H, PyrСН3), 2.16 с (3H, PyrСН3), 2.37 уш.с (2H, NН2), 4.20 к (2H, CH3CH2O, J 7.1 Гц), 4.70 с (2H, CН2CO2C2H5). Спектр ЯМР 13C (150 МГц, CDCl3), δ, м.д.: 8.8 (PyrСН3), 11.0 (PyrСН3), 14.3 (CH3CH2O), 50.9 (CН2CO2C2H5), 61.7 (CH3CH2O), 123.5, 128.7, 140.7, 168.5 (C=O). Масс-спектр, m/z (Iотн, %): 197 (38) [М]+, 124 (100), 83 (14), 42 (36). Найдено, %: C 54.69; H 7.68; N 21.35. C9H15N3O2. Вычислено, %: C 54.81; H 7.67; N 21.30.
Этил-2-(4-бензамидо-3,5-диметил-1H-пиразол-1-ил)ацетат (3). К раствору аминопиразола 2 (0.20 г, 1.02 ммоль) в 10 мл CHCl3 прибавляли 0.16 г (2.03 ммоль) пиридина, затем по каплям вводили 0.21 г (1.52 ммоль) бензоилхлорида. Реакционную массу перемешивали 1 ч при комнатной температуре, после чего прибавляли 50 мл 5 %-ного раствора NaHCO3 и перемешивали смесь 5 мин. Органический слой отделяли, водный слой дополнительно экстрагировали CHCl3 (5 × 10 мл). Экстракты объединяли, сушили Na2SO4, и упаривали растворитель при пониженном давлении. Остаток очищали перекристаллизацией из хлороформа. Выход 0.19 г (61%), белые кристаллы, т.пл. 162–164°С (CHCl3). ИК-спектр, ν, см–1: 3265 (NH), 1743 (C=O), 1643 (NHC=O), 1216 (C–O–C). Спектр ЯМР 1H (600 МГц, CDCl3), δ, м.д.: 1.29 т (3H, CH3CH2O, J 7.1 Гц), 2.17 с (3H, PyrСН3), 2.18 с (3H, PyrСН3), 4.22 к (2H, CH3CH2O, J 7.1 Гц), 4.78 с (2H, CН2CO2C2H5), 7.25 уш.с (1H, NН), 7.48–7.51 м (2Наром), 7.55–7.58 м (1Наром), 7.89–7.90 м (2Наром). Спектр ЯМР 13C (150 МГц, CDCl3), δ, м.д.: 9.8 (PyrСН3), 11.5 (PyrСН3), 14.3 (CH3CH2O), 51.1 (CН2CO2C2H5), 62.0 (CH3CH2O), 115.4, 127.4, 128.9, 132.1, 134.3, 136.5, 145.1, 166.7 (C=O), 168.2 (C=O). Масс-спектр, m/z (Iотн, %): 301 (53.5) [М]+, 228 (19), 196 (32), 105 (100), 77 (25). Найдено, %: C 63.95; H 6.34; N 13.92. C16H19N3O3. Вычислено, %: C 63.77; H 6.36; N 13.94.
Этил-2-(4-йод-3,5-диметил-1H-пиразол-1-ил)ацетат (4). К раствору аминопиразола 2 (0.20 г, 1.02 ммоль) и I2 (0.59 г, 2.34 ммоль) в 10 мл CHCl3 по каплям вводили изоамилнитрит (0.15 г, 1.32 ммоль). Реакционную массу перемешивали 2 ч при кипячении, охлаждали и промывали раствором Na2S2O3. Органический слой отделяли, сушили Na2SO4, упаривали растворитель при пониженном давлении и остаток хроматографировали (SiO2, элюент гексан–этилацетат, 50 : 10). Выход 0.18 г (58%), белые кристаллы, т.пл. 96–98°С. ИК-спектр, ν, см–1: 1741 (С=O), 1210 (С–О–С). Спектр ЯМР 1H (600 МГц, CDCl3), δ, м.д.: 1.28 т (3H, CH3CH2O, J 7.1 Гц), 2.22 с (3H, PyrСН3), 2.24 с (3H, PyrСН3), 4.23 к (2H, CH3CH2O, J 7.1 Гц), 4.82 с (2H, CН2CO2C2H5). Спектр ЯМР 13C (150 МГц, CDCl3), δ, м.д.: 12.1 (PyrСН3), 14.2 (PyrСН3), 14.3 (CH3CH2O), 51.6 (CН2CO2C2H5), 62.1 (CH3CH2O), 63.8, 141.9, 150.4, 167.8 (C=O). Масс-спектр, m/z (Iотн, %): 308 (34) [М]+, 235 (100), 107 (19), 80 (26.5), 67 (32). Найдено, %: C 35.13; H 4.24; N 9.07. C9H13IN2O2. Вычислено, %: C 35.08; H 4.25; N 9.09.
2-(4-((2-Гидроксинафталин-1-ил)диазенил)-3,5-диметил-1H-пиразол-1-ил)уксусная кислота (5). К раствору аминопиразола 2 (0.20 г, 1.02 ммоль) в 1.2 мл HCl (17%) при 0°С по каплям прибавляли раствор NaNO2 (0.077 г, 1.12 ммоль) в 1.3 мл H2O. Реакционную массу перемешивали 30 мин при 0°С. В полученную смесь вводили холодный раствор 2-нафтола (0.161 г, 1.12 ммоль) в водном NaOH (0.2 г в 2.2 мл H2O) при интенсивном перемешивании, затем прибавляли 1 мл HCl (35%). Осадок отфильтровывали, промывали водой и сушили на воздухе. Аналитический образец получен перекристаллизацией из ацетона. Выход 0.12 г (36%), оранжевые кристаллы, т.пл. 242°С ((CH3)2CO). ИК-спектр, ν, см–1: 2530 (OH), 1731 (C=O), 1427 (-N=N-), 1246 (C–O). Спектр ЯМР 1H (600 МГц, ДМСО-d6), δ, м.д.: 2.50 с (3H, PyrСН3, перекрывается с пиком ДМСО), 2.54 с (3H, PyrСН3), 5.02 с (2H, CН2CO2H), 7.24 д (1Наром, J 8.9 Гц), 7.47–7.50 м (1Наром), 7.65–7.67 м (1Наром), 7.93 д (1Наром, J 8.1 Гц), 7.96 д (1Наром, J 8.9 Гц), 8.58 д (1Наром, J 8.5 Гц), 14.17 с (1Н, CН2CO2H). Спектр ЯМР 13C (150 МГц, ДМСО-d6), δ, м.д.: 9.8 (PyrСН3), 14.0 (PyrСН3), 50.6 (CН2CO2H), 119.6, 121.2, 123.4, 124.3, 128.0, 128.1, 128.3, 129.0, 131.9, 133.3, 141.2, 150.6, 164.9, 169.1. Найдено, %: C 63.10; H 4.98; N 17.24. C17H16N4O3. Вычислено, %: C 62.95; H 4.97; N 17.27.
Этил-2-(3,5-диметил-4-((4-нитробензилиден)амино)-1H-пиразол-1-ил)ацетат (6). К раствору аминопиразола 2 (0.20 г, 1.02 ммоль) в 5 мл EtOH прибавляли п-нитробензальдегид (0.15 г, 1.02 ммоль). Реакционную массу кипятили 1 ч, выпавший осадок отфильтровывали и промывали холодным EtOH (2 мл). Аналитический образец получен перекристаллизацией из EtOH. Выход 0.19 г (56%), желтые кристаллы, т.пл. 163–165°С (EtOH). ИК-спектр, ν, см–1: 1738(С=O), 1516 (NO2), 1224 (С–О–С). 1347 (NO2). Спектр ЯМР 1H (600 МГц, CDCl3), δ, м.д.: 1.30 т (3H, CH3CH2O, J 7.1 Гц), 2.38 с (3H, PyrСН3), 2.43 с (3H, PyrСН3), 4.25 к (2H, CH3CH2O, J 7.1 Гц), 4.80 с (2H, CН2CO2C2H5), 7.99-8.00 м (2Наром), 8.28–8.29 м (2Наром), 8.61 с (1H, NСН). Спектр ЯМР 13C (150 МГц, CDCl3), δ, м.д.: 9.4 (PyrСН3), 14.3 (PyrСН3), 14.3 (CH3CH2O), 51.0 (CН2CO2C2H5), 62.1 (CH3CH2O), 124.1, 128.3, 129.3, 137.3, 141.0, 143.2, 148.7, 152.0 (NСН), 167.8 (C=O). Масс-спектр, m/z (Iотн, %): 330 (33) [М]+, 257 (38), 182 (100), 129 (50), 55 (41). Найдено, %: C 58.27; H 5.48; N 16.99. C16H18N4O4. Вычислено, %: C 58.17; H 5.49; N 16.96.
Этил-2-(3,5-диметил-4-нитро-1H-пиразол-1-ил)ацетат (7). Нитрозопиразол 1 (0.21 г, 1 ммоль) растворяли в 5 мл AcOH и прибавляли 5 мл H2O2 (35%). Реакционную массу перемешивали 2.5 ч при 50°С до исчезновения зеленой окраски, разбавляли 50 мл H2O и экстрагировали CHCl3 (5 × 10 мл). Экстракты объединяли, сушили Na2SO4, концентрировали при пониженном давлении и перекристаллизовывали остаток из гексана. Выход 0.136 г (60%), светло-желтые кристаллы, т.пл. 71–72°С (гексан). ИК-спектр, ν, см–1: 1727 (С=O), 1565, 1356 (NO2), 1240 (С–О–С). Спектр ЯМР 1H (600 МГц, CDCl3), δ, м.д.: 1.30 т (3H, CH3CH2O, J 7.1 Гц), 2.52 с (3H, PyrСН3), 2.59 с (3H, PyrСН3), 4.26 к (2H, CH3CH2O, J 7.1 Гц), 4.82 с (2H, CН2CO2C2H5). Спектр ЯМР 13C (150 МГц, CDCl3), δ, м.д.: 11.8 (PyrСН3), 14.2 (PyrСН3), 14.2 (CH3CH2O), 51.2 (CН2CO2C2H5), 62.6 (CH3CH2O), 131.8, 141.7, 146.8, 166.5 (C=O). Масс-спектр, m/z (Iотн, %): 227 (38) [М]+, 154 (100), 137 (63), 55 (14). Найдено, %: C 47.68; H 5.76; N 18.46. C9H13N3O4. Вычислено, %: C 47.57; H 5.77; N 18.49.
1,3-Бис(3,5-диметил-4-нитро-1H-пиразол-1-ил)пропан (9). Бис(4-нитрозопиразол) 8 (0.29 г, 1 ммоль) растворяли в 14 мл AcOH и прибавляли 13 мл H2O2 (35%). Реакционную массу перемешивали 1.5 ч при 50°С, затем разбавляли насыщенным водным раствором NaCl (140 мл). Выпавший осадок отфильтровывали и сушили на воздухе. Выход 0.27 г (84%), светло-желтый порошок, т.пл. 146–148°С. ИК-спектр, ν, см–1: 1561, 1350 (NO2). Спектр ЯМР 1H (600 МГц, CDCl3), δ, м.д.: 2.40–2.45 м (2H, CH2CH2CH2), 2.48 с (6H, PyrСН3), 2.61 с (6H, PyrСН3), 4.06–4.09 м (4H, CH2CH2CH2). Спектр ЯМР 13C (150 МГц, CDCl3), δ, м.д.: 11.5 (PyrСН3), 14.2 (PyrСН3), 28.6 (CH2CH2CH2), 46.3 (CH2CH2CH2), 131.4, 140.3, 146.5. Масс-спектр, m/z (Iотн, %): 322 (5) [М]+, 305 (19), 181 (18), 168 (100), 154 (69), 55 (18). Найдено, %: C 48.56; H 5.62; N 26.10. C13H18N6O4. Вычислено, %: C 48.44; H 5.63; N 26.07.
N-(3,5-Диметил-1-(4-нитробензил)-1H-пиразол-4-ил)-1-(2,4-динитрофенил)метанимин (11). К суспензии нитрозопиразола 10 (0.26 г, 1 ммоль) в 5 мл EtOH прибавляли K2CO3 (0.14 г, 1 ммоль) и 2,4-динитротолуол (0.18 г, 1 ммоль). Реакционную массу перемешивали 1.5 ч при кипячении, затем упаривали растворитель при пониженном давлении, остаток хроматографировали (SiO2, элюент гексан–этилацетат, 50 : 15–50 : 20). Выход 0.14 г (33%), желтые кристаллы, т.пл. 192–194°С (разл.). ИК-спектр, ν, см–1: 1550, 1528, 1364, 1351 (NO2). Спектр ЯМР 1H (600 МГц, CDCl3), δ, м.д.: 2.40 с (3H, PyrСН3), 2.53 с (3H, PyrСН3), 5.44 с (2H, СН2C6H5NO2), 7.34 д (2Hаром, J 8.5 Гц), 8.22 д (2Hаром, J 8.6 Гц), 8.49–8.50 м (1Наром), 8.56–8.58 м (1Наром), 8.89 с (1H, N=СН), 9.11 с (1Наром). Спектр ЯМР 13C (150 МГц, CDCl3), δ, м.д.: 9.6 (PyrСН3), 13.6 (PyrСН3), 52.4 (СН2C6H5NO2), 120.4, 124.4, 127.3, 127.9, 130.2, 130.5, 131.6, 135.6, 138.0, 141.1, 143.2, 148.0, 148.7. Найдено, %: C 53.87; H 3.81; N 19.76. C19H16N6O6. Вычислено, %: C 53.78; H 3.80; N 19.80.
ЗАКЛЮЧЕНИЕ
Показана возможность химической модификации N-функционализированных 4-нитрозопиразолов до различных классов соединений, в результате чего был выделен ряд ранее неизвестных нитропиразолов, иминов, амидов, амино-, азо- и йодзамещенных производных. Полученные продукты можно рассматривать в качестве потенциальных биологически активных веществ и синтонов. Рассмотрены спектральные характеристики синтезированных соединений.
БЛАГОДАРНОСТИ
Исследование проведено с использованием оборудования Красноярского регионального центра коллективного пользования Федерального исследовательского центра «Красноярский научный центр Сибирского отделения Российской академии наук».
ФОНДОВАЯ ПОДДЕРЖКА
ЯМР исследования проведены в рамках государственного задания (проект №FWES-2021-0012) Института химии и химической технологии СО РАН.
КОНФЛИКТ ИНТЕРЕСОВ
Авторы заявляют об отсутствии конфликта интересов.
Об авторах
Анастасия Викторовна Боброва
Сибирский государственный университет науки и технологий имени академика М.Ф. Решетнева
Автор, ответственный за переписку.
Email: anastasiya-an-96@mail.ru
ORCID iD: 0000-0002-9264-4449
Россия, 660037 Красноярск, просп. им. газ. “Красноярский рабочий”, 31
Элина Игоревна Голенко
Сибирский государственный университет науки и технологий имени академика М.Ф. Решетнева
Email: anastasiya-an-96@mail.ru
ORCID iD: 0009-0001-1413-6318
Россия, 660037 Красноярск, просп. им. газ. “Красноярский рабочий”, 31
Андрей Витальевич Оберенко
Сибирский федеральный университет
Email: anastasiya-an-96@mail.ru
ORCID iD: 0000-0002-1156-9644
Россия, 660041 Красноярск, просп. Свободный, 79 c
Тимур Юрьевич Иваненко
Институт химии и химической технологии СО РАН – обособленное подразделение ФИЦ КНЦ СО РАН
Email: anastasiya-an-96@mail.ru
ORCID iD: 0000-0002-1931-3205
Россия, 660036 Красноярск, Академгородок, 50с24
Евгений Владимирович Роот
Сибирский государственный университет науки и технологий имени академика М.Ф. Решетнева; Красноярский государственный медицинский университет им. проф. В.Ф. Войно-Ясенецкого
Email: anastasiya-an-96@mail.ru
ORCID iD: 0009-0001-7093-4701
Россия, 660037 Красноярск, просп. им. газ. “Красноярский рабочий”, 31; 660022 Красноярск, ул. Партизана Железняка, 1
Георгий Анатольевич Субоч
Сибирский государственный университет науки и технологий имени академика М.Ф. Решетнева
Email: anastasiya-an-96@mail.ru
ORCID iD: 0000-0003-2027-8512
Россия, 660037 Красноярск, просп. им. газ. “Красноярский рабочий”, 31
Список литературы
- Vančik H. Aromatic C-Nitroso Compounds. Dordrecht: Springer Netherlands 2013, 1, 1–156. doi: 10.1007/978-94-007-6337-1
- Huang J., Chen Z., Yuan J., Peng Y. Asian J. Org. Chem. 2016, 5, 951–960. doi: 10.1002/ajoc.201600242
- Astolfi P., Carloni P., Damiani E., Greci L., Marini M., Rizzoli C., Stipa P. Eur. J. Org. Chem. 2008, 19, 3279–3285. doi: 10.1002/ejoc.200800213
- Bobrov P.S., Kirik S.D., Peterson I.V., Suboch G.A. Org. Biomol. Chem. 2023, 21, 3604–3614. doi: 10.1039/D3OB00356F
- Yang W., Lu X., Zhou T., Cao Y., Zhang Y., Ma M. Chem. Heterocycl. Compd. 2018, 54, 780–783. doi: 10.1007/s10593-018-2349-0
- Bobrova A.V., Krasnov P.O., Povarov I.G., Bobrov P.S., Lyubyashkin A.V., Suboch G.A., Tovbis M.S. J. Mol. Struct. 2021, 1230, 129912. doi: 10.1016/j.molstruc.2021.129912
- Maji B., Yamamoto H. J. Am. Chem. Soc. 2015, 137, 15957–15963. doi: 10.1021/jacs.5b11273
- Xu X.-B., Liu Y.-N., Rao G.-W. Russ. J. Org. Chem. 2019, 55, 559–568. doi: 10.1134/s1070428019040237
- Priewisch B., Rück-Braun K. J. Org. Chem. 2005, 70, 2350–2352. doi: 10.1021/jo048544x
- Li W., Xin J., Zhai P., Lin J., Huang S., Gao W., Li X., Org. Biomol. Chem. 2021, 19, 6473–6477. doi: 10.1039/D1OB00930C
- Gulyaev D.A., Klenov M.S., Churakov A.M., Strelenko Y.A., Fedyanin I.V., Lempert D.B., Kosareva E.K., Kon’kova T.S., Matyushin Y.N., Tartakovsky V.A., RSC Adv. 2021, 11, 24013–24021. doi: 10.1039/D1RA03919A
- Bobrova A.V., Krasnov P.O., Radzhabov A.D., Kondrasenko A.A., Root E.V., Suboch G.A. ChemistrySelect 2023, 8, e202302031. doi: 10.1002/slct.202302031
- Боброва А.В., Субоч Г.А., Левченко С.И., Роот Е.В., Пен В.Р. Пат. 2786096 (2022). РФ. Б.И. 2022, № 35.
- Burgart Y.V., Agafonova N.A., Shchegolkov E.V., Krasnykh O.P., Kushch S.O., Evstigneeva N.P., Gerasimova N.A., Maslova V.V., Triandafilova G.A., Solodnikov S.Yu., Ulitko M.V., Makhaeva G.F., Rudakova E.V., Borisevich S.S., Zilberberg N.V., Kungurov N.V., Saloutin V.I., Chupakhin O.N. Eur. J. Org. Chem. 2020, 208, 112768. doi: 10.1016/j.ejmech.2020.112768
- Comes Franchini M., Bonini B.F., Camaggi C.M., Gentili D., Pession A., Rani M., Strocchi E. Eur. J. Org. Chem. 2010, 45, 2024–2033. doi: 10.1016/j.ejmech.2010.01.014
- Abu-Surrah A.S., Abu Safieh K.A., Ahmad I.M., Abdalla M.Y., Ayoub M.T., Qaroush A.K., Abu-Mahtheieh A.M. Eur. J. Org. Chem. 2010, 45, 471–475. doi: 10.1016/j.ejmech.2009.10.029





