Deposition of Iron Doped Birnessite During Simultaneous Electroreduction of Permanganate and Ferrate(Vi) In Sodium Hydroxide Solution
- Authors: Pugolovkin L.V.1, Levin E.E.1,2
-
Affiliations:
- Lomonosov Moscow State University
- Crystallography and Photonics Federal Research Center of the Russian Academy of Sciences
- Issue: Vol 60, No 8 (2024)
- Pages: 539-552
- Section: Articles
- URL: https://bakhtiniada.ru/0424-8570/article/view/275152
- DOI: https://doi.org/10.31857/S0424857024080022
- EDN: https://elibrary.ru/PPDDYP
- ID: 275152
Cite item
Full Text
Abstract
The reduction of permanganate on rotating disk electrode is accompanied by inhibition of precipitating birnessite. Addition of potassium ferrate(VI) leads to an increase of inhibition. The obtaining of electrode material based on Fe-doped birnessite under alkaline conditions is demonstrated in experiment with deposition at inhibition potentials. This birnessite is single-phase and highly disordered. Fe content varies from 0 to 10 mol. % in respect to Mn with increasing ferrate(VI) content in deposition solution. Recharging potentials of birnessite are shifted which is manifested by cyclic voltammetry. Doping allows to increase the rate of oxygen evolution reaction. Specific currents are increased with the iron content in birnessite. The Tafel slope is 53 mV/dec and decreased by 2.5 times for birnessite containing 10 mol. % Fe.
Full Text
ВВЕДЕНИЕ
Различные материалы на основе бирнессита (MxMnO2·уH2O, M – катион щелочного металла) представляют интерес в связи с возможностью их применения в суперконденсаторах [1], различных каталитических устройствах [2–4], а также в качестве адсорбентов для очистки воды от загрязнений [5]. Возрастающий интерес вызывает возможность модифицирования и улучшения свойств бирнессита путем допирования ионами переходных металлов: Cu, Co [6], Zn [7], Ni [8], Cr [9], Mo [10], Fe [11, 12] и другими. Допирование Fe возможно как при химическом синтезе [11, 13], так и при анодном электрохимическом осаждении бирнессита [12] в интервале отношений Fe/Mn по меньшей мере 20 мол. % [13]. В ряде случаев допирование приводит к повышению перезаряжаемой емкости [11, 12], удельной проводимости материала [11], улучшению каталитических и адсорбционных свойств [13, 14].
Большинство известных примеров получения допированного железом бирнессита относится либо к нейтральным, либо к слабощелочным средам. В то же время осаждение бирнессита из перманганата в сильнощелочных растворах [15, 16] предпочтительно, поскольку в этом случае возможно дальнейшее функционирование получаемого материала в тех же условиях, в которых происходит синтез, что повышает его устойчивость к деградации. Допирование Fe в форме низковалентных соединений, чаще всего фигурирующее в синтезах [11–13], в этом случае невозможно в силу крайне низкой их растворимости в щелочах [17]. Однако существует возможность введения железа в растворы осаждения в виде растворимого феррат(VI)-аниона. Его электровосстановление в щелочных условиях происходит с образованием нерастворимых оксидов железа, что показано ранее на золотом электроде [18]. При наличии в растворах осаждения одновременно перманганата и феррата(VI) существует возможность получения смешанных фаз, причем не исключено также образование индивидуальных допированных фаз [11, 13].
Процесс электровосстановления феррата(VI) изучен недостаточно, а данные по влиянию перманганата на него отсутствуют. В связи с этим было предпринято изучение восстановления перманганата и феррата(VI) при совместном присутствии. Сравнительные эксперименты в растворах индивидуальных анионов также рассмотрены. С целью поиска возможности получения допированного железом бирнессита были проведены эксперименты по осаждению из смешанных растворов.
ЭКСПЕРИМЕНТАЛЬНАЯ ЧАСТЬ
Электрохимические измерения проводили на установке с вращающимся дисковым электродом Вольта ЕМ-04 с использованием потенциостата Autolab PGSTAT100 (EcoChemie, Netherlands). Рабочим электродом выступал полированный диск из углеситалла диаметром 2 мм. Перед измерениями электрод поляризовали в течение 5 с в 1 М NaOH при потенциале 1.9 В (HgO/Hg). В качестве электрода сравнения использовали оксидно-ртутный в 1 М NaOH, в шкале которого приведены все потенциалы ниже, если не указано иное. Вспомогательным электродом служила платиновая пластинка.
Растворы готовили с использованием KMnO4 (перекристаллизованный из “ч.”). В качестве фонового электролита во всех экспериментах использовали 1 M NaOH (Acros Organics “ос.ч.” 50%) в воде Mill-Q (18 MОм cм). K2FeO4 получали с помощью самоподдерживающегося высокотемпературного синтеза, методика которого описана ранее [19]. Концентрацию феррата(VI) в растворах определяли спектрофотометрически, используя величину поглощения 1150 л/(см моль) при 510 нм [20]. Поскольку феррат(VI) нестабилен, растворы готовили непосредственно перед измерениями. Снижение концентрации феррата составляло не более 10% через 30 мин после приготовления раствора.
Вольтамперограммы в растворах перманганата и феррата регистрировали, начиная линейную развертку потенциала с крайнего положительного значения 0.7 В. Фоновые кривые вычитали. Ток i нормировали на геометрическую площадь электрода. После каждого эксперимента электрод очищали при помощи раствора щавелевой кислоты и последующей промывкой водой.
Для изучения электрохимического поведения бирнессита его осаждение проводили из растворов, содержащих 20 мМ KMnO4 с добавками феррата(VI) калия до общих концентраций железа с(Fe) от 0.075 до 1.2 мМ в 1 M NaOH. Сравнительные эксперименты проводили в растворе без добавки феррата(VI). Осаждение осуществляли в потенциостатическом режиме при потенциале –0.05 В, типичный заряд при осаждении составлял 0.71 Кл/см2 (загрузка md равна 169 мкг/см2 в расчете на безводный бирнессит [15]). Электрохимические отклики бирнесситов регистрировали в фоновом растворе после деаэрирования аргоном в течение 20 мин.
Препаративное осаждение проводили с использованием подложки из стеклоуглерода площадью 21 см2, заряд при осаждении составлял 1.06 Кл/см2. Рентгеновские дифрактограммы измеряли на настольном дифрактометре Panalytical Aeris в области углов 2θ = 6–75°. Морфологию поверхности и рентгеноспектральный микроанализ (РСМА) проводили на растровом электронном микроскопе JEOL JSM 6490 LV с вольфрамовым катодом. Микроанализ проводили на приставке INCA X-sight фирмы Oxford Instruments. Количественную обработку спектров проводили безэталонным методом с использованием программы Microanalysis Suite фирмы Oxford Instruments. Состав определяли по 10–15 точкам образца, после чего полученные результаты усредняли, определяя доверительный интервал. Пример спектра приведен на рис. 1.
Рис. 1. Нормированные вольтамперограммы (а), зарегистрированные в растворах KMnO4 с различными концентрациями, указанными около соответствующих кривых. Вольтамперограммы при 100 (б) и 2 мВ/с (в), зарегистрированные в растворах 0.3 мМ K2FeO4 (1), 1 мМ KMnO4 (2), 1 мМ KMnO4 + 0.3 мМ K2FeO4 (3) и кривые (4), отвечающие сумме кривых 1 и 2. Скорость вращения – 900 об/мин
Спектры комбинационного рассеяния (КР-спектры) измеряли при помощи спектрометра DXRxi Raman Imaging Microscope (Thermo Scientific) с лазером 532 нм. Мощность пучка составляла 2 мВт, время экспозиции в одной точке – не более 1 с. Серию из 50–200 спектров усредняли. Для измерения образцы, полученные после препаративного осаждения, фиксировали между кварцевыми стеклами в капле воды во избежание их разложения из-за нагревания.
Для регистрации оптических спектров поглощение бирнессит осаждали на поверхность стекла с электропроводным слоем из оксида олова, допированного фтором (FTO, 18 Ом см). Спектры измеряли с использованием оптоволоконного спектрофотометра Ocean Optics USB2000 с источником света DH-2000. Спектры регистрировали, помещая подложки в кварцевую кювету с длиной оптического пути 1 см, наполненную 1 M NaOH. Поглощение исправляли на фоновые значения, полученные для подложек без осадков.
Для сравнительных экспериментов регистрировали спектр катодно осажденного FeOOH на FTO при потенциале –0.05 В из раствора 0.6 мМ K2FeO4 в течение 30 мин. Полученный осадок растворяли в 1 M HCl и определяли содержание железа спектрофотометрически с фенантролином [21]. Исходя из полученного значения, находили md. Спектр коллоидного раствора Fe(OH)3 измеряли после полного разложения феррата(VI) в растворе известной концентрации, на что требовалось несколько часов. Для минимизации возможных ошибок, связанных с осаждением коллоидных частиц, раствор помещали в ультразвуковую ванну непосредственно перед измерением спектров. Полученную величину оптической плотности относили к единице площади, получая формальное значение md.
РЕЗУЛЬТАТЫ И ОБСУЖДЕНИЕ
Электрохимическое восстановление перманганата в щелочных растворах при низких концентрациях подробно рассмотрено ранее [15] с учетом более старых публикаций. При сравнительно низких концентрациях (1–2 мМ, рис. 1а) наблюдаются три волны восстановления. Первые две волны отвечают процессам MnVII/MnVI и MnVI/MnV с потенциалами 0.476 и 0.116 В. Третья волна при потенциале –0.094 В накладывается на предыдущую волну, а в области ее предельного тока наблюдается сложный минимум. Форма этой волны обусловлена одновременным протеканием ряда процессов: восстановлением MnV/MnIV, диспропорционированием MnV на MnIV и MnVI, а также осаждением бирнессита на поверхность электрода, приводящим в конечном итоге к ингибированию тока и появлению минимума [15].
Для сопоставления вкладов различных процессов токи были нормированы на соответствующие концентрации (ip). По мере увеличения концентрации KMnO4 от 5 до 100 мМ происходит снижение ip в области третьей волны (рис. 1а), что указывает на увеличение ингибирования, т. е. ускорение образования бирнессита на поверхности электрода. Одновременно происходит смещение потенциала снижения тока (начала области минимума) в сторону положительных значений, т. е. область ингибирования расширяется. Сдвиг потенциала второй волны в сторону меньших значений с ростом концентрации также связан с ингибированием и обусловлен процессами образования бирнессита на поверхности электрода, начинающимися одновременно с появлением в растворе MnV [15].
Снижение скорости развертки потенциала оказывает заметное влияние на форму вольтамперограмм в области третьей волны, в то время как первые две волны остаются неизменными (рис. 1б, 1в, кривые 2). При снижении скорости развертки начальный участок третьей волны смещается в сторону более высоких значений потенциала, указывая на ускорение реакции (рис. 1б, кривая 2). Это может быть связано с быстрым накоплением оксида марганца на поверхности электрода при низких скоростях развертки, катализирующего диспропорционирование MnV и его дальнейшее восстановление [22]. В области предельного тока наблюдается изменение наклона и его снижение, указывающее на рост ингибирования при низких потенциалах, что связано с образованием очень большого количества бирнессита на поверхности, блокирующего реакцию, как наблюдалось в растворах высоких концентраций (рис. 1а). Влияние скорости развертки на положение волн монотонно в исследованном интервале величин (2 ÷ 100) мВ/с. Итоговый вид кривых определяется сложной зависимостью скорости разряда ионов в условиях осаждения оксида марганца, блокирующего процессы в различной степени в зависимости от толщины и потенциала [15].
Электрохимическое восстановление феррата(VI) изучалось в работах [23, 24]. Термодинамический потенциал FeVI/FeIII составляет 0.613 В [25], однако первая волна восстановления на платине, соответствующая этому переходу, находится при потенциале (0.36–0.43) В [23] и является необратимой. В случае углеситалла (рис. 1б, кривая 1) эта волна существенно заторможена и смещена до –0.118 В. Вторая волна FeIII/FeII находится при –0.79 В и лучше соотносится с литературными данными (–0.6 … –0.78) В [23, 24]. Эта волна также сдвинута к более отрицательным значениям по сравнению с термодинамическим значением –0.654 [25]. Коэффициент диффузии для первой волны составляет 0.81×10–5 см2/с. Прямое сопоставление этой величины с литературными данными невозможно, так как имеющиеся значения получены в более концентрированных (и более вязких) растворах щелочей и варьируются от 0.367·10–5 см2/с для ртутного до 0.590·10–5 см2/с для платинового электродов [24]. С учетом различия значений вязкости для растворов 6 М KOH и 1 М NaOH ~ 1.7 раз [26], можно заключить, что полученная на углеситалловом электроде величина попадает в указанный интервал. Значения коэффициентов диффузии из работы [23] являются аномально низкими, поскольку получены из экспериментов на высокодисперсной платиновой черни, и не могут сравниваться прямо.
Образующиеся при восстановлении феррата(VI) различные малорастворимые оксиды FeIII потенциально способны блокировать поверхность электрода аналогично бирнесситу. Однако никаких признаков этого эффекта не наблюдается при измерении с низкими скоростями развертки (рис. 1в, кривая 1). Более того, между концентрацией феррата(VI) и током для первой волны существует пропорциональность, что показано ранее при помощи полярографии [24]. Возможной причиной отсутствия самоингибирования может являться высокая пористость осадков, образующихся на поверхности электрода при восстановлении феррата(VI) [18]. Нельзя исключить возможность восстановления феррата непосредственно на поверхности образующихся оксидов FeIII [23] без заметного в условиях эксперимента (рис. 1) снижения скорости процесса.
При одновременном присутствии K2FeO4 и KMnO4 в растворе (рис. 1б, кривая 3) положение первых двух волн перманганата практически не изменяется, в то время как третья волна сдвигается в сторону отрицательных значений и меняется наклон в области ее предельного тока. Сдвиг может быть обусловлен изменениями локальных концентраций участвующих ионов и скоростей протекания химических стадий. Например, FeVI и MnV могут взаимодействовать, что приведет к изменению общей скорости процесса по аналогии с MnVII и MnV [22]. Ток в смешанном растворе (кривая 3) оказывается ниже суммы токов (кривая 4) восстановления индивидуальных анионов в области потенциалов отрицательнее 0 В (указано стрелками). Усиление ингибирования может быть обусловлено торможением восстановления феррата(VI) осаждающимся оксидом марганца. Однако в области (0 … –0.3) В снижение оказывается существенно больше значения тока индивидуального феррата(VI), что указывает на взаимное ингибирование обоих процессов.
При низких скоростях развертки в смешанном растворе ток (рис. 1в, кривая 3) оказывается близок к току в растворе индивидуального KMnO4 (рис. 1в, кривая 2). Слабый сдвиг третьей волны восстановления перманганата при добавке феррата(VI) указывает на уменьшение влияния последнего, поскольку общая скорость определяется процессами восстановления перманганата и осаждения бирнессита.
Токи, измеренные в индивидуальных растворах KMnO4 и K2FeO4 на участках, близких к предельным значениям, пропорциональны корню из скорости вращения ω, что указывает на формальный диффузионный контроль реакций (рис. 2, кривые 1 и 2). В смешанном растворе прямая пропорциональность нарушается (кривая 3), что свидетельствует о возникновении смешанного режима реакции.
Рис. 2. Величины токов в зависимости от корня из скорости вращения в растворах 0.3 мМ K2FeO4 (1), 1 мМ KMnO4 (2), 1 мМ KMnO4 + 0.3 мМ K2FeO4 (3), измеренные при потенциале –0.3 В. Скорость развертки потенциала – 100 мВ/с
С помощью измерения оптических спектров смешанных растворов и сопоставления их с суммами спектров индивидуальных анионов было подтверждено, что феррат(VI) не взаимодействует с анионами MnO4 – и MnO4 2– с заметными скоростями, т. е. наблюдаемые эффекты ингибирования (рис. 1) связаны с процессами совместного восстановления анионов до более низких степеней окисления. Поэтому оба свидетельства отклонения электрохимического поведения от аддитивности (рис. 1б, рис. 2) указывают на возникновение взаимного влияния процессов восстановления анионов и, как следствие, процессов осаждения оксидов. Поскольку область ингибирования достаточно широка, то для тестового осаждения был выбран потенциал, отвечающий началу самоингибирования перманганата (–0.05 В). Восстановление железа из феррата(VI) при этом не осложнено образованием FeII [23, 24]. Соотношение концентраций KMnO4 и K2FeO4 при осаждении было увеличено в пользу перманганата, чтобы заведомо избежать образования избытка малорастворимых соединений FeIII.
Потенциостатическое осаждение из раствора перманганата приводит к получению структурно разупорядоченной слоистой фазы бирнессита (рис. 3, кривая 1). На дифрактограмме вместо острых рефлексов, отвечающих хорошо закристаллизованному бирнесситу (рис. 3, вертикальные линии), наблюдаются уширенные и смещенные полосы [15]. Два асимметричных рефлекса при 37.2 и 66.0 град. отвечают внутрислойному упорядочению [27, 28]. Межслоевое упорядочение почти отсутствует, на что указывают слабые рефлексы при 11.2 и 17.0 град. Наблюдаемая картина соответствует турбостратно-искаженному бирнесситу [29]. Осадок, полученный из смешанного раствора (рис. 3, кривая 2), характеризуется полным отсутствием межслоевых рефлексов, что свидетельствует о росте разупорядочения. Отсутствие каких-либо новых рефлексов на дифрактограмме указывает на отсутствие других фаз. Это позволяет предположить, что железо в ходе осаждения встраивается в структуру бирнессита, а не соосаждается отдельной фазой.
Рис. 3. Дифрактограммы бирнесситов, полученных из растворов 20 мМ KMnO4 (1) и 20 мМ KMnO4 + 0.3 мМ K2FeO4 (2). Заряд осаждения 1.05 Кл/см2. Рефлексы (3) относятся к расчетной дифрактограмме химически синтезированного бирнессита состава Na0.58Mn2O4×1.5H2O [30]
Допированный бирнессит, получаемый путем химического синтеза, в большинстве случаев характеризуется наличием межслоевых рефлексов, интенсивность которых падает при введении в растворы осаждения железа [11]. Снижение интенсивности вплоть до исчезновения наблюдается при высоких содержаниях железа 10–15 мол. % [13]. Можно заключить, что увеличение межслоевого разупорядочения с ростом содержания железа при катодном осаждении (рис. 3) качественно согласуется с данными по химически синтезированным бирнесситам.
По мере увеличения содержания феррата(VI) в растворе происходит снижение md при одинаковом пропущенном заряде (рис. 4), что указывает на уменьшение выходов по току. Содержание железа n(Fe) в образцах бирнессита, определенное методом РСМА, быстро возрастает до ~10 мол. % при увеличении с(Fe) до 0.6 мМ, после чего рост замедляется (рис. 4). Соотношение Fe/Mn возрастает в ~3 раза по сравнению с соотношением в растворе осаждения. Содержание натрия n(Na) при этом снижается. Во всех образцах обнаруживается незначительное количество K на уровне 0.1 мол. %. С учетом ранее проведенного анализа недопированного бирнессита [15], состав полученных образцов можно представить как K0.001NaxFeyMnO2×0.54H2O, где x = (0.28–0.16), y = (0.016–0.1).
Рис. 4. Содержание Fe и Na в бирнессите в зависимости от количества феррата в растворе осаждения, полученное из спектров РСМА, и величина загрузки бинессита при постоянном заряде осаждения 1.05 Кл/см2
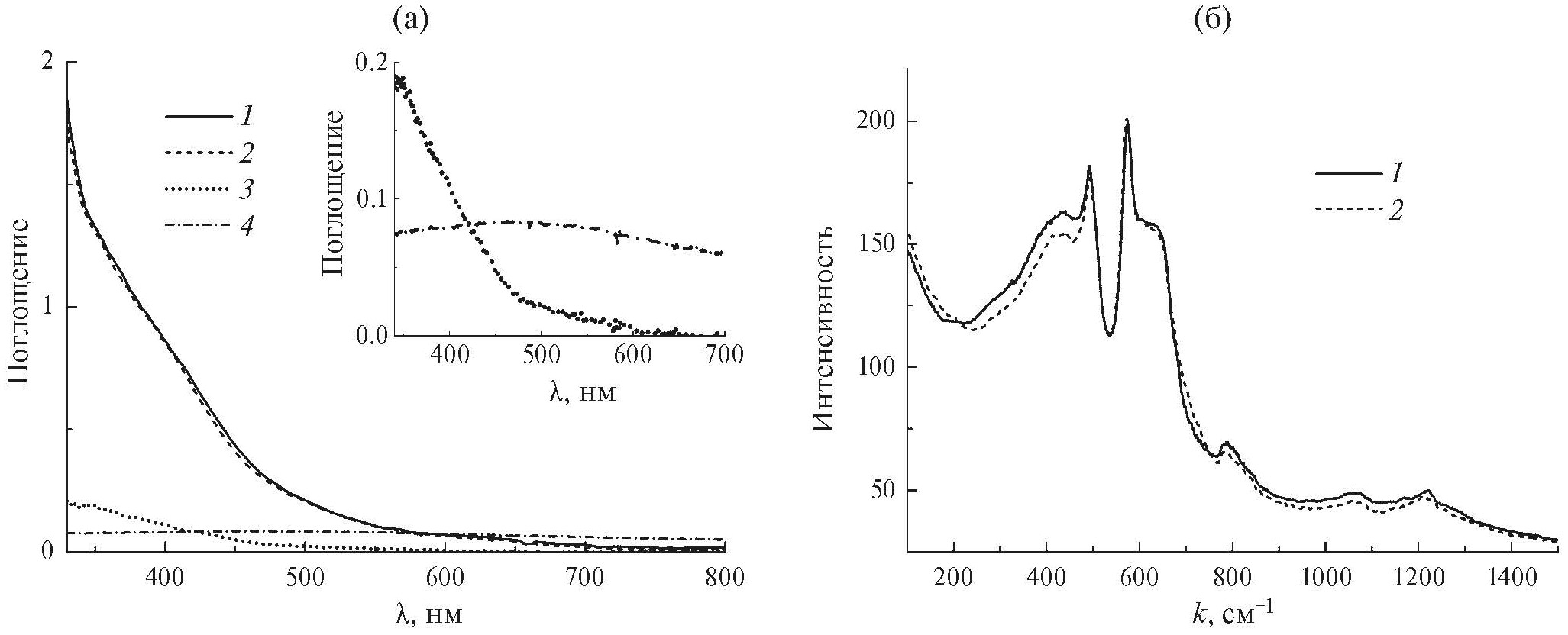
Катодное осаждение из растворов индивидуального феррата(VI) приводит к образованию FeOOH [18], в то время как при непосредственном разложении феррата в растворе не исключено образование коллоидного Fe(OH)3 [23] и ряда других гидроксидов [31]. Поскольку такие продукты могут быть аморфными, то рентгенофазовый анализ является недостаточно чувствительным для их выявления при низких концентрациях. Поэтому было проведено количественное сопоставление оптических спектров полученных бирнесситов (рис. 5а, кривые 1 и 2) со спектрами электроосажденного FeOOH и коллоидного Fe(OH)3 (рис. 5а, кривые 3 и 4). Величины поглощений для спектров этих гидроксидов отвечают формальному содержанию железа 10 мол. % от количества Mn в составе допированного бирнессита (кривая 2), полученного на основе данных РСМА. Оптический спектр бирнессита (кривая 1) практически не меняется при допировании (кривая 2), а в областях ~500 и <400 нм полностью отсутствует рост поглощения (рис. 5а, кривые 1 и 2). Следовательно, FeOOH и Fe(OH)3 не образуются в заметных количествах при электроосаждении из смешанных растворов.
Рис. 5. Оптические (а) и КР-спектры (б) бирнесситов, полученных из растворов 20 мМ KMnO4 (1) и 20 мМ KMnO4 + 0.6 мМ K2FeO4 (2). Заряды осаждения для оптических спектров составляют 0.15 Кл/см2 (md = 47 мкг/см2), для КР-спектров – 1.05 Кл/см2. Оптические спектры осажденного электрохимически FeOOH с md = 5 мкг/см2 на FTO(3) и коллоидного Fe(OH)3 с md = 6 мкг/см2 (4) приведены слева и увеличены на врезке (а)
КР-спектр бирнессита, полученного из индивидуального KMnO4, приведен на рис. 5б (кривая 1). Наблюдаемый набор полос отвечает различным колебаниям в решетке бирнессита [32]. Уширение линий и их взаимное перекрывание характерно для сильно разупорядоченного бирнессита [33]. Отсутствие каких-либо новых полос при допировании (кривая 2) независимо подтверждает вывод об отсутствии примесных фаз гидроксидов FeIII. При допировании наблюдается выраженное уменьшение интенсивности полосы при 434 см–1, отвечающей несимметричным продольным колебаниям сильно адсорбированных ионов щелочного металла в октаэдрах NaO6 [32, 34]. В совокупности с данными РСМА об убыли натрия при допировании (рис. 4) это указывает на снижение их количества в структуре допированного бирнессита. Незначительное снижение интенсивности полосы при 622 см–1, отвечающей продольным симметричным колебаниям MnO6, и сдвиг полосы при 575 см–1 до 573 см–1, соответствующий колебаниям MnO6 в базальной плоскости, указывают на изменение структуры слоя бирнессита при включении железа [35].
Добавки железа не оказывают заметного влияния на морфологию, толщину и адгезионные свойства бирнессита при его допировании. Пример поверхности и скола приведены на рис. 6. Поверхность осадка (рис. 6а) равномерная с отдельными глобулярными частицами коллоидного диоксида марганца, неизбежно возникающего в растворах осаждения. На сколе осадок однородный и равномерно плотный по толщине (рис. 6б), в отличие от допированных бирнесситов, получаемых химически [11, 13] и состоящих из пластинчатых кристаллов микронного и субмикронного размера. Различие в морфологии обусловлено структурно-фазовыми отличиями бирнесситов, получаемых различными способами.
Рис. 6. Микрофотографии поверхности (а) и скола (б) бирнессита, полученного из раствора 20 мМ KMnO4 + 0.3 мМ K2FeO4. Заряд осаждения 1.05 Кл/см2
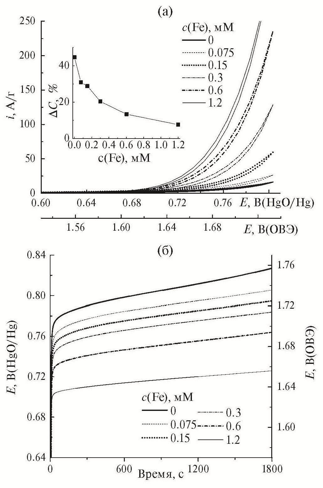
Вольтамперограммы бирнессита характеризуются наличием различных более или менее выраженных максимумов, связанных с процессами изменения структуры при интеркаляции/деинтеркаляции ионов электролита в межслойное пространство [32]. Наиболее явно эти процессы можно проследить при очень низких скоростях развертки потенциала, либо при перезаряжении в растворах с достаточной буферной емкостью, например щелочных, когда обратимость процессов высока и отсутствуют проблемы с доступностью интеркалирующих ионов [36]. Пример перезаряжения бирнессита, полученного из индивидуального раствора перманганата, приведен на рис. 7а (c(Fe) = 0 мМ). На анодной ветви вольтамперограммы наблюдается размытый максимум при потенциале 0.45 В. Сопоставление данных работ [32] и [36] позволяет заключить, что этот процесс связан с деинтеркаляцией сильно адсорбированных ионов Na и увеличением межслоевого расстояния при перезаряжении. При допировании железом (c(Fe) = 0.075 мМ) происходит уменьшение этого максимума и появление максимума при более отрицательном значении 0.26 В, т. е. наблюдается увеличение обратимости процесса. По мере роста содержания допанта максимум становится более выраженным (c(Fe) = 0.3–0.6 мМ), причем общие заряды циклов меняются слабо. Поскольку при допировании наблюдается уменьшение содержания Na (рис. 4), то изменение потенциала процесса следует связывать с уменьшением энергии связи сильно адсорбированных ионов Na, либо снижением энергетического барьера их деинтеркаляции. Нельзя исключить также сопряженное облегчение процесса интеркаляции воды за счет увеличения электростатического отталкивания соседних слоев при снижении количества заряд-компенсирующих ионов Na [32]. На катодных ветвях вольтамперограмм обратный процесс интеркаляции происходит в широком интервале потенциалов и характеризуется набором размытых максимумов [32], в связи с чем наблюдать изменение в их положении не удается.
Рис. 7. Нормированные на величины загрузки вольтамперограммы бирнесситов в 1 М NaOH, полученных из растворов 20 мМ KMnO4 с различными добавками K2FeO4 в различных интервалах потенциалов. Скорость развертки потенциала – 10 мВ/с, заряд осаждения – 0.71 Кл/см2. Область максимума на анодной ветви вольтамперограммы (б) увеличена на врезке
Перезаряжение в области отрицательных потенциалов характеризуется наличием хорошо выраженных максимумов при –0.25 на катодной и –0.04 В на анодной ветвях вольтамперограммы (рис. 7б, c(Fe) = 0 мМ)). Допирование железом приводит к снижению их высоты и некоторому смещению потенциала на анодной ветви к более положительным значениям (рис. 7б, врезка). Поскольку эти максимумы отвечают процессу перезаряжения, сопряженному с интеркаляцией-деинтеркаляцией слабо связанных ионов Na [32] в межслоевое пространство, то можно заключить, что допирование железом приводит к уменьшению их количества, как и сильно-связанных. Возможной причиной этого может быть как рост разупорядочения (рис. 3), способствующий снижению выигрыша в энергии при интеркаляции и повышению лабильности катионов, так и уменьшение доли центров MnIV, способных перезаряжаться [37]. Последнее может приводить к снижению общего заряда в анодной области при высоком содержании железа (рис. 7а, c(Fe) = 1.2 мМ).
Процесс перезаряжения на примере состава бирнессита (без учета изменения содержания K и Fe) можно представить следующим образом:
.
Заряд при перезаряжении складывается из двойнослойной и интеркаляционной составляющих, точное разделение которых представляет собой сложную задачу. Грубая оценка интеркаляционного вклада, проведенная по величине площадей максимумов в катодной области (рис. 7б), дает величину 0.34 ē/Mn для недопированного и 0.28 ē/Mn для бирнессита с наиболее высоким содержанием железа. Заряд в анодной области (рис. 7а) составляет не более 0.12 ē/Mn, причем большая часть этого заряда имеет двойнослойную составляющую.
Улучшение перезаряжаемых свойств бирнессита может быть достигнуто за счет изменения морфологии (увеличение пористости, уменьшения размера частиц), а также за счет изменения электрохимических свойств самого оксида, например смещения характеристических потенциалов перезаряжения, глубины восстановления, увеличения электропроводности. Обсуждаемые в литературе примеры допирования железом позволяют повысить удельный заряд за счет изменения морфологии [11, 12]. Увеличение разупорядочения приводит к получению мелкодисперсных аморфных осадков, обладающих высокой удельной поверхностью. Поскольку осаждающийся из щелочных растворов бирнессит уже является аморфным (рис. 3), заметного влияния железа на удельные токи, а значит и заряд, едва ли следует ожидать, что и наблюдается в действительности (рис. 7).
Выявленное изменение потенциала перезаряжения (рис. 7а) указывает на возможность управления электрохимическими свойствами самого оксида. Ранее этот эффект не был показан, так как отклики синтезированных бирнесситов обычно зарегистрированы в узком интервале потенциалов [11, 12], а изменение наклонов различных участков кривых при допировании не может являться надежным свидетельством изменения их электрохимических свойств при измерениях в слабо забуференных средах [36]. Улучшение перезаряжаемости за счет изменения потенциала для допированного материала оказывается возможно только при измерении в области средних величин (–0.1 – 0.4) В (рис. 8, врезка). Удельные емкости С и заряды получены путем интегрирования нормированных на скорость развертки и md вольтамперограмм. Более подробно эта процедура описана в работе [36]. В области низких скоростей развертки (2–20) мВ/с величины С почти не меняются и составляют 386 Ф/г для исходного бирнессита и 403 Ф/г для полученного из раствора с с(Fe) = 0.3 мМ. Соответствующие удельные заряды равны 202 и 193 Кл/г. Полученные С близки к значениям для электрохимически осажденного бирнессита на различные подложки, составляющие обычно 300–400 Ф/г [38]. При увеличении скоростей развертки потенциала различие величин при допировании резко уменьшается, а интеркаляционные максимумы становятся слабо выражены. Допирование почти не влияет на стабильность бирнессита при циклическом перезаряжении (рис. 8) в области потенциалов его наибольшей устойчивости. Бирнесситы, осажденные из растворов с с(Fe) > 0.3 мМ, демонстрируют ухудшение удельных характеристик и стабильности при перезаряжении.
Рис. 8. Удельная емкость в ходе циклического перезаряжения бирнесситов, полученных из растворов 20 мМ KMnO4 (1) и 20 мМ KMnO4 + 0.3 мМ K2FeO4 (2). Скорость развертки потенциала – 100 мВ/с, заряд осаждения – 0.71 Кл/см2. На врезке приведены 2 (1) и 1000 (2) циклы бирнессита, осажденного из феррат-содержащего раствора
Полученные бирнесситы были подвергнуты испытанию в условиях реакции выделения кислорода (рис. 9а). По мере увеличения содержания железа наблюдается систематический рост тока. Удельные величины, полученные в эксперименте с бирнесситом, осажденном из раствора с c(Fe) = 1.2 мМ, составляют 350 А/г при 1.73 В(ОВЭ), что в 20 раз превосходит ток на недопированном бирнессите.
Рис. 9. Квазистационарные кривые (а) и гальваностатические кривые при плотности тока 10 А/г (б) выделения кислорода в 1 М NaOH на бирнесситах, полученных из растворов 20 мМ KMnO4 с различными добавками K2FeO4. Квазистационарные кривые (а) зарегистрированы с шагом 10 мВ и временем стационирования при каждом потенциале не более 10 с. Заряд осаждения 0.071 Кл/см2 (md = 17 мкг/см2). Убыль удельной емкости, рассчитанная из циклических кривых в интервале потенциалов (–0.1 – 0.4) В после гальваностатических испытаний, приведена на врезке слева
Ранее было показано [16], что бирнесситы, получаемые путем электрохимического осаждения, характеризуются более высокими перенапряжениями η выделения кислорода по сравнению с химически синтезированными. Величины η при удельном токе 10 А/г составляют 0.49 и 0.40–0.30 соответственно (табл. 1). При этом значения наблюдаемых тафелевских наклонов варьируются достаточно существенно. Допирование железом приводит к снижению перенапряжения выделения кислорода, и эта разница Δη составляет 0.09 В для электрохимически синтезированного бирнессита и оказывается в целом ниже наибольших литературных величин, оставляющих 0.15–0.18 В (табл. 1). Отношение тафелевских наклонов N находится в том же диапазоне значений.
Таблица 1. Каталитическая активность бирнесситов
Фаза | Метод синтеза | Фоновый раствор | Загрузка, мкг/см2 | Fe/Mn, моль, % | η при 10 А/г, В | Δη, В | Наклон, мВ/дек | N | Ссылка |
Бирнессит, сильно разупорядоченный | Катодное осаждение | 1 М NaOH | 17 | 0 | 0.49 | 135 | – | ||
10 | 0.40 | 0.09 | 53 | 2.5 | |||||
Бирнессит, упорядоченный | Катионный обмен | 1 М KOH | 2000 | 0 | 0.40 | 94 | [37] | ||
8.3 | 0.25 | 0.15 | 33 | 2.8 | |||||
Бирнессит, сильно разупорядоченный | Катионный обмен | 1 М KOH | 200 | 0 | 0.27 | 48 | [39] | ||
72 | 0.27 | 0 | 23 | 2.08 | |||||
Бирнессит | Соосаждение | 1 М KOH | 560 | 0 | 0.40 | 150 | [40] | ||
>10 | 0.32 | 0.08 | 90 | 1.7 | |||||
Бирнессит/FeOOH | Соосаждение | 1 М KOH | 1600 | 0 | 0.45 | 173 | [41] |
Механизм выделения кислорода на допированном бирнессите подробно рассмотрен ранее [37]. Показано, что в структуре такого бирнессита содержатся группы FeIII–O–MnIII, выступающие реакционными центрами. На атомах металлов в этих группах происходит адсорбция интермедиатов OH* и O*, их взаимодействие и дальнейшее образование O2. Повышение каталитической активности обусловлено низким энергетическим барьером этой реакции. Еще одним фактором, определяющим изменение каталитической активности при допировании, является межслоевое упорядочение фазы бирнессита. Авторы работы [37] показали, что в межслоевом пространстве происходит снижение величины энергетического барьера реакции из-за структурирования молекул воды вблизи реакционных центров. Поэтому упорядоченный бирнессит, допированый железом, демонстрирует наилучшие характеристики (табл. 1). Влияние разупорядочения не изучалось отдельно ранее. Однако совокупность полученных в эксперименте величин и результаты [39] позволяют заключить, что рост разупорядочения действительно снижает перенапряжение и увеличивает тафелевские наклоны (табл. 1). Эти изменения не столь выражены по сравнению с основным эффектом допирования, позволяющим существенно улучшить каталитические свойства электрохимически осажденного бирнессита.
Потенциалы в ходе гальваностатических измерений полученных бирнесситов не достигают стационарного значения, указывая на медленную деградацию (рис. 9б). Однако по мере допирования наклон зависимости снижается, что означает улучшение стабильности. Косвенным критерием стабильности является изменение перезаряжаемой емкости ΔC (рис. 9а, врезка) после поляризации. При допировании ее убыль снижается, что также указывает на увеличение стабильности бирнессита.
Постоянство потенциала при аналогичных испытаниях для химически синтезированных бирнесситов в целом выше, так как заметные изменения наблюдаются на временах более часа [37, 39–41]. Типовые деградационные тесты обычно проводят для подложек с большими загрузками бирнессита, что позволяет снизить наблюдаемые изменения за счет уменьшения их относительных вкладов в общую скорость процесса. Поэтому нельзя исключить гораздо более заметного снижения стабильности потенциала при снижении загрузки в этом случае. Следовательно, различия в стабильности могут оказаться менее выраженными при использовании больших загрузок.
ЗАКЛЮЧЕНИЕ
Показано, что взаимное ингибирование восстановления перманганата и феррата(VI) в эксперименте на вращающемся дисковом электроде обусловлено не только сложной кинетикой реакций в приэлектродном слое, но и формированием допированного железом бирнессита, скорость разряда ионов на поверхности которого отличается от скорости разряда на недопированном бирнессите. Наличие потенциал-зависимого эффекта ингибирования в смешанных растворах указывает на возможность получения фаз различного состава с другими свойствами при варьировании потенциала осаждения наряду с рассмотренным варьированием соотношения Fe/Mn в растворе.
Принимая во внимание заметный сдвиг волны восстановления феррата(VI) на углеситалле, можно ожидать возникновения зависимости состава и свойств бирнессита от природы подложки, так как будут различаться скорости восстановления, и, соответственно, вклады различных процессов. Стабильность феррата(VI) в водных растворах возрастает с увеличением концентрации щелочи [23], поэтому электроосаждение из таких растворов более предпочтительно для препаративных целей.
Потенциостатическое осаждение при –0.05 В в смешанных растворах перманганата и феррата(VI) позволяет получить бирнессит с содержанием Fe до 10 мол. %. Удельная перезаряжаемая емкость такого бирнессита может быть незначительно увеличена при содержании Fe (4–6) мол. %. Допирование позволяет увеличить скорость реакции выделения кислорода. Продемонстрированные ранее высокие удельные характеристики катодно-осажденного бирнессита в реакции восстановления кислорода [16] позволяют надеяться на создание бифунционального материала на основе допированного бирнессита.
БЛАГОДАРНОСТИ
Авторы благодарят Панкратова Д. А. за консультации при проведении синтеза феррата(VI) калия и Бобылеву З. В. за проведение измерений КР-спектров.
ФИНАНСИРОВАНИЕ РАБОТЫ
Исследование выполнено за счет гранта Российского научного фонда № 22-23-00467, https://rscf.ru/project/22-23-00467/.
КОНФЛИКТ ИНТЕРЕСОВ
Авторы заявляют, что у них нет конфликта интересов.
About the authors
L. V. Pugolovkin
Lomonosov Moscow State University
Author for correspondence.
Email: leoff@elch.chem.msu.ru
Russian Federation, Moscow
E. E. Levin
Lomonosov Moscow State University; Crystallography and Photonics Federal Research Center of the Russian Academy of Sciences
Email: leoff@elch.chem.msu.ru
Russian Federation, Moscow; Moscow
References
- Zhu, S., Huo, W., Liu, X., and Zhang, Y., Birnessite based nanostructures for supercapacitors: challenges, strategies and prospects, Nanoscale Adv., 2020, vol. 2, p. 37. doi: 10.1039/C9NA00547A
- Elmacı, G., Özgenç, G., Kurz, P., and Zumreoglu-Karan, B., Enhanced water oxidation performances of birnessite and magnetic birnessite nanocomposites by transition metal ion doping, Sustainable Energy & Fuels, 2020, vol. 4, p. 3157. doi: 10.1039/D0SE00301H
- Fang, X., Liu, Y., Cen, W., and Cheng, Y., Birnessite as a highly efficient catalyst for low-temperature NH3-SCR: the vital role of surface oxygen vacancies, Industrial & Engineering Chem. Res., 2020, vol. 59, p. 14606. doi: 10.1021/acs.iecr.0c00188
- Gusain, R., Gupta, K., Joshi, P., and Khatri, O.P., Adsorptive removal and photocatalytic degradation of organic pollutants using metal oxides and their composites: A comprehensive review, Advances in colloid and interface science, 2019, vol. 272, p. 102009. doi: 10.1016/j.cis.2019.102009
- Fang, Q., Ye, S., Yang, H., Yang, K., Zhou, J., Gao, Y., Lin Q, Tan, X., and Yang, Z., Application of layered double hydroxide-biochar composites in wastewater treatment: Recent trends, modification strategies, and outlook, J. Hazardous Mater., 2021, vol. 420, p. 126569. doi: 10.1016/j.jhazmat.2021.126569
- Yusuf, A., Sun, Y., Ren, Y., Snape, C., Wang, C., Jia, H., and He, J., Opposite Effects of Co and Cu Dopants on the Catalytic Activities of Birnessite MnO2 Catalyst for Low-Temperature Formaldehyde Oxidation, J. Phys. Chem. C, 2020, vol. 124, p. 26320. doi: 10.1021/acs.jpcc.0c08508
- Mang, C., Li, G., Rao, M., Zhang, X., Luo, J., and Jiang, T., Transition metal ions-modified birnessite toward highly efficiency photocatalytic formaldehyde oxidation under visible light irradiation, Environmental Sci. and Pollution Res., 2022, vol. 29, p. 49739. doi: 10.1007/s11356-022-19425-2
- Junming, C., You, L., Guiling, W., Jiahao, G., and Xuchun, W., Nickel-Doped Ultrathin K-Birnessite Manganese Oxide Nanosheet As Pseudocapacitor Electrode with Excellent Cycling Stability for High-Power Pesudocapacitors, ACS Sustainable Chem. Eng., 2017, vol. 5, p. 1594. doi: 10.1021/acssuschemeng.6b02363
- Zhao, Y., Fang, Q., Zhu, X., Xue, L., Ni, M., Qiu, C., Huang, H., Sun, S., Li, S., and Xia, H., Structure reinforced birnessite with an extended potential window for supercapacitors, J. Mater. Chem. A, 2020, vol. 8, p. 8969. doi: 10.1039/D0TA01480J
- Peng, H., Fan, H., Zhang, M., and Ning, L., Molybdenum-doped hexagonal birnessite as a promising electrode material of the electrochemical capacitor, Appl. Phys. A, 2018, vol. 124, p. 1. doi: 10.1007/s00339-018-1896-7
- Liu, H., Gu, W., Luo, B., Fan, P., Liao, L., Tian, E., Niu, Y., Fu, J., Wang, Z., Wu, Y., Lv, G., and Mei, L., Influence of Fe doping on the crystal structure, electronic structure and supercapacitance performance of birnessite [(Na,K)x(Mn4+, Mn3+)2O4·1.5H2O] with high areal mass loading, Electrochim. Acta, 2018, vol. 291, p. 31. doi: 10.1016/j.electacta.2018.08.145
- Dang, T.D., Le, T.T.H., Hoang, T.B.T., and Mai, T.T., Synthesis of nanostructured manganese oxides-based materials and application for supercapacitor, Advances in Natural Sci.: Nanosci. and Nanotechnol., 2015, vol. 6, p. 025011. doi: 10.1088/2043-6262/6/2/025011
- Yin, H., Kwon, K.D., Lee, J.Y., Shen, Y., Zhao, H., Wang, X., Liu, F., Zhang, J., and Feng, X., Distinct effects of Al3+ doping on the structure and properties of hexagonal turbostratic birnessite: A comparison with Fe3+ doping, Geochim. et Cosmochim. Acta, 2017, vol. 208, p. 268. doi: 10.1016/j.gca.2017.03.040
- Gu, W., Lv, G., Liao, L., Yang, C., Liu, H., Nebendahl, I., and Li, Z., Fabrication of Fe-doped birnessite with tunable electron spin magnetic moments for the degradation of tetracycline under microwave irradiation, J. Hazardous Mater., 2017, vol. 338, p. 428. doi: 10.1016/j.jhazmat.2017.05.044
- Pugolovkin, L.V., Levin, E.E., Arkharova, N.A., Orekhov, A.S., Presnov, D.E., and Tsirlina, G. A., Cathodic deposition of birnessite from alkaline permanganate solutions: Tools to control the current efficiency, morphology and adhesion, J. Electroanal. Chem., 2020, vol. 874, p. 114521. doi: 10.1016/j.jelechem.2020.114521
- Pugolovkin, L.V., Levin, E.E., Cherstiouk, O.V., Rudina, N.A., and Tsirlina, G.A., Fabrication and operation under the same conditions: oxygen reduction on electrodeposited manganese oxide, ECS Transactions, 2018, vol. 85, p. 137. doi: 10.1149/08512.0137ecst
- Pourbaix, M., Atlas of Electrochemical Equilibria in Aqueous Solutions, Houston: National Association of Corrosion Engineers, 1974. 644 p.
- Zhao, L., Chen, B.S., Zhang, J.L., and Wang, D.L., EQCM studies of composition and electrochemical performance of film prepared by electrochemical reduction of sodium ferrate, J. Solid State Electrochem., 2012, vol. 16, p. 2079. doi: 10.1007/s10008-011-1618-y
- Панкратов, Д.А., Макунин, А.В., Малин, А.Г. Композиция для синтеза кислородных соединений железа со степенями окисления (+4), (+5) и (+6), способ ее получения и способ ее применения, Пат. 2600346 (Россия). 2016. [Pankratov, D.A., Makunin, A.V., and Malin, A.G., Composition for the synthesis of oxygen iron compounds with oxidation steps (+4), (+5) and (+6), method of their preparation and method of their use, Patent 2600346 (Russia), 2016.]
- Carrington, A., Schonland, D., and Symons, M. C. R., 132. Structure and reactivity of the oxyanions of transition metals. Part IV. Some relations between electronic spectra and structure, J. Chem. Soc. (Resumed), 1957, p. 659. doi: 10.1039/JR9570000659
- Шарло, Г. Методы аналитической химии. Количественный анализ неорганических соединений. М.: Химия, 1965 г., 976 с.
- Sekula-Brzezińska, K., Wrona, P.K., and Galus, Z., Rate of the MnO4−/MnO42− and MnO42−/MnO43− electrode reactions in alkaline solutions at solid electrodes, Electrochim. Acta, 1979, vol. 24, p. 555. doi: 10.1016/0013-4686(79)85032-X
- Wang, Y.L., Ye, S.H., Bo, J.K., Wang, Y.Y., and Wu, F., Electrochemical reduction mechanism of Fe (VI) at a porous Pt black electrode, J. Electrochem. Soc., 2009, vol. 156, p. A572. doi: 10.1149/1.3129243
- Christian, G.D., Sensmeier, R.K., and Wagner, W.F., Electrochemical studies of potassium ferrate (VI), Monatshefte für Chemie/Chem. Monthly, 1975, vol. 106, p. 813. doi: 10.1007/BF00902186
- Wulfsberg, G., Inorganic Chemistry, CA; Sausalito, 2000. 289 p.
- Волков, А.И., Жарский, И.М. Большой химический справочник, М.: Советская школа, 2005. 608 с. [Volkov, A.I. and Jarsky, I.M., Large chemical handbook (in Russian), Moskow: Soviet scool, 2005. 608 p.
- Giovanoli, R., Vernadite is random-stacked birnessite, Mineral. Deposita, 1980, vol. 15, p. 251. doi: 10.1007/BF00206520
- Giovanoli, R., Stahli, E., and Feitknecht, W., Über oxidhydroxide des vierwertigen mangans mit schichtengitter. 1. Mitteilung. natriummangan (II, III) manganat (IV), Helv. Chim. Acta, 1970, vol. 53, p. 453. doi: 10.1002/hlca.19700530302
- Manceau, A., Marcus, M. A., Grangeon, S., Lanson, M., Lanson, B., Gaillot, A. C., Skanthakumar, S., and Soderholm, L., Short-range and long-range order of phyllomanganate nanoparticles determined using high-energy X-ray scattering, J. Appl. Crystallogr., 2013, vol. 46, p. 193. doi: 10.1107/S0021889812047917
- Lopano, C.L., Heaney, P.J., Post, J.E., Hanson, J., and Komarneni, S., Time-resolved structural analysis of K-and Ba-exchange reactions with synthetic Na-birnessite using synchrotron X-ray diffraction, Amer. Mineral., 2007, vol. 92, p. 380. doi: 10.2138/am.2007.2242
- Larramona, G. and Gutiérrez, C., The Passive Film on Iron at pH 1–14: A Potential‐Modulated Reflectance Study, J. Electrochem. Soc., 1989, vol. 136, p. 2171. doi: 10.1149/1.2097242
- Scheitenberger, P., Brimaud, S., and Lindén, M., XRD/Raman spectroscopy studies of the mechanism of (de) intercalation of Na+ from/into highly crystalline birnessite, Mater. Advances, 2021, vol. 2, p. 3940. doi: 10.1039/D1MA00161B
- Zhang, Y., Fu, J., Cui, P., Cheng, S., Cui, X., Qin, T., Zhou, J., Zhang, Z., Su, Q., and Xie, E., Low-crystalline birnessite-MnO2 nanograins for high-performance supercapacitors, Electrochim. Acta, 2021, vol. 389, p. 138761. doi: 10.1016/j.electacta.2021.138761
- Julien, C., Massot, M., Baddour-Hadjean, R., Franger, S., Bach, S., and Pereira-Ramos, J. P., Raman spectra of birnessite manganese dioxides, Solid State Ionics, 2003, vol. 159, p. 345. doi: 10.1016/S0167-2738(03)00035-3
- Liu, S., Huang, H., Yang, C., Liu, Y., Li, H., Xia, H., Qin, T., Zhou, J., and Liu, X., Electrochemical activation enabling structure reconstruction of Fe-doped MnO2 for enhancing pseudocapacitive storage. Chem. Engineering Journal, 2022, vol. 441, p. 135967. doi: 10.1016/j.cej.2022.135967
- Pugolovkin, L.V. and Tsirlina, G.A., Birnessite for supercapacitors: alkaline versus neutral electrolytes, J. Appl. Electrochem., 2023, vol. 53, p. 909. doi: 10.1007/s10800-022-01823-6
- Ju, M., Chen, Z., Zhu, H., Cai, R., Lin, Z., Chen, Y., Wang, Y., Gao, J., Long, X., and Yang, S., Fe (III) Docking-Activated Sites in Layered Birnessite for Efficient Water Oxidation, J. Amer. Chem. Soc., 2023, vol. 145, p. 11215. doi: 10.1021/jacs.3c01181
- Wang, J.G., Kang, F., and Wei, B., Engineering of MnO2-based nanocomposites for high-performance supercapacitors, Progress in Mater. Sci., 2015, vol. 74, p. 51. doi: 10.1016/j.pmatsci.2015.04.003
- Yang, Y., Su, X., Zhang, L., Kerns, P., Achola, L., Hayes, V., Quardokus, R., Suib, S., and He, J., Intercalating MnO2 nanosheets with transition metal cations to enhance oxygen evolution, ChemCatChem, 2019, vol. 11, p. 1689. doi: 10.1002/cctc.201802019
- Zhao, Y., Zhang, J., Wu, W., Guo, X., Xiong, P., Liu, H., and Wang, G., Cobalt-doped MnO2 ultrathin nanosheets with abundant oxygen vacancies supported on functionalized carbon nanofibers for efficient oxygen evolution, 2018, Nano Energy, vol. 54, p. 129. doi: 10.1016/j.nanoen.2018.10.008
- Teng, Y., Wang, X.D., Liao, J.F., Li, W.G., Chen, H.Y., Dong, Y.J., and Kuang, D.B., Atomically thin defect‐rich Fe–Mn–O hybrid nanosheets as high efficient electrocatalyst for water oxidation, Advanced Functional Mater., 2018, vol. 28, p. 1802463. doi: 10.1002/adfm.201802463
Supplementary files











