Окисление 5-гидроксиметилфурфурола на нанесенных палладиевых катализаторах
- Авторы: Тимофеев К.Л.1, Морилов Д.П.1, Харламова Т.С.1
-
Учреждения:
- ФГАОУ ВО Национальный исследовательский Томский государственный университет
- Выпуск: Том 64, № 4 (2023)
- Страницы: 437-446
- Раздел: 7-я Международная школа-конференция молодых ученых “Катализ: от науки к промышленности”
- URL: https://bakhtiniada.ru/0453-8811/article/view/137033
- DOI: https://doi.org/10.31857/S0453881123040147
- EDN: https://elibrary.ru/RSFDKW
- ID: 137033
Цитировать
Полный текст
Аннотация
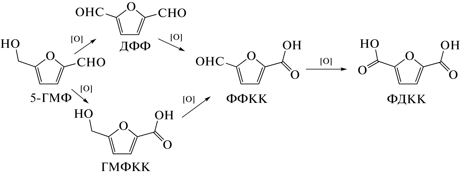
Представлены результаты исследования катализаторов Pd/TiO2 и Pd/ZrO2, приготовленных методом пропитки с использованием разных условий термической обработки, в реакции окисления 5-гидроксиметилфурфорола (5-ГМФ). Катализаторы изучены методами РФА, РФС, низкотемпературной адсорбции азота и импульсной адсорбции СО. Каталитические исследования проводили в мягких условиях окисления 5-ГМФ: при температуре 80°C, давлении кислорода 5 атм и применении NaHCO3 в качестве щелочного агента. Показано, что условия температурной обработки существенно влияют на формирование активного компонента в Pd/TiO2 и Pd/ZrO2 катализаторах, определяя его дисперсность и взаимодействие с носителем и, как следствие, каталитические свойства получаемых материалов.
Об авторах
К. Л. Тимофеев
ФГАОУ ВО Национальный исследовательский Томский государственный университет
Автор, ответственный за переписку.
Email: kvintkl@gmail.com
Россия, 634050, Томск, просп. Ленина, 36
Д. П. Морилов
ФГАОУ ВО Национальный исследовательский Томский государственный университет
Email: kvintkl@gmail.com
Россия, 634050, Томск, просп. Ленина, 36
Т. С. Харламова
ФГАОУ ВО Национальный исследовательский Томский государственный университет
Email: kvintkl@gmail.com
Россия, 634050, Томск, просп. Ленина, 36
Список литературы
- Sheldon R.A. Green and sustainable manufacture of chemicals from biomass: state of the art // Green Chem. 2014. V. 16. P. 950.
- Corma A., Iborra S., Velty A. Chemical routes for the transformation of biomass into chemicals // Chem. Rev. 2007. V. 107. № 6. P. 2411.
- Мироненко Р.М., Бельская О.Б., Лавренов А.В., Лихолобов В.А. Палладий-рутениевый катализатор для селективного гидрирования фурфурола до циклопентанола // Кинетика и катализ. 2018. Т. 59. № 3. С. 347.
- Нуждин А.Л., Симонов П.А., Бухтияров В.И. Восстановительное аминирование 5-гидроксиметилфурфурола посредством гидрирования промежуточных иминов на катализаторах Pt/Al2O3 в проточном реакторе // Кинетика и катализ. 2021. Т. 62. № 4. С. 459.
- Roy Goswami S., Dumont M.-J., Raghavan V. Starch to value added biochemicals // Starch Stärke. 2016. V. 68. P. 274.
- Кашпарова В.П., Чернышева Д.В., Клушин В.А., Андреева В.Е., Кравченко О.А., Смирнова Н.В. Фурановые мономеры и полимеры из возобновляемой растительного сырья // Успехи химии. 2021. Т. 90. № 6. С. 750.
- Gallezot P. Conversion of biomass to selected chemical products // Chem. Soc. Rev. 2012. V. 41. P. 1538.
- Clark H.J., EI Deswarte F., Farmer J. The integration of green chemistry into future biorefineries // Biofuels Bioprod. Biorefin. 2009. V. 3. P. 72.
- Zhang Z., Zhen J., Liu B., Lv K., Deng K. Selective aerobic oxidation of the biomass-derived precursor 5-hydroxymethylfurfural to 2,5-furandicarboxylic acid under mild conditions over a magnetic palladium nanocatalyst // Green Chem. 2015. V. 17. P. 1308.
- Zhao D., Ting S., Wang Y., Varma R.S., Len C. Recent advances in catalytic oxidation of 5-hydroxymethylfurfural // Mol. Catal. 2020. V. 111133. P. 495.
- Sajid M., Zhao X., Liu D. Production of 2,5-furandicarboxylic acid (FDCA) from 5-hydroxymethylfurfural (HMF): recent progress focusing on the chemical-catalytic routes // Green Chem. 2018. V. 20. P. 5427.
- Hameed S., Lin L., Wang A., Luo W. Recent Developments in Metal-Based Catalysts for the Catalytic Aerobic Oxidation of 5-Hydroxymethyl-Furfural to 2,5-Furandicarboxylic Acid // Catalysts. 2020. V. 10. P. 120.
- German D., Pakrieva E., Kolobova E., Carabineiro S.A.C., Stucchi M., Villa A., Prati L., Bogdanchikova N., Cortés Corberán V., Pestryakov A. Oxidation of 5-Hydroxymethylfurfuralon supported Ag, Au, Pd and bimetallic Pd-Au catalysts: effect of the support // Catalysts. 2021. V. 11. P. 115.
- Siyo B., Schneider M., Radnik J.J., Pohl M.-M.M., Langer P., Steinfeldt N. Influence of support on the aerobic oxidation of HMF into FDCA over preformed Pd nanoparticle based materials // Appl. Catal. A: Gen. 2014. V. 478. P. 107.
- Schade O.R., Kalz K.F., Neukum D., Kleist W., Grunwaldt J.-D. Supported goldand silver-based catalysts for the selective aerobic oxidation of 5-(hydroxymethyl) furfural to 2,5-furandicarboxylic acid and 5-hydroxymethyl-2-furancarboxylic acid // Green Chem. 2018. V. 20. P. 3530.
- Albonetti S., Lolli A., Morandi V., Migliori A., Lucarelli C., Cavani F. Conversion of 5-hydroxymethylfurfural to 2,5-furandicarboxylic acid over Au-based catalysts: optimization of active phase and metal–support interaction // Appl. Catal. B: Env. 2015. V. 163. P. 520.
- Xia H., An J., Hong M., Xu S., Zhang L., Zu S. Aerobic oxidation of 5-hydroxymethylfurfural to 2,5-difurancarboxylic acid over Pd-Au nanoparticles supported on Mg-Al hydrotalcite // Catal. Today. 2019. V. 319. № 1. P. 113.
- Xu H., Li X., Hu W., Yu Z., Zhou H., Zhu Y., Lu L., Si C. Research progress of highly efficient noble metal catalysts for the oxidation of 5-hydroxymethylfurfural // ChemSusChem. 2022. V. 15. P. e202200352.
- Fadonia M., Lucarelli L. Temperature programmed desorption, reduction, oxidation and flow chemisorption for the characterisation of heterogeneous catalysts. Theoretical aspects, instrumentation and applications // Surf. Sci. Catal. 1999. V. 120 (A). P. 177.
- Thomme M., Kaneko K., Neimark A.V., Olivier J.P., Rodriguez-Reinoso F., Rouquerol J., Sing K.S.W. Physisorption of gases, with special reference to the evaluation of surface area and pore size distribution (IUPAC Technical Report) // Pure Appl. Chem. 2015. V. 87. P. 1051.
- Samadi P., Binczarski M.J., Pawlaczyk A., Rogowski J., Szynkowska-Jozwik M.I., Witonska I.A. CO oxidation over Pd catalyst supported on porous TiO2 prepared by plasma electrolytic oxidation (PEO) of a Ti metallic carrier // Materials. 2022. V. 15. P. 4301.
- Rinaudo M.G., Beltrán A.M., Fernández A., Cadús L.E., Morales M.R. Pd supported on defective TiO2 polymorphic mixtures: effect of metal-support interactions upon glycerol selective oxidation // Results in Engineering. 2022. V. 16. P. 100737.
- Cecilia J.A., Machogo L., Torres-Bujalance V., Jiménez-Gómez C.P., García-Sancho C., Moreno-Tost R., Maireles-Torres P., Luque R. PdO Supported on TiO2 for the oxidative condensation of furfural with ethanol: insights on reactivity and product selectivity // ACS Sustain. Chem. Eng. 2021. V. 9. № 30. P. 10100.
- Ouyang L., Tian P., Da G., Xu X.-C., Ao C., Chen T., Si R., Xu J., Han Y.-F. The origin of active sites for direct synthesis of H2O2 on Pd/TiO2 catalysts: interfaces of Pd and PdO domains // J. Catal. 2015. V. 321. P. 70.
- Sarode P.R., Asakura K., Priolkar K.R., Hegde M.S. EXAFS study of Ti0.98Pd0.02O2–δ catalyst // AIP Conf. Proc. 2018. V. 1953. P. 070009.
- Asakura K., Iwasawa Y. Reversible structure transformation of zirconium dioxide on palladium black // J. Phys. Chem. 1992. V. 96. № 18. P. 7386.
- Lei D., Yu K., Li M.-R., Wang Y., Wang Q., Liu T., Liu P., Lou L.-L., Wang G., Liu S. Facet effect of single-crystalline Pd nanocrystals for aerobic oxidation of 5-hydroxymethyl-2-furfural // ACS Catal. 2017. V. 7. № 1. P. 421.
- Chen J., Zhang Q., Wang Y., Wan H. Size-dependent catalytic activity of supported palladium nanoparticles for aerobic oxidation of alcohols // Adv. Synth. Catal. 2008. V. 350. P. 453.
Дополнительные файлы






