Стереоселективность гидрохлорирования ацетилена на нанесенных катализаторах PdCl2/С
- Авторы: Краснякова Т.В.1,2, Никитенко Д.В.1, Кобец К.Д.1, Краснякова И.О.3, Гогильчин А.С.1, Бугаев А.Л.3, Митченко С.А.1,2
-
Учреждения:
- Институт физико-органической химии и углехимии
- Южно-российский государственный политехнический университет (НПИ) им. М.И. Платова
- Южный федеральный университет, Международный исследовательский институт интеллектуальных материалов,
- Выпуск: Том 64, № 3 (2023)
- Страницы: 307-316
- Раздел: СТАТЬИ
- URL: https://bakhtiniada.ru/0453-8811/article/view/137004
- DOI: https://doi.org/10.31857/S045388112303005X
- ID: 137004
Цитировать
Полный текст
Аннотация
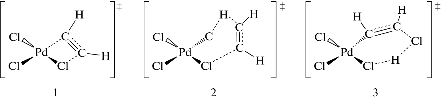
Продуктами каталитического гидрохлорирования дейтерированного ацетилена в системах с нанесенными на активированный уголь хлоридными комплексами палладия является смесь стереоизомеров винилхлорида, получающихся в результате син- и анти-присоединения молекулы хлороводорода к тройной связи. Реакция сопровождается изомеризацией первичного транс-винилхлорида в его цис-стереоизомер, однако характерные времена изомеризации существенно превышают длительность гидрохлорирования ацетилена. Последний факт позволил оценить соотношение продуктов, образующихся исключительно в ходе каталитической реакции, разность эффективных энергий активации маршрутов син- и анти-присоединения (~21 кДж/моль) и продемонстрировать монотонный рост доли продукта син-присоединения с увеличением массовой загрузки ω активного металла, достигающий насыщения при ω > 2 мас. %.
Ключевые слова
Об авторах
Т. В. Краснякова
Институт физико-органической химии и углехимии; Южно-российский государственный политехнический университет (НПИ) им. М.И. Платова
Автор, ответственный за переписку.
Email: ktv_@list.ru
Россия, 283111, Донецк, ул. Р. Люксембург, 70; Россия, 346428, Ростовская обл., Новочеркасск, ул. Просвещения, 132
Д. В. Никитенко
Институт физико-органической химии и углехимии
Email: ktv_@list.ru
Россия, 283111, Донецк, ул. Р. Люксембург, 70
К. Д. Кобец
Институт физико-органической химии и углехимии
Email: ktv_@list.ru
Россия, 283111, Донецк, ул. Р. Люксембург, 70
И. О. Краснякова
Южный федеральный университет, Международный исследовательский институт интеллектуальных материалов,
Email: ktv_@list.ru
Россия, 344090, Ростов-на-Дону, ул. Сладкова, 178/24
А. С. Гогильчин
Институт физико-органической химии и углехимии
Email: ktv_@list.ru
Россия, 283111, Донецк, ул. Р. Люксембург, 70
А. Л. Бугаев
Южный федеральный университет, Международный исследовательский институт интеллектуальных материалов,
Email: ktv_@list.ru
Россия, 344090, Ростов-на-Дону, ул. Сладкова, 178/24
С. А. Митченко
Институт физико-органической химии и углехимии; Южно-российский государственный политехнический университет (НПИ) им. М.И. Платова
Email: ktv_@list.ru
Россия, 283111, Донецк, ул. Р. Люксембург, 70; Россия, 346428, Ростовская обл., Новочеркасск, ул. Просвещения, 132
Список литературы
- Meng X., Ding Q., Wang Q., Duan L. // Energy Environ. Focus. 2014. V. 3. № 1. P. 37.
- Темкин О.Н. // Кинетика и катализ. 2019. Т. 60. № 6. С. 683.
- Краснякова Т.В., Никитенко Д.В., Митченко С.А. // Кинетика и катализ. 2020. Т. 61. № 1. С. 63.
- Zhong J., Xu Y., Liu Z. // Green Chem. 2018. V. 20. № 11. P. 2412.
- Ciacci L., Passarini F., Vassura I. // Resour. Conserv. Recycl. 2017. V. 123. P. 108.
- Davies C.J., Miedziak P.J., Brett G.L., Hutchings G.J. // Chin. J. Catal. 2016. V. 37. № 10. P. 1600.
- Voronin V.V., Ledovskaya M.S., Bogachenkov A.S., Rodygin K.S., Ananikov V.P. // Molecules. 2018. V. 23. № 10. P. 2442.
- Тёмкин О.Н., Шестаков Т.К., Трегер Ю.А. Ацетилен: химия, механизмы реакций и технология. Москва: Химия, 1991. 429 с.
- Minamata Convention on Mercury. url: http://www.mercuryconvention.org/
- Johnston P., Carthey N., Hutchings G.J. // J. Am. Chem. Soc. 2015. V. 137. № 46. P. 14548.
- Wang X., Fan D., Lan G., Cheng Z., Sun X., Qiu Y., Han W., Tang H., Liu H., Zhu Y., Hu X., Li Y. // Inorg. Chem. Front. 2022. V. 9. № 3. P. 458.
- Kaiser S.K., Fako E., Manzocchi G., Krumeich F., Hauert R., Clark A.H., Safonova O.V., López N., Pérez-Ramírez J. // Nat. Catal. 2020 V. 3. P. 376.
- Song L., Liu L., Zhu M., Dai B. // Chin. J. Chem. Eng. 2022. V. 45. P. 32.
- Kaiser S.K., Lin R., Mitchell S., Fako E., Krumeich F., Hauert R., Safonova O.V., Kondratenko V.A., Kondratenko E.V., Collins S.M., Midgley P.A., López N., Pérez-Ramírez J. // Chem. Sci. 2019. V. 10. № 2. P. 359.
- Shang Y., Duan X., Wang S., Yue Q., Gao B., Xu X. // Chin. Chem. Lett. 2022. V. 33. № 2. P. 663.
- Li F., Zhang H., Zhang M., Li L., Yao L., Peng W., Zhang J. // ACS Sust. Chem. Eng. 2022. V. 10. № 1. P. 194.
- Jia Y., Nian Y., Zhang J., Han Y. // Mol. Catal. 2021. V. 513. 111826.
- Melander L., Saunders W.H. Reaction Rates of Isotopic Molecules. New York: Jr. Wiley, 1980. 391 p.
- Митченко С.А., Краснякова Т.В., Жихарев И.В. // Теоретическая и экспериментальная химия. 2008. Т. 44. № 5. С. 306.
- Митченко С.А., Краснякова Т.В., Жихарев И.В. // Кинетика и катализ. 2009. Т. 50. № 5. С. 764.
- Митченко С.А., Краснякова Т.В., Жихарев И.В. // Теоретическая и экспериментальная химия. 2010. Т. 46. № 1. С. 32.
- Krasnyakova T.V., Zhikharev I.V., Mitchenko R.S., Burkhovetski V.I., Korduban A.M., Kryshchuk T.V., Mitchenko S.A. // J. Catal. 2012. V. 288. P. 33.
- Митченко С.А., Краснякова Т.В. // Кинетика и катализ. 2014. Т. 55. № 6. С. 741.
- Mitchenko S.A., Khomutov E.V., Shubin A.A., Shul’ga Y.M. // J. Mol. Catal. A: Chem. 2004. V. 212. P. 345.
- Краснякова Т.В., Никитенко Д.В., Хомутова Е.В., Митченко С.А. // Кинетика и катализ. 2017. Т. 58. № 5. С. 551.
- Рапопорт Ф.М., Ильинская А.А. Лабораторные методы получения чистых газов. Mосква: Госхимиздат, 1963. 362 с.
- Митченко Р.С., Шубин А.А., Краснякова Т.В. // Теоретическая и экспериментальная химия. 2006. Т. 42. № 5. С. 306.
- Mitchenko S.A., Krasnyakova T.V., Mitchenko R.S., Korduban A.N. // J. Mol. Catal. A: Chem. 2007. V. 275. № 1–2. P. 101.
- He H., Zhao J., Li X. J., Wang B., Yue Y., Sheng G., Wang Q., Yu L., Hu Z.T., Li X. // RSC Adv. 2019. V. 9. № 37. P. 21557.
- Wang B., Yue Y., Jin C., Lu J., Wang S., Yu L., Guo L., Li R., Hu Z.T., Pan Z., Zhao J., Li X. // Appl. Catal. B: Env. 2020. V. 272. 118944.
- Wang L., Shen B., Zhao J., Bi X. // Can. J. Chem. Eng. 2017. V. 95. № 6. P. 1069.
- Zhang J., He Z., Lib W., Han Y. // RSC Adv. 2012. № 2. P. 4814.
- Митченко С.А. // Теоретическая и экспериментальная химия. 2007. Т. 43. № 4. С. 199.
- Conte M., Carley A.F., Heiren C., Willock D.J., Johnston P., Herzing A.A., Kiely C.J., Hutchings G.J. // J. Catal. 2007. V. 250. P. 231.
- Simonov P.A., Filimonova S.V., Kryukova G.N., Moroz E.M., Likholobov V.A., Kuretzky T., Boehm H.P. // Carbon. 1999. V. 37. № 4. P. 591.
- Simonov P.A., Moroz E.M., Chuvilin A.L., Kolomiichuk V.N., Boronin A.I., Likholobov V.A. // Stud. Surf. Sci. Catal. 1995. V. 91. P. 977.
- Moroz E.M., Simonov P.A., Bogdanov S.V., Chuvilin A.L. // Mater. Sci. Forum. 2000. V. 321–324. P. 1074.
- Ryndin Y.A., Alekseev O.S., Simonov P.A., Likholobov V.A. // J. Mol. Catal. 1989. V. 55. № 1. P. 109.
- Симонов П.А., Троицкий С.Ю., Лихолобов В.А. // Кинетика и катализ. 2000. Т. 41. № 2. С. 281.
- Simonov P.A., Romanenko A.V., Prosvirin I.P., Moroz E.M., Boronin A.I., Chuvilin A.L., Likholobov V.A. // Carbon. 1997. V. 35. № 1. P. 73.
Дополнительные файлы










