Определение уровня иммунной прослойки населения Гвинейской Республики к некоторым арбовирусам
- Авторы: Найденова Е.В.1, Карташов М.Ю.2, Захаров К.С.1, Шевцова А.П.1, Диалло М.Г.3, Нурдин И.4, Ба М.Б.4, Бумбали С.4, Щербакова С.А.1, Кутырев В.В.1
-
Учреждения:
- ФКУЗ Российский научно-исследовательский противочумный институт «Микроб» Федеральной службы по надзору в сфере защиты прав потребителей и благополучия человека (Роспотребнадзор)
- ФБУН Государственный научный центр вирусологии и биотехнологии «Вектор» Федеральной службы по надзору в сфере защиты прав потребителей и благополучия человека (Роспотребнадзор)
- Региональный Университет Киндиа
- Исследовательский институт прикладной биологии Гвинеи
- Выпуск: Том 66, № 5 (2021)
- Страницы: 346-353
- Раздел: ОРИГИНАЛЬНЫЕ ИССЛЕДОВАНИЯ
- URL: https://bakhtiniada.ru/0507-4088/article/view/118171
- DOI: https://doi.org/10.36233/0507-4088-74
- ID: 118171
Цитировать
Аннотация
Введение. Ежегодно в странах Западной Африки от острых лихорадочных заболеваний погибают свыше 250 тыс. человек. Бо́льшую часть в общей структуре регистрируемых лихорадок традиционно занимают малярия и брюшной тиф. Однако эти сведения не в полной мере отражают реальные данные обо всей конъюнктуре заболеваемости в западноафриканском регионе. Это связано с тем, что в качестве критериев постановки диагноза используются только клинические признаки инфекционного процесса, и не исключена вероятность того, что некоторое количество заболеваний может быть вызвано арбовирусами. Выявление специфических антител (АТ) к возбудителям инфекционных болезней в сыворотках крови жителей той или иной местности является достоверным показателем циркуляции этих патогенов на определённой территории.
Цель работы – определение уровня иммунной прослойки населения Гвинейской Республики (Гвинеи) к ряду арбовирусов: денге (DENV), Западного Нила (WNV, ВЗН) (семейство Flaviviridae); Крымской-Конго геморрагической лихорадки (CCHFV, ККГЛ), Батаи (Batai virus), Бханджа (BHAV) (порядок Bunyavirales); чикунгунья (CHIKV) и Синдбис (SINV) (семейство Togaviridae).
Материал и методы. Для работы собрана панель из 2620 образцов сывороток крови людей, проживающих во всех ландшафтно-географических зонах Гвинеи. Выявление АТ класса IgG проводилось с помощью иммуноферментного анализа (ИФА).
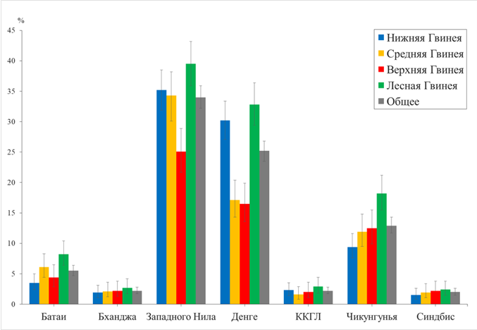
Результаты. Всего за период исследования АТ к вирусу Батаи выявлены в 144 (5,5%) образцах; Бханджа – в 58 (2,2%); ВЗН – в 892 (34,0%); денге – в 659 (25,2%); ККГЛ – в 58 (2,2%); чикунгунья – в 339 (12,9%) и Синдбис – в 52 образцах (2,0%).
Обсуждение. Полученные результаты указывают на наличие иммунной прослойки населения всех ландшафтно-географических зон Гвинейской Республики к данному спектру арбовирусов, что является подтверждением их активной циркуляции на этой территории.
Заключение. С учётом эпидемиологической значимости арбовирусных инфекций сохраняется актуальность дальнейшего изучения вопроса о доле инфекционных агентов этой экологической группы в общей структуре лихорадочных заболеваний, зарегистрированных на территории Гвинеи.
Полный текст
Открыть статью на сайте журналаОб авторах
Е. В. Найденова
ФКУЗ Российский научно-исследовательский противочумный институт «Микроб» Федеральной службы по надзору в сфере защиты прав потребителей и благополучия человека (Роспотребнадзор)
Автор, ответственный за переписку.
Email: katim2003@mail.ru
ORCID iD: 0000-0001-6474-3696
Найденова Екатерина Владимировна, канд. биол. наук, ведущий научный сотрудник лаборатории вирусологии отдела диагностики инфекционных болезней
410005, Саратов, Россия
РоссияМ. Ю. Карташов
ФБУН Государственный научный центр вирусологии и биотехнологии «Вектор» Федеральной службы по надзору в сфере защиты прав потребителей и благополучия человека (Роспотребнадзор)
ORCID iD: 0000-0002-7857-6822
630559, Новосибирская область, Кольцово, Россия
РоссияК. С. Захаров
ФКУЗ Российский научно-исследовательский противочумный институт «Микроб» Федеральной службы по надзору в сфере защиты прав потребителей и благополучия человека (Роспотребнадзор)
ORCID iD: 0000-0002-4726-309X
410005, Саратов, Россия
РоссияА. П. Шевцова
ФКУЗ Российский научно-исследовательский противочумный институт «Микроб» Федеральной службы по надзору в сфере защиты прав потребителей и благополучия человека (Роспотребнадзор)
ORCID iD: 0000-0001-9600-3801
410005, Саратов, Россия
РоссияМ. Г. Диалло
Региональный Университет Киндиа
ORCID iD: 0000-0003-4507-4575
Киндиа, Гвинейская Республика
ГвинеяИ. Нурдин
Исследовательский институт прикладной биологии Гвинеи
ORCID iD: 0000-0002-2970-9676
Киндиа, Гвинейская Республика
ГвинеяМ. Б. Ба
Исследовательский институт прикладной биологии Гвинеи
ORCID iD: 0000-0002-4565-269X
Киндиа, Гвинейская Республика
РоссияС. Бумбали
Исследовательский институт прикладной биологии Гвинеи
ORCID iD: 0000-0002-4506-6033
Киндиа, Гвинейская Республика
ГвинеяС. А. Щербакова
ФКУЗ Российский научно-исследовательский противочумный институт «Микроб» Федеральной службы по надзору в сфере защиты прав потребителей и благополучия человека (Роспотребнадзор)
ORCID iD: 0000-0003-1143-4069
410005, Саратов, Россия
РоссияВ. В. Кутырев
ФКУЗ Российский научно-исследовательский противочумный институт «Микроб» Федеральной службы по надзору в сфере защиты прав потребителей и благополучия человека (Роспотребнадзор)
ORCID iD: 0000-0003-3788-3452
410005, Саратов, Россия
РоссияСписок литературы
- ВОЗ. Болезнь, вызванная вирусом Эбола. Available at: http://www.who.int/mediacentre/factsheets/fs103/ru/ (accessed October 4, 2021).
- Park S.E., Pak G.D., Aaby P., Adu-Sarkodie Y., Ali M., Aseffa A., et al. The relationship between invasive nontyphoidal Salmonella disease, other bacterial bloodstream infections, and Malaria in Sub-Saharan Africa. Clin. Infect. Dis. 2016; 62(Suppl. 1): S.23–31. https://doi.org/10.1093/cid/civ893
- Schoepp R.J., Rossi C.A., Khan S.H., Goba A., Fair J.N. Undiagnosed acute viral febrile illnesses, Sierra Leone. Emerg. Infect. Dis. 2014; 20(7): 1176–82. https://doi.org/10.3201/eid2007.131265
- Jentes E.S., Robinson J., Johnson B.W., Conde I., Sakouvougui Y., Iverson J., et al. Acute arboviral infections in Guinea, West Africa, 2006. Am. J. Trop. Med. Hyg. 2010; 83(2): 388–94. https://doi.org/10.4269/ajtmh.2010.09-0688
- Countrymeters. Население Гвинеи. Available at: https://countrymeters.info/ru/guinea (accessed October 4, 2021).
- Черч Гаррисон Р.Д. Западная Африка. Природная среда и ее хозяйственное использование. М.: Изд-во иностр. лит.; 1959.
- Бутенко А.М. Изучение циркуляции арбовирусов в Гвинейской Республике. Медицинская паразитология и паразитарные болезни. 1996; 2: 40–5.
- Константинов О.К., Диалло С.М., Инапоги А.П., Ба А., Камара С.К. Млекопитающие Гвинеи как резервуары и носители арбовирусов. Медицинская паразитология и паразитарные болезни. 2006; (1): 34–9.
- Титенко А.М. Факторы, способствующие появлению и обнаружению новых вирусных инфекций. Эпидемиология и инфекционные болезни. 2004; (1): 51–5.
- Найденова Е.В., Пьянков С.А., Крицкий А.А., Касьян Ж.А., Раздорский А.С., Лопатин А.А., и др. Выявление специфических антител к арбовирусам в сыворотках крови людей, проживающих в провинции Киндиа, Гвинейская Республика. Проблемы особо опасных инфекций. 2016; (3): 62–5. https://doi.org/10.21055/0370-1069-2016-3-62-65
- Naidenova E.V., Zakharov K.S., Agafonov D.A., Senichkina A.M., Shcherbakova S.A., Kutyrev V.V., et al. Prevalence of Crimean-Congo hemorrhagic fever virus in rural areas of Guinea. Ticks Tick Borne Dis. 2020; 11(5): 101475. https://doi.org/10.1016/j.ttbdis.2020.101475
- Найденова Е.В., Лопатин А.А., Сафронов В.А., Коломоец Е.В., Левковский А.Е., Силла А.Л., и др. Обеспечение биологической безопасности при проведении противоэпидемических мероприятий в период ликвидации эпидемии лихорадки Эбола в Гвинейской Республике. Инфекционные болезни: новости, мнения, обучение. 2018; 7(3): 102–8. https://doi.org/10.24411/2305-3496-2018-13015
- PEDro. Confidence interval calculator. Available at: https://pedro.org.au/english/resources/confidence-interval-calculator (accessed October 4, 2021).
Дополнительные файлы


