Взаимосвязь активности оксидных катализаторов в реакции разложения озона и O3-каталитическом окислении н-С4Н10
- Авторы: Бокарев Д.А.1, Парамошин И.В.1, Канаев С.А.1, Стахеев А.Ю.1
-
Учреждения:
- ФГБУН Институт органической химии им. Н.Д. Зелинского РАН
- Выпуск: Том 64, № 5 (2023)
- Страницы: 661-664
- Раздел: СТАТЬИ
- URL: https://bakhtiniada.ru/0453-8811/article/view/140955
- DOI: https://doi.org/10.31857/S0453881123050027
- EDN: https://elibrary.ru/MUHVDC
- ID: 140955
Цитировать
Полный текст
Аннотация
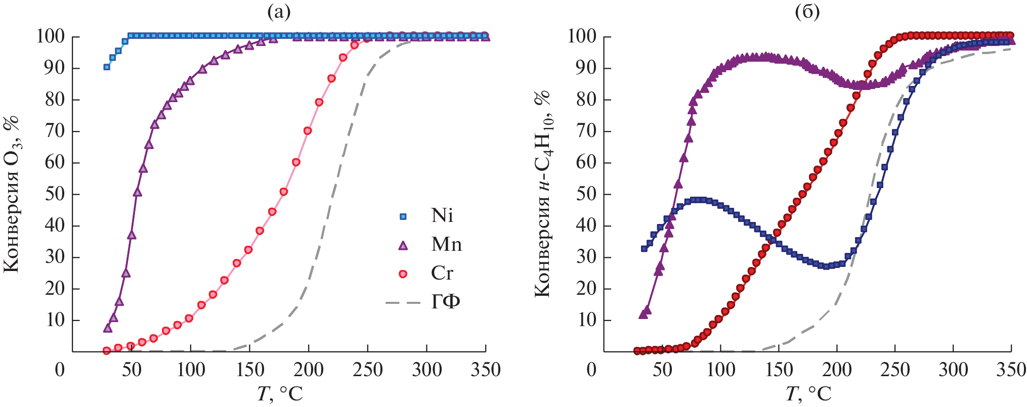
Исследована активность оксидов переходных металлов (V, Cr, Mn, Fe, Co, Ni, Cu, Zn), нанесенных на γ-Al2O3, в реакции разложения озона. Каталитические характеристики образцов, обладающих высокой (NiO/Al2O3), низкой (Cr2O3/Al2O3) и промежуточной (MnOx/Al2O3) активностью в разложении озона, изучены в процессе озон-каталитического окисления (ОЗКО) н‑бутана. Полученные результаты позволяют сделать вывод о том, что ключевое значение в процессе ОЗКО имеет оптимальная активность оксида переходного металла в разложении О3. При низкой скорости разложения озона, окисление углеводорода ограничено скоростью образования атомарного кислорода, в случае слишком высокой – конверсия углеводорода снижается из-за “нецелевого” процесса рекомбинации атомарного кислорода. Наилучшие каталитические характеристики в окислении н‑С4Н10 установлены для катализатора на основе оксида Mn, обладающего оптимальной активностью в разложении О3.
Об авторах
Д. А. Бокарев
ФГБУН Институт органической химии им. Н.Д. Зелинского РАН
Email: st@ioc.ac.ru
Россия, 119991, Москва, Ленинский просп., 47
И. В. Парамошин
ФГБУН Институт органической химии им. Н.Д. Зелинского РАН
Email: st@ioc.ac.ru
Россия, 119991, Москва, Ленинский просп., 47
С. А. Канаев
ФГБУН Институт органической химии им. Н.Д. Зелинского РАН
Email: st@ioc.ac.ru
Россия, 119991, Москва, Ленинский просп., 47
А. Ю. Стахеев
ФГБУН Институт органической химии им. Н.Д. Зелинского РАН
Автор, ответственный за переписку.
Email: st@ioc.ac.ru
Россия, 119991, Москва, Ленинский просп., 47
Список литературы
- Liu B., Ji J., Zhang B., Huang W., Gan Y., Leung D.Y.C., Huang H. // J. Hazard. Mater. 2022. V. 422. P. 126847.
- Mytareva A.I., Mashkovsky I.S., Kanaev S.A., Bokarev D.A., Baeva G.N., Kazakov A.V., Stakheev A.Y. // Catalysts. 2021. V. 11. P. 506.
- Lin F., Wang Z., Zhang Z., He Y., Zhu Y., Shao J., Yuan D., Chen G., Cen K. // Chem. Eng. J. 2020. V. 382. P. 123030.
- Einaga H., Maeda N., Nagai Y. // Catal. Sci. Technol. 2015. V. 5. P. 3147.





