Synthesis and properties of 1,3-disubstituted ureas and their isosteric analogues containing polycyclic fragments: XX. 1-[(3,5-difluoroadamantan-1-yl)]-3-R-ureas and symmetric diureas
- Authors: Gladkikh B.P.1, Danilov D.V.1, Dyachenko V.S.1,2, Burmistrov V.V.1, Butov G.M.1,2, Novakov I.A.1
-
Affiliations:
- Volgograd State Technical University
- VSTU
- Issue: Vol 60, No 7 (2024)
- Pages: 838-847
- Section: Articles
- URL: https://bakhtiniada.ru/0514-7492/article/view/279469
- DOI: https://doi.org/10.31857/S0514749224070033
- EDN: https://elibrary.ru/RCDDRJ
- ID: 279469
Cite item
Full Text
Abstract
A method has been developed for the production of (3,5-difluoroadamantan-1-yl) isocyanate from 3,5-difluoroadamantan-1 carboxylic acid and diphenyphosphoryl azide, using a new fluorinating agent, the Ishikawa reagent, at one of the synthesis stages. Reaction of (3,5- difluoroadamantane-1-yl)isocyanate with aliphatic diamines and trans-4-amino(cyclohexyloxy)A series of 1,3-disubstituted urea and dimourea with yields of 43-96% was synthesized with benzoic acid. By hydrolysis of (3,5-difluoroadamantan-1-yl)isocyanate in the presence of catalytic amounts of DBU, a symmetrical 1,3-bis(3,5-difluoroadamantan-1-yl) was obtainedurea with a yield of 47%.The influence of the number of fluorine atoms in the adamantile substituent on the melting temperatures and lipophilicity of urea has been established, which makes it possible to purposefully regulate these important properties of urea as potential enzyme inhibitors.
Keywords
Full Text
ВВЕДЕНИЕ
Ввиду своего размера и электронной конфигурации, атом фтора является изостером не только атома водорода и метильной группы, но также и неподеленной пары электронов, и в некоторых случаях может заменять карбонильную и нитрильную группу [2]. Неудивительно, что введение атомов фтора стало популярным подходом в медицинской химии [3].
Введение атомов фтора в узловые положения адамантильного фрагмента могут устранить ряд фармакокинетических недостатков соединений, не содержащих таких атомов. Например, быстрый метаболизм in vivo адамантилсодержащих ингибиторов растворимой эпоксидгидролазы (sEH) [4] уреидного типа и их структурных аналогов [5, 6] связан с быстрым метаболизмом узловых положений адамантана под действием цитохромов P450 [7]. Соединения, содержащие в своей структуре 3-фторадамантильный (рис. 1, А) или 3,5,7-трифторадамантильный фрагмент (рис. 1, В), были в первой группе кандидатов на клинические исследования блокаторов sEH, так как обладали меньшей активностью по сравнению с нефторированным аналогом (рис. 1, С) [8]. Однако в качестве основного кандидата было выбрано соединение AR9281 (рис. 1 С), содержащее незамещенный адамантильный заместитель. Хотя ингибирующая активность AR9281 была в 7 раз выше, чем 3-фторадамантильного (А) аналога, и в 15 раз выше, чем 3,5,7-трифторадамантильного (В) аналога, проблемы с быстрым метаболизмом в итоге привели к провалу испытаний.
Рис. 1. 1-(1-Ацетилпиперидин-4-ил)-3-адамантан-1-илмочевина (A) и ее фторированные аналоги (B, C) – соединения – кандидаты на клинические исследования
В другом исследовании, посвященном разработке антагонистов рецептора P2X7 на основе адамантилсодержащих бензамидов (рис. 2), проводилось всестороннее сравнение свойств соединений при последовательной замене всех атомов водорода в узловых положениях адамантильного фрагмента на атомы фтора (рис. 2, D, E, Н) [9]. Установлено, что соединение, содержащее 3,5,7-триметиладамантильный фрагмент (рис. 2, Н), в 4-8 раз более стабильно в различных органах и тканях и в 5-8 раз более устойчиво к действию цитохромов CYP1A2, CYP2C9 и CYP2C19, чем незамещенный аналог. Однако, как и в случае ингибиторов hsEH, наблюдалось снижение активности более чем в 3 раза при переходе от незамещенного адамантильного заместителя к 3,5,7-трифторадамантильному (Н).
Рис. 2. Структуры антагонистов рецептора P2X7, содержащих адамантильный заместитель
Таким образом, введение атомов фтора в адамантильный фрагмент позволяет регулировать фармакокинетические параметры молекулы и ее биологическую активность. В связи с этим представляет интерес синтез и исследование свойств соединений, содержащих от 2 и более атомов фтора в узловых положениях адамантана. Ранее нами были получены 1,3-дизамещенные мочевины и симметричные димочевины, содержащие 3-фторадамантильный фрагмент [10, 11]. Такие мочевины проявили в отношении sEH очень высокую ингибирующую активность, значения которой для некоторых соединений находились за пределами измерений в 0.04 нмоль/л. В связи с этим данная работа посвящена синтезу и исследованию свойств симметричных мочевин и димочевин, содержащих 3,5-дифторадамантильный заместитель.
РЕЗУЛЬТАТЫ И ОБСУЖДЕНИЕ
Используемая в работе схема синтеза целевых соединений, основанная на последовательном окислении адамантильной группы в узловых положениях и ее дальнейшего фторирования, опирается на метод из литературы [9, 12], однако имеет ряд усовершенствований. Прежде всего, фторирующий реагент трифторид диэтиламиносеры (DAST), который требовал предварительного охлаждения реакционной массы до –78˚С, был заменен на N,N-Диэтил-1,1,2,3,3,3-гексафторпропиламин (реагент Исикавы), что позволило проводить реакцию в мягких условиях.
На первой стадии 3-фтор(адамантан-1-ил)карбоновую кислоту (1) окисляли перманганатом калия в щелочной среде до [3-фтор-5-гидрокси(адамантан-1-ил)]карбоновой кислоты (2) (схема 1). Хотя выход на данной стадии составляет 45%, нам удалось разделить продукт реакции от примеси исходной кислоты 1. Метод разделения основан на различной растворимости соединений 1 и 2 в системе этилацетат–метанол (20 : 1). Продукт реакции выпадал в осадок при концентрировании раствора и затем доочищался перекристаллизацией, а оставшуюся в растворе кислоту 1 затем повторно вводили в реакцию окисления.
Схема 1
Полученную кислоту 2 действием реагента Исикавы (смесь N,N-диэтил-(1,1,2,3,3,3-гексафлорпропил)амина и N,N-диэтил-(E)-пентафторпропенамина) переводили в фторангидрид 3,5-дифтор(адамантан-1-ил)карбоновой кислоты (3), (схема 2), который без выделения и очистки гидролизовали до 3,5-дифтор(адамантан-1-ил)карбоновой кислоты (4).
Схема 2
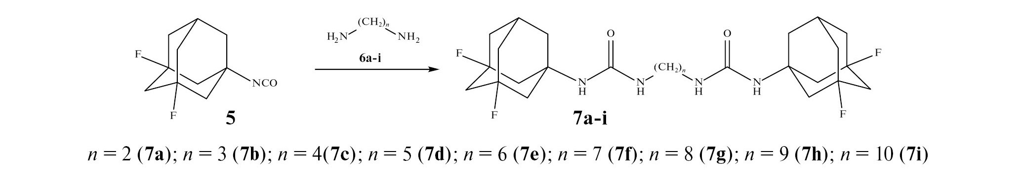
Обработкой кислоты 4 эквимолярными количествами дифенилфосфорилазида (DPPA) и экивмолярным количеством триэтиламина был синтезирован (3,5-дифторадамантан-1-ил)изоцианат (5) с выходом 86% (схема 3).
Схема 3
Для синтеза 1,3-дизамещенных димочевин 7a–i из изоцианата 5 были выбраны алифатические диамины 6a–i (схема 4), а также амин, на основе которого ранее получены наиболее активные ингибиторы растворимой эпоксидгидролазы человека [4] – транс-4-амино-(циклогексилокси)бензойная кислота (6j, схема 5). Ингибирующая активность димочевин в отношении sEH неоднократно подтверждалась ранее [6].
Схема 4
Схема 5
Характеристики синтезированных 1,3-дизамещенных димочевин 7a–k и мочевин 7j–k представлены в таблице.
Таблица. Коэффициенты липофильности, температура плавления и выходы синтезированных соединений 7a–k
Соединение | n | Mr | logP* | tпл, ˚C | Выход, % |
7a | 2 | 486 | 4.24 | 329–330 | 96 |
7b | 3 | 500 | 4.51 | 261–262 | 67 |
7c | 4 | 514 | 4.78 | 251–252 | 43 |
7d | 5 | 528 | 5.29 | 254–255 | 60 |
7e | 6 | 542 | 5.79 | 234–235 | 66 |
7f | 7 | 556 | 6.30 | 245–246 | 64 |
7g | 8 | 570 | 6.80 | 256–257 | 72 |
7h | 9 | 584 | 7.31 | 193–194 | 73 |
7i | 10 | 598 | 7.82 | 164–165 | 72 |
7j | 448 | 4.79 | 301–302 | 72 | |
7k | 400 | 4.81 | 246–247 | 47 | |
* Рассчитан с помощью программы Molinspiration (http://www.molinspiration.com) © Molinspiration Cheminformatics. | |||||
Структуру полученных соединений подтверждали методами ЯМР-спектроскопии 1H, 13C, 19F, и масс-спектрометрии. В спектрах ЯМР 1H соединений 7b–i химический сдвиг протонов NH, расположенных ближе к адамантильному фрагменту, находится в области 5.91 ± 0.1 м.д. и смещается в более сильное поле с увеличением спейсера между мочевинными группами. Сигнал протонов NH, связанных с метиленовыми мостиками -(CH2)n- между мочевинными группами, также уходит в более сильное поле по мере увеличения n (от 5.76 м.д. для n = 2 до 5.72 м.д. для n = 10).
В спектрах ЯМР 19F атомы фтора в адамантильном фрагменте соединений 7a–k характеризуются сигналом в области –134.97 ± 0.05 м.д. Ранее это наблюдалась и для других классов соединений (кислоты, эфиры, амиды и амины), содержащие 3,5-дифторадамантильный заместитель [9].
Рассчитанный коэффициент липофильности logP для димочевин 7a–i находится в пределах 4.24–7.82. Значения липофильности снижаются на 0.2 единицы при введении каждого последующего атома фтора в молекулу. Так коэффициент липофильности 1,1'-(этан-1,2-диил)бис(3-(адамантан-1-ил)мочевины) равен 5.03 [13], 1,1'-(этан-1,2-диил)бис(3-(3-фторадамантан-1-ил)мочевины) – 4.64 [11], а 1,1'-(этан-1,2-диил)бис(3-(3,5-дифторадамантан-1-ил)мочевины) составляет 4.24. На рис. 3 представлены теоретические зависимости logP от числа метиленовых мостиков n в димочевинах. Из рис. 3 видно, что значения logP снижаются при последовательном введении атомов фтора, что будет способствовать увеличению растворимости соединений в воде.
Рис. 3. Зависимость logP (ось Y) от числа метиленовых мостиков n (ось X) в димочевинах при различном содержании атомов фтора в адамантильном заместителе
Температуры плавления димочевин 6a–i находятся в пределах 164–330˚C. При изменении длины n метиленового спейсера, связывающего мочевинные группы, от 2 до 3 метиленовых звеньев температура плавления снижается на 68˚C. При n = 3–8 температура плавления практически не изменяется и составляет 251 ± 16˚C, а при увеличении n до 9 и 10 наблюдается снижение температуры плавления на 63 и 29˚C соответственно.
Как видно из рис. 4, с введением второго атома фтора температура плавления мочевин увеличивается по сравнению с аналогами, содержащими один атом фтора, с общей тенденцией снижения при увеличении длины метиленовых мостиков.
Рис. 4. Зависимость температуры плавления от числа метиленовых мостиков n в димочевинах при различном содержании атомов фтора в адамантильном заместителе F–Ad [11]
Защита узловых положений адамантана атомами фтора, вероятно, будет способствовать метаболической устойчивости и снижению образования метаболитов в организме.
ЭКСПЕРИМЕНТАЛЬНАЯ ЧАСТЬ
Исходные триэтиламин (BioUltra ≥ 99.5%, CAS 121-44-8), ДМФА (Anhydrous 99.8%, CAS 68-12-2), 1,2-диаминоэтан (≥ 99%, CAS 107-15-3), 1,3-диаминопропан (≥ 99%, CAS 109-76-2), 1,4-диаминобутан (99%, CAS 110-60-1), 1,5-диаминопентан (≥ 97%, CAS 462-94-2), 1,6-диаминогексан (98%, CAS 124-09-4), 1,7-диаминогептан (98%, CAS 646-19-5), 1,8-диаминооктан (98%, CAS 373-44-4), 1,9-диаминононан (98%, CAS 646-24-2), 1,10-диаминодекан (97%, CAS 646-25-3) производства фирмы «Sigma-Aldrich»; N,N-диэтил-1,1,2,3,3,3-гексафторпропиламин (CAS 309-88-6) производства фирмы «Fluorochem» использовали без очистки. транс-4-Амино-(циклогексилокси)бензойная кислота получена по методике из литературы [4].
Строение полученных соединений подтверждали методами ЯМР 1Н и 13C спектроскопии, хроматомасс-спектрометрии и элементного анализа. Масс-спектры регистрировали на хроматомасс-спектрометре «Agilent GC 7820A/MSD 5975» (Agilent Technologies, США) и «Advion expression» (Аdvion Inc., США) в режиме full scan (ESI). Спектры ЯМР 1Н и 13C записывали на Bruker Avance 600 (Bruker Corporation, США) в растворителе ДМСО-d6; калибровали по остаточным сигналам растворителя. Элементный анализ выполнен на приборе «Perkin-Elmer Series II 2400» (Perkin-Elmer, США). Температуры плавления определены на приборе OptiMelt MPA100 (Stanford Research Systems, США).
3-фтор-5-гидрокси(адамантан-1-ил)карбоновая кислота (2). К раствору 3.1 г (55 ммоль) KOH в 300 мл воды добавляли 8.0 г (50 ммоль) KMnO4. После нагревания полученного раствора до 50˚С порционно прибавляли 10 г (50 ммоль) 3-фтор(адамантан-1-ил)карбоновой кислоты (1). Затем реакционную смесь нагревали до кипения и выдерживали при этой температуре в течение 5 ч. После охлаждения добавляли 6 н. соляную кислоту до pH 8.0–9.0, а затем гидросульфит натрия. Выпавшую непрореагировавшую кислоту 1 отфильтровывали, фильтрат насыщали хлоридом натрия. Продукт дважды экстрагировали смесью растворителей (этилацетат–метанол, 20 : 1) с последующим отделением и концентрированием органического слоя. Выпавший осадок-сырец содержал 85% целевого продукта 2, 8% исходной кислоты 1 и 7% 3-гидрокси(адамантан-1-ил)карбоновой кислоты. Чистую кислоту 2 получали перекристаллизацией сырца из этанола. Выход 4.86 г (22.7 ммоль, 45%). Непрореагировавшую кислоту 1 повторно вводили в реакцию окисления с получением еще 4.75 г (22.2 ммоль, 44%) кислоты 2. Т.пл. 140-141ºС. Масс-спектр, m/z (Iотн., %): 214 (38.0%, [М]), 196 (12.0%, [M-F]+), 169 (100%, [M-COOH]+), 152 (16.0%, [Ad-F]+). Найдено, %: С 61.70; Н 7.10. C11H15FO3. Вычислено, %: С 61.67; Н 7.06. М 214.24.
3,5-Дифтор(адамантан-1-ил)карбоновая кислота (4). К раствору 16.5 г (0.074 моль) реагента Исикавы в 100 мл дихлорметана в течение 1 ч при температуре 0–5˚С и перемешивании порционно прибавляли 3-фтор-5-гидрокси-1-адамантилкарбоновую кислоту (2) (8 г, 0.037 моль). Затем после добавления кислоты 2 реакционную смесь перемешивали еще в течение 2 ч. После чего органический слой упаривали, концентрируя полученный фторангидрид 3. Полученный фторангидрид без выделения и очистки суспендировали в 1 М водном растворе NaOH (100 мл) и перемешивали в течение 8 ч при комнатной температуре. Полученный раствор промывали дихлорметаном (100 мл) и подкисляли соляной кислотой до pH 1.0. Осажденное твердое вещество собирали фильтрованием, промывали водой (200 мл) и сушили. Далее кислоту 4 перекристаллизовывали из системы этилацетат–гексан. Выход 5.6 г (выход 70%), белые кристаллы, т.пл. 162–163˚С (161–163˚С [9]). Масс-спектр, m/z (Iотн., %): 216 (20.0%, [М]+), 171 (100%, [M-COOH]+), 151 (15.0%, [AdF]+). Найдено, %: С 61.19; Н 6.59. C11H14F2O2. Вычислено, %: С 61.10; Н 6.53. М 216.10.
(3,5-Дифторадамантан-1-ил)изоцианат (5). К смеси 5.0 г (0.023 моль) 3,5-дифтор(адамантан-1-ил)карбоновой кислоты (3) и 2.3 г (0.023 моль) триэтиламина в 50 мл безводного толуола прикапывали в течение 30 мин 6.3 г (0.023 моль) дифенилфосфорилазида при комнатной температуре. Затем реакционную смесь нагревали до кипения и выдерживали 30 мин до полного прекращения выделения азота. Толуол упаривали, продукт из реакционной массы извлекали безводным диэтиловым эфиром. Выход 4.2 г (86%), белые кристаллы, т.пл. 148–149˚С. Масс-спектр, m/z (Iотн., %): 213 (100%, [М]+), 171 (48.0%, [M-NCO]+). Найдено, %: С 61.99; Н 6.19; N 6.61. C11H13F2NO. Вычислено, %: С 61.96; Н 6.15; N 6.59. М 213.10.
1,1'-(Этан-1,2-диил)бис(3-(3,5-дифторадамантан-1-ил)мочевина) (7а). К 0.2 г (0.94 ммоль) (3,5-дифторадамантан-1-ил)изоцианата (5) в 5 мл безводного диэтилового эфира прибавляли 0.028 г (0.47 ммоль) 1,2-диаминоэтана (6a) и 0.15 мл триэтиламина. Реакционную смесь выдерживали при комнатной температуре в течение 12 ч. После добавления 5 мл 1 н. HCl смесь перемешивали в течение 1 ч. Выпавший белый осадок отфильтровывали и промывали водой. Продукт очищали перекристаллизацией из этанола. Выход 0.218 г (96%), т.пл. 329–330˚C. Спектр ЯМР 1Н (400 МГц, ДМСО-d6), δ, м.д.: 6.03 с (2H, 2 NHC), 5.76 с (2H, 2 NHCH2), 2.98–2.87 м (4H, 2 NHCH2), 2.42–1.34 м (26H, Ad). Спектр ЯМР 13C (101 МГц, ДМСО-d6), δ, м.д.: 157.54, 94.28 д (J 14.6 Гц), 92.43 д (J 14.7 Гц), 54.02 т (J 13.0 Гц), 47.26 т (J 19.2 Гц), 46.43–45.25 м, 29.18 т (J 11.3 Гц). Спектр ЯМР 19F (376 МГц, ДМСО-d6), δ, м.д.: –134.94 (4F). Найдено, %: С, 59.29; Н 7.10; N 11.58. C24H34F4N4О2. Вычислено, %: С 59.25; Н 7.04; N 11.52. М 486.26.
1,1'-(Пропан-1,3-диил)бис(3-(3,5-дифторадамантан-1-ил)мочевина) (7b). Получена аналогично соединению 7a из 0.2 г соединения 5 и 0.035 г 1,3-диаминопропана (6b). Выход 0.157 г (67%), т.пл. 261–262˚C. Спектр ЯМР 1Н (400 МГц, ДМСО-d6), δ, м.д.: 5.97 с (2H, NHC), 5.74 т (2H, J 5.9 Гц, 2 NHCH2), 2.93 к (4H, J 6.3 Гц, 2 NHCH2), 2.57–1.54 м (26H, 2 Ad), 1.38 п (2H, J 6.7 Гц, CH2CH2CH2). Спектр ЯМР 13C (101 МГц, ДМСО-d6), δ, м.д.: 157.53, 94.29 д (J 14.5 Гц), 92.44 д (J 14.6 Гц), 53.99 т (J 13.1 Гц), 47.27 т (J 19.0 Гц), 46.61–45.57 м, 36.71, 29.18 т (J 11.3 Гц). Спектр ЯМР 19F (376 МГц, ДМСО-d6), δ, м.д.: –134.92 (4F). Найдено, %: С 59.98; Н 7.24; N 11.17. C25H36F4N4О2. Вычислено, %: С 59.99; Н 7.25; N 11.19. М 500.28.
1,1'-(Бутан-1,4-диил)бис(3-(3,5-дифторадамантан-1-ил)мочевина) (7c). Получена аналогично соединению 7a из 0.2 г соединения 5 и 0.041 г 1,4-диаминобутана (6c). Выход 0.103 г (43%), т.пл. 251–252˚C. Спектр ЯМР 1Н (400 МГц, ДМСО-d6), δ, м.д.: 5.90 с (2H, NHC), 5.74 т (2H, J 5.7 Гц, NHCH2), 2.92 к (4H, J 5.7 Гц, 2 NHCH2), 2.41–1.61 м (26H, Ad), 1.30 к (4H, J 3.2 Гц, 2 NHCH2CH2). Спектр ЯМР 13C (101 МГц, ДМСО-d6), δ, м.д.: 156.98, 93.82 д (J 14.5 Гц), 91.97 д (J 14.6 Гц), 53.51 т (J 13.0 Гц), 46.80 т (J 19.0 Гц), 46.08–44.73 м, 38.59, 28.73 т (J 11.4 Гц), 27.53. Спектр ЯМР 19F (376 МГц, ДМСО-d6), δ, м.д.: –134.95 (4F). Найдено, %: С 60.70; Н 7.47; N 10.93. C26H38F4N4О2. Вычислено, %: С 60.68; Н 7.44; N 10.89. М 514.29.
1,1'-(Пентан-1,5-диил)бис(3-(3,5-дифторадамантан-1-ил)мочевина) (7d). Получена аналогично соединению 7a из 0.2 г соединения 5 и 0.047 г 1,5-диаминопентана (6d). Выход 0.148 г (60%), т.пл. 254–255˚C. Спектр ЯМР 1Н (400 МГц, ДМСО-d6), δ, м.д.: 5.90 с (2H, 2 NHС), 5.73 с (2H, 2 NHCH2), 3.00–2.84 м (4H, 2 NHCH2), 2.43–1.59 м (26H, Ad), 1.32 п (4H, J 7.3 Гц 2 CH2CH2CH2), 1.26–1.12 м (2H, CH2CH2CH2). Спектр ЯМР 13C (101 МГц, ДМСО-d6), δ, м.д.: 157.45, 94.28 д (J 14.7 Гц), 92.43 д (J 14.4 Гц), 53.96 т (J 13.0 Гц), 47.27 т (J 19.0 Гц), 46.54–45.76 м, 30.10, 29.19 т (J 11.3 Гц), 24.27. Спектр ЯМР 19F (376 МГц, ДМСО-d6), δ, м.д.: –134.94 (4F). Найдено, %: С 61.39; Н 7.66; N 10.64. C27H40F4N4О2. Вычислено, %: С 61.35; Н 7.63; N 10.60. М 528.31.
1,1'-(Гексан-1,6-диил)бис(3-(3,5-дифторадамантан-1-ил)мочевина) (7e). Получена аналогично соединению 7a из 0.2 г соединения 5 и 0.055 г 1,6-диаминогексана (6e). Выход 0.168 г (66%), т.пл. 234–235˚C. Спектр ЯМР 1Н (400 МГц, ДМСО-d6), δ, м.д.: 5.89 с (2H, 2 NHС), 5.72 т (J 5.6 Гц, 2H, 2 NHCH2), 2.92 к (4H, J 6.2 Гц, 2 NHCH2), 2.41–1.41 м (26H, Ad), 1.38–1.14 м (8H, Alk). Спектр ЯМР 13C (101 МГц, ДМСО-d6), δ, м.д.: 157.45, 94.29 д (J 14.6 Гц), 92.44 д (J 14.6 Гц), 53.96 т (J 13.1 Гц), 47.26 т (J 19.0 Гц), 46.52–45.66 м, 39.17, 30.35, 29.19 т (J 11.3 Гц), 27.38, 26.58, 26.30, 25.94. Спектр ЯМР 19F (376 МГц, ДМСО-d6), δ, м.д.: –134.93 (4F). Найдено, %: С 61.99; Н 7.82; N 10.34. C28H42F4N4О2. Вычислено, %: С 61.97; Н 7.80; N 10.32. М 542.32.
1,1'-(Гептан-1,7-диил)бис(3-(3,5-дифторадамантан-1-ил)мочевина) (7f). Получена аналогично соединению 7a из 0.2 г соединения 5 и 0.061 г 1,7-диаминогептана (6f). Выход 0.167 г (64%), т.пл. 245–246˚C. Спектр ЯМР 1Н (400 МГц, ДМСО-d6), δ, м.д.: 5.87 с (2H, 2 NHС), 5.70 т (2H, J 5.6 Гц, 2 NHCH2), 2.92 к (4H, J 6.5 Гц, 2 NHCH2), 2.43–1.42 м (26H, Ad), 1.38–1.13 м (10H, Alk). Спектр ЯМР 13C (101 МГц, ДМСО-d6), δ, м.д.: 157.44, 94.28 д (J 14.8 Гц), 92.43 (J 14.6 Гц), 53.96 т (J 13.0 Гц), 47.26 т (J 19.1 Гц), 46.45–45.47 м, 39.22, 30.34, 29.30, 29.19, 29.08, 28.97, 26.86. Спектр ЯМР 19F (376 МГц, ДМСО-d6), δ, м.д.: –134.94 (4F). Найдено, %: С 62.60; Н 7.99; N 10.10. C29H44F4N4О2. Вычислено, %: С 62.57; Н 7.97; N 10.06. М 556.34.
1,1'-(Октан-1,8-диил)бис(3-(3,5-дифторадамантан-1-ил)мочевина) (7g). Получена аналогично соединению 7a из 0.2 г соединения 5 и 0.067 г 1,8-диаминооктана (6g). Выход 0.192 г (72%), т.пл. 256–257˚C. Спектр ЯМР 1Н (400 МГц, ДМСО-d6), δ, м.д.: 5.88 с (2H, 2 NHС), 5.71 т (2H, J 5.7 Гц, 2 NHCH2), 2.92 к (4H, J 6.4 Гц, 2 NHCH2), 2.41–1.42 м (26H, Ad), 1.40–1.12 м (12H, Alk). Спектр ЯМР 13C (101 МГц, ДМСО-d6), δ, м.д.: 157.44, 94.28 д (J 14.5 Гц), 92.43 д (J 14.6 Гц), 53.96 т (J 13.0 Гц), 47.27 т (J 19.0 Гц), 46.59–45.61 м, 39.22, 30.37, 29.21, 29.13 т (J 11.3 Гц), 26.80. Спектр ЯМР 19F (376 МГц, ДМСО-d6), δ, м.д.: –134.95 (4F). Найдено, %: С 63.17; Н 8.16; N 9.84. C30H46F4N4О2. Вычислено, %: С 63.14; Н 8.12; N 9.82. М 570.36.
1,1'-(Нонан-1,9-диил)бис(3-(3,5-дифторадамантан-1-ил)мочевина) (7h). Получена аналогично соединению 7a из 0.2 г соединения 5 и 0.074 г 1,9-диаминононана (6h). Выход 0.201 г (73%), т.пл. 193–194˚C. Спектр ЯМР 1Н (400 МГц, ДМСО-d6), δ, м.д.: 5.89 с (2H, 2 NHС), 5.72 т (2H, J 5.7 Гц, 2 NHCH2), 2.92 к (4H, J 6.4 Гц, 2 NHCH2), 2.42–1.40 м (26H, Ad), 1.38–1.16 м (14H, Alk). Спектр ЯМР 13C (101 МГц, ДМСО-d6), δ, м.д.: 157.45, 94.27 д (J 14.7 Гц), 92.42 д (J 14.8 Гц), 53.96 т (J 13.1 Гц), 47.27 т (J 18.9 Гц), 46.50–45.57 м, 39.21, 30.39, 29.48, 29.16, 26.83. Спектр ЯМР 19F (376 МГц, ДМСО-d6), δ, м.д.: –134.96 (4F). Найдено, %: С 63.70; Н 8.30; N 9.60. C31H48F4N4О2. Вычислено, %: С 63.68; Н 8.27; N 9.58. М 584.37.
1,1'-(Декан-1,10-диил)бис(3-(3,5-дифторадамантан-1-ил)мочевина) (7i). Получена аналогично соединению 7a из 0.2 г соединения 5 и 0.08 г 1,10-диаминодекана (6i). Выход 0.202 г (72%), т.пл. 164–165˚C. Спектр ЯМР 1Н (400 МГц, ДМСО-d6), δ, м.д.: 5.96 с (2H, 2 NHС), 5.74 т (2H, J 5.66 Гц, 2 NHCH2), 2.88 т (4H, J 6.8 Гц, NHCH2), 2.39–1.57 м (26H, Ad), 1.36–1.09 м (16H, Alk). Спектр ЯМР 13C (101 МГц, ДМСО-d6), δ, м.д.: 157.78, 94.41 д (J 14.6 Гц), 92.56 д (J 14.6 Гц), 53.94 т (J 13.1 Гц), 47.11 т (J 19.0 Гц), 46.27–45.70 м, 30.08, 29.24, 29.07, 29.03, 26.63. Спектр ЯМР 19F (376 МГц, ДМСО-d6), δ, м.д.: –134.79 (4F). Найдено, %: С 64.21; Н 8.44; N 9.40. C32H50F4N4О2. Вычислено, %: С 64.19; Н 8.42; N 9.36. М 598.39.
4-((4-(3-(3,5-Дифторадамантан-1-ил)уреидо)циклогексил)окси)бензойная кислота (7j). Получена аналогично соединению 7a из 0.2 г соединения 5 и 0.331 г транс-4-(циклогексилокси)бензойной кислоты (6j). Выход 0.302 г (72%), т.пл. 301–302˚C. Спектр ЯМР 1Н (400 МГц, ДМСО-d6), δ, м.д.: 12.59 с (1H, COOH), 7.93–7.79 м (2H, 2 CHCCOOH), 7.07–6.95 м (2H, CHC(O)CH), 4.52–4.32 м (1H, OCH), 3.06 с (1H, NHCH), 2.43–0.97 м (21H, Ad + Cy). Спектр ЯМР 13C (101 МГц, ДМСО-d6), δ, м.д.: 167.39, 161.33, 156.55, 131.83, 123.29, 115.57, 94.25 д (J 14.5 Гц), 92.40 д (J 14.8 Гц), 74.25, 53.97 т (J 13.0 Гц), 48.66, 47.33 т (J 17.8 Гц), 46.46–45.59 м, 29.32, 29.11 д (J 11.5 Гц), 28.29. Спектр ЯМР 19F (376 МГц, ДМСО-d6), δ, м.д.: –134.99 (4F). Найдено, %: С 64.29; Н 6.30; N 6.28. C24H30F2N2О4. Вычислено, %: С 64.27; Н 6.74; N 6.25. М 448.22.
1,3-Бис(3,5-дифторадамантан-1-ил)мочевина (7k). К 0.2 г (0.93 ммоль) изоцианата 5 в 5 мл водного ТГФ (содержание воды 5%) добавляли 20 мкл (0.13 ммоль) 1,8-диазабицикло[5.4.0]ундец-7-ена (DBU). Смесь перемешивали при комнатной температуре 6 ч, добавляли 5 мл 1 н. HCl и перемешивали 1 ч. Выпавший белый осадок отфильтровывали, промывали водой и перекристаллизовывали из этанола. Выход 0.152 г (47%), белое твердое вещество, т.пл. 246–247˚C. Спектр ЯМР 1Н (400 МГц, ДМСО-d6), δ, м.д.: 5.83 с (2H, NHС), 2.42–1.38 м (26H, 2 Ad). Спектр ЯМР 13C (101 МГц, ДМСО-d6), δ, м.д.: 156.46, 94.23 д (J 14.7 Гц), 92.38 д (J 14.7 Гц), 53.97 т (J 13.1 Гц), 47.23 т (J 19.0 Гц), 46.10–45.65 м, 39.23, 29.17 т (J 11.4 Гц). Спектр ЯМР 19F (376 МГц, ДМСО-d6), δ, м.д.: –135.02 (4F). Найдено, %: С 63.02; Н 7.02; N 6.97. C21H28F4N2О. Вычислено, %: С 62.99; Н 7.05; N 7.00. М 400.46.
ЗАКЛЮЧЕНИЕ
Разработан способ получения (3,5-дифторадамантан-1-ил)изоцианата из 3,5-дифторадамантан-1-карбоновой кислоты и дифенифосфорилазида с использованием на одной из стадий синтеза нового фторирующего агента – реактива Исикавы. Реакцией (3,5-дифторадамантан-1-ил)изоцианата с алифатическими диаминами и транс-4-амино(циклогексилокси)бензойной кислотой синтезирована серия 1,3-дизамещенных мочевин и димочевин с выходами 43–96%. Гидролизом (3,5-дифторадамантан-1-ил)изоцианата в присутствии каталитических количеств DBU была получена симметричная 1,3-бис(3,5-дифторадамантан-1-ил)мочевина с выходом 47%.Установлено влияние числа атомов фтора в адамантильном заместителе на температуру плавления, липофильность и водорастворимость мочевин, что позволяет целенаправленно регулировать эти важные свойства мочевин как потенциальных ингибиторов ферментов. При увеличении числа атомов фтора в адамантильном заместителе липофильность молекулы снижается. Синтезированные мочевины являются перспективными ингибиторами растворимой эпоксидгидролазы человека.
ФОНДОВАЯ ПОДДЕРЖКА
Работа выполнена при финансовой поддержке Российского научного фонда (грант № 21-73-20123).
КОНФЛИКТ ИНТЕРЕСОВ
Авторы заявляют об отсутствие конфликта интересов.
About the authors
B. P. Gladkikh
Volgograd State Technical University
Email: butov@post.volpi.ru
ORCID iD: 0000-0001-6271-0479
Russian Federation, prosp. Lenina 28, Volgograd, 400005
D. V. Danilov
Volgograd State Technical University
Email: butov@post.volpi.ru
ORCID iD: 0000-0001-8734-2617
Russian Federation, prosp. Lenina 28, Volgograd, 400005
V. S. Dyachenko
Volgograd State Technical University; VSTU
Email: butov@post.volpi.ru
ORCID iD: 0000-0002-6209-7106
Volzhsky polytechnic institute (branch) VSTU
Russian Federation, prosp. Lenina 28, Volgograd, 400005; ul. Engelsa 42a, Volzhsky, 404121V. V. Burmistrov
Volgograd State Technical University
Email: butov@post.volpi.ru
ORCID iD: 0000-0002-8547-9166
Russian Federation, prosp. Lenina 28, Volgograd, 400005
G. M. Butov
Volgograd State Technical University; VSTU
Author for correspondence.
Email: butov@post.volpi.ru
ORCID iD: 0000-0002-0839-4513
Volzhsky polytechnic institute (branch) VSTU
Russian Federation, prosp. Lenina 28, Volgograd, 400005; ul. Engelsa 42a, Volzhsky, 404121I. A. Novakov
Volgograd State Technical University
Email: butov@post.volpi.ru
ORCID iD: 0000-0002-0980-6591
Russian Federation, prosp. Lenina 28, Volgograd, 400005
References
- Бурмистров В.В., Кузнецов Я.П., Новиков В.В., Аббас Саиф М.Х., Давиденко А.В., Вернигора А.А., Бутов Г.М., ЖОрХ, 2023, 59, ХХХ–ХХХ [Burmistrov V.V. Kuznetsov Y.P., Novikov V.V., Abbas Saeef M.H., Davidenko A.V., Vernigora A.A., Butov G.M. Russ. J. Org. Chem. (Engl. Transl.), 2023, 59, XXX–XXX]. Meanwell N.A. J. Med. Chem., 2018, 61, 5822–5880. doi: 10.1021/acs.jmedchem.7b01788
- Richardson P. Expert Opin. Drug Discov., 2021, 16, 1261–1286. doi: 10.1080/17460441.2021.1933427
- Hwang S.H., Wecksler A.T., Zhang G., Morisseau C., Nguyen L.V., Fu S.H., Hammock B.D., Bioorg. Med. Chem. Lett., 2013, 23, 3732–3737. doi: 10.1016/j.bmcl.2013.05.011
- Codony S., Valverde E., Leiva R., Brea J., Loza M.I., Morisseau C., Hammock B.D., Vázquez S. Bioorg. Med. Chem. 2019, 27, 115078. doi: 10.1016/j.bmc.2019.115078
- Бурмистров В.В., Бутов Г.М., Дьяченко В.С. ЖОрХ, 2017, 53, 965–968 [Burmistrov, V.V., Butov, G.M., D’yachenko, V.S. Russ. J. Org. Chem. (Engl. Transl.), 2017, 53, 977–980]. doi: 16.1134/S107042801707003X
- Lee K.S.S., Liu J.-Y., Wagner K.M., Pakhomova S., Dong H., Morisseau C., Fu S.H., Yang J., Wang P., Ulu A., Mate C.A., Nguyen L.V., Hwang S.H., Edin M.L., Mara A.A., Wulff H., Newcomer M.E., Zeldin D.C., Hammock B.D. J. Med. Chem., 2014, 57, 7016–7030. doi: 10.1021/jm500694p
- Anandan S.-K., Webb H.K., Chen D., Wang Yi-X. (J.), Aavula B.R., Cases S., Cheng Yi., Do Z.N., Mehra U., Tran V., Vincelette J., Waszczuk J., White K., Wong K.R., Zhang Le-N., Jones P.D., Hammock B.D., Patel D.V., Whitcomb R., MacIntyre D.Eu., Sabry J., Gless R. Bioorg. Med. Chem. Lett., 2011, 21, 983–988. doi: 10.1016/j.bmcl.2010.12.042
- Wilkinson Sh.M., Barron M.L., O’Brien-Brown J., Jans-sen B., Stokes L., Werry E.L., Chishty M., Skarratt K K., Ong J.A., Hibbs D.E., Vugts D.J., Fuller S., Windhorst A.D., Kassiou M. ACS Chem. Neurosci., 2017, 8, 2374–2380. doi: 10.1021/acschemneuro.7b00272
- Данилов Д.В., Дьяченко В.С., Бурмистров В.В. Бутов Г.М., Новаков И.А. Изв. АН. Сер. хим., 2022, 1, 107–113. [Danilov D.V., D'yachenko V.S., Burmistrov V.V., Butov G.M., Novakov I.A. Russ. Chem. Bull., Int. Ed. (Engl. Transl.), 2022, 1, 107–113.] doi: 10.1007/s11172-022-3383-8
- Гладких Б.П., Данилов Д.В., Дьяченко В.С., Бурмистров В.В., Бутов Г.М., Новаков И.А. Изв. АН. Сер. хим., 2022, 9, 1998–2005. [Gladkikh B.P., Danilov D.V., Dyachenko V.S., Burmistrov V.V., Butov G.M., Novakov I.A. Russ. Chem. Bull., Int. Ed. (Engl. Transl.), 2022, 9, 1998–2005.] doi: 10.1007/s11172-022-3620-1
- Jasys V. J., Lombardo F., Appleton T.A., Bordner J., Ziliox M., Volkmann R.A. J. Am. Chem. Soc. 2000, 3, 466–473. doi: 10.1021/ja992652x
- Бутов Г.М., Бурмистров В.В., Данилов Д.В., Питушкин Д.А., Мориссье К., Хэммок Б. Д., Изв. АН. Сер. хим., 2015, 64, 1569–1575 [Butov G.M., Burmistrov V.V., Danilov D.V., Pitushkin D.A., Morisseau C., Hammock B.D., Russ. Chem. Bull., 2015, 64, 1569-1575]. doi: 10.1007/s11172-015-1043-y
Supplementary files
Note
Сообщение XIX см. [1].











