Bimetallic PdCu/C and PdCu/C-N Alloy Catalysts for 5-Hydroxymethylfurfural Hydration
- Autores: Timofeev K.L.1, Morilov D.P.1, Goncharova D.A.1, Svetlichny V.A.1, Vodyankina O.V.1, Kharlamova T.S.1
-
Afiliações:
- National Research Tomsk State University
- Edição: Volume 65, Nº 4 (2024)
- Páginas: 474-484
- Seção: ARTICLES
- URL: https://bakhtiniada.ru/0453-8811/article/view/279298
- DOI: https://doi.org/10.31857/S0453881124040081
- EDN: https://elibrary.ru/RHOHXU
- ID: 279298
Citar
Texto integral
Resumo
The catalytic properties of monometallic and bimetallic xPd(100–x)Cu particles obtained by pulsed laser ablation (PLA) in ethanol followed by their deposition on a carbon support were studied in cascade reactions of 5-hydroxymethylfurfural reduction. The composition and morphology of the PLA-prepared xPd(100–x)Cu particles were studied by UV–visible spectroscopy and transmission electron microscopy. The supported xPd(100–x)Cu/C and xPd(100–x)Cu/C-N catalysts prepared on their basis were additionally studied by X-ray phase analysis and low-temperature nitrogen adsorption. In this work, the effect of the composition of bimetallic alloy particles and their interaction with N-centers of the modified carbon support on the catalytic properties of the supported PdCu/C and PdCu/C-N catalysts was studied.
Texto integral
Сокращения и обозначения: ГМФ – 5-гидроксиметилфурфурол; ДГМФ – 2,5-дигидроксиметилфуран; ДГМТГФ – 2,5-дигидроксиметилтетрагидрофуран; ДМФ – 2,5-диметилфуран; МФС – 5-метилфурфуриловый спирт; МФ – 5-метилфурфурол; ДМТГФ – 2,5диметилтетрагидрофуран; ТГФ – тетрагидрофуран; ИЛА – импульсная лазерная абляция; ПЭМ – просвечивающая электронная микроскопия; РФА – рентгенофазовый анализ; ЭДВО – электронная дифракция выбранной области; ППР – поверхностный плазмонный резонанс.
ВВЕДЕНИЕ
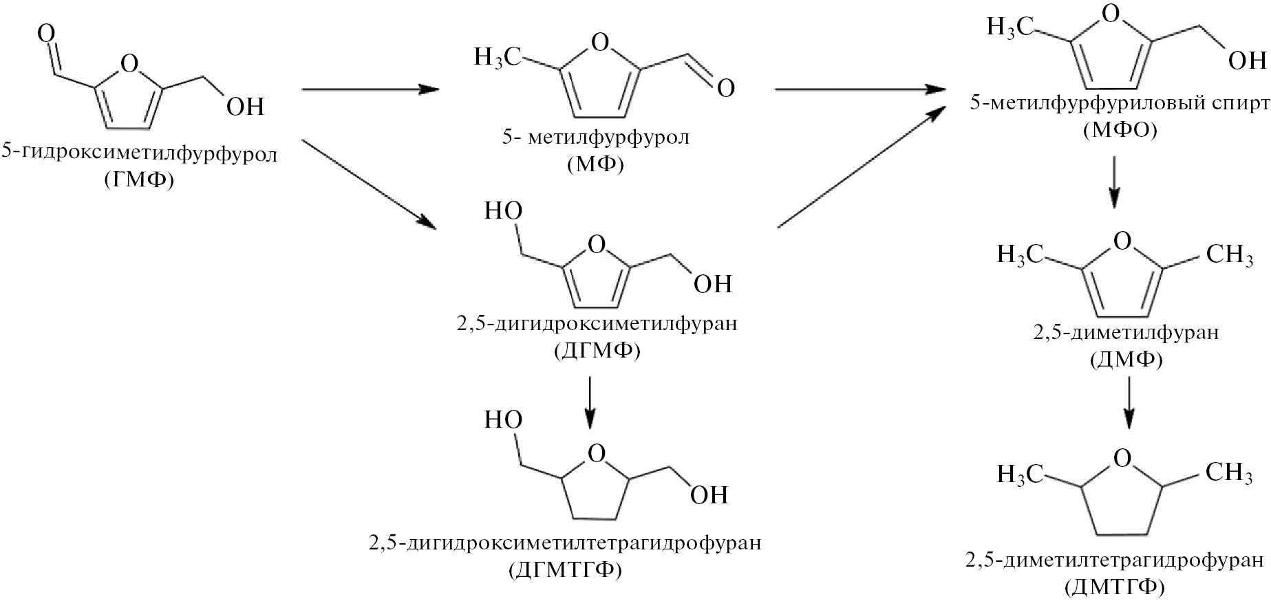
5-гидроксиметилфурфурол (ГМФ) является одним из важнейших базовых химических веществ, получаемых из биомассы [1]. Уникальная структура ГМФ, содержащего одновременно C=C, C=O, C–O, –OH и фурановое кольцо, делает возможным его преобразование путем различных каталитических процессов – окисления, гидрирования и др. – в широкий спектр ценных химических соединений [1–3]. Так, при восстановлении ГМФ образуются 2,5-дигидроксиметилфуран (ДГМФ), используемый в качестве мономера для синтеза полиуретанов и полиэфиров, 2,5-дигидроксиметилтетрагидрофуран (ДГМТГФ), рассматриваемый в качестве экологичного растворителя, и 2,5-диметилфуран (ДМФ) – перспективное биотопливо, а также важный полупродукт в химической промышленности (схема 1). При этом для получения конкретных производных большое значение имеет применение не только активных, но и высокоселективных катализаторов.
Схема 1. Схема гидрирования ГМФ
Биметаллический катализ за последние несколько десятилетий стал эффективным инструментом, создающим возможности для разработки новых катализаторов с повышенной селективностью, активностью и стабильностью по сравнению с исходными монометаллами [4]. Выбор носителя также является важным фактором при конструировании нанесенных металлических катализаторов и может оказывать решающее воздействие на их окончательные свойства [5]. В представленной работе на примере модельных PdCu-, Pd- и Cu-катализаторов, нанесенных на углеродные, в том числе N-допированные, носители, исследовано влияние состава биметаллических сплавных частиц и их взаимодействия с N-центрами углеродного носителя на каталитические свойства нанесенных катализаторов PdCu/С и PdCu/C-N в каскадных реакциях восстановления ГМФ. Для приготовления биметаллических композиций использовали метод импульсной лазерной абляции (ИЛА), который позволяет получать частицы сплава заданного состава с химически чистой поверхностью.
ЭКСПЕРИМЕНТАЛЬНАЯ ЧАСТЬ
Приготовление образцов
Модельные моно- и биметаллические образцы xPd(100–x)Cu/С (x = 0, 28, 36, 50, 62, 83, 100 мас. %) и xPd(100–x)Cu/С-N (x = 62, 83, 100 мас. %) с суммарным содержанием металлов 2 мас. % были приготовлены с применением коллоидов, полученных импульсной лазерной абляцией в этаноле. Соотношение металлов в образцах было выбрано на основании фазовой диаграммы Pd–Cu [6, 7]. В качестве носителей использовали активированный уголь (АУ), полученный из скорлупы кедрового ореха, исходный (C) и модифицированный азотом (C-N).
Дисперсии Pd и Cu готовили ИЛА мишеней Pd и Сu соответственно в этиловом спирте с помощью Nd:YAG-лазера (1064 нм, 20 Гц, 7 нс). Подробное описание установки и методики ИЛА приведено в работе [8]. В качестве мишеней применяли пластины металлического палладия и меди высокой чистоты (99.98%). Непосредственно перед экспериментом медную мишень предварительно обрабатывали алмазной пастой для достижения металлического блеска по всей открытой поверхности, затем промывали ацетоном и ополаскивали этанолом. До и после процесса абляции мишени взвешивали для определения концентрации полученной дисперсии.
Для синтеза биметаллических PdCu-образцов был использован подход, основанный на лазерном сплавлении отдельных Cu- и Pd-частиц в коллоиде. Дисперсии xPd(100–x)Cu (где x и 100–x – содержание соответствующих металлов, мас. %) были приготовлены лазерным облучением смесей дисперсий Pd и Сu. Методика приготовления биметаллических CuPd образцов аналогична таковой для AuPd-образцов [9].
Для модифицирования азотом углеродного носителя исходный АУ сначала обрабатывали в концентрированной азотной кислоте для повышения его гидрофильности, а затем подвергали гидротермальной обработке в растворе мочевины. Согласно литературным данным, подобные методики позволяют ввести до 3 мас. % азота в виде пиррольных, пиридиноподобных и графитоподобных азотных центров [10, 11]. Обработку АУ в кислоте осуществляли в круглодонной колбе с дефлегматором при 100°C в течение 1 ч, после чего АУ промывали водой на фильтре и сушили при 100°C в сушильном шкафу. Обработанный в кислоте АУ диспергировали с помощью ультразвуковой (УЗ) обработки водном раствор мочевины, 1 моль/л, образовавшуюся суспензию помещали в автоклав. Гидротермальную обработку проводили в стальном автоклаве с тефлоновым вкладышем объемом 250 мл в течение 24 ч при 180°C. Полученный углеродный материал отделяли от маточного раствора на фильтре, несколько раз промывали дистиллированной водой до pH 7 и сушили в вакуумном шкафу при 70°C в течение 2 ч.
Нанесенные образцы xPd(100–x)Cu/С и xPd(100–x)Cu/C-N готовили осаждением металлических частиц из приготовленных золей на поверхность углеродного носителя. Для этого навеску носителя диспергировали в золе с помощью УЗ-обработки, затем образовавшуюся суспензию сушили на часовом стекле.
Методы исследования образцов
Свойства исходных металлических частиц, полученных ИЛА в этаноле, изучали методами УФ–видимой спектроскопии, просвечивающей электронной микроскопии (ПЭМ) и электронной дифракции выбранной области (ЭДВО). Приготовленные на их основе нанесенные катализаторы были исследованы комплексом методов, в том числе рентгенофазового анализа (РФА) и низкотемпературной адсорбции азота.
Спектры коллоидов, синтезированных ИЛА, в УФ–видимой области регистрировали с помощью спектрофотометра Cary 100 Scan (“Varian”, Австралия) в кварцевых кюветах в диапазоне 190–900 нм.
Снимки ПЭМ и ЭДВО получали с помощью электронного микроскопа СМ-12 (“Philips”, Нидерланды) при ускоряющем напряжении 120 кВ. Длина камеры была откалибрована с использованием материала золотого стандарта.
Рентгенограммы образцов регистрировали на рентгеновском дифрактометре XRD-7000 (“Shimadzu”, Япония) с монохроматическим CuKα-излучением (1.54 Å) в диапазонах 2θ 10°–80° со скоростью сканирования 0.3°/с и 35°–55° со скоростью сканирования 0.03°/с. Данные были получены с применением геометрии Брэгга–Брентано. Для калибровки дифрактометра внешним стандартом служил кристаллический Si (а = 5.4309 Å, λ = 1.540562 Å). Фазовый состав устанавливали с привлечением базы данных PDF-4 (Release 2021 RDB). Содержание кристаллических фаз, параметры кристаллических ячеек, области когерентного рассеяния (ОКР) определяли с использованием полнопрофильного анализа дифрактограмм в программном пакете PowderCell 2.5.
Текстурные свойства образцов находили из данных низкотемпературной адсорбции азота. Исследования выполняли на газоадсорбционном анализаторе удельной поверхности и пористости 3Flex (“Micromeritics”, США). Удельную поверхность (Sуд) рассчитывали по методу Брунауэра–Эммета–Теллера (БЭТ), суммарный удельный объем пор (V) и распределение пор по размерам определяли для мезопор по методу Барретта–Джойнера–Халенды (BJH), используя десорбционную ветвь изотермы адсорбции–десорбции, для микропор – по методу Ховарта–Ковазое.
Каталитический эксперимент
Каталитические свойства полученных материалов исследовали в реакции восстановления ГМФ водородом. Реакцию проводили в реакторе Parr 4560 (“Parr”, США) при 160°С, 15 атм H2 с применением тетрагидрофурана (ТГФ) в качестве растворителя. Реакционную смесь объемом 25 мл, содержащую 0.05 моль/л ГМФ, 1 × 10-3 моль/л катализатора в расчете на металл и 4 × 10-3 моль/л додекана (внутренний стандарт), загружали в реактор, после чего реактор герметизировали, заполняли водородом, предварительно несколько раз спуская давление, и нагревали под давлением при перемешивании со скоростью 700 об/мин для минимизации эффектов массопереноса. После достижения заданной температуры реакцию проводили в течение 4 ч в случае образцов xPd(100–x)Cu/C и в течение 1 или 4 ч в случае образцов xPd(100–x)Cu/C-N.
Реакционную смесь анализировали методом газовой хроматографии на хроматографе Кристалл 5000.2 (“Хроматэк”, Россия), оснащенного пламенно-ионизационным детектором (ПИД) и капиллярной колонкой ZB-Wax (30 м × 0.32 мкм × 0.5 мкм). В качестве газа-носителя использовали азот, температуру колонки при анализе варьировании от 60 до 240°С, температура испарителя составляла 270°С, температура детектора – 150°С. Объем анализируемой пробы – 1 мкл. Для калибровки детектора применяли эталонные растворы ДГМФ, ДГМТГФ, ДМФ, 5-метилфурфурилового спирта (МФС), 5-метилфурфурола (МФ), 2,5-диметилтетрагидрофурана (ДМТГФ), при этом концентрации соединений определяли по площадям пиков с использованием додекана в качестве внутреннего стандарта. Конверсия (X) ГМФ, селективности (S) по продуктам и баланс по углероду (Б) рассчитывали из полученных концентраций следующим образом:
,
,
,
где C(ГМФ)0 и C(ГМФ) – исходная и текущая концентрации ГМФ, моль/л; C(i) – текущая концентрация i-го продукта, моль/л; i = МФ, МФС, ДГМФ, ДМФ, ДГМТГФ и ДМТГФ.
РЕЗУЛЬТАТЫ И ИХ ОБСУЖДЕНИЕ
Спектры поглощения и снимки ПЭМ коллоидных частиц, полученных ИЛА
На рис. 1 представлены типичные спектры поглощения коллоидов, полученных ИЛА. Спектр коллоида Cu содержит пик поверхностного плазмонного резонанса (ППР) Cu с максимумом на длине волны 593 нм, что свидетельствует о формировании металлических частиц меди в этиловом спирте в ходе ИЛА [8, 12]. В УФ-области спектра наблюдается поглощение, обусловленное рассеянием на коллоидных частицах меди. В спектре коллоида Pd не наблюдается характерных пиков в исследуемом спектральном диапазоне, присутствует только поглощение, обусловленное рассеянием на коллоидных частицах в УФ-области спектра [9].
Рис. 1. Спектры поглощения коллоидов металлов, полученных ИЛА: 1 – коллоид Cu; 2 – коллоид Pd; 3 – смесь коллоидов Cu и Pd с массовым соотношением металлов 1 : 1; 4 –коллоид 50Pd50Cu после лазерной обработки смеси коллоидов
Спектр смеси коллоидов Cu и Pd (в качестве примера представлена смесь с массовым отношением металлов 1 : 1) представляет собой суперпозицию спектров исходных коллоидов, в частности, он содержит пик ППР Cu с максимумом на длине волны 593 нм, интенсивность которого пропорционально уменьшается из-за разбавления при смешении коллоидов. Последующая лазерная обработка смеси индивидуальных коллоидов сопровождается исчезновением ППР Cu в спектрах поглощения для всех дисперсий xPd(100–x)Cu (на рис. 1 для примера показан спектр образца 50Pd50Cu, спектры других образцов имеют аналогичный вид и на рисунке не приведены), что указывает на образование биметаллических частиц сплава PdxCu1–x и/или интерметаллидов CuPd, Cu3Pd.
На рис. 2 представлены типичные снимки ПЭМ коллоидных частиц, образовавшихся при ИЛА в этиловом спирте. Все образцы характеризуются сферической формой частиц, что характерно для частиц благородных металлов, получаемых ИЛА в жидкостях [9, 13, 14], а также частиц меди, формирующихся при ИЛА в этаноле [8, 12]. Размер частиц во всех случаях варьируется в пределах 5–100 нм.
Рис. 2. Типичные снимки ПЭМ коллоидных частиц, полученных ИЛА в этиловом спирте: Cu (а); Pd (б); 50Pd50Cu (в)
Текстурные характеристики носителей и катализаторов
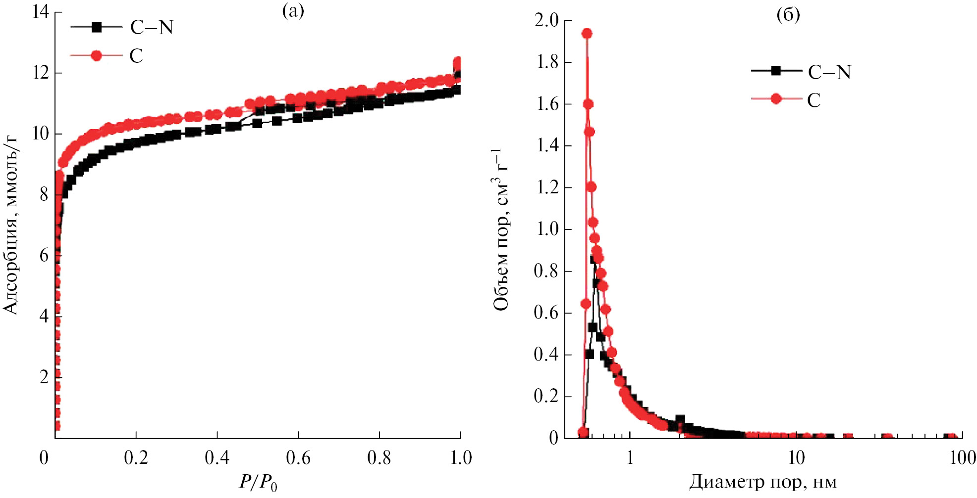
Текстурные характеристики углеродных носителей были исследованы методом низкотемпературной адсорбции азота. Типичные изотермы адсорбции азота и распределения пор по размерам для исходного и модифицированного азотом носителя представлены на рис. 3. Для всех образцов низкотемпературная адсорбция азота описывается изотермой I типа согласно классификации IUPAC [15], характерной для микропористых материалов, имеющих в основном узкие микропоры (шириной <1 нм), что подтверждается распределениями пор по размерам (рис. 3б). Удельная площадь поверхности, рассчитанная по методу БЭТ, для исходного носителя составляет 860 м2/г, в то время как для модифицированных носителей C-N – 820 м2/г.
Рис. 3. Изотермы адсорбции–десорбции (а) и распределение пор по размерам (б) для исходного и модифицированного азотом носителя
Углеродные носители и катализаторы, приготовленные на их основе, имеют аналогичные текстурные характеристики. Это связано с тем, что размер металлических частиц, образующихся при использовании метода ИЛА, заметно превышает размер микропор углеродных носителей. В связи с этим наносимые из суспензии частицы оседают на внешней поверхности частиц углеродного материала.
Рентгенофазовый анализ образцов
На рис. 4 представлены типичные рентгенограммы монометаллических и биметаллических образцов, полученных ИЛА с последующим нанесением на углеродный носитель. Модифицирование углеродного носителя азотом не оказывает влияния на фазовый состав формирующихся при ИЛА металлических частиц. Характеристики образцов по данным РФА представлены в табл. 1.
Рис. 4. Типичные рентгенограммы нанесенных образцов xPd(100–x)Cu/C
Таблица 1. Данные РФА нанесенных на углеродные носители (C, C-N) частиц xPd(100–x)Cu, полученных ИЛА
Образец | Фазовый состав | Относительное содержание | Пространственная группа | a, Å |
Pd/носитель | PdH0.43 PdH0.64 | 90% 10% | Fm-3m (225) Fm-3m (225) | 3.99 4.04 |
83Pd17Cu/носитель | α-фаза Cu0.202Pd0.798H0.34 | 80% 20% | Fm-3m (225) Fm-3m (225) | 3.90 3.95 |
62Pd38Cu/носитель | α-фаза | 100% | Fm-3m (225) | 3.79 |
50Pd50Cu/носитель | α-фаза α-фаза/Cu | 87% 13% | Fm-3m (225) Fm-3m (225) | 3.75 3.63 |
36Pd64Cu/носитель | α-фаза | 100% | Fm-3m (225) | 3.71 |
28Pd72Cu/носитель | α-фаза | 100% | Fm-3m (225) | 3.68 |
Cu/носитель | Cu Cu2O | 70% 30% | Fm-3m (225) Fn-3m (224) | 3.62 4.27 |
Для монометаллических палладиевых образцов установлено образование гидридов палладия PdHx: преимущественно (~90% палладия) PdH0.43 (пространственная группа Fm-3m (225), PDF 68-0101) с небольшой (~10% палладия) примесью PdH0.64 (пространственная группа Fm-3m (225), PDF 84-0300). Появление гидридов палладия при лазерной абляции палладия в этаноле связано с выделением водорода в результате термохимических реакций в этаноле на границе раздела абляционного плазменного факела и жидкости в условиях высоких температур расширяющегося плазменного факела (>3000 K) [16]. При этом палладий может действовать как катализатор этих реакций.
Для монометаллических медных образцов наблюдается образование металлической меди (~70%, пространственная группа Fm-3m (225), PDF 02-1687) с примесью Cu2O (~30%, пространственная группа Fn-3m (224), PDF 01-1701). Формирование как наночастиц (НЧ) Cu с субмонослоем оксида меди(I), так и отдельных НЧ Cu2O характерно при абляции меди в неабсолютном этаноле, содержащем некоторое количество растворенных воды и кислорода [8]. Подробно процессы формирования фазового состава и морфологии частиц при абляции меди в различных жидкостях были описаны нами ранее [8, 12].
В биметаллических образцах происходит преимущественное образование фазы α – твердых растворов Pd1-xCux с гранецентрированной кубической (ГЦК) структурой (пространственная группа Fm-3m (225)). Присутствие фаз интерметаллидов CuPd (β-фаза, структурный тип CsCl, пространственная группа Fm-3m (221)) и Cu3Pd (γ-фаза, структурный тип Cu3Au, пространственная группа Fm-3m (221)) в биметаллических образцах подтверждено не было, что обусловлено неравновесными условиями получения металлических частиц, способствующих формированию метастабильной при обычных условиях α-фазы. В образце 83Pd17Cu/С, наряду с α-фазой, также имеется некоторое количество фазы гидрида меди и палладия Cu0.202Pd0.798H0.34 (пространственная группа Fm-3m (225), PDF 24-7174).
Таким образом, методом ИЛА были приготовлены образцы нанесенных катализаторов xPd(100–x)Cu/С и xPd(100–x)Cu/С-N, отличающиеся составом металлических частиц в них.
Результаты каталитических исследований образцов xPd(100–x)Cu/С
Результаты исследования каталитических свойств для xPd(100–x)Cu/С образцов в восстановлении ГМФ показали, что в ряду x = 0, 28, 36, 50, 62, 83, 100 с увеличением содержания Pd активность катализаторов возрастает (рис. 5). В присутствии образца Cu/С конверсия ГМФ за 4 ч реакции невысокая (<1%, данные на рисунке не приведены), единственным продуктом был МФ. Активность Pd/С на порядок выше – конверсия ГМФ составляет 70%, однако при этом наблюдается образование целого ряда продуктов: ДМФ (S = 35%), ДГМФ (S = 20%), ДГМТГФ (S = 11%), а также примесей МФС, МФ и ДМТГФ (S <5%), и относительно низкий баланс по углероду – 74%, что можно объяснить образованием неидентифицируемых продуктов глубокого гидрирования.
Рис. 5. Каталитические характеристики образцов xPd(100–x)Cu/С. Условия: 160°С, 15 атм H2, 4 ч реакции
В присутствии сплавных катализаторов с низким (≤38 мас. %) содержанием Cu конверсия ГМФ относительно невысокая, но существенно увеличиваются селективность гидрирования ГМФ по ряду производных и баланс по углероду (до 98–100%) по сравнению с Pd/C-образцом. В случае катализатора 83Pd17Cu/C основным продуктом является ДГМФ (S ≈ 70%), селективность по ДМФ не превышает 17%. Для образца 62Pd38Cu/С также наблюдается преимущественное образование ДГМФ с селективностью ~58% и ДМФ с селективностью 24%. Селективность по остальным продуктам – МФ, МФС, ДГМТГФ – в обоих случаях составляет менее 8%.
С увеличением содержания Cu в катализаторе до 50 мас. % и выше, наряду с дальнейшим снижением конверсии, изменяется состав продуктов. Так, в присутствии 50Pd50Cu/C основными продуктами являются ДГМФ (S = 53%) и МФ (S = 22%); селективностью по остальным продуктам ≤10%. В случае образца 36Pd64Cu/C основной продукт реакции – ДМТГФ (S > 64%) c примесью МФ (S = 13%), при этом наблюдается полное отсутствие ДГМФ. Селективность по остальным продуктам составляет ≤10%. В свою очередь, в присутствии катализатора 28Pd72Cu/C снова образуются различные продукты: селективность по МФ составляет 42%, по МФС – 29%, по ДМФ – 19%, по ДГМФ – 10%. Однако баланс по углероду при этом выше 98%, что, учитывая состав продуктов, говорит о менее глубоком гидрировании по сравнению с катализаторами с высоким содержанием палладия.
В целом, полученные для серии образцов xPd(100–x)Cu/С результаты показали, что изменение состава сплавных частиц xPd(100-x)Cu в катализаторе позволяет целенаправленно регулировать селективность гидрирования ГМФ. Анализ состава продуктов с учетом материального баланса по углероду свидетельствует, что на катализаторе Pd/C основным направлением превращения ГМФ является гидрирование по альдегидной группе с образованием ДГМФ, который ввиду высокой гидрирующей способности палладия в результате дальнейшего гидрирования по гидроксильным группам превращается в ДМФ и параллельно в результате гидрирования фуранового кольца – в ДГМТГФ и другие продукты глубокого гидрирования. Добавка к Pd/C меди в количестве до 38 мас. % в биметаллической композиции в расчете на общее содержание двух металлов при сохранении основного маршрута превращения ГМФ через гидрирование по альдегидной группе способствует росту селективности по продуктам мягкого восстановления – ДГМФ и ДМФ. С другой стороны, на катализаторе Cu/C основным направлением превращения ГМФ является гидрирование по гидроксильной группе с образованием МФ; при этом реакция идет очень медленно. Добавка к Cu/C палладия в количестве до 36 мас. % в биметаллической композиции при сохранении основного маршрута превращения ГМФ через гидрирование по гидроксильной группе способствует повышению активности и глубины превращения субстрата, при этом в случае образца 36Pd64Cu/C наблюдаются продукты глубокого восстановления субстрата с участием фуранового кольца – ДМТГФ. Для катализатора 50Pd50Cu/C характерно равновероятное протекание процессов гидрирования по обоим маршрутам.
В то же время, полученные результаты показывают, что добавка меди существенно снижает каталитическую активность xPd(100–x)Cu/С. С целью дальнейшего регулирования каталитических свойств xPd(100–x)Cu-образцов было изучено влияние модифицирования углеродного носителя азотом.
Результаты каталитических исследований образцов xPd(100–x)Cu/C-N
На рис. 6 представлены результаты исследования каталитических свойств образцов xPd(100–x)Cu/C-N c x = 100, 83, 62, 0. Использование в качестве носителя C-N-материалов способствует росту активности xPd(100–x)Cu/C-N катализаторов, а также изменению селективности по основным продуктам, связанному с увеличением глубины превращения ГМФ. Для образца Pd/C-N наблюдается повышение конверсии ГМФ на 12% (до 82%) по сравнению с Pd/C, при этом в качестве основного продукта образуется ДМФ с селективностью 39%, а также примеси ДГМТГФ (S = 7%), ДГМФ (S = 3%), МФС (S = 2%), МФ (S = 2%) и МТГФ (S = 2%). Баланс по углероду составляет всего ~56%, что свидетельствует о большом вкладе процессов глубокого восстановления на катализаторе Pd/C-N. В присутствии образца Cu/C-N конверсия ГМФ за 4 ч реакции увеличивается до 3.5%, при этом в продуктах при 100%-ном балансе по углероду наряду с МФ присутствуют примеси (S = 1–6%) продуктов более глубокого восстановления ГМФ – МФС, ДМФ и ДМТГФ.
Рис. 6. Каталитические характеристики образцов xPd(100–x)Cu/С-N, полученные при проведении реакции в течение 4 (а) и 1 ч (б). Условия: 160°С, 15 атм H2
В случае биметаллических катализаторов 83Pd17Cu/C-N и 62Pd38Cu/C-N использование модифицированного носителя позволяет существенно повысить конверсию ГМФ за 4 ч реакции – до 52–54%; основными продуктами являются МФ и ДМФ, селективности образования которых варьируются в пределах 6–20% в зависимости от количества меди в биметаллической композиции. Однако при этом наблюдается заметное снижение материального баланса по углероду до 20–30%, что свидетельствует о протекании побочных реакций глубокого восстановления.
Для выявления возможности снижения вклада этих процессов время реакции в присутствии образцов Pd/C-N, 83Pd17Cu/C-N и 62Pd38Cu/C-N было уменьшено с 4 до 1 ч (рис. 6б). Согласно полученным результатам, конверсия ГМФ в этом случае составляет ~14% для Pd/C-N, ~12% для 83Pd17Cu/C-N и 9% для 62Pd38Cu/C-N, при этом баланс по углероду для всех образцов выше 95%. В присутствии катализатора Pd/C-N при конверсии ГМФ 14% основными продуктами являются ДГМФ (S = 42.5%), и ДМФ (S = 31%); также в реакционной смеси присутствуют в небольших количествах МФ, МФС и ДГМТГФ. В целом, это согласуется с маршрутом протекания гидрирования ГМФ на палладиевых катализаторах преимущественного по альдегидной группе. В то же время анализ состава продуктов для 83Pd17Cu/C-N и 62Pd38Cu/C-N свидетельствует, что для биметаллических образцов на модифицированном носителе наблюдается изменение основных маршрутов превращения ГМФ даже для композиций с низким содержанием меди по сравнению с аналогичными образцами на немодифицированном носителе. Так, в присутствии 83Pd17Cu/С-N при конверсии ГМФ 12% наблюдается снижение селективности по ДГМФ до 34% и повышение селективности по параллельно образующемуся МФ до 21%; также присутствуют продукты их дальнейших превращений – ДГМТГФ, МФС и ДМФ. В случае образца 62Pd38Cu/С-N при конверсии ГМФ 9% гидрирование протекает с селективностью по МФ 55% и по ДГМФ 42%.
Таким образом, полученные результаты показывают, что модифицирование углеродного носителя азотом позволяет дополнительно регулировать каталитические свойства материалов xPd(100–x)Cu/C-N в каскадных реакциях восстановления ГМФ водородом. Наблюдаемый эффект был связан со взаимодействием азотных центров углеродного носителя с металлическими частицами [17, 18]. Подробное изучение влияния азотных центров в модифицированном углеродном носителе на каталитические свойства материалов xPd(100–x)Cu/C-N в гидрировании ГМФ будет являться предметом дальнейших исследований.
ЗАКЛЮЧЕНИЕ
C использованием коллоидов, полученных ИЛА в этиловом спирте, приготовлены модельные моно- и биметаллические образцы xPd(100–x)Cu/С и xPd(100–x)Cu/С-N с различным соотношением Pd : Cu. С примнением методов УФ–видимой спектроскопии и РФА для биметаллических образцов xPd(100–x)Cu установлено преимущественное образование фазы α – твердых растворов с ГЦК-структурой.
Результаты каталитических исследований серии образцов xPd(100–x)Cu/С показали, что изменение состава сплавных частиц xPd(100–x)Cu в катализаторе позволяет целенаправленно контролировать основные направления протекания реакций, и, следовательно, селективность гидрирования ГМФ по определенным продуктам. Использование модифицированного азотом углеродного материала дает дополнительную возможность для регулирования активности и селективности материалов xPd(100–x)Cu/C-N.
ФИНАНСИРОВАНИЕ
Исследование выполнено за счет гранта Российского научного фонда № 23-23-00173, https://rscf.ru/project/23-23-00173/.
КОНФЛИКТ ИНТЕРЕСОВ
Авторы заявляют об отсутствии конфликта интересов, требующего раскрытия в данной статье.
Sobre autores
K. Timofeev
National Research Tomsk State University
Email: vodyankina_o@mail.ru
Rússia, Tomsk
D. Morilov
National Research Tomsk State University
Email: vodyankina_o@mail.ru
Rússia, Tomsk
D. Goncharova
National Research Tomsk State University
Email: vodyankina_o@mail.ru
Rússia, Tomsk
V. Svetlichny
National Research Tomsk State University
Email: vodyankina_o@mail.ru
Rússia, Tomsk
O. Vodyankina
National Research Tomsk State University
Autor responsável pela correspondência
Email: vodyankina_o@mail.ru
Rússia, Tomsk
T. Kharlamova
National Research Tomsk State University
Email: kharlamova83@gmail.com
Rússia, Tomsk
Bibliografia
- Кашпарова В.П., Чернышева Д.В., Клушин В.А., Андреева В.Е., Кравченко О.А., Смирнова Н.В. Фурановые мономеры и полимеры из возобновляемого растительного сырья // Успехи химии 2021. T. 90. № 6. С. 750. https://doi.org/10.1070/RCR5018
- Gao Y., Ge L., Xu H., Davey K., Zheng Y., Qiao S. Electrocatalytic Refinery of Biomass-Based 5-Hydroxymethylfurfural to Fine Chemicals // ACS Catal. 2023. V. 13. № 17. Р. 11204. https://doi.org/10.1021/acscatal.3c02272
- Тимофеев К.Л., Морилов Д.П., Харламова Т.С. Окисление 5-гидроксиметилфурфурола на нанесенных палладиевых катализаторах // Кинетика и катализ. 2023. Т. 64. № 4. С. 437.
- Jiang H.L., Xu Q. Recent Progress in Synergistic Catalysis over Heterometallic Nanoparticles // J. Mater. Chem. 2011. V. 21. P. 13705.
- Suboch A.N., Podyacheva O.Y. Pd Catalysts Supported on Bamboo-Like Nitrogen-Doped Carbon Nanotubes for Hydrogen Production // Energies. 2021. V. 14. № 5. P. 1501.
- Al-Mufachi N.A., Nayebossadri S., Speight J.D., Bujalski W., Steinberger-Wilckens R., Book D. Effects of Thin Film Pd Deposition on the Hydrogen Permeability of Pd60Cu40 wt% Alloy Membranes // J. Membr. Sci. 2015. V. 493. P. 580. https://doi.org/10.1016/j.memsci.2015.07.015
- Федоров П.П., Шубин Ю.В., Чернова Е.В. Фазовая диаграмма системы медь-палладий // Журнал неорганической химии. 2021. T. 66. № 6. https://doi.org/10.31857/S0044457X21050056
- Goncharova D.A., Kharlamova T.S., Lapin I.N., Svetlichnyi V.A. Chemical and Morphological Evolution of Copper Nanoparticles Obtained by Pulsed Laser Ablation in Liquid // J. Phys. Chem. C. 2019. V. 123. № 35. Р. 21731. https://doi.org/10.1021/acs.jpcc.9b03958
- Timofeev K.L., Kharlamova T.S., Ezhov D.M., Salaev M.A., Svetlichnyi V.A., Vodyankina O.V. Hydroxymethylfurfural Oxidation over Unsupported Pd-Au Alloy Catalysts Prepared by Pulsed Laser Ablation: Synergistic and Compositional Effects // Appl. Catal. A: Gen. 2023. V. 656. P. 119121. https://doi.org/10.1016/j.apcata.2023.119121
- Xia J., Fu Y., He G., Sun X., Wang X. Cost-effective Nitrogen-doped Carbon Black Supported PdCu Alloy Nanocatalyst for Green Suzuki-Miyaura Reactions under Mild Conditions // Mater. Chem. Phys. 2018. V. 209. P. 86. https://doi.org/10.1016/j.matchemphys.2018.01.066
- Yao C., Wang M., Jiang W., Chen Y. Study on a Novel N-doped Mesoporous Carbon for the Efficient Removal of Methylene Blue from Aqueous Solution // Environ. Eng. Res. 2021. V. 26. № 5. P. 200339. https://doi.org/10.4491/eer.2020.339
- Goncharova D.A., Kharlamova T.S., Reutova O.А., Svetlichnyi V.A. Water–Ethanol Cuox Nanoparticle Colloids Prepared by Laser Ablation: Colloid Stability and Catalytic Properties in Nitrophenol Hydrogenation // Colloids Surf. A: Physicochem. Eng. Asp. 2021. V. 613. P. 126115. https://doi.org/10.1016/j.colsurfa.2020.126115
- Zhang J., Claverie J., Chaker M., Ma D. Colloidal Metal Nanoparticles Prepared by Laser Ablation and Their Applications // ChemPhysChem. 2017. V. 18. P. 986. https://doi.org/10.1002/cphc.201601220
- Zeng H., Du X.-W., Singh S.C., Kulinich S.A., Yang S., He J., Cai W. Nanomaterials via Laser Ablation/Irradiation in Liquid: a Review // Adv. Funct. Mater. 2012. V. 22. P. 1333. https://doi.org/10.1002/adfm.201102295
- Thommes M., Kaneko K., Neimark A., Olivier J., Rodriguez-Reinoso F., Rouquerol J., Sing K. Physisorption of Gases, with Special Reference to the Evaluation of Surface Area and Pore Size Distribution (IUPAC Technical Report) // Pure Appl. Chem. 2015. V. 87. P. 1051. https://doi.org/10.1515/pac-2014-1117
- Semaltianos N.G., Petkov P., Scholz S., Guetaz L. Palladium or Palladium Hydride Nanoparticles Synthesized by Laser Ablation of A Bulk Palladium Target in Liquids // J. Colloid Interf. Sci. 2013. V. 402. P. 307. https://doi.org/10.1016/j.jcis.2013.03.062
- Чесноков В.В., Лисицын А.С., Соболев В.И., Герасимов Е.Ю., Просвирин И.П., Чесалов Ю.А., Чичкань А.С., Подъячева О.Ю. Pt/N-графен в разложении муравьиной кислоты // Кинетика и катализ. 2021. Т. 62. № 4. С. 472.
- Suboch A.N., Podyacheva O.Y. Pd Catalysts Supported on Bamboo-Like Nitrogen-Doped Carbon Nanotubes for Hydrogen Production // Energies. 2021. V. 14. № 5. P. 1501. https://doi.org/10.3390/en14051501
Arquivos suplementares









