Каталитические методы получения высших 2-кетонов: перспективы Вакер-системы в реакции окисления α-олефинов
- Авторы: Родикова Ю.А.1, Жижина Е.Г.1
-
Учреждения:
- ФГБУН ФИЦ Институт катализа им. Г.К. Борескова СО РАН
- Выпуск: Том 64, № 2 (2023)
- Страницы: 121-138
- Раздел: ОБЗОРЫ
- URL: https://bakhtiniada.ru/0453-8811/article/view/136984
- DOI: https://doi.org/10.31857/S0453881123020065
- EDN: https://elibrary.ru/GNRGKD
- ID: 136984
Цитировать
Полный текст
Аннотация
Проанализированы и обобщены разработанные за последние 60 лет методы получения неразветвленных 2-кетонов С6−С14 каталитическим окислением линейных α-олефинов. Особое внимание уделено рассмотрению каталитической Вакер-системы, важной для промышленного органического синтеза, и предложенных методов ее модификации. Обсуждены методы управления селективностью реакции, рассмотрена роль сокатализаторов, окислителей и лигандов.
Об авторах
Ю. А. Родикова
ФГБУН ФИЦ Институт катализа им. Г.К. Борескова СО РАН
Автор, ответственный за переписку.
Email: rodikova@catalysis.ru
Россия, 630090, Новосибирск, просп. Акад. Лаврентьева, 5
Е. Г. Жижина
ФГБУН ФИЦ Институт катализа им. Г.К. Борескова СО РАН
Email: rodikova@catalysis.ru
Россия, 630090, Новосибирск, просп. Акад. Лаврентьева, 5
Список литературы
- Sheldon R.A. // Green. Chem. 2007. V. 9. P. 1273.
- Eco-Friendly Synthesis of Fine Chemicals. Ed. Ballini R. RSC Publishing, 2009.
- Balakrishnan M., Arab G.E., Kunbargi O.B., Gokhale A.A., Grippo A.M., Toste F.D., Bell A.T. // Green Chem. 2016. V. 18. P. 3577.
- Пaт. 2371472 PФ, 2009.
- Реутов О.А., Курц А.Л., Бутин К.П. Органическая химия. Т. 3. Москва: Бином. Лаборатория знаний, 2010. С. 20.
- Травень В.Ф. Органическая химия: учебное пособие для вузов в 3 т. Т. 2. Москва: Бином. Лаборатория знаний, 2015, 433 с.
- Arends I.W.C.E, Sheldon R.A. Modern Oxidation Methods / Ed. Bäckvall J.-E. Weinheim: Wiley-VCH, 2004. P. 83–118.
- Anastas P.T., Warner J.C. Green Chemistry: Theory and Practice. New York: Oxford University Press, 1998.
- Tang S., Bourne R., Smith R., Poliakoff M. // Green Chem. 2008. V. 10. P. 268.
- Smidt J., Hafner W., Jira R., Sedlmeier J., Sieber R., Kojer H., Rüttinger R. // Angew. Chem. 1959. V. 71. P. 176.
- Cornell C.N., Sigman M.S. // Inorg. Chem. 2007. V. 46. P. 1903.
- Gligorich K.M., Sigman M.S. // Chem. Commun. 2009. P. 3854.
- McDonald R.I., Liu G., Stahl S.S. // Chem. Rev. 2011. V. 111. P. 2981.
- Sigman M.S., Werner E.W. // Acc. Chem. Res. 2012. V. 45. № 6. P. 874.
- Темкин О.Н. // Кинетика и катализ. 2020. Т. 61. № 5. С. 595.
- Гогин Л.Л., Жижина Е.Г. // Катализ в промышленности. 2021. Т. 21. № 1–2. С. 67.
- Pat. 1049845 DE, 1959.
- Jira R. Applied Homogeneous Catalysis with Organometallic Compounds. V. 1 / Eds. Cornils B., Herrmann W.A. Weinheim: VCH, 1996. P. 374.
- Новый справочник химика и технолога. Сырье и продукты промышленности органических и неорганических веществ. Ч. II. Санкт-Петербург: АНО НПО “Профессионал”, 2005, 2007. С. 51.
- Jira R., Laib R.J., Bolt H.M. Ulmann’s Encyclopedia of Industrial Chemistry. 1985. V. A1. P. 31.
- Трофимов Б.А., Иванов А.В. // Вестник СПбГУ. Сер. 4. 2014. Т. 1. № 59. С. 558.
- Органическая химия: Учебн. пособие. 2-е изд., испр. и доп. Новосибирск: Сиб. унив. изд-во, 2001. С. 478.
- Варгафтик М.Н., Моисеев И.И., Сыркин Я.К. // Докл. АН СССР. 1962. Т. 147. С. 399.
- Моисеев И.И., Варгафтик М.Н., Сыркин Я.К. // Докл. АН СССР. 1963. Т. 153. С. 140.
- Варгафтик М.Н., Моисеев И.И., Сыркин Я.К. // Изв. АН СССР. Сер. хим. 1963. С. 1147.
- Моисеев И.И. π-Комплексы олефинов в жидкофазном окислении. Москва: Наука, 1970. 270 с.
- Henry P.M. // J. Org. Chem. 1973. V. 38. P. 2415.
- Keith J.A., Henry P.M. // Angew. Chem. Int. Ed. 2009. V. 48. P. 9038.
- Jira R. Applied Homogeneous Catalysis with Organometallic Compounds. V. 1 / Eds. Cornils B., Herrmann W.A. Weinheim: VCH, 2002. P. 386.
- Tsuji J. Innovations in Organic Synthesis. Chichester: Wiley, 1995. 549 p.
- Smidt J., Krekeler H. // Per. Refiner. 1963. V. 42. P. 149.
- Rogers H.R., McDermott J.X., Whitesides G.M. // J. Org. Chem. 1975. V. 40. № 24. P. 3577.
- Mimoun H., Machirant M.M.P., Seree de Roch I. // J. Am. Chem. Soc. 1978. V. 100. № 17. P. 5437.
- Igersheim F., Mimoum H. // J. Chem. Soc. Chem. Commun. 1978. P. 559.
- Clement W.H., Selwitz C.M. // J. Org. Chem. 1964. V. 29. № 1. P. 241.
- Pat. 4507506 US, 1985.
- Harada A., Hu Y., Takahashi S. // Chem. Lett. 1986. P. 2083.
- Zahalka H.A., Januszkiewicz K., Alper H. // J. Mol. Catal. 1986. V. 35. P. 249.
- Alper H., Januszkiewicz K., Smith D.J.H. // Tetrahedron Lett. 1985. V. 26. № 19. P. 2263.
- Максимов А.Л., Бучнева Т.С., Караханов Э.А. // Нефтехимия. 2003. Т. 43. № 3. С. 173.
- Pat. 4152354 US, 1979.
- Pat. 4448892 US, 1984.
- Pat. 4532362 US, 1985.
- Jira R., Freiesleben W. Organometallic Reactions. V. 3. Eds.: Becker E., Tsutsui M. NY: John Wiley, 1972.
- Grate J.H., Hamm D.R., Mahajan S. // Mol. Eng. 1993. V. 3. P. 205.
- Mitsudome T., Umetani T., Nosaka N., Mori K., Mizugaki T., Ebitani K., Kaneda K. // Angew. Chem. Int. Ed. 2006. V. 45. № 3. P. 481.
- Fernandes R.A., Chaudhari D.A. // J. Org. Chem. 2014. V. 79. № 12. P. 5787.
- Fernandes R.A., Bethi V. // Tetrahedron. 2014. V. 70. P. 4760.
- Smith A.B., Cho Y.S., Friestad G.K. // Tetrahedron Lett. 1998. V. 39. P. 8765.
- Pat. 4738943 US, 1988
- Pat. 4847421 US, 1989.
- Miller D.G., Wayner D.D.M. // J. Org. Chem. 1990. V. 55. P. 2924.
- Pat. 9096519 B2 US, 2015.
- Wang Y.-F., Gao Y.-R., Mao S., Zhang Y.-L., Guo D.-D., Yan Z.-L., Guo S.-H., Wang Y.-Q. // Org. Lett. 2014. V. 16. № 6. P. 1610.
- Chaudhari D.A., Fernandes R.A. // J. Org. Chem. 2016. V. 81. № 5. P. 2113.
- Ho Y.A., Paffenholz E., Kim H.J., Orgis B., Rueping M., Fabry D.C. // ChemCatChem. 2019. V. 11. № 7. P. 1889.
- Michel B.W., Sigman M.S. // Aldrichimica Acta. 2011. V. 44. № 3. P. 55.
- Roussel M., Mimoun H. // J. Org. Chem. 1980. V. 45. № 26. P. 5387.
- Mimoum H., Charpentier R., Mitschler A., Fischer J., Weiss R. // J. Am. Chem. Soc. 1980. V. 102. P. 1047.
- Michel B.W., Camelio A.M., Cornell C.N., Sigman M.S. // J. Am. Chem. Soc. 2009. V. 131. P. 6076.
- Cao Q., Bailie D.S., Fu R., Muldoon M.J. // Green Chem. 2015. V. 17. P. 2750.
- Andrews M.A., Kelly K.P. // J. Am. Chem. Soc. 1981. V. 103. P. 2894.
- Hosokawa T., Nomura T., Murahashi S.-I. // J. Organomet. Chem. 1998. V. 551. P. 387.
- ten Brink G.-J., Arends I.W.C., Papadogianakis G., Sheldon R.A. // Chem. Commun. 1998. P. 2359.
- ten Brink G.-J., Arends I.W.C., Papadogianakis G., Sheldon R.A. // Appl. Catal. A: Gen. 2000. V. 194–195. P. 435.
- Rao Y.V.S., Rani S.S., Choudary B.M. // J. Mol. Catal. 1992. V. 75. P. 141.
- Kulkarni M.G., Shaikh Y.B., Borhade A.S., Chavhan S.W., Dhondge A.P., Gaikwad D.D., Desai M.P., Birhade D.R., Dhatrak N.R. // Tetrahedron Lett. 2013. V. 54. P. 2293.
- Zhang Z., Kumamoto Y., Hashiguchi T., Mamba T., Murayama H., Yamamoto E., Ishida T., Honma T., Tokunaga M. // ChemSusChem. 2017. V. 10. № 17. P. 3482.
- Gao X., Li Z., Yan W., Peng X. // J. Saudi. Chem. Soc. 2020. V. 24. P. 663.
- Поп М.С. Гетерополи- и изополиоксометаллаты: пер. с англ. Новосибирск: Наука. Сиб. отделение, 1990. 232 с.
- Максимов Г.М. // Успехи химии. 1995. Т. 64. № 5. С. 480.
- Kozhevnikov I.V. // Chem. Rev. 1998. V. 98. № 1–2. P. 171.
- Neumann R. // Inorg. Chem. 2010. V. 49. № 8. P. 3594.
- Zhizhina E.G., Odyakov V.F. // ChemCatChem. 2012. V. 4. № 9. P. 1405.
- Albert J., Lüders D., Bösmann A., Guldi D.M., Wasserscheid P. // Green Chem. 2014. V. 16. № 1. P. 226.
- Gromov N.V., Taran O.P., Delidovich I.V., Pestunov A.V., Rodikova Yu.A., Yatsenko D.A., Zhizhina E.G., Parmon V.N. // Catal. Today. 2016. V. 278. № 1. P. 74.
- Rodikova Y., Zhizhina E. // React. Kinet. Mech. Catal. 2020. V. 130. № 1. P. 403.
- Gromov N.V., Medvedeva T.B., Sorokina K.N., Samoylova Y.V., Rodikova Y.A., Parmon V.N. // ACS Sustain. Chem. Eng. 2020. V.8. № 51. P.18947.
- Pat. 4720474 US, 1988.
- Pat. 4723041 US, 1988.
- Pat. 4853357 US, 1989.
- Tilloy S., Bertoux F., Mortreux A., Monflier E. // Catal. Today. 1999. V. 48. P. 245.
- Monflier E., Blouet E., Barbaux Y., Mortreux A. // Angew. Chem. Int. Ed. 1994. V. 33. № 20. P. 2100.
- Monflier E., Tilloy S., Blouet E., Barbaux Y., Mortreux A. // J. Mol. Catal. A: Chem. 1996. V. 109. P. 27.
- Monflier E., Tilloy S., Fremy G., Barbauxa Y., Mortreux A. // Tetrahedron Lett. 1995. V. 36. № 3. P. 387.
- Yokota T., Sakakura A., Tani M., Sakaguchi S., Ishii Y. // Tetrahedron Lett. 2002. V. 43. P. 8887.
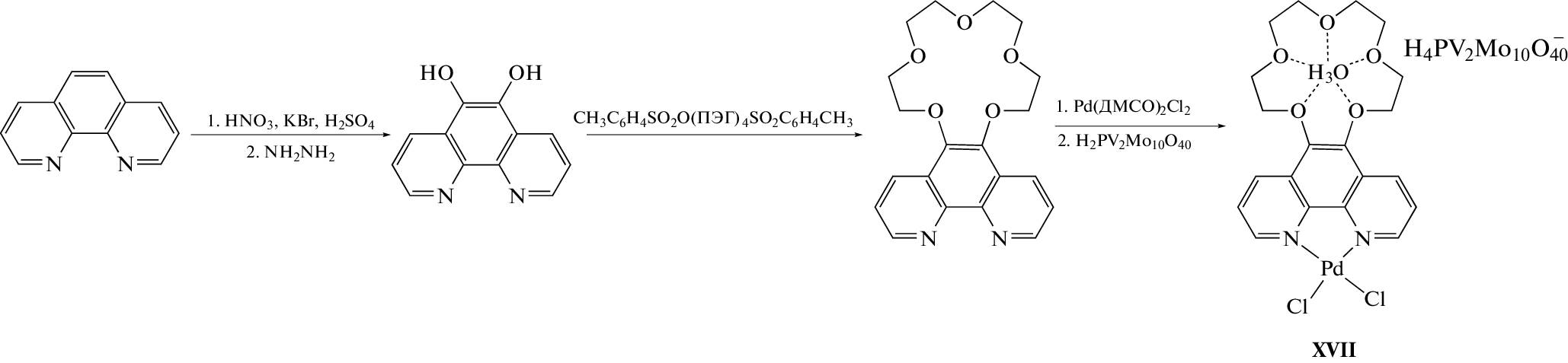
- Ettedgui J., Neumann R. // J. Am. Chem. Soc. 2009. V. 131. № 1. P. 4.
- Пат. 1031045 СССР, 1995.
- Пaт. 2230612 C1 PФ, 2004.
Дополнительные файлы















