Кинетика, механизм и реакционная способность интермедиатов церий(IV)-оксалатной реакции в сульфатной среде
- Авторы: Воскресенская О.О.1, Скорик Н.А.2
-
Учреждения:
- Объединенный институт ядерных исследований
- ФГАОУ ВО Национальный исследовательский Томский государственный университет
- Выпуск: Том 64, № 6 (2023)
- Страницы: 697-709
- Раздел: СТАТЬИ
- URL: https://bakhtiniada.ru/0453-8811/article/view/231793
- DOI: https://doi.org/10.31857/S0453881123060205
- EDN: https://elibrary.ru/GHTWMT
- ID: 231793
Цитировать
Полный текст
Аннотация
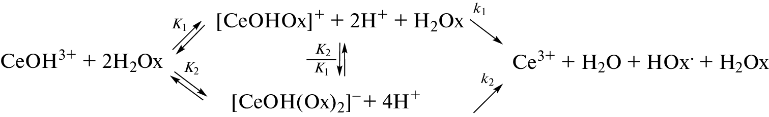
В работе представлен подход для исследования кинетики, механизма и реакционной способности интермедиатов широкого класса окислительно-восстановительных реакций, для которых лимитирующей стадией является редокс-распад промежуточного комплекса. Подход применен к изучению реакции окисления церием(IV) щавелевой кислоты (H2Ox) в сернокислой среде как части автоколебательной реакции Белоусова−Жаботинского (БЖ-реакции), катализируемой ионами церия. С использованием экспериментальной, математической и вычислительной техники, обычно применяемой для исследования комплексов металлов в устойчивом состоянии окисления (СО), кинетически обобщенной авторами на случай комплексов металлов переменной валентности, определены характеристики промежуточных комплексов церий(IV)-оксалатной реакции, дан вывод общего уравнения ее скорости на основе совокупности уравнений, описывающих быстрое установление предравновесий в системе и последующий неравновесный процесс. Предложена количественная модель процесса, включающая два параллельных реакционных пути, для которых идентифицированы и охарактеризованы два различных промежуточных церий(IV)-оксалатных комплекса, обладающие близкой реакционной способностью, которая может быть обусловлена близостью строения их внутренних координационных сфер и внутрисферным механизмом переноса электрона в комплексах. На основе разработанной модели построена диаграмма выходов всех основных форм церия(IV) в условиях БЖ-реакции, которая свидетельствует о необходимости учета образования в этих условиях промежуточных комплексов состава CeOHOx\(_{n}^{{3\, - \,2n}}\) (n = 1, 2) в процессе окисления щавелевой кислоты. Основным отличием представленной модели церий(IV)-оксалатной реакции как части БЖ-реакции от предшествующих моделей является явный учет участия в реакции промежуточных комплексов церия(IV) с анионами щавелевой кислоты и сульфатного фона.
Об авторах
О. О. Воскресенская
Объединенный институт ядерных исследований
Автор, ответственный за переписку.
Email: voskr@jinr.ru
Россия, 141980, Московская область, Дубна, ул. Жолио-Кюри, 6
Н. А. Скорик
ФГАОУ ВО Национальный исследовательский Томский государственный университет
Email: voskr@jinr.ru
Россия, 634050, Томск,
просп. Ленина, 36
Список литературы
- Issa G., Dimitrov M., Ivanova R., Kormunda M., Henych J., Tolasz J., Kovachev D., Tsoncheva T. // Reac. Kinet. Mech. Catal. 2022. V. 135. № 2−3. P. 105.
- Dalanta F., Kusworo T.D. // Chem. Eng. J. 2022. V. 434. Article ID 134687.
- Матышак В.А., Сильченкова О.Н., Ильичев А.Н., Корчак В.Н. // Кинетика и катализ. 2021. Т. 62. № 3. С. 354. (Matyshak V.A., Sil’chenkova O.N., Ilichev A.N., Korchak V.N. // Kinet. Catal. 2021. V. 62. № 3. P. 404.)
- Chen X., Yang H., Au C., Tian S., Xiong Y., Chang Y. // Chem. Eng. J. 2020. V. 390. P. 124480.
- Матус Е.В., Шляхтина А.С., Сухова О.Б., Исмагилов И.З., Ушаков В.А., Яшник С.А., Никитин А.П., Bharali P., Керженцев М.А., Исмагилов З.Р. // Кинетика и катализ. 2019. Т. 60. № 2. С. 245. (Matus E.V., Shlyakhtina A.S., Sukhova O.B., Ismagilov I.Z., Ushakov V.A., Yashnik S.A., Nikitin A.P., Bharali P., Kerzhentsev M.A., Ismagilov Z.R. // Kinet. Catal. 2019. V. 60. № 2. P. 221.)
- Ye B., Chen Z., Li X., Liu J., Wu Q., Yang C., Hu H., Wang R. // Front. Environ. Sci. Eng. 2019. V. 13. № 6.
- Садливская М.В., Михеева Н.Н., Зайковский В.И., Мамонтов Г.В. // Кинетика и катализ. 2019. Т. 60. № 4. С. 464. (Sadlivskaya M.V., Mikheeva N.N., Zaikovskii V.I., Mamontov G.V. // Kinet. Catal. 2019. V. 60. № 4. P. 432.)
- Лопатин С.И., Шугуров С.М., Курапова О.Ю. // Журн. общей химии. 2021. V. 91. № 10. С. 1568. (Lopatin S.I., Shugurov S.M., Kurapova O.Y. // Russ. J. Gen. Chem. 2021. V. 91. № 10. P. 2008.)
- Zhang J., Wenzel M., Schnaars K., Hennersdorf F., Schwedtmann K., Maerz J., Rossberg A., Kaden P., Kraus F., Stumpf T., Weigand J.J. // Dalton Trans. 2021. V. 50. P. 3550.
- Jacobsen J., Wegner L., Reinsch H., Stock N. // Dalton Trans. 2020. V. 49. P. 11396.
- Козлова Т.О., Баранчиков А.Е., Иванов В.К. // Журн. неорган. химии. 2021. Т. 66. № 12. С. 1647. (Kozlova T.O., Baranchikov A.E., Ivanov V.K. // Russ. J. Inorg. Chem. 2021. V. 66. № 12. P. 1761.)
- Čupić Ž., Lente G. // Reac. Kinet. Mech. Catal. 2022. V. 135. № 3. P. 1137.
- Muzika F., Górecki J. // Reac. Kinet. Mech. Catal. 2022. V. 135. № 3. P. 1187.
- Pribus M., Orlik M., Valent I. // Reac. Kinet. Mech. Catal. 2022. V. 135. P. 1211.
- Chern M.S., Watanabe N., Okamoto Y., Umakoshi H. // Membrane. 2021. V. 46. № 4. P. 233.
- Мальфанов И.Л., Ванаг В.К. // Успехи химии. 2021. Т. 90. № 10. С. 1263. (Mallphanov I.L., Vanag V.K. // Russ. Chem. Rev. 2021. V. 90. № 10. P. 1263.)
- Voskresenskaya O.O. / Proc. 2nd Intern. Conf. on Kinetics, Mechanisms and Catalysis, 20−22 May 2021, Budapest, Hungary. P. 122.
- Kasperek G.T., Bruice T.C. // Inorg. Chem. 1971. V. 10. P. 382.
- Zhabotinsky A.M. / In: Oscillations and Traveling Waves in Chemical Systems. Eds. Field R.G., Burger M. New York: Interscience, 1985. P. 379.
- Chern M.S., Faria R.B. // ACS Omega. 2019. V. 4. P. 11581.
- Gao J., Zhang Y., Ren J., Wu Yang W. // J. Mex. Chem. Soc. 2013. V. 57. № 1. P. 25.
- Machado P.B., Faria R.B. // J. Phys. Chem. A. 2010. V. 114. № 10. P. 3742.
- Pereira J.A.M., Faria R.B. // Quim. Nova. 2007. V. 30. № 3. P. 541.
- Rastogi R.P., Prem Chand, Pandey M.K., Das M. // J. Phys. Chem. A. 2005. V. 109. P. 4562.
- Pereira J.A.M., Faria R.B. // J. Braz. Chem. Soc. 2004. 15. P. 976.
- Pelle K., Wittmann M., Lovric K., Noszticzius Z., Turco Liveri M.L., Lombardo R. // J. Phys. Chem. A. 2004. V. 108. P. 7554.
- Hlavačova J., Ševčík P. // Chem. Phys. Lett. 1991. V. 182. P. 588.
- Field R.J., Boyd P.M. // J. Phys. Chem. 1985. V. 89. P. 3707.
- Noszticzius Z., Bodiss J. // J. Am. Chem. Soc. 1979. V. 101. P. 3177.
- Györgyi L., Turányi T., Field R.J. // J. Phys. Chem. A. 1990. V. 94. P. 7162.
- Field R.J., Körös E., Noyes R.M. // J. Am. Chem. Soc. 1972. V. 94. P. 8649.
- Richardson W.H. / In: Organic Chemistry. Ed. A.T. Blomquist. New York, London: Academic Press, 1965. V. 5. Ch. IV. P. 244.
- Sengupta K.K., Aditya S. // Z. Phys. Chem. (NF). 1963. Bd. 38. S. 25.
- Yu Y.-O., Jwo J.-J. // J. Chin. Chem. Soc. 2000. V. 47. P. 433.
- Kvernberg P.O., Hansen E.W., Pedersen B., Rasmussen A., Ruoff P. // J. Phys. Chem. A. 1997. V. 101. P. 2327.
- Tsai R.-F., Jwo J.-J. // Int. J. Chem. Kinet. 2001. V. 33. P. 101.
- Rustici M., Lombardo R., Mangone M., Sbriziolo C., Zambrano V., Turco Liveri M.L. // Faraday Discuss. 2001. V. 120. P. 47.
- Voskresenskaya O. Kinetic and Thermodynamic Stability of Cerium(IV) Complexes with a Series of Aliphatic Organic Compounds. New York: Nova Science Publishers, Inc., 2013. 171 p.
- Dodson V.H., Blach A.Y. // J. Amer. Chem. Soc. 1957. V. 79. P. 1325.
- Van den Berg J.A., Breet E.L.G., Pienaar J.J. // S. Afr. J. Chem. 2000. V. 53. № 2. P. 119.
- Лузан A.A., Яцимирский K.Б. // Журн. неорган. химии. 1968. Т. 13. С. 3216.
- Воскресенская О.О., Скорик Н.А. // Журн. физ. химии. 2015. Т. 89. № 10. С. 1619. (Voskresenskaya O.О., Skorik N.A. // Russ. J. Phys. Chem. A. 2015. V. 89. P. 1821.)
- Соколовская И.П., Малкова В.И. // Сиб. хим. журн. 1992. № 5. С. 51.
- Вахрамова Г.П., Печурова Н.И., Спицын В.И. // Вестн. МГУ. 1974. № 6. С. 682.
- Перминов П.С., Федоров С.T., Maтюхa В.Ф., Милов Б.Б., Крот Н.Н. // Журн. неорган. химии. 1968. Т. 13. С. 651.
- Леванов А.В., Исайкина О.Я., Грязнов Р.А. // Кинетика и катализ. 2022. Т. 63. № 2. С. 207. (Levanov A.V., Isaikina O.Ya., Gryaznov R.A. // Kinet. Catal. 2022. V. 63. № 2. P. 180.)
- Темкин О.Н., Брук Л.Г., Зейгарник А.В. // Кинетика и катализ. 1993. Т. 34. С. 445.
- Skorik N.A., Chernov E.B. Calculations with the Use of Personal Computers in the Chemistry of Complex Compounds. Tomsk: TSU Publisher, 2009. 90 p.
- Binnemans K. / Handbook on the Physics and Chemistry of Rare Earts, V. 36. Ed. Gschneidner K.A. North-Holland: Elsevier, 2006. P. 281.
- Singh R.S., Jha P.N., Prasad R.K. // Proc. Nation. Sci., 1987. V. LVII. № III. P. 272.
- Nazareth J.L. The Newton−Cauchy Framework. A Unified Approach to Unconstrained Nonlinear Minimization. Berlin: Springer-Verlag, 1994. 108 p.
- Neumann B., Steinbock O., Müller S., Dalal Nar S. // J. Phys. Chem. A. 1996. V. 100. P. 12342.
- Voskresenskaya O.O., Skorik N.A. // Russ. J. Phys. Chem. A. 2023. V. 97. № 4. P. 663.
- Casari B.M., Lander V. // Acta Crystallogr. C. 2007. V. 63. № 4. P. i25.
- Vilkov L.V., Pentin Yu.A. Physical Methods of Investigation in Chemistry. Structural Methods and Optical Spectroscopy. Moscow: Vysshaya Shkola, 1987. 367 p.
Дополнительные файлы











