Особенности гидрирования CO₂ на MoO₃ /Al₂O₃ и γ-Al₂O₃
- Авторы: Кипнис М.А.1, Самохин П.В.1, Галкин Р.С.1, Волнина Э.А.1, Жиляева Н.А.1
-
Учреждения:
- ФГБУН Институт нефтехимического синтеза им. А. В. Топчиева РАН
- Выпуск: Том 65, № 1 (2024)
- Страницы: 67-77
- Раздел: СТАТЬИ
- URL: https://bakhtiniada.ru/0453-8811/article/view/259677
- DOI: https://doi.org/10.31857/S0453881124010065
- EDN: https://elibrary.ru/GZVSMX
- ID: 259677
Цитировать
Полный текст
Аннотация
Изучены физико-химические и каталитические (гидрирование CO₂) характеристики Mo-содержащих катализаторов. Катализаторы, в состав которых входит 8 и 15 вес. % оксида Mo, приготовлены пропиткой парамолибдатом аммония γ-Al₂O₃ с последующими сушкой и прокалкой при 500°C. Введение оксида Mo уменьшает объем пор носителя и увеличивает их средний размер, что свидетельствует о распределении нанесенного оксида молибдена в порах носителя. По данным рентгенофазового анализа в прокаленном катализаторе практически отсутствует фаза кристаллического MoO₃. Согласно спектрам комбинационного рассеяния, на поверхности катализатора присутствуют кислородсодержащие образования, в которых атомы Mo тетраэдрически и октаэдрически координированы по отношению к атомам кислорода. Нанесенный MoO₃ частично восстанавливается водородом при линейном нагреве начиная с 320°C. Гидрирование CO₂ (газ состава, об. %: 30.7 CO₂, 68 H₂, ост. N2, навеска 0.5 г) изучено в режиме линейного нагрева до 400°C. Основной является обратная реакция паровой конверсии СО. Вклад реакции метанирования в гидрирование CO₂ невелик. Повышение температуры и давления положительно влияет на конверсию CO₂. При увеличении давления с 1 до 5 МПа содержание СО возрастает примерно в два раза. В гидрировании CO₂ заметную активность, хотя и значительно меньшую по сравнению с Mo-содержащими катализаторами, проявляет и γ-Al₂O₃, предварительно прогретый в токе H₂ до 400°C. С повышением давления активность оксида алюминия, как и Mo-содержащих катализаторов, растет.
Полный текст
Сокращения и обозначения: ДСК – дифференциальная сканирующая калориметрия; ДТГ – дифференциальная термогравиметрия; ДТП – детектор по теплопроводности; КР – комбинационное рассеяние; ТГ – термогравиметрия; РФА – рентгенофазовый анализ; БЭТ – метод Брунауэра–Эммета–Теллера (ВЕТ, Brunauer–Emmett–Teller), BJH – метод Баррета–Джойнера–Халенды (Barret–Joyner–Halenda).
ВВЕДЕНИЕ
Повышение уровня углекислого газа в атмосфере Земли и океанах стимулирует исследования по утилизации CO₂. Одно из возможных направлений его переработки – гидрирование с образованием, в зависимости от условий, метанола, диметилового эфира, СО, метана или синтез-газа [1]. В частности, интерес представляет восстановление CO₂ до СО:
CO₂ + H₂ = СО + H₂О. (I)
Реакция (I), называемая обратной реакцией паровой конверсии СО или обратной реакцией водяного газа, может быть использована как для получения СО, так и (после отделения воды) синтез-газа [2, 3]. Переработка CO₂ до синтез-газа важна не только для производства метанола или углеводородов (по методу Фишера–Тропша), но и для проведения тандемных реакций, продуктами которых являются соединения с C–C-связью. Такие реакции протекают в присутствии многофункциональных катализаторов при температурах до 400°C и давлении до 5 МПа [4–6]. Соответственно, известные метанольные катализаторы типа Cu/ZnO/Al₂O₃ [7, 8] для осуществления тандемных реакций при температурах выше 300°C не подходят из-за низкой термической стабильности.
Оксиды металлов, поверхность которых содержит кислородные вакансии, способны активировать молекулы CO₂ [9]. Для конверсии CO₂ в качестве катализаторов или носителей исследован ряд оксидов: IN₂O₃, CeO2, ZnO, ZrO2, TiO2 [9], двойные Mn-Ga-оксиды с промоторами [10]. Каталитическую активность трудновосстановимых оксидов металлов, таких как Al₂O₃, ZnO и MgO, можно улучшить созданием в них кислородных вакансий [9].
Механизм образования и участия кислородных вакансий в гидрировании CO₂ подробно рассмотрен в обзоре [11], где приведены экспериментальные и расчетные данные по гидрированию CO₂ до метанола на катализаторах, содержащих IN₂O₃. На связи In–O происходит гетеролитическая диссоциация H₂. Это приводит к возникновению связей гидрид-иона с In и протона с O. При последующем трансфере гидрид-иона к смежной гидроксильной группе появляется молекула H₂О, после десорбции которой остается кислородная вакансия. В структуре оксида индия возможны разные типы кислородных вакансий. CO₂, адсорбирующийся на определенном типе кислородных вакансий, “залечивает” их, а при дальнейшем взаимодействии с H₂ образует метанол.
Оксиды молибдена, содержащие кислородные вакансии, рассматриваются как катализаторы фотокаталитических реакций [12]. Введение кислородных вакансий улучшает электрохимические характеристики MoO₃ [13]. Для создания кислородных вакансий в MoO₃ может быть использована обработка водородом при 400°C [14]. В то же время данные по поведению оксида молибдена в термокаталитическом гидрировании CO₂ отсутствуют.
Можно полагать [15], что реакция (I) на оксидах металлов протекает по окислительно-восстановительному механизму Марса–ван Кревелена, характерному также для реакций окисления легких алканов [16]. В [17] подчеркивается универсальный характер этого механизма, причем участниками могут выступать такие атомы катализатора, как O, S, Cl, H. При гидрировании CO₂ атомная пара металл–кислород активирует H₂ и далее восстанавливается, а CO₂ диссоциирует до СО на дефектах с уничтожением кислородной вакансии.
Согласно термодинамике, протекание реакции (I) не зависит от давления. Однако тандемные реакции осуществляют, как отмечено выше, при повышенных давлениях. Поэтому интерес представляет изучение влияния давления на поведение оксидов металлов в гидрировании CO₂.
Гидрирование CO₂ на частично восстановленном оксиде цинка, нанесенном пропиткой на оксид алюминия, было исследовано в [18]. На таком катализаторе реакции синтеза метанола и гидрирования CO₂ до СО проводили в диапазоне температуры 300–400°C, давлении 1 и 5 МПа. Методика, использованная в [18], применена в настоящей работе для изучения гидрирования CO₂ в присутствии нанесенного на оксид алюминия оксида молибдена MoO₃, данные о каталитической активности которого в литературе отсутствуют.
ЭКСПЕРИМЕНТАЛЬНАЯ ЧАСТЬ
Синтез MoO₃/Al₂O₃. Носителем служил активный оксид алюминия (ТУ 2163-015-44912618-2003, ЗАО “Промышленные катализаторы”, Рязань, Россия). Нанесенный оксид молибдена MoO₃ получали методом пропитки по водопоглощению при комнатной температуре, используя парамолибдат аммония (производство АО “Ленреактив”, Россия).
Синтезированы образцы с расчетным содержанием оксида молибдена 8 и 15 вес. % (далее обозначены 8Mo и 15Mo). Кроме того, исследовали также механическую смесь 8% MoO₃ с Al₂O₃. Ее готовили из парамолибдата аммония, прокаленного при 500°C в течение 3 ч, и предварительно просушенного при 80°C в течение 3 ч оксида алюминия.
Рентгенофазовый анализ (РФА) проводили с помощью дифрактометра Rotaflex RU-200 (“Rigaku”, Япония), излучение CuKα. Размер кристаллитов оценивали по уширению пика по формуле Шеррера [19].
Спектры комбинационного рассеяния (рамановская спектроскопия) регистрировали на спектрометре Senterra II (“Bruker”, Германия), оснащенном микроскопом Olympus, CCD-детектором с Пельтье-охлаждением, объективом с 50-кратным увеличением. Съемку спектров вели с использованием лазера с длиной волны возбуждения 532 см⁻¹. Условия записи спектра: время накопления – 10 с, количество повторов – 50, общее время накопления одного спектра – 2000 с. Спектральное разрешение 4 см⁻¹.
Удельную площадь поверхности и пористость определяли на анализаторе ASAP 2020 (“Micromeritics”, США) методом капиллярной адсорбции азота при 77 K. Предварительно образцы выдерживали при температуре 300°C в течение 1 ч для удаления влаги и адсорбированных газов. Вес высушенного образца использовали при дальнейших расчетах с применением программного обеспечения фирмы “Micromeritics”. Удельную площадь поверхности рассчитывали по методу БЭТ (ВЕТ, Brunauer–Emmett–Teller), объем и средний размер пор – по методу BJH (Barret-Joyner-Halenda) по изотерме адсорбции.
Термогравиметрический анализ (ТГА) проводили на синхронном анализаторе TGA/DSC1 (“Mettler Toledo”, США) в режиме линейного нагрева в аргоне. Одновременно фиксировали потерю веса (термогравиметрия (ТГ)), скорость потери веса (дифференциальная термогравиметрия (ДТГ)), скорость изменения тепловых эффектов (дифференциальная сканирующая калориметрия (ДСК)).
Каталитические исследования осуществляли с использованием проточной установки, описанной в [20]. Внутренний диаметр реактора составлял 11 мм, внешний диаметр термопарного канала – 4 мм. В реактор загружали навеску катализатора массой 0.5 г, фракция 0.315–0.63 мм. Температуру в слое катализатора измеряли двумя термопарами (на входе и выходе из слоя, диаметр корпуса термопары – 1 мм), помещёнными в карман из нержавеющей стали (толщина стенки – 0.25 мм). Как показали эксперименты, температура выхода из слоя, независимо от состава газа, в интервале 240–400°C, как правило, превышала температуру входа примерно на 2–4 градуса, что можно отнести к конструктивным особенностям. При анализе полученных данных за температуру катализатора принимали температуру на выходе из слоя.
Газовое сырье в реактор подавали массовым регулятором расхода газа (“Bronkhorst High-Tech B.V.” Нидерланды, измеритель F121M в сборе с регулирующим клапаном F033C). Все линии газовой схемы после регуляторов расхода газа, вплоть до линии отбора пробы для хроматографа, поддерживали при температуре 135°C. Выбор такого значения определяется эксплуатационными характеристиками используемых вентилей. На выходе из горячей зоны в ловушках при 0°C предусмотрена конденсация воды и метанола.
Детектирование воды и CO₂ в газе на выходе из реактора осуществляли на колонке с Порапак T, хроматограф Кристаллюкс 4000 (“Метахром”, Россия), детектор по теплопроводности (ДТП). Кроме того, в осушенном газе на хроматографе с ДТП анализировали H₂, CO, N₂ на колонке с молекулярными ситами 13Х и метан на колонке с полисорбом.
Погрешность определения содержания компонентов была не более 5–7 отн. %, расхода на входе в реактор – 0.5%, осушенного газа на выходе – 1–3 отн. %.
Газовую сырьевую смесь, содержащую H₂, N₂, CO₂, готовили из индивидуальных газов в предварительно вакуумированном баллоне, контролируя давление по показаниям цифрового датчика, поверяемого образцовым манометром. Азот в состав смеси вводили как инерт, на основании материального баланса которого рассчитывали расход конвертированного газа.
Для исследования использовали смесь состава, об. %: 30.7 CO₂, 68 H₂, ост. N₂.
Образец после помещения в реактор прокаливали для удаления адсорбированной влаги в токе 1.0 Нл/ч азота, нагревая до 400°C со скоростью 2 град/мин при атмосферном давлении и выдерживая при этой температуре около 1.5 ч. Затем катализатор охлаждали до 300°C. Далее восстанавливали в токе 1.0 Нл/ч смеси 2.4 об. % H₂/N₂, нагревая до 400°C со скоростью 2 град/мин, и выдерживали около 1 ч при этой температуре. Содержание водорода и воды на выходе из реактора контролировали хроматографически. После охлаждения до 300°C производили замену восстановительной смеси на сырьевой газ. После подъема давления катализатор тестировали, нагревая со скоростью 0.8–0.9 град/мин от 300 до 400°C в токе сырьевой смеси 6 Нл/ч. Тестирование проводили при значениях давления 1 и 5 МПа последовательно с промежуточным охлаждением катализатора до 300°C.
Расчетные величины. Расход конвертированного осушенного газа после реактора (Vвых, Нл/ч) рассчитывали исходя из материального баланса по азоту по формуле:
(1)
где Свх, Свых – концентрации азота в сырьевом и осушенном газах, соответственно, V₀ – расход сырьевого газа на входе в реактор, Нл/ч.
Конверсию CO₂ (ХCO₂,%) находили по формуле:
(2)
где ССН₄ и ССО – концентрации СН₄ и СО в конвертированном осушенном газе, а С₀ – концентрация CO₂ в исходном сырьевом газе.
Производительность по СО (ПСО, Нл/ч) вычисляли по формуле:
(3)
РЕЗУЛЬТАТЫ И ИХ ОБСУЖДЕНИЕ
Таблица 1. Характеристики пористой структуры образцов
Образец | Удельная площадь поверхности, см²/г | Объем пор, см3/г | Средний размер пор, нм | Средний размер частиц, нм |
γ-Al₂O₃ | 172 | 0.65 | 15.3 | 34.9 |
8Mo | 174 | 0.57 | 16.0 | 34.5 |
15Mo | 157 | 0.53 | 17.0 | 38.2 |
Характеризация образцов
Термогравиметрический анализ оксида алюминия показал, что при нагреве до 1000°C потеря веса составила 6.7 вес. %. При этом большая часть (5.3 вес. %) приходится на нагрев до 500°C. Эндотермический пик с минимумом на кривой ДСК отвечает температуре 110°C и связан с удалением адсорбированной воды. При нанесении на оксид алюминия парамолибдата аммония и последующей сушке при 80°C характер термогравиметрических кривых меняется (рис. 1).
Рис. 1. Кривые ТГ, ДСК, ДТГ высушенного при 80°C образца 8Mo.
Потеря веса при нагреве до 500°C составляет 8.2 вес. %: происходит не только удаление адсорбированной воды, но и разложение парамолибдата аммония с выделением из образца воды и аммиака. Соответственно, этим процессам на кривой ДСК отвечает эндопик 134.7°C, а на кривой ДТГ – пики 95.4 и 300°C. Эндопик, начинающийся около 600°C (максимум 720.9°C), свидетельствует о протекании твердофазной реакции взаимодействия оксидов молибдена и алюминия. Потеря веса 1.9 вес. % при температуре выше 800°C связана с известным явлением возгонки кристаллитов MoO₃.
Введение оксида Mo в поры оксида алюминия приводит к уменьшению их объема и, одновременно, к росту их средних размеров (табл. 1). Это говорит о распределении нанесенного оксида молибдена в порах оксида алюминия, прежде всего, в мелких.
Дифрактограммы исследованных образцов представлены на рис. 2.
Рис. 2. Дифрактограммы: γ-Al₂O₃ (1); катализатор 15Mo до (2) и после работы (3); катализатор 8Mo после работы (4); смесь оксидов Mo (8 вес. %) и Al после восстановления (5). На вставке: сравнение участка дифрактограмм 3, 5.
Исходный оксид алюминия соответствует гамма-оксиду алюминия (файл JCPDS-ICDD PDF #79–1558) с размером кристаллитов около 4 нм. Введение пропиткой 15 вес. % оксида Mo практически не меняет фазовый состав (ср. кривые 1 и 2, рис. 2). Помимо пиков γ-Al₂O₃ на дифрактограмме (кривая 2) присутствуют слабые пики MoO₃ (файл JCPDS-ICDD PDF #89–7112). На дифрактограммах отработанных катализаторов (кривые 3 и 4) наблюдаются слабые пики MoO₂ (файл JCPDS-ICDD PDF #73–1249), размер кристаллитов которого составляет ~40 нм. На дифрактограмме механической смеси 8% MoO₃ с Al₂O₃, прошедшей восстановительную обработку в реакторе, помимо пиков γ-Al₂O₃ присутствуют пики хорошо окристаллизованного оксида MoO₃ (кривая 5). Детальное рассмотрение дифрактограммы 5 в районе угла 2θ, равного 26, позволило выявить слабый пик, который может быть отнесен к 100% пику MoO₂ (врезка на рис. 2). Сопоставим дифрактограммы образцов 8Mo, 15Mo (кривые 2–4) и механической смеси оксидов Mo и алюминия (кривая 5). Можно говорить о пренебрежимо малом количестве MoO₃ в хорошо окристаллизованном состоянии в образцах 8Mo, 15Mo после прокалки.
Спектры КР образцов с разным содержанием нанесенного оксида Mo представлены на рис. 3. Там же приведен спектр MoO₃ согласно [21].
Рис. 3. Спектры комбинационного рассеяния прокаленных образцов и MoO₃.
Как следует из рис. 3, в спектре образца 15Mo помимо характерных узких полос MoO₃ присутствует широкая полоса 964 см⁻¹. Кроме того, в области 400–200 см⁻¹ наблюдается уширение полос, характерных для MoO₃. Уменьшение содержания оксида Mo (образец 8Mo) приводит к исчезновению ряда полос, связанных с кристаллическим MoO₃. Это согласуется с данными рентгенографии: как было отмечено выше, доля хорошо окристаллизованного MoO₃ в катализаторе 15Mo незначительна (рис. 2, кривая 2).
По данным ДСК, взаимодействие оксидов Mo и Al начинается при температуре выше 600°C. Соответственно, присутствие в спектре КР катализатора 15Mo полос, характерных для структуры MoO₃, можно трактовать, согласно [22], как проявление колебаний связей О–Mo–О в нескольких сочлененных общими атомами кислорода октаэдрах MoО6. Это образование отсутствует в образце 8Mo. При переходе от спектра КР 15Mo к спектру КР 8Mo происходит, кроме того, сдвиг максимума полосы с 964 до 960 см⁻¹, появляется широкая полоса с максимумом 854 см⁻¹, а в интервале 400–200 см⁻¹ вместо ряда полос видны две широкие полосы. Спектры КР нанесенного на γ-Al2О3 оксида Mo (4, 8, 12 вес. %) были проанализированы в [23]. Отмечалось, что с ростом содержания оксида молибдена максимум основной полосы спектра КР сдвигается, проходя, соответственно, положения 957, 965, 970 см⁻¹. Это же наблюдается и в настоящей работе.
Рамановские спектры нанесенного на оксид Al оксида MoO₃ (1–20 вес. %, нанесение пропиткой из парамолибдата аммония, прокаливание при 500°C) представлены в [24]. С учетом трактовки, сделанной авторами, полосы 964, 960, 854, 339, 242, 218 см⁻¹ в спектрах образцов 15Mo и 8Mo могут быть связаны с различными колебаниями атомов молибдена в поверхностных кислородсодержащих образованиях. В таких образованиях атомы Mo тетраэдрически и октаэдрически координированы по отношению к атомам кислорода. Оксид алюминия в приведенной области спектра КР инертен.
Активация MoO₃ /Al₂O₃ и γ-Al₂O₃
Восстановление оксида молибдена в катализаторах 15Mo, 8Mo, судя по поглощению H₂ и выделению воды, начинается около 320°C и протекает с максимальной интенсивностью при достижении 400°C. Количество поглощенного водорода соответствует степени восстановления введенного MoO₃ 7.8 и 5.5% для образцов 15Mo и 8Mo, соответственно. В случае оксида алюминия потеря веса при прокаливании в азоте до 400°C составляет 7.3 вес. %, что близко к данным, полученным при термогравиметрии. При его последующем нагреве в восстановительной смеси с 300 до 400°C наблюдается незначительное дополнительное выделение воды, что свидетельствует о некотором восстановлении поверхности.
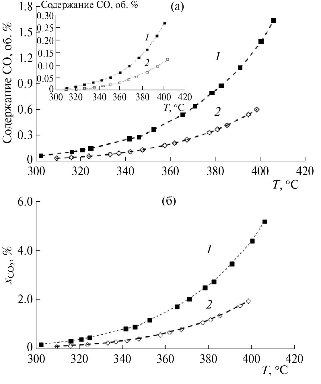
Рис. 4. Гидрирование CO₂ на катализаторе 8% MoO₃/Al₂O₃: содержание СО (а) и СН4 (б) и конверсия CO₂ (в) при давлении 5 (1) и 1 МПа (2).
Мы полагаем, что восстановление нанесенного оксида молибдена приводит к возникновению в нем кислородных вакансий. Это согласуется с литературными данными. Так, в [25] MoO₃ восстанавливали водородом до MoO2–x при 550°C. Образовавшиеся кислородные вакансии адсорбировали CO₂ и способствовали под действием УФ-излучения появлению в водной среде CO.
Каталитические исследования
Результаты гидрирования CO₂ на образце 8Mo представлены на рис. 4.
Гидрирование CO₂ приводит к образованию СО (рис. 4а), воды и небольшого количества метана (рис. 4б). Соответственно, можно говорить о том, что наряду с реакцией (I) протекает реакция метанирования оксидов углерода. Однако синтез СО, судя по соотношению концентраций СО и СН4, является основной реакцией. Так, при максимальных значениях температуры и давления содержание СО и СН4 составляет 4.46 и 0.15 об. %, соответственно. Конверсия CO₂ ожидаемо увеличивается с повышением температуры (рис. 4в), достигая 14.6% при 404°C и давлении 5 МПа. При этом рост давления влияет не только на метанирование, но и на образование СО. Так, изменение давление от 1 до 5 МПа приводит к возрастанию выхода СО примерно в два раза. Аналогичные результаты получены и для образца 15Mo: при максимальных значениях температуры и давления содержание СО и СН4 составляет 6 и 0.16 об. %, а конверсия CO₂–19.6%.
В [26] приведены данные по термодинамике паровой конверсии СО. Используя их, мы оценили, что в нашем случае реакция гидрирования CO₂ до СО далека от равновесия, хотя с повышением температуры приближение к нему возрастает. Отношение соответствующей функции концентраций компонентов реакционной смеси к константе равновесия максимально при температуре 400°C, давлении 5МПа и составляет ~0.1 и ~0.15 для образцов 8Mo и 15Mo, соответственно.
В гидрировании CO₂ заметную активность проявляет носитель γ-Al₂O₃ (рис. 5), хотя она и значительно ниже по сравнению с таковой для молибденсодержащих катализаторов. В присутствии γ-Al₂O₃ конверсия также растет с повышением давления. В отличие от молибденсодержащих катализаторов, оксид алюминия практически не активен в метанировании.
Полученные данные об активности γ-Al₂O₃ в гидрировании CO₂ находятся в соответствии с результатами [27], согласно которым на γ-Al₂O₃ после предварительного вакуумирования при 500°C уже при комнатной температуре зафиксирована гетеролитическая диссоциация H₂. При гидрировании CO₂ на оксидах металлов это одна из элементарных стадий реакции [11]. Участие кислородных вакансий оксида алюминия в гидрировании CO₂ на катализаторе Pt/пленка Al₂O₃ предполагается в [28]. В нашем случае, по-видимому, впервые наблюдается гидрирование CO₂ до СО на предварительно обработанном водородом γ-Al₂O₃.
Рис. 5. Гидрирование CO₂ на γ-Al₂O₃: содержание СО (а) и конверсия CO₂ (б) при давлении 5 (1) и 1 МПа (2). На врезке: содержание СО при гидрировании CO₂ в пустом реакторе.
Как показал холостой эксперимент (пустой реактор), на стенках реактора протекает реакция образования СО (врезка на рис. 5а), чувствительная к давлению. Содержание метана в холостом эксперименте, как и в случае загрузки оксида алюминия, было несущественным – около 0.01 об. % при давлении 5 МПа и температуре 400°C.
В [29] на катализаторах Au/ZrO2 и Au/TiO2 было изучено гидрирование CO₂ при давлении 0.3 и 2 МПа в температурном диапазоне 250–350°C. Катализаторы предварительно восстанавливали при 300°C в токе смеси 50% H₂/N₂. При незначительной селективности образования метана и метанола отмечено положительное влияние давления на конверсию CO₂. Авторы предположили, что причиной является повышение концентрации углеродсодержащих интермедиатов на поверхности катализатора. По нашему мнению, эффект связан с зависимостью от давления одной из элементарных стадий реакции, а именно взаимодействия CO₂ с кислородными вакансиями.
Экспериментальные данные о температурной зависимости производительности СО линеаризуются в аррениусовских координатах (рис. 6).
Рис. 6. Аррениусовские зависимости производительности синтеза СО в гидрировании CO₂ на катализаторах 8Mo (а) и γ-Al₂O₃ (б) при давлении 5 (1) и 1 МПа (2).
Кажущаяся энергия активации составляет 92 и 82 кДж/моль для катализатора 8Mo и 109 и 102 кДж/моль для оксида Al при давлении 1 и 5 МПа, соответственно.
Можно также оценить влияние давления на производительность синтеза СО. Расчеты показывают, что соотношение значений производительности, полученных при давлениях 5 и 1 МПа, линейно зависит от температуры как для нанесенного оксида Mo, так и для оксида алюминия (рис. 7). Повышение температуры от 300 до 400°C приводит к уменьшению этого соотношения.
Рис. 7. Влияние давления и температуры на производительность синтеза СО в гидрировании CO₂ в присутствии катализаторов γ-Al₂O₃ (1) и 8Mo (2).
Возможности практического использования результатов
Реакция гидрирования CO₂ активно исследуется в последнее время в связи с ужесточением требований к выбросам углекислого газа в окружающую среду. Одно из возможных направлений преобразования CO₂ – восстановление до оксида углерода. В работе [2] был предложен двухстадийный каталитический процесс гидрирования CO₂ с метанолом в качестве конечного продукта (процесс CAMERE). На первом этапе при давлении 1 МПа и температуре 500°C часть CO₂ переводится в СО. После отделения воды образовавшийся синтез-газ направляется на получение метанола при давлении 3 МПа, температуре 250°C. Для обеих стадий, каждая из которых работает в проточно-циркуляционном варианте, предлагаются медьсодержащие катализаторы.
Эффективность двухступенчатого процесса гидрирования CO₂ по сравнению с одноступенчатым подтверждена в [30] на медьсодержащих катализаторах при атмосферном давлении в проточном варианте. Температуру на первой ступени предлагалось поддерживать до 350°C, на второй – до 230°C.
Впервые полученные нами данные о каталитическом поведении MoO₃ в гидрировании CO₂ позволяют усовершенствовать последовательную схему синтеза метанола. Применение для синтеза СО катализатора на основе оксида Mo имеет ряд преимуществ. На медьсодержащих катализаторах при гидрировании CO₂ даже при пониженном давлении помимо СО образуется метанол. Соответственно, повышение давления для них нежелательно. При использовании молибденсодержащего катализатора, как следует из наших данных, рост давления благоприятен для синтеза СО. Это позволяет поддерживать одно и то же высокое давление в обоих реакторах. При этом положительным моментом является отсутствие метанола в образующейся на первой стадии воде. Следовательно, снижаются расходы на ее очистку.
Соотношение H₂ /CO₂ в исходном газе для такого процесса синтеза метанола может быть оптимизировано с учетом технико-экономических показателей.
ЗАКЛЮЧЕНИЕ
В гидрировании CO₂ впервые исследованы свойства, как Mo-содержащих катализаторов, синтезированных пропиткой парамолибдатом аммония γ-Al₂O₃, так и оксида алюминия. Согласно рентгенографическим данным, при содержании оксида Mo не более 15 вес. % в катализаторе после прокаливания при 500°C практически отсутствует кристаллический MoO₃. По результатам спектроскопии комбинационного рассеяния при содержании оксида Mo 8 вес. % в катализаторе не обнаруживаются структуры, характерные для MoO₃.
Гидрирование CO₂ (сырьевой газ состава, об. %: 30.7 CO₂, 68 H₂, ост. N₂) изучено в режиме линейного нагрева от 300 до 400°C при давлениях 1 и 5 МПа. Предварительно катализаторы восстанавливали в токе 1.0 Нл/ч смеси 2.4 об. % H₂ /N₂ с нагревом до 400°C и выдерживанием около 1 ч при этой температуре. Восстановление нанесенного оксида молибдена начинается около 320°C и протекает с максимальной интенсивностью при достижении 400°C. Количество поглощенного водорода соответствует степени восстановления нанесенного MoO₃ 7.8% и 5.5% для образцов с содержанием MoO₃ 15 и 8 вес. %, соответственно. При гидрировании конверсия CO₂ растет с повышением температуры. При 404°C и давлении 5 МПа конверсия CO₂ составляет 14.6 и 19.6% для катализаторов (навеска 0.5 г) с содержанием оксида Mo 8 и 15 вес. %, соответственно. Основным продуктом гидрирования CO₂ является СО. Заметную гидрирующую активность, хотя и значительно меньшую по сравнению с Мо-содержащими катализаторами, проявляет и γ-Al₂O₃. Увеличение давления способствует протеканию реакции. Температурные зависимости производительности синтезаCOлинеаризуются в аррениусовских координатах. Кажущаяся энергия активации при значениях давления 1 и 5 МПа составляет 92 и 82 кДж/моль для катализатора 8% MoO₃ /γ-Al₂O₃ и 109 и 102 кДж/моль для γ-Al₂O₃, соответственно. Mo-содержащие катализаторы могут получить практическое применение в двухстадийной схеме гидрирования CO₂ до метанола: использование на первой стадии такого катализатора позволяет работать при повышенном давлении.
ФИНАНСИРОВАНИЕ
Исследование выполнено за счет гранта Российского научного фонда (проект № 17-73-30046).
БЛАГОДАРНОСТИ
Работа выполнена с использованием оборудования ЦКП “Аналитический центр проблем глубокой переработки нефти и нефтехимии” ИНХС РАН и “Новые нефтехимические процессы, полимерные композиты и адгезивы”.
КОНФЛИКТ ИНТЕРЕСОВ
Авторы заявляют об отсутствии конфликта интересов, требующего раскрытия в данной статье.
Об авторах
М. А. Кипнис
ФГБУН Институт нефтехимического синтеза им. А. В. Топчиева РАН
Автор, ответственный за переписку.
Email: kipnis@ips.ac.ru
Россия, Ленинский просп., 29, Москва, 119991
П. В. Самохин
ФГБУН Институт нефтехимического синтеза им. А. В. Топчиева РАН
Email: kipnis@ips.ac.ru
Россия, Ленинский просп., 29, Москва, 119991
Р. С. Галкин
ФГБУН Институт нефтехимического синтеза им. А. В. Топчиева РАН
Email: kipnis@ips.ac.ru
Россия, Ленинский просп., 29, Москва, 119991
Э. А. Волнина
ФГБУН Институт нефтехимического синтеза им. А. В. Топчиева РАН
Email: kipnis@ips.ac.ru
Россия, Ленинский просп., 29, Москва, 119991
Н. А. Жиляева
ФГБУН Институт нефтехимического синтеза им. А. В. Топчиева РАН
Email: kipnis@ips.ac.ru
Россия, Ленинский просп., 29, Москва, 119991
Список литературы
- Leonzio G. // J. CO₂ Util. 2018. V. 27. P. 326.
- Joo O.-S., Jung K.-D., Moon I., Rozovskii A. Ya., Lin G. I., Han S.-H., Uhm S.-J. // Ind. Eng. Chem. Res. 1999. V. 38. P. 1808.
- Vibhatavata P., Borgard J.-M., Tabarant M., Bianchi D., Mansilla C. // Int. J. Hydrogen Energy. 2013. V. 38. P. 6397.
- Martín N., Cirujano F. G. // J. CO₂ Util. 2022. V. 65. P. 102176.
- Zhou W., Kang J., Cheng K., He S., Shi J., Zhou C., Zhang Q., Chen J., Peng L., Chen M., Wang Y. // Angew. Chem. Int. Ed. 2018. V. 57. P. 12012.
- Li Z., Wang J., Qu Y., Liu H., Tang C., Miao S., Feng Z., An H., Li C. // ACS Catal. 2017. V. 7. P. 8544.
- Busca G. Heterogeneous catalytic materials. Solid state chemistry, surface chemistry and catalytic behavior. Ch. 9. Elsevier B. V., 2014. 463 p.
- Kunkes E., Behrens M. Methanol Chemistry / In: Chemical Energy Storage, Ed. Schlögl R. Berlin: De Gruyter Textbook, 2013. P. 413.
- Etim U. J., Zhang C., Zhong Z. // Nanomaterials. 2021. V. 11. P. 3265.
- Meng F., Yang G., Li B., Li Z. // Appl. Catal. A: Gen. 2022. V. 646. P. 118884.
- Wang J., Zhang G., Zhu J., Zhang X., Ding F., Zhang A., Guo X., Song C. // ACS Catal. 2021. V. 11. P. 1406.
- Li Y., Chen X., Zhang M., Zhu Y., Ren W., Mei Z., Gu M., Pan F. // Catal. Sci. Technol. 2019. V. 9. P. 803.
- Kim H.-S., Cook J. B., Lin H., Ko J. S., Tolbert S. H., Ozolins V., Dunn B. // Nature Mater. 2017. V. 16. P. 454.
- Noby S. Z., Fakharuddin A., Schupp S., Sultan M., Krumova M., Drescher M., Azarkh M., Boldt K., Schmidt-Mende L. // Mater. Adv. 2022. V. 3. P. 3571.
- Zhu M., Tian P., Ford M. E., Chen J., Xu J., Han Y.-F., Wachs I. E. // ACS Catal. 2020. V. 10. P. 7857.
- Синев М. Ю. // Кинетика и катализ. 2019. Т. 60. № 4. С. 450.
- Doornkamp C., Ponec V. // J. Mol. Catal. A. Chem. 2000. V. 162. P. 19.
- Кипнис М. А., Самохин П. В., Волнина Э. А., Магомедова М. В., Туркова Т. В. // Кинетика и катализ. 2022. Т. 63. № 3. С. 351. (Kipnis M. A., Samokhin P. V., Volnina E. A., Magomedova M. V., Turkova T. V. // Kinet. Catal. 2022. V. 63. № 3. Р. 292.)
- Гинье А. Рентгенография кристаллов. Теория и практика. Под ред. акад. Белова Н. В. Москва: Физматгиз, 1961. 604 с. (Guinier, A., Theorie et Technique de la Radiocristallographie. Paris: Dunod, 1956.)
- Кипнис М. А., Самохин П. В., Белостоцкий И. А., Туркова Т. В. // Катализ в промышленности. 2017. Т. 17. С. 442. (Kipnis M. A., Samokhin P. V., Belostotskii I. A., Turkova T. V. // Catal. Indust. 2018. V. 10. № 2. Р. 97.)
- https://ramanlife.com/library. Обращение 17.02.2023.
- Seguin L., Figlarz M., Cavagnat R., Lassègues J.-C. // Spectrochim. Acta. Part A. 1995. V. 51. Р. 1323.
- Knözinger H., Jeziorowski H. // J. Phys. Chem. 1978. V. 82. № 18. Р. 2002.
- Hu H., Wachs I. E., Bare S. R. // J. Phys. Chem. 1995. V. 99. № 27. Р. 10897.
- Liu X., Yang L., Huang M., Li Q., Zhao L., Sang Y., Zhang X., Zhao Z., Liu H., Zhou W. // Appl. Catal. B: Environ. 2022. V. 319. P. 121887.
- Catalyst handbook. Ed. M. Twigg. Wolfe Publishing Ltd., 1989. 575 p.
- Joubert J., Salameh A., Krakoviack V., Delbecq F., Sautet P., Copéret C., Basset J. M. // J. Phys. Chem. B. 2006. V. 110. P. 23944.
- Ferri D., Bürgi T., Baiker A. // Phys. Chem. Chem. Phys. 2002. V. 4. P. 2667.
- Rabee A. I.M., Zhao D., Cisneros S., Kreyenschulte C. R., Kondratenko V., Bartling S., Kubis C., Kondratenko E. V., Brückner A., Rabeah J. // Appl. Catal. B: Environ. 2023. V. 321. P. 122083.
- Yang Y.-N., Huang C.-W., Nguyen V.-H., Wu J. C.-S. // Catal. Commun. 2022. V. 162. P. 106373.
Дополнительные файлы










