Structural analogues of thyronamines. Experimental and DFT calculated NMR 1H chemical shifts of 4-[4-(2-aminoethoxy)benzyl]aniline
- Autores: Eresko A.B.1, Raksha E.V.1, Filimonov D.A.2, Muratov A.V.3, Voitash A.A.3, Trubnikova N.N.2
-
Afiliações:
- International Intergovernmental Organization “The Joint Institute for Nuclear Research”
- Federal State Budgetary Institution “V.K. Gusak Institute of Emergency and Reconstructive Surgery” of the Ministry of Health of the Russian Federation
- Federal State Budget Scientific Institution “L.M. Litvinenko Institute of Physical Organic and Coal Chemistry”
- Edição: Volume 60, Nº 7 (2024)
- Páginas: 815-824
- Seção: Articles
- URL: https://bakhtiniada.ru/0514-7492/article/view/279457
- DOI: https://doi.org/10.31857/S0514749224070013
- EDN: https://elibrary.ru/RCGHFO
- ID: 279457
Citar
Texto integral
Resumo
The paper presents the results of molecular modeling of the structure and evaluation of the 1Н nuclei chemical shifts of a new structural analog of endogenous thyronamines, 4-[4-(2-aminoethoxy)benzyl]aniline. For 4-[4-(2-aminoethoxy)benzyl]aniline, the molecular geometry was optimized at the B3LYP level with basis sets 6-31G(d,p), 6-31+G(d,p), 6-311G(d, p) both in the approximation of an isolated molecule and with allowance for the solvent. The 1H nuclei chemical shifts of 4-[4-(2-aminoethoxy)benzyl]aniline were estimated on the base of the magnetic screening constants calculated by the GIAO method. The nonspecific solvation with dimethyl sulfoxide and methanol within the polarized continuum model (IEFPCM) was taken into account both in optimizing the molecular geometry and in calculating the magnetic screening constants. The calculated chemical shifts of the 1H nuclei for 4-[4-(2-aminoethoxy)benzyl]aniline are in good agreement with the experimental ones obtained in DMSO-d6 as well as CD3OD solutions. Linear correlations were obtained between the calculated and experimental data.
Palavras-chave
Texto integral
ВВЕДЕНИЕ
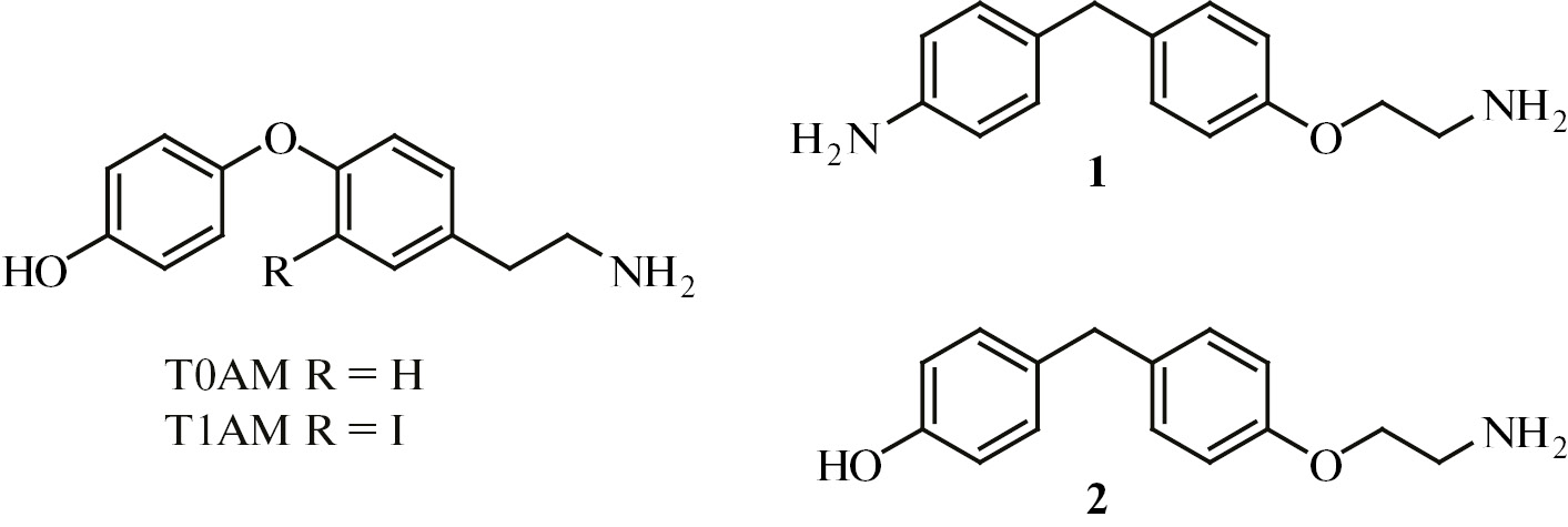
Тиронамины – эндогенные соединения, образующиеся из L-тироксина или его промежуточных метаболитов в результате дейодирования и декарбоксилирования. Биологическая активность тиронаминов связана с действием на ЦНС, сердечно-сосудистую систему, метаболизм [1]. Тиронамины и их структурные аналоги активно исследуются в качестве агонистов рецептора, ассоциированного со следовыми аминами (TAAR1-рецептора) [1–3]. TAAR1-рецептор расположен на поверхности клеточной мембраны и относится к группе рецепторов, сопряженных с G-белком. Только 2 тиронамина, а именно 3-йодтиронамин (T1AM) и тиронамин (T0AM) (рис. 1), были обнаружены in vivo (кровь, сердце, печень, жировая ткань, щитовидная железа и мозг взрослых самцов мышей, а также мозг крыс и морских свинок) методом жидкостной хроматографии – тандемной масс-спектрометрии [4, 5]. Экспериментальные исследования также выявили способность эндогенных тиронаминов Т0АМ и Т1АМ индуцировать гипотермию, не вызывая при этом компенсаторных реакций в виде озноба и пилоэрекции [6]. Тиронамины являются регуляторами термогенеза и перспективны для применения в качестве фармакологических индукторов гипотермии [7, 8]. В ЦНС тиронамины проявляют свойства нейромодулятора адренергических и гистаминергических нейронов. Показано, что при интрацеребральном введении тиронамины индуцируют антианамнестический эффект и стимулируют процессы, связанные с обучением [9]. В модели острого повреждения спинного мозга у крыс доказана способность тиронаминов ингибировать процессы апоптоза и повышать выживаемость нейронов [10].
Рис. 1. Структура эндогенных тиронаминов Т0АМ и Т1АМ, а также их структурных аналогов – 4-[4-(2-аминоэтокси)бензил]анилина (1) и 4-[4-(2-аминоэтокси)бензил]фенола (2)
В результате исследований, направленных на поиск доступных для синтеза структурных аналогов тиронаминов [11-13], предложен ряд соединений, биологическая активность которых сопоставима или даже превышает активность эндогенных аналогов (рис. 1). Структурные аналоги Т0АМ, 4-[4-(2-аминоэтокси)бензил]анилин (1) и 4-[4-(2-аминоэтокси)бензил]фенол (2), обладают плеотропными нейропротекторными свойствами и активно исследуются [7, 14, 15].
В данной работе представлены результаты молекулярного моделирования структуры и оценки в приближении DFT параметров спектра ЯМР 1Н соединения 1 – 4-[4-(2-аминоэтокси)бензил]анилина, структурного аналога Т0АМ. В отличие от эндогенного тиронамина Т0АМ, выбранный структурный аналог не содержит кислородного мостика между арильными фрагментами, а 4'-ОН группа в нем заменена на биоизостерный заместитель – 4'-NН2 группу. Последняя, как и гидроксильная группа, обладает необходимыми донорно-акцепторными свойствами при образовании водородной связи, но, помимо этого, улучшает фармакокинетические свойства молекулы (в виде гидрохлорида увеличивается гидрофильность). Комплексный подход к исследованию структурных особенностей биологически активных соединений с использованием возможностей экспериментальных методов ЯМР спектроскопии и in silico оценки параметров ЯМР-спектров обеспечивает получение более надежных результатов [16–20].
РЕЗУЛЬТАТЫ И ОБСУЖДЕНИЕ
Исходная молекулярная геометрия 4-[4-(2-аминоэтокси)бензил]анилина (рис. 2) получена с использованием алгоритма полного включения возможных геометрических и стерических факторов, реализованных в плагине Conformer программного пакета Marvin [21]. Оптимизация молекулярной геометрии 4-[4-(2-аминоэтокси)бензил]анилина выполнена на уровне теории B3LYP [22–24] с использованием следующих наборов базисных функций: 6-31G(d,p), 6-31+G(d,p) и 6-311G(d,p). Расчеты выполнены как в приближении изолированной молекулы (IM), так и с учетом неспецифической сольватации диметилсульфоксидом (ДМСО) и метанолом (СН3ОН) в рамках модели IEFPCM [25]. Данные о равновесной конфигурации 4-[4-(2-аминоэтокси)бензил]анилина, полученные на уровне теории B3LYP/6-31G(d,p) в приближении IM, и визуализация граничных молекулярных орбиталей приведены на рис. 3, отдельные характеристики молекулярной геометрии, электронной структуры и энергии, полученные в результате расчетов, приведены в табл. 1.
Рис. 2. Нумерация атомов и 3D модель 4-[4-(2-аминоэтокси)бензил]анилина (1) с основными структурными фрагментами: анилиновый (a), оксибензойный (б) и этиламиновый (в)
Рис. 3. 3D модель 4-[4-(2-аминоэтокси)бензил]анилина (1) и визуализация граничных молекулярных орбиталей (оптимизация молекулярной геометрии выполнена на уровне B3LYP/6-31G(d,p), длины связей указаны в Å)
Таблица 1. Характеристики 4-[4-(2-аминоэтокси)бензил]анилина (1), рассчитанные на уровне теории B3LYP с использованием различных наборов базисных функций
Параметр | IM | СН3ОН | ДМСО | ||||||
6-31G(d,p) | 6-31+G(d,p) | 6-311G(d,p) | 6-31G(d,p) 62.5 178.3 61.3 | 6-31+G(d,p) | 6-311G(d,p) | 6-31G(d,p) | 6-31+G(d,p) | 6-311G(d,p) | |
α, ˚ | 55.2 | 56.6 | 56.3 | 67.4 | 67.5 | 62.5 | 67.4 | 64.9 | |
β, ˚ | 178.1 | 178.8 | 179.2 | 177.4 | 178.2 | 178.3 | 177.4 | 179.1 | |
γ, ˚ | 60.1 | 62.2 | 61.0 | 63.2 | 62.4 | 61.4 | 63.2 | 62.4 | |
ЕВЗМО, эВ | –5.26 | –5.56 | –5.47 | –5.39 | –5.68 | –5.60 | –5.39 | –5.68 | –5.60 |
ЕНВМО, эВ | 0.01 | –0.49 | –0.31 | –0.12 | –0.55 | –0.45 | –0.12 | –0.56 | –0.45 |
ΔЕ, эВ | 5.27 | 5.07 | 5.16 | 5.27 | 5.12 | 5.15 | 5.27 | 5.12 | 5.15 |
µ, Д | 1.05 | 1.12 | 1.11 | 1.43 | 1.74 | 1.69 | 1.44 | 1.75 | 1.66 |
G, а.е. | –766.92724 | –766.96042 | –767.10002 | –766.93988 | –766.97400 | –767.11229 | –766.94018 | –766.97427 | –767.11305 |
ΔGSolv, кДж/моль | – | – | – | –33.20 | –35.66 | –32.20 | –33.98 | –36.36 | –34.20 |
Взаимная ориентация анилинового (a), оксибензойного (б) и этиламинового (в) фрагментов (рис. 2) определяет пространственную конфигурацию молекулы тиронамина 1. Для тиронаминов с различными заместителями в ароматических фрагментах предполагается, что взаимная ориентация внешнего и внутреннего ароматических фрагментов (рис.2, а и б соответственно) дополнительно регулируется конфигурацией этиламинового фрагмента [26]. Для тиронамина 1 полученные в результате оптимизации величины двугранных углов C8–C1–C2–C3 (α), C5–C7–O15–C16 (β), O15–C16–C17–N18 (γ) приведены в табл. 1. Величина α для исследованных ранее тиреоидных гормонов и их метаболитов по данным рентгеноструктурного анализа (РСА) [26, 27] варьируется в пределах от 8˚ до 164˚ и для Т0АМ это значение составляет α = 142.8° [26]. Для исследуемого в данной работе тиронамина 1 наблюдается синклинальная конфигурация анилинового и этиламинового фрагментов: α = 55.6˚–56.6˚, β = 60.1˚–63.2˚ в зависимости от используемого в расчетах набора базисных функций.
Неспецифическая сольватация ДМСО или СН3ОН не оказывает существенного влияния на параметры молекулярной геометрии и электронного строения тиронамина 1. Энергия сольватации ДМСО и СН3ОН (ΔGSolv) существенно не отличается (табл. 1).
Для 4-[4-(2-аминоэтокси)бензил]анилина (1) выполнен расчет констант магнитного экранирования (χ) ядер 1Н и оценка на их основе величин химических сдвигов указанных ядер. Значения χ рассчитаны методом GIAO [28] на базе соответствующих равновесных конфигураций. Расчет выполнен как в приближении изолированной молекулы, так и с учетом неспецифической сольватации ДМСО и метанолом. Соотнесение сигналов спектров ЯМР 1Н приведено в табл. 2, 3. Нумерация атомов в таблицах соответствует таковой на рис. 2. Для дальнейшего анализа не учитывали химические сдвиги подвижных протонов NH2 групп (Н29, Н30, Н35, Н36), величины которых чувствительны к концентрации вещества, влиянию растворителя.
Таблица 2. Рассчитанные в приближении изолированной молекулы (δcalc, м.д.) и экспериментальные (δexp, м.д.) химические сдвиги ядер 1Н 4-[4-(2-аминоэтокси)бензил]анилина (1) в ДМСО-d6
Атом | δрасч, м.д. | δexp (ДМСО-d6), м.д. | ||
6-31G(d,p) | 6-31+G(d,p) | 6-311G(d,p) | ||
Н19, Н20 | 3.56 | 3.66 | 3.72 | 3.69 |
Н21, Н22 | 7.09 | 7.14 | 7.22 | 7.04 |
Н23, Н24 | 6.67 | 6.77 | 6.79 | 6.80 |
Н25, Н26 | 6.94 | 7.08 | 7.07 | 6.80 |
Н27, Н28 | 6.36 | 6.56 | 6.57 | 6.47 |
Н29, Н30 | 2.62 | 3.20 | 2.83 | В обмене |
Н31, Н32 | 3.57 | 3.59 | 3.64 | 3.99 |
Н33, Н34 | 2.85 | 2.99 | 2.98 | 3.03 |
Н35, Н36 | 0.51 | 0.92 | 0.60 | В обмене |
МАЕ | 0.165 | 0.139 | 0.142 | |
a | 0.933 ± 0.030 | 0.924 ± 0.036 | 0.926 ± 0.034 | |
b | 0.46 ± 0.16 | 0.41 ± 0.21 | 0.38 ± 0.19 | |
R | 0.99730 | 0.99614 | 0.99659 | |
Таблица 3. Химические сдвиги 4-[4-(2-аминоэтокси)бензил]анилина (1) в ДМСО-d6 и CD3OD, рассчитанные с учетом неспецифической сольватации (δcalc, м.д.) и полученные экспериментально (δexp, м.д.)
Атом | δcalc, м.д. (ДМСО) | δexp (ДМСО-d6), м.д. | δcalc, м.д. (CH3OH) | δexp [12] (CD3OD), м.д. | ||||
6-31G(d,p) | 6-31+G(d,p) | 6-311G(d,p) | 6-31G(d,p) | 6-31+G(d,p) | 6-311G(d,p) | |||
Н19, Н20 | 3.57 | 3.66 | 3.72 | 3.69 | 3.57 | 3.66 | 3.72 | 3.93 |
Н21, Н22 | 7.23 | 7.39 | 7.39 | 7.04 | 7.23 | 7.38 | 7.40 | 7.26 |
Н23, Н24 | 6.81 | 6.97 | 6.95 | 6.80 | 6.81 | 6.96 | 6.95 | 7.15 |
Н25, Н26 | 7.07 | 7.21 | 7.24 | 6.80 | 7.06 | 7.21 | 7.25 | 7.16 |
Н27, Н28 | 6.55 | 6.79 | 6.76 | 6.47 | 6.54 | 6.78 | 6.75 | 6.94 |
Н29, Н30 | 3.06 | 3.54 | 3.26 | В обмене | 3.05 | 3.53 | 3.24 | В обмене |
Н31, Н32 | 3.74 | 3.81 | 3.81 | 3.99 | 3.74 | 3.81 | 3.81 | 4.20 |
Н33, Н34 | 2.84 | 3.00 | 2.98 | 3.03 | 2.84 | 3.00 | 2.98 | 3.35 |
Н35, Н36 | 0.67 | 1.15 | 0.74 | В обмене | 0.66 | 1.16 | 0.73 | В обмене |
МАЕ | 0.16 | 0.24 | 0.24 | 0.16 | 0.21 | 0.21 | ||
a | 0.908 ± 0.020 | 0.894 ± 0.022 | 0.897 ± 0.024 | 0.929 ± 0.028 | 0.916 ± 0.023 | 0.915 ± 0.029 | ||
b | 0.49 ± 0.11 | 0.44 ± 0.13 | 0.42 ± 0.14 | 0.70 ± 0.16 | 0.64 ± 0.14 | 0.630 ± 0.16 | ||
R | 0.99883 | 0.99849 | 0.99819 | 0.99778 | 0.99835 | 0.99759 | ||
В экспериментальном спектре ЯМР 1Н 4-[4-(2-аминоэтокси)бензил]анилина в растворе ДМСО-d6 присутствуют сигналы, соответствующие протонам метиленовых групп аминоэтоксильного заместителя в виде триплетов при 3.03 и 3.99 м.д. с константой спин-спинового взаимодействия (КССВ) J = 4 Гц, а также протонам метиленового мостика в виде синглета при 3.69 м.д. Ароматическим протонам соответствуют сигналы в виде дублетов от 2 протонов при 6.47 и 7.04 м.д., а также от 4 протонов при 6.80 м.д. с КССВ J = 8 Гц. Экспериментальные данные параметров спектра ЯМР 1Н 4-[4-(2-аминоэтокси)бензил]анилина в CD3OD, также используемые далее для оценки результатов расчета, приведены ранее [12].
Сравнительный анализ данных табл. 2, 3 и экспериментальных значений химических сдвигов, полученных для 4-[4-(2-аминоэтокси)бензил]анилина (1) в растворе ДМСО-d6 и CD3OD, выявил следующие особенности. Параметры 1Н ЯМР-спектра 4-[4-(2-аминоэтокси)бензил]анилина (последовательность сигналов в спектре и величина химического сдвига) достаточно корректно воспроизводятся на данном теоретическом уровне. Величина средней абсолютной ошибки (МАЕ) составляет 0,14–0,24 м.д. (табл. 2, 3). Учет влияния растворителя в рамках модели поляризованного континуума при расчете химических сдвигов ядер 1H тиронамина 1 ведет к незначительному увеличению точности расчета в случае уровня теории B3LYP/6-31G(d,p).
Соотношение между экспериментальными и рассчитанными химическими сдвигами ядер 1Н для 4-[4-(2-аминоэтокси)бензил]анилина с учетом неспецифической сольватации ДМСО и СН3ОН иллюстрирует рис. 4. Параметры a и b полученных линейных зависимостей типа δexp = aδcalc + b, где значения химического сдвига δexp получены экспериментально и δcalc рассчитаны, приведены в табл. 2, 3. Учет влияния растворителя в рамках модели IEFPCM позволяет получить более высокие значения коэффициентов линейной корреляции R. В случае ДМСО наибольшие значения R наблюдаются для уровня теории B3LYP/6-31G(d,p), а для СН3ОН – B3LYP/6-31+G(d,p).
Рис. 4. Химические сдвиги ядер 1Н, рассчитанные для молекулы 4-[4-(2-аминоэтокси)бензил]анилина (1) (□ – B3LYP/6-31G(d,p), ○ – B3LYP/6-31+G(d,p) и ▲ – B3LYP/6-311G(d,p)) и полученные экспериментально в ДМСО-d6 (а) и CD3OD [12] (b)
Таким образом, для тиронамина 1 получено удовлетворительное количественное соответствие расчетных и экспериментальных значений химических сдвигов, принимая во внимание тот факт, что экспериментальные значения δ в растворе подвержены влиянию растворителя, концентрации и температуры. Наилучшее соответствие рассчитанных и экспериментальных значений ядер химических сдвигов 1Н получены на уровне теории B3LYP/6-31G(d,p) для ДМСО и B3LYP/6-31+G(d,p) для СН3ОН. В целом, B3LYP/6-31G(d,p) может быть рекомендован для дальнейших in silico исследований структуры и свойств 4-[4-(2-аминоэтокси)бензил]анилина.
ЭКСПЕРИМЕНТАЛЬНАЯ ЧАСТЬ
Синтез 4-[4-(2-аминоэтокси)бензил]анилина (1) осуществлен в соответствии с методикой из литературы [12]. Выход соединения (1) в виде дигидрохлорида составил 62% (200 мг). Для записи ЯМР 1Н и 13С спектров гидрохлорид 4-[4-(2-аминоэтокси)бензил]анилина переводили в основание подщелачиванием его водного раствора насыщенным водным раствором карбоната натрия с последующей экстракцией хлористым метиленом, осушкой экстракта и упариванием под вакуумом.
Спектры ЯМР 1Н и 13С записаны на приборе Bruker Avance (400 МГц) в ДМСО-d6, внутренний стандарт – тетраметилсилан. Температура плавления определена на приборе Stuart SMP40. Элементный анализ выполнен на анализаторе Variо MICRO Cube.
4-[4-(2-Аминоэтокси)бензил]анилин (1). Для дигидрохлорида (1) т.пл. 180˚С (с разложением). Спектр ЯМР 1Н основания (1) (ДМСО-d6), δ, м.д.: 3.03 т (2Н, CH2, J 4.0 Гц), 3.69 с (2Н, СН2), 3.99 т (2Н, CH2, J 4.0 Гц), 5.20 ш.с (NH2 в обмене с водой), (6.47 д (2Н, H 3',5', J 8.0 Гц), 6.80 д (4Н, H 2, 6, 2',6', J 8.0 Гц), 7.04 д (2Н, H 3, 5, J 8.0 Гц). Спектр ЯМР 13С основания (1) (ДМСО-d6), δ, м.д.: 38.43, 39.71, 64.15, 114.05 (2С), 114.24 (2С), 128.56, 128.74 (2С), 129.20 (2С), 134.86, 146.00, 155.78. Найдено, %: С 57.19; Н 6.37; N 8.98. C15H18N2O·2HCl. Вычислено, %: С 57.15; Н 6.40; N 8.99. M 315.238.
Методики квантово-химических расчетов. Исходная молекулярная геометрия 4-[4-(2-аминоэтокси)бензил]анилина (1) сгенерирована с использованием алгоритма полного включения возможных геометрических и стерических факторов, реализованных в плагине Conformer программного пакета Marvin [21].
Молекулярная геометрия и параметры электронной структуры, термодинамические характеристики тиронамина 1 были рассчитаны с использованием программы Gaussian09 [29]. Расчеты выполнены с учетом корреляции электронов на уровне теории B3LYP [22-24] с использованием следующих наборов базисных функций: 6-31G(d,p), 6-31+G(d,p), 6-311G(d,p). Квантово-химические расчеты выполнены в приближении изолированной молекулы (IM) и в среде растворителя – ДМСО и СН3ОН в рамках модели поляризованного континуума (IEFPCM) [25], которая позволяет учесть неспецифическую сольватацию. Сначала выполняли задачу оптимизации молекулярной геометрии объекта, после чего производили расчет частот гармонических колебаний и термодинамических параметров. Полученные после оптимизации молекулярной геометрии стационарные точки были определены как минимумы, поскольку для них отсутствовали отрицательные значения аналитических гармонических колебательных частот. Энергию сольватации тиронамина 1 рассчитывали по уравнению:
ΔGSolv = (GSolv – GIM)·2625.4997, (1)
где ΔGSolv – энергия сольватации, кДж/моль; GSolv – свободная энергия Гиббса сольватированной молекулы, а.е.; GIM – свободная энергия Гиббса, рассчитанная в IM, а.е.; 2625.4997 – коэффициент пересчета из единиц а.е. в кДж/моль.
Для моделирования ЯМР 1Н спектров тиронамина 1 использовали подход, предложенный ранее [30]. Расчет химических сдвигов ядер 1Н тиронамина 1 выполнен с учетом неспецифической сольватации ДМСО или СН3ОН в рамках модели IEFPCM. Для расчета использованы равновесные геометрии тиронамина 1. На основе рассчитанных методом GIAO [28] констант магнитного экранирования (χ, м.д.) оценивали величины химических сдвигов (δcalc, м.д.) ядер 1Н в молекуле. В качестве стандарта использовали тетраметилсилан (ТМС), для которого выполнены полная оптимизация молекулярной геометрии и расчет c χ использованием одинакового уровня теории и базисного набора. Величины химических сдвигов ядер 1Н находили как разницу χ соответствующих ядер в молекуле ТМС и тиронамина 1.
Значение средней абсолютной ошибки для химических сдвигов ядер 1Н рассчитывали по уравнению:
, (2)
где MAE – средняя абсолютная ошибка; δexp – экспериментальное значение химического сдвига, м.д.; δcalc – рассчитанное значение химического сдвига, м.д.; n – число значений.
ЗАКЛЮЧЕНИЕ
Таким образом, для нового структурного аналога эндогенного тиронамина Т0АМ – 4-[4-(2-аминоэтокси)бензил]анилина (1) выполнена оптимизация молекулярной геометрии с использованием гибридного функционала B3LYP и базисных наборов 6-31G(d,p), 6-31G+(d,p) и 6-311G(d,p) с учетом неспецифической сольватации СН3ОН и ДМСО. На основе полученных равновесных конфигураций выполнена оценка химических сдвигов ядер 1Н тиронамина 1. Получено удовлетворительное количественное соответствие расчетных и экспериментальных значений химических сдвигов, принимая во внимание тот факт, что экспериментальные значения δ в растворе подвержены влиянию растворителя, концентрации и температуры. Наилучшее соответствие рассчитанных и экспериментальных значений ядер химических сдвигов 1Н получены на уровне теории B3LYP/6-31G(d,p) для ДМСО и B3LYP/6-31+G(d,p) для СН3ОН. В целом, B3LYP/6-31G(d,p) может быть рекомендован для дальнейших in silico исследований структуры и свойств 4-[4-(2-аминоэтокси)бензил]анилина.
КОНФЛИКТ ИНТЕРЕСОВ
Авторы заявляют об отсутствии конфликта интересов.
Sobre autores
A. Eresko
International Intergovernmental Organization “The Joint Institute for Nuclear Research”
Autor responsável pela correspondência
Email: a_eresko77@mail.ru
Rússia, ul. Joliot-Curie, 6, Dubna, 141980
E. Raksha
International Intergovernmental Organization “The Joint Institute for Nuclear Research”
Email: a_eresko77@mail.ru
ORCID ID: 0000-0002-5954-6361
Rússia, ul. Joliot-Curie, 6, Dubna, 141980
D. Filimonov
Federal State Budgetary Institution “V.K. Gusak Institute of Emergency and Reconstructive Surgery” of the Ministry of Health of the Russian Federation
Email: a_eresko77@mail.ru
ORCID ID: 0000-0002-4542-6860
Rússia, Leninskij ave, 47, Donetsk 283080
A. Muratov
Federal State Budget Scientific Institution “L.M. Litvinenko Institute of Physical Organic and Coal Chemistry”
Email: a_eresko77@mail.ru
Rússia, R. Luxemburg St, 70, Donetsk, 283114
A. Voitash
Federal State Budget Scientific Institution “L.M. Litvinenko Institute of Physical Organic and Coal Chemistry”
Email: a_eresko77@mail.ru
ORCID ID: 0000-0002-5441-3930
Rússia, R. Luxemburg St, 70, Donetsk, 283114
N. Trubnikova
Federal State Budgetary Institution “V.K. Gusak Institute of Emergency and Reconstructive Surgery” of the Ministry of Health of the Russian Federation
Email: a_eresko77@mail.ru
Rússia, Leninskij ave, 47, Donetsk 283080
Bibliografia
- Tan E.S., Naylor J.C., Groban E.S., Bunzow J.R., Jacobson M.P., Grandy D.K., Scanlan T.S. ACS Chem. Biol. 2009, 4(3), 209–220. doi: 10.1021/cb800304d
- Cichero E, Tonelli M. Future Med. Chem. 2017, 9 (13), 1507–1527. doi: 10.4155/fmc-2017-0044
- Hart M.E., Suchland K.L., Miyakawa M., Bunzow J.R., Grandy D.K., Scanlan T.S. J. Med. Chem. 2006, 49 (3), 1101–1112. doi: 10.1021/jm0505718
- Scanlan T.S., Suchland K.L., Hart M.E., Chiellini G., Huang Y., Kruzich P.J., Frascarelli S., Crossley D.A., Bunzow J.R., Ronca-Testoni S., Lin E.T., Hatton D., Zucchi R., Grandy D.K. Nature Med. 2004, 10 (6) 638–642. doi: 10.1038/nm1051
- DeBarber A.E., Geraci T., Colasurdo V.P., Hackenmueller S.A., Scanlan T.S. J. Chromatogr. A. 2008, 1210 (1) 55-59. doi: 10.1016/j.chroma.2008.09.022
- Doyle K.P., Suchland K.L., Ciesielski T.M., Lessov N.S., Grandy D.K., Scanlan T.S., Stenzel-Poore M.P. Stroke. 2007, 38 (9), 2569–2576. doi: 10.1161/STROKEAHA.106.480277
- Филимонов Д.А., Трубникова Н.Н., Белоцерковская М.А., Федорова А.А., Ересько А.Б., Марусиченко В.В. Междунар. неврол. ж. 2020. 16 (1), 65–71. doi: 10.22141/2224-0713.16.1.2020.197333 [Filmonov D.A., Trubnikova N.N., Belotserkovskaya M.A., Fedorova A.A., Eresko A.B., Marusichenko V.V. Int. Neurolog. J. 2020, 16 (1), 65–71.] doi: 10.22141/2224-0713.16.1.2020.197333
- Филимонов Д.А., Евтушенко С.К., Федорова А.А. Анналы клин. и эксперим. неврологии. 2023, 17 (1), 43–54. doi: 10.54101/ACEN.2023.1.6 [Filimonov D.A., Evtushenko S.K., Fedorova A.A. Ann. Clinical Experim. Neurology. 2023, 17 (1), 36–54. (In Russ.)] doi: 10.54101/ACEN.2023.1.6
- Manni M.E., De Siena G., Saba A., Marchini M., Landucci E., Gerace E., Zazzeri M., Musilli C., Pellegrini-Giampietro D., Matucci R., Zucchi R., and Raimondi L. Br. J. Pharmacol. 2013, 168(2), 354–362. doi: 10.1111/j.1476-5381.2012.02137.x
- Lv J., Liao J., Tan W., Yang L., Shi X., Zhang H., Chen L., Wang S., and Li, Q. Ann. Clin. Lab. Sci. 2018, 48(6), 736–742.
- Chiellini G., Nesi G., Sestito S., Chiarugi S., Runfola M., Espinoza S., Sabatini M., Bellusci L., Laurino A., Cichero E., Gainetdinov R.R., Fossa P., Raimondi L., Zucchi R., Rapposelli S. J. Med. Chem. 2016, 59 (21), 9825–9836. doi: 10.1021/acs.jmedchem.6b01092
- Chiellini G., Nesi G., Digiacomo M., Malvasi R., Espinoza S., Sabatini M., Frascarelli S., Laurino A., Cichero E., Macchia M., Gainetdinov R.R., Fossa P., Raimondi L., Zucchi R., Rapposelli S. J. Med. Chem. 2015, 58 (12), 5096–5107. doi: 10.1021/acs.jmedchem.5b00526
- Chiellini G., Bellusci L., Sabatini M., Zucchi R. Mol. Cell Endocrinol. 2017, 458, 149-155. doi: 10.1016/j.mce.2017.01.002
- Runfola M., Perni M., Yang X., Marchese M., Bacci A., Mero S., Santorelli F.M., Polini B., Chiellini G., Giuliani D., Vilella A., Bodria M., Daini E., Vandini E., Rudge S., Gul S., Wakelam M.O.J., Vendruscolo M., Rapposelli S. Pharmaceuticals (Basel). 2021, 14 (12), 1330. doi: 10.3390/ph14121330
- Bellusci L., Runfola M., Carnicelli V., Sestito S., Fulceri F., Santucci F., Lenzi P., Fornai F., Rapposelli S., Origlia N., Zucchi R., Chiellini G. Molecules. 2020, 25 (5), 1054. doi: 10.3390/molecules25051054
- Valiakhmetova O.Y., Kuznetsov V.V. Russ. J. Org. Chem. 2021, 57, 20–24. doi: 10.1134/S1070428021010036 [Валиахметова О.Ю., Кузнецов В.В. ЖОрХ. 2021, 57 (1), 29–34. doi: 10.31857/S0514749221010031]
- Sarac K. Russ. J. Org. Chem. 2020, 56(1), 119–128. doi: 10.1134/S1070428020010194
- Ересько А.Б., Ракша Е.В., Берестнева Ю.В., Муратов А.В., Войташ А.А., Толкунов В.С., Толкунов С.В. ЖОрХ. 2020, 56 (11), 1721–1730. doi: 10.1134/S1070428020110068 [Eresko A.B., Raksha E.V., Berestneva Y.V., Muratov A.V., Voitash A.A., Tolkunov V.S., Tolkunov S.V. Russ. J. Org. Chem. 2020, 56 (11), 1929–1936.] doi: 10.31857/S0514749220110063
- Ганина Т.А., Чертков В.А. ЖОрХ. 2019, 55(3), 411-419. doi: 10.1134/S107042801903014X [Ganina T.A., Chertkov V.A. Russ. J. Org. Chem. 2019, 55 (3), 354–361.] doi: 10.1134/S0514749219030145
- Белов К.В., Дышин А.А., Киселев М.Г., Крестьянинов М.А., Соборнова В.В., Ходов И.А. Сверхкритические Флюиды: Теория и Практика. 2021, 16 (2), 63–72. doi: 10.34984/SCFTP.2021.16.2.008 [Belov K.V., Dyshin A.A., Kiselev M.G., Krestyaninov M.A., Sobornova V.V., Kho-dov I.A. Russ. J. Phys. Chem. B. 2021, 15 (8), 1303–1309.] doi: 10.1134/S1990793121080145
- Marvin 5.10.4, ChemAxon, Calculator Plugins, 2014, http://www.chemaxon.com
- Becke A.D. J. Chem. Phys. 1993, 98, 5648–5652. doi: 10.1063/1.464913
- Lee C., Yang W., Parr R.G., Phys. Rev. B. 1988, 37, 785–789. doi: 10.1103/physrevb.37.785
- Lee T.J., Taylor P.R., Int. J. Quantum Chem., Quant. Chem. Symp. 1989, 36, 199-207. doi: 10.1002/qua.560360824
- Mennucci B., Tomasi J. J. Chem. Phys., 1997, 106, 5151–5158. doi: 10.1063/1.473558
- Mondal S., Mugesh G. Cryst. Growth Des., 2016, 16 (10), 5896–5906. doi: 10.1021/acs.cgd.6b00945
- Okabe N., Fujiwara T., Yamagata Y., Tomita K.I. Biochim. Biophys. Acta (BBA), 1982, 717 (1), 179–181 doi: 10.1016/0304-4165(82)90396-8
- Wolinski K., Hilton J.F., Pulay P., J. Am. Chem. Soc., 1990, 112, 8251–8260. doi: 10.1021/ja00179a005 8260
- Frisch M.J., Trucks G.W., Schlegel H.B., Scuseria G.E., Robb M.A., Cheeseman J.R., Scalmani G., Barone V., Mennucci B., Petersson G.A., Nakatsuji H., Caricato M., Li X., Hratchian H.P., Izmaylov A.F., Bloino J., Zheng G., Sonnenberg J.L., Hada M., Ehara M., Toyota K., Fukuda R., Hasegawa J., Ishida M., Nakajima T., Honda Y., Kitao O., Nakai H., Vreven T., Montgomery Jr. J.A., Peralta J.E., Ogliaro F., Bearpark M., Heyd J.J., Brothers E., Kudin K.N., Staroverov V.N., Kobayashi R., Normand J., Raghavachari K., Rendell A., Burant J.C., Iyengar S.S., Tomasi J., Cossi M., Rega N.,. Millam J.M, Klene M., Knox J.E., Cross J.B., Bakken V., Adamo C., Jaramillo J., Gomperts R., Stratmann R.E., Yazyev O., Austin A.J., Cammi R., Pomelli C., Ochterski J.W., Martin R.L., Morokuma K., Zakrzewski V.G., Voth G. A., Salvador P., Dannenberg J.J., Dapprich S., Daniels A.D., Farkas O., Foresman J.B., Ortiz J.V., Cioslowski J., and Fox D.J. Gaussian 09, Revision A.02, Gaussian, Inc., Wallingford CT, 2009.
- Беляков П.А., Анаников В.П. Изв. АН, Сер. хим., 2011, 5, 765–771. [Belaykov P.A., Ananikov V.P. Russ. Chem. Bull., 2011, 60, 783–789. doi: 10.1007/s11172-011-0125-8]
Arquivos suplementares





